Next Article in Journal
Impact of Radial Air-Gap Eccentricity on Stator End Winding Vibration Characteristics in DFIG
Next Article in Special Issue
Real-Time Methane Prediction in Underground Longwall Coal Mining Using AI
Previous Article in Journal
CFD Simulation of Co-Planar Multi-Rotor Wind Turbine Aerodynamic Performance Based on ALM Method
Previous Article in Special Issue
Automatic Determination of Rock-Breaking Target Poses for Impact Hammers
 
 
Font Type:
Arial Georgia Verdana
Font Size:
Aa Aa Aa
Line Spacing:
Column Width:
Background:
Article

Implementation and Verification of Effectiveness of Bulk Emulsion Explosive with Improved Energetic Parameters in an Underground Mine Environment

1
KGHM Cuprum Ltd. Research & Development Centre, 2-8 Sikorskiego Street, 53-659 Wrocław, Poland
2
NITROERG S.A., 1 Alfred Nobel Square, 43-150 Bieruń, Poland
3
Conformity Assessment Body, Central Mining Institute, 1 Gwarków Square, 40-166 Katowice, Poland
4
Department of Physical Chemistry and Technology of Polymers, Silesian University of Technology, 44-100 Gliwice, Poland
*
Authors to whom correspondence should be addressed.
Energies 2022, 15(17), 6424; https://doi.org/10.3390/en15176424
Submission received: 31 July 2022 / Revised: 25 August 2022 / Accepted: 26 August 2022 / Published: 2 September 2022
(This article belongs to the Special Issue Volume II: Mining Innovation)

Abstract

Explosives are commonly used in the mining industry to extract minerals from hard rock deposits. Therefore, an efficient explosive should ensure that the appropriate blast outcome is achieved, taking into account the desired rock-breaking parameters and the costs of drilling and blasting works. Depending on the type of deposit and follow-up processes, a proper blast result may be characterized by fragmentation, muckpile shape, overbreaks, etc. Industry has struggled to respond to the demand for bulk emulsion explosives with improved energetic parameters, having so far been unable to do so safely, effectively, and cost-efficiently. Methods of improving blasting parameters mainly rely on introducing a variety of additives to the emulsion explosive formulation during production, which creates additional hazards at that stage. Alternative, safe methods of achieving an improved energetic performance of emulsion explosives are, therefore, highly desirable. This paper is focused on one such proposed method as a continuation of previous research works and the performance of a novel bulk emulsion formulation under real mining conditions during the firing of mine faces is described. The tests included density measurements over time, measurements of impact and friction sensitivity, measurements of the detonation velocity in blastholes, determination of brisance via Hess test, and analysis of rock fragmentation. Results were compared with those obtained with a commercially available bulk emulsion explosive, highlighting that the performance improvement achieved by the proposed emulsion modification method is not limited to artificial test conditions, but translates well into actual application conditions.

