CFD Modeling of Pressure Drop through an OCP Server for Data Center Applications
Abstract
:1. Introduction
2. Methods
2.1. Governing Equations
2.2. Computational Domain, Boundary Conditions and Mesh
2.3. Numerical Method
3. Results
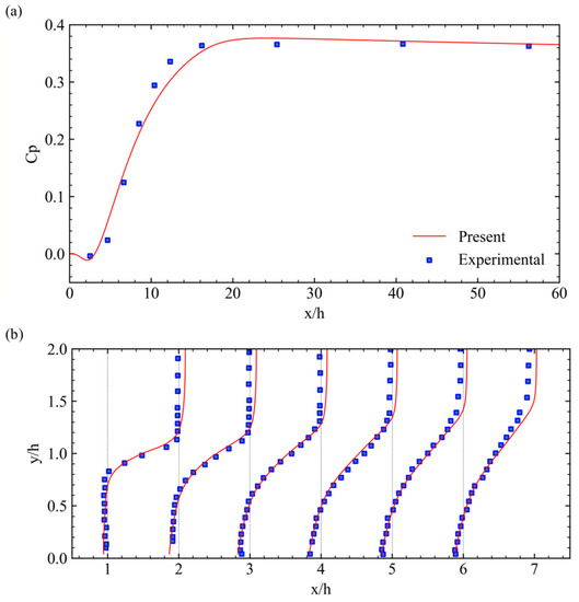
3.1. Validation of the Numerical Method
3.2. Investigation of the Internal Flow Field
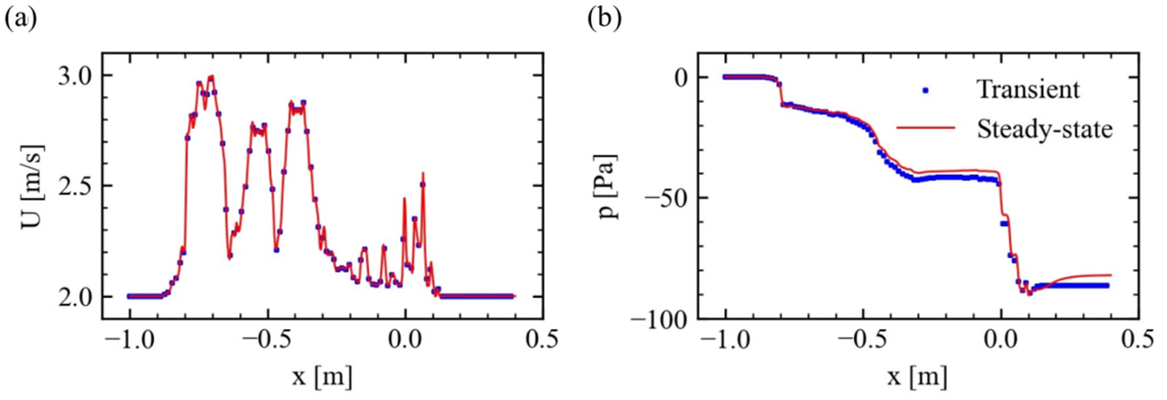
3.3. Development of a Porous Model for the Server
4. Conclusions
Author Contributions
Funding
Data Availability Statement
Conflicts of Interest
License
References
- Dogan, A.; Yilmaz, S.; Kuzay, M.; Demirel, E. Development and validation of an open-source CFD model for the efficiency assessment of data centers. Open Res. Eur. 2022, 2, 41. [Google Scholar] [CrossRef]
- Khankari, K. Thermal mass availability for cooling data centers during power shutdown. ASHRAE Trans. 2010, 116, 205–217. [Google Scholar]
- Ibrahim, M.; Bhopte, S.; Sammakia, B.; Murray, B.; Iyengar, M.; Schmidt, R. Effect of thermal characteristics of electronic enclosures on dynamic data center performance. In Proceedings of the ASME 2010 International Mechanical Engineering Congress and Exposition, Vancouver, BC, Canada, 12–18 November 2010. [Google Scholar]
- Ibrahim, M.; Afram, F.; Sammakia, B.; Ghose, K.; Murray, B.; Iyengar, M.; Schmidt, R. Characterization of a server thermal mass using experimental measurements. In Proceedings of the ASME 2011 Pacific Rim Technical Conference and Exhibition on Packaging and Integration of Electronic and Photonic Systems, Portland, OR, USA, 6–8 July 2011. [Google Scholar]
- Zhang, X.; VanGilder, J. Real-time data center transient analysis. In Proceedings of the ASME 2011 Pacific Rim Technical Conference and Exhibition on Packaging and Integration of Electronic and Photonic Systems, Portland, OR, USA, 6–8 July 2011. [Google Scholar]
- Abi-Zadeh, D.J.; Samain, P. A transient analysis of environmental conditions for a mission critical facility after a failure of power. In Proceedings of the ExCel Colocation Summit Europe, London, UK, 28–29 June 2001; pp. 1–12. [Google Scholar]
- Sundaralingam, V.; Isaacs, S.; Kumar, P.; Joshi, Y. Modeling Thermal Mass of a Data Center Validated with Actual Data due to Chiller Failure. In Proceedings of the ASME 2011 International Mechanical Engineering Congress and Exposition, Denver, CO, USA, 11–17 November 2011. [Google Scholar]
- Ibrahim, M.; Shrivastava, S.; Sammakia, B.; Ghose, K. Thermal mass characterization of a server at different fan speeds. In Proceedings of the 13th InterSociety Conference on Thermal and Thermomechanical Phenomena in Electronic Systems, San Diego, CA, USA, 30 May–1 June 2012. [Google Scholar]
- Lin, P.; Zhang, X.; VanGilder, J. Assessing the risk of data center temperature rise during chilled water cooling loss. In A White Paper from APC; Schneider Electric: Paris, France, 2013. [Google Scholar]
- Van Gilder, J.; Pardey, Z.; Healey, C.; Zhang, X. A compact server model for transient data center simulations. ASHRAE Trans. 2013, 119, 358–370. [Google Scholar]
- Alkharabsheh, S.; Sammakia, B.; Shrivastava, S.; Schmidt, R. Dynamic models for server rack and CRAH in a room level CFD model of a data center. In Proceedings of the 14th InterSociety Conference on Thermal and Thermomechanical Phenomena in Electronic Systems, Orlando, FL, USA, 27–30 May 2014. [Google Scholar]