1. Introduction

The growing demand for metals and minerals translates into the need for economically sound, effective, time- and material-efficient methods of mining. However, there are still some technical constraints associated with underground mining. Over the last few decades, the development of mining explosives has led to a continuous improvement in their energetic parameters while maintaining the highest effectiveness and safety of blasting operations. Emulsion explosives, frequently referred to as “the latest generation explosives”, are a prime example of this trend, even though they were invented more than 50 years ago [1]. According to the data provided by the Federation of Explosives Manufacturers, the share of bulk emulsion explosives in the total usage of emulsions in Europe is more than 85%, with this share expected to increase even further in the coming years. This is mainly because no alternative methods of solid rock extraction have so far proven to be effective enough [2,3].
The mining industry is facing various challenges, such as the need for increased production, reducing the time of the entire technological cycle, lowering deposit exploitation costs and ensuring personnel safety, including the issue of the stability of underground openings [4,5]. One such challenge, related to drilling and blasting operations, is the general effectiveness of blasting, mainly in terms of explosive performance. The effect of blasting is directly influenced by the working capacity of explosives—which, in a much wider sense, may be defined as the quality of explosives. It should, however, be noted that, apart from a number of manufacturing parameters which influence the working capacity [6,7], the results of blasting are affected by many different technological parameters. They are only observed in real mining conditions and cannot be evaluated under laboratory conditions [8,9]. The most important factors from the adopted technology point of view are the diameter of the blastholes, method of initiation or time between charging of explosives, and firing.
According to recent studies [10], the detonation velocity increases with an increase in blasthole diameter. Velocity of detonation (VOD) is used as a basic parameter in the determination of the detonation pressure, which in turn represents the energy of the explosive [11,12]. The problem of the blasthole diameter is especially significant when high rock pressures are observed. This may lead to a reduction in blasthole diameters, while causing a reduction in the charge diameter, but may also cause some problems with charging (when using bulk emulsions). The initiation method in turn is important for the effectiveness of the production. When initiating with the detonator only, the distance between the detonator position and the stable detonation velocity value is much greater than when using proper boosters. However, according to previous research studies, this does not affect the final detonation velocity value of bulk emulsions [13] but may affect the VOD of ANFO explosives [14]. From a safety point of view, the time between charging the blastholes and firing seems to be the most important factor. This problem should be considered from two perspectives. The first is associated with the density changes in time, which means that detonation velocity decreases with reductions in density. Such an explosive becomes less energetic over time [15,16]. The second problem is connected with the sleep time of bulk emulsions [17]. The sleep time is the time after which the bulk emulsion loses its detonation capacity. As shown during field investigations, the sleep time may even reach 6 months after the charging [18], meaning that each undetonated explosive should be treated with extreme caution.
Other important factors that may only be observed in underground mines are the temperature of rock mass and ambient temperature. With the increase in depth, the primary rock mass temperature increases. Under such conditions, lower thermodynamic parameters of bulk emulsions may be expected and their efficiency, expressed as velocity of detonation, may be much lower [19,20]. A very important issue in the field of blasting effectiveness is also detailed identification of the interaction between the explosive and the rock mass, i.e., propagation of blast-induced fractures around the blasthole [21,22]. This should be treated as the first step in the selection of relevant explosives for given geologic and mining conditions. Therefore, it may be concluded that the determination of relationships between the above parameters and their efficiency is critical in formulating reliable and credible computational models describing the detonation process [23].
A recent study was conducted to develop and evaluate, under laboratory conditions, a novel sensitizing agent formulation for bulk emulsion explosives with improved energetic parameters [24]. The purpose of the study was to improve the effectiveness of blasting by replacing the commonly used sensitizer by novel formulations. The results proved that energetic parameters of new formulas were actually better in every aspect in relation to the standard explosive, used commercially. The greatest advantage is that the sensitization process is much faster and much more stable. Moreover, it was confirmed that new formulations are capable of detonation after 5 min and the final density remains stable after 30 min.
Since the mixing of components using mixing–charging units in mines is not as precise as manual mixing in laboratory conditions [25], the authors have made an attempt to verify selected detonation parameters under real mining conditions. For this purpose, one of the developed formulas was verified during regular faces firing and compared with the standard bulk emulsion. Finally, the effectiveness evaluation of such an emulsion was conducted. The tests included: density measurements over time, measurements of the detonation velocity in blastholes, determination of brisance via Hess test, and analysis of blasted rock fragmentation. In this paper, results of in situ trials using the underground mixing–charging units are presented, which should be treated as the continuation of work under development of a novel formulation of bulk emulsion explosive with improved energetic parameters.

2. Materials and Methods

Evaluation of the blasting effect has been conducted under real mining conditions in a deep mine in Poland and consisted of two rounds of trials, in each of which explosives in four faces were fired. Each trial included the firing of two faces charged with BK-2 and two with the commercially available E8L explosive for reference. The time interval between the two rounds of trials was two weeks.

2.1. Trial Site

A trial panel was located in a deep underground copper mine in Poland, in which the room-and-pillar mining method with roof deflection and pillar softening is practiced. The average depth of excavations is approximately 800 m below the surface. The orebody thickness does not exceed 1.8 m and is almost flat. It is formed from sandstone (2.8 m) and a thin shale stratum located near the roof (Figure 1).
Drifts are excavated using the drilling and blasting method. The shape of excavations is in the form of an inverted trapezoid, with the average base of 5 m and an average width of 7 m in the roof stratum. The height is approximately 3 m. Faces are fired using bulk emulsion explosives charged by standardized mixing–charging units installed on blasting utility vehicles. Explosives are initiated by non-electric detonators and explosive boosters. No stemming is used in blastholes.
The same drilling and blasting pattern with the V-cut was used on each trial and each face (same distribution of blastholes, same mass of explosives, same delays, etc.), as presented in Figure 2. The blastholes had a length of 3 m, except those charged with 2.5 kg of explosives (central ones), which were slightly shorter, and a diameter of 48 mm; thus, 3 m was also the expected advance per blast. The total number of blastholes was 41 per face, total mass of explosives per face was 138.5 kg, and the total firing time was 5000 ms. The calculated powder factor was 2.40 kg/m3.

2.2. Formulations of Explosives and Mixing–Charging Unit

All tests, except the impact and friction sensitivity tests, were performed on the same batch of emulsion matrix (supplied by Nitroerg, Bieruń, Poland) for the underground bulk emulsion formula. The matrix contains ammonium nitrate, calcium nitrate, water, oil, emulsifier, and auxiliary components. The E8L emulsion was sensitized with a standard sensitizing agent—an aqueous solution of sodium nitrite. For the modified BK-2 formulation, a more comprehensive sensitizing agent formulation was utilized, as per the authors’ earlier work [24], characterized by a lower water concentration (Table 1).
The mixing–charging unit was installed on a blasting utility vehicle. It mainly consists of the matrix and sensitizer tanks and pumps for the transfer of these components (Figure 3). The production unit is controlled by a computer for accurate dosing of ingredients. The mixing takes place in the middle of the loading hose, using a static mixer (Figure 4). Former constructions were based on a single mixer, while new ones already have a double static mixer.
The flow of components in the loading hose is laminar, thus, the mixing takes place using a cross-stream static mixer. However, due to large differences in the viscosity of components, the fast flow, and relatively short mixing time limited by the length of the static mixer, complete mixing is not possible, compared with manual mixing under laboratory conditions. Thus, in order to investigate the significance of this aspect for the first and second rounds of trials, a single mixer and a double mixer were employed, respectively.

2.3. Auxiliary Materials and Software

The probes used for the determination of detonation velocity were manufactured by MREL (Kingston, ON, Canada). They were VOD ProbeCables green with a unit resistance of 10.80 Ω/m. Dedicated software, DAS—Data Acquisition Suite, was used for data analysis from the VOD recorder.
Fragmentation analysis was carried out using WipFrag software, version 3.2.11.1, developed by WipWare (North Bay, ON, Canada). Photos of the muckpile after firing were taken using an Olympus Tough TG-6 camera (resolution 12 megapixels, lens aperture f/2.0) dedicated for extreme environments.
Statistical analyses were conducted using Statistica 13 software developed by StatSoft (Kraków, Poland).

2.4. Preparation of Explosive Samples and Charging of Blastholes

The explosive components were blended mechanically via standardized mixing–charging units used for charging blastholes in the mine hosting the study. In the case of the BK-2 formulation, the dosing settings of the sensitizer have been reduced by 3.5% due to much greater reaction activity.
Blastholes were loaded following a standard procedure, using the charging hose with 3.5 kg of bulk emulsion, except the cut holes, into which 2.5 kg were loaded. Due to the bottom initiation, the VOD in blastholes could be measured. The average length of the explosive column was 130–140 cm.
During the blastholes charging, the samples for the density measurements and brisance determination were loaded from the mixing–charging unit to the piping bag and then were carefully elaborated into the relevant plastic cups. For this purpose, a precise mobile digital balance was used.
The samples for the impact and friction sensitivity tests in turn were produced by the manual mixing of components, due to the relatively small mass of the sample required for such tests—the sample volume was insufficient for the use of a mechanical stirrer. After mixing, 10 mg samples were accurately weighed. The tests were conducted after the density had stabilized.