- Alkharabsheh, S.; Sammakia, B.; Murray, B.; Shrivastava, S.; Schmidt, R. Experimental characterization of pressure drop in a server rack. In Proceedings of the 14th InterSociety Conference on Thermal and Thermomechanical Phenomena in Electronic Systems, Orlando, FL, USA, 27–30 May 2014. [Google Scholar]
- Ham, S.W.; Kim, M.H.; Choi, B.N.; Jeong, J.W. Simplified server model to simulate data center cooling energy consumption. Energy Build. 2015, 86, 328–339. [Google Scholar] [CrossRef]
- Kuzay, M.; Dogan, A.; Yilmaz, S.; Herkiloglu, O.; Atalay, A.S.; Cemberci, A.; Yilmaz, C.; Demirel, E. Retrofitting of an air-cooled data center for energy efficiency. Case Stud. Therm. Eng. 2022, 36, 102228. [Google Scholar] [CrossRef]
- Song, Z.; Murray, B.; Sammakia, B. A dynamic compact thermal model for data center analysis and control using the zonal method and artificial neural networks. Appl. Therm. Eng. 2014, 62, 48–57. [Google Scholar] [CrossRef]
- Athavale, J.; Yoda, M.; Joshi, Y. Comparison of data driven modeling approaches for temperature prediction in data centers. Int. J. Heat Mass Transf. 2019, 135, 1039–1052. [Google Scholar] [CrossRef]
- Asgari, S.; Moazamigoodarzi, H.; Tsai, P.J.; Pal, S.; Zheng, R.; Badawy, G.; Puri, I.K. Hybrid surrogate model for online temperature and pressure predictions in data centers. Future Gener. Comput. Syst. 2021, 114, 531–547. [Google Scholar] [CrossRef]
- Durand-Estebe, B.; Bot, C.L.; Mancos, J.N.; Arquis, E. Data center optimization using PID regulation in CFD simulations. Energy Build. 2013, 66, 154–164. [Google Scholar] [CrossRef]
- Parida, P.R.; David, M.; Iyengar, M.; Schultz, M.; Gaynes, M.; Kamath, V.; Kochuparambil, B.; Chainer, T. Experimental investigation of water cooled server microprocessors and memory devices in an energy efficient chiller-less data center. In Proceedings of the Semiconductor Thermal Measurement and Management Symposium (SEMI-THERM), San Jose, CA, USA, 18–22 March 2012. [Google Scholar]
- Nada, S.A.; El-Zoheiry, R.M.; Elsharnoby, M.; Osman, O.S. Experimental investigation of hydrothermal characteristics of data center servers’ liquid cooling system for different flow configurations and geometric conditions. Case Stud. Therm. Eng. 2021, 27, 101276. [Google Scholar] [CrossRef]
- Missirlis, D.; Yakinthos, K.; Palikaras, A.; Katheder, K.; Goulas, A. Experimental and numerical investigation of the flow field through a heat exchanger for aero-engine applications. Int. J. Heat Fluid Flow 2005, 26, 440–458. [Google Scholar] [CrossRef]
- Bian, J. Research on Cooling Optimization of the Enclosed Single Rack Data Centers based on the Porous Medium Server Model. Int. Core J. Eng. 2022, 8, 499–510. [Google Scholar]
- Zhou, C.; Yang, C.; Wang, C.; Zhang, X. Numerical simulation on a thermal management system for a small data center. Int. J. Heat Mass Transf. 2018, 124, 677–692. [Google Scholar] [CrossRef]
- Gupta, R.; Asgari, S.; Moazamigoodarzi, H.; Down, D.G.; Puri, I.K. Energy, exergy and computing efficiency based data center workload and cooling management. Appl. Energy 2021, 299, 117050. [Google Scholar] [CrossRef]
- Sheth, D.V.; Saha, S.K. Numerical study of thermal management of data centre using porous medium approach. J. Build. Eng. 2019, 22, 200–215. [Google Scholar] [CrossRef]
- Wilcox, D.C. Formulation of the k-ω turbulence model revisited. AIAA J. 2008, 46, 2823–2838. [Google Scholar]
- Anderson, J.D. Fundamentals of Aerodynamics; McGraw-Hill: New York, NY, USA, 1991. [Google Scholar]