2.5. Measurements of the Density over Time

Plastic cups with a set volume of 500 cm3 were used for the determination of density changes over time. They were weighed and filled with the mixture of the matrix and sensitizer directly from the mixing–charging unit. Due to the chemical reaction (sensitization), the mixture increased in volume, thus, the excess was removed from the top edge of the cup to maintain the set volume of the samples, followed by weighing of the cup. Each sample was weighed using an electronic balance, first at 5 min intervals for 60 min and then once each after 180 min and 1440 min. The density was determined based on the ratio of the net sample mass to the cup volume.

2.6. Determination of the Detonation Velocity

Detonation velocity values were obtained using the electrical method, via the continuous resistance wire technique. In this method, a precise measuring probe of known linear resistance is placed axially in the explosive column. When the detonation front progresses, the probe is destroyed, and the resistance of the entire circuit drops in proportion to the length reduction of the probe. Thus, a decrease in probe voltage vs. time is recorded by a dedicated measuring device.
In this research, a DataTrap II Data/VOD recorder manufactured by MREL (Kingston, ON, Canada) was used. This device allows independent measurements of detonation velocity to be taken using eight channels, allowing the simultaneous measurement of VOD in eight blastholes. The maximum recording rate in this system is 10 MHz per channel. The uncertainty of the measurements declared by the manufacturer is ±2%.
During underground trials, six-meter sections of the VOD ProbeCables were attached by electrical tape to the booster with a detonator and placed at the end of the loading hose. Blastholes were then charged according to the standard procedure, i.e., the loading hose was inserted to the bottom of the blasthole and the desired mass of the explosive was loaded. After that, the VOD probes from each tested face were connected to the communication (coaxial) cable and plugged to the recorder, which was located between the fired faces (Figure 5). The VOD probes were put into two cut holes in each of the four tested faces, which were fired with the first delay (same).
The data analysis was performed with Data Acquisition Suite software, which converts the recorded data into a graph as a function of distance versus time. The software automatically calculates and displays the VOD of an explosive at any selected location in the graph.

2.7. Determination of Rock Fragmentation

Determination of the rock fragmentation was based on the image analysis method, which is one of the most common methods utilized to measure rock fragment size distribution in mines. It was carried out using a 2D photogrammetry method based on analysis of digital images of the muckpile using WipFrag software. The software applies an algorithm to detect edges, which are used to render a polygon around the particles, in order to determine the size–distribution [26,27]. To avoid issues caused by the spatial distribution of rock fragments in the muckpiles, each one was imaged multiple times during the hauling process (Table 2).
The photogrammetry method includes the following steps: (1) acquisition of multiple images representing each muckpile—pictures should be taken during hauling to depict different cross-sections of the muckpile, (2) image processing and analysis using a dedicated application—fragmentation analysis, and (3) determination of the size–distribution curve.
Since underground conditions are very difficult (no natural light, dust, humidity), one of the challenges is to ensure good quality of the photographs and reliable input data for analysis. Hence, pictures were taken by a camera with a low aperture and an additional light source in the form of a high-power LED flashlight. It should, however, be noted that this fragmentation assessment method has certain limitations caused by the image resolution and delineation algorithm. Therefore, photos were delineated automatically and corrected manually by adding or removing particle boundaries. At this stage, some fine areas were also indicated if needed. The images were scaled using an object with known dimensions; in this case, a bright foam ball, as presented in Figure 6.
Any systems using photogrammetry methods can be characterized by a limiting size called fines cut-off (FCO), which means that below this value, the delineation is not reliable. Consequently, for fines regions (below FCO), an error between the real size of particles and those determined by analysis reaches the maximum value. Calculations of size–distribution below FCO can be performed using calibrated distribution models, such as Rosin-Rammler or Swebrec [28]. It should be noted that the calibration of distribution models requires the provision of sieving analysis data, which is very problematic or even impossible in normal underground operations. Thus, the model parameters were calculated statistically with the input of raw data obtained from image analysis. Statistical analysis was conducted using Statistica software. Calculation of model parameters was performed using the non-linear estimation method (user regression, least squares method). As the estimation function, the Swebrec equation was applied, which seems to be much better suited for blasting fragmentation and determination of fines regions [29,30].
The Swebrec model can be expressed by the following equation:
f x = 1 1 + l n x m a x / x / l n x m a x / x 50 b
where: f x —cumulative percent passing [%], x m a x —size of the largest particle [mm], x —particle size [mm], x 50 —particle size at 50% passing [mm], b —curve undulation.
The size of the largest particle was estimated in WipFrag software. Other parameters, such as x 50 and b , were calculated in Statistica. In addition, it must be noted that, even in calibrated models, the error level below FCO can be significant (maximum value reaches 25–30% of FCO). Nevertheless, even non-calibrated models can provide valuable information on the fines distribution.
The rock fragmentation analysis consisted of firing explosives in 8 faces divided into 2 trials differing in mixer type, i.e., 4 faces per trial (2 charged with E8L and 2 with BK-2). Hence, all images in each trial concerned with a given type of explosive were analyzed together as one database. This was the basis for the determination of histograms and fragmentation curves.