- Charles, H. Numerical Computation of Internal and External Flows: The Fundamentals of Computational Fluid Dynamics, 2nd ed.; Elsevier: Oxford, UK, 2007; Volume 1. [Google Scholar]
- Davidson, P.A. Turbulence: An Introduction for Scientists and Engineers, 2nd ed.; Oxford University Press: Oxford, UK, 2015. [Google Scholar]
- Jasak, H.; Aleksandar, J.; Zeljko, T. OpenFOAM: A C++ library for complex physics simulations. In Proceeding of the International Workshop on Coupled Methods in Numerical Dynanmics, Dubrovnik, Crotia, 19–21 September 2007. [Google Scholar]
- Dogan, A.; Yilmaz, S.; Kuzay, M.; Demirel, E. OpenFoam cases of the paper ‘Prediction of the pressure drop through an OCP server for data center applications’ [Data set]. In Open Research Europe; Version 1; Zenodo: Cern, Switzerland, 2022. [Google Scholar]
- Poole, R.J.; Escudier, M.P. Turbulent flow of viscoelastic liquids through an axisymmetric sudden expansion. J. Non-Newton. Fluid Mech. 2004, 117, 25–46. [Google Scholar] [CrossRef]
- Kuwahara, A.; Kameyama, Y.; Yamasitha, S.; Nakayama, A. Numerical modeling of turbulent flow in porous media using a spatially periodic array. J. Porous Media 1998, 1, 47–55. [Google Scholar] [CrossRef]















| Inlet | Outlet | Slip | Walls |
|---|---|---|---|
| calculated |
| Number of Cells | Max. Skewness | Max. Non-Orthogonality | Min. Volume | Max. Volume |
|---|---|---|---|---|
| 5.98 million | 14.83 | 65.04° | 5.77 × 10−12 | 1.65 × 10−7 |
| Inactive Server | Active Server | ||
|---|---|---|---|
| D | F | D | F |
| 782,803.905 | 37.395 | 715,633.617 | 24.788 |
| Q (m3/s) | UI | |
|---|---|---|
| Active Server | Inactive Server | |
| 0.003 | 0.3725 | 0.6699 |
| 0.006 | 0.2097 | 0.4340 |
| 0.009 | 0.1103 | 0.3155 |
| 0.012 | 0.0581 | 0.2533 |
| 0.015 | 0.0169 | 0.2032 |
| 0.018 | 0.0115 | 0.169 |
| 0.021 | 0.0381 | 0.1415 |
| 0.024 | 0.0553 | 0.1213 |
| 0.027 | 0.0696 | 0.1092 |
| 0.03 | 0.0812 | 0.0986 |
| 0.033 | 0.0865 | 0.0897 |
| 0.036 | 0.0938 | 0.083 |
| 0.039 | 0.1012 | 0.0746 |
| 0.042 | 0.1065 | 0.0713 |
| 0.045 | 0.1132 | 0.0649 |
| 0.048 | 0.1152 | 0.0598 |
| 0.051 | 0.1223 | 0.0575 |
| 0.054 | 0.1289 | 0.0517 |
| 0.057 | 0.1307 | 0.0488 |
| 0.06 | 0.1329 | 0.0451 |
Publisher’s Note: MDPI stays neutral with regard to jurisdictional claims in published maps and institutional affiliations. |
© 2022 by the authors. Licensee MDPI, Basel, Switzerland. This article is an open access article distributed under the terms and conditions of the Creative Commons Attribution (CC BY) license (https://creativecommons.org/licenses/by/4.0/).
Share and Cite
Dogan, A.; Yilmaz, S.; Kuzay, M.; Yilmaz, C.; Demirel, E. CFD Modeling of Pressure Drop through an OCP Server for Data Center Applications. Energies 2022, 15, 6438. https://doi.org/10.3390/en15176438
Dogan A, Yilmaz S, Kuzay M, Yilmaz C, Demirel E. CFD Modeling of Pressure Drop through an OCP Server for Data Center Applications. Energies. 2022; 15(17):6438. https://doi.org/10.3390/en15176438
Chicago/Turabian StyleDogan, Aras, Sibel Yilmaz, Mustafa Kuzay, Cagatay Yilmaz, and Ender Demirel. 2022. "CFD Modeling of Pressure Drop through an OCP Server for Data Center Applications" Energies 15, no. 17: 6438. https://doi.org/10.3390/en15176438
APA StyleDogan, A., Yilmaz, S., Kuzay, M., Yilmaz, C., & Demirel, E. (2022). CFD Modeling of Pressure Drop through an OCP Server for Data Center Applications. Energies, 15(17), 6438. https://doi.org/10.3390/en15176438