2.8. Determination of Brisance via the Hess Method

Cylindrical lead rods of 99.97% purity were used for the determination of brisance, from which the cylinders with a diameter of 40 ± 0.2 mm and height of 60 ± 0.15 mm were made. The face surfaces were machined to 10 grade. They were placed vertically on the floor of excavation. Then, on the top of this cylinder, a cylindrical 1.7035 steel disc with a diameter of 41 ± 0.2 mm and height of 10 ± 0.2 mm was placed. Surfaces of steel discs were machined to 2.5 grade and hardened to 150–200 HB. A 50 g explosive sample loaded into a 3D printed plastic (PET-G) testing cup with an inner diameter of 40 mm and height of 65 mm was placed on this plate and initiated, according to the scheme in Figure 7. As a result of firing, the lead cylinder was axially compressed. The change in the cylinder height was used as a measure of brisance. Samples were initiated using a standard 0.65 g PETN detonator. Since no reference material was tested underground due to the relatively high temperature, the results were compared with each other.

2.9. Determination of Impact and Friction Sensitivity

Determination of the sensitivity of explosives to mechanical stimuli covered the impact and friction sensitivity tests. As accepted, due to dynamic stimuli, stress and strain may appear in the explosive, which results in local heating. Those areas of local heating are the most likely causes of the explosive’s initiation [31]. Both tests were conducted under laboratory conditions prior to large-scale underground trials.
The principle of the impact sensitivity test is that the sample of the tested explosive is subjected to the action of a drop weight. As a result, the mass of the drop weight and the drop height at which the initiation may occur is determined. For the impact sensitivity determination, the Kast fall hammer was used (Figure 8). In this test, a 40 mm3 sample of the explosive was placed using a spatula into the open piston device, which is comprised of two steel rollers and a hollow cylinder. Then, the second roller was carefully placed onto the piston to not damage the structure of chemical sensitization and pushed up to the sample. The drop weight was then positioned at the desired height using a locking device. In this test, drop weights with a mass of 5 kg and 10 kg were used. The height varied from 20 cm to 50 cm, which represents the impact energy from 10 J to 50 J (5 J interval from 10 J to 40 J and also 50 J). Six trials were conducted for each energy and each type of explosive, which gives 2 × 48 samples. The results of the test are reported as initiation (sound, light effect, smoke) or non-initiation, in accordance with the EN 13631-4:2002 standard [32].
For the friction sensitivity determination in turn, the Peters friction apparatus was used (Figure 9), in which friction is created electromechanically between the porcelain cylinder and the plate with the explosive sample. In this test, similar to the impact sensitivity test, a 10 mm3 sample of explosive was placed on a flat porcelain plate attached to the sliding carriage of the device. The porcelain cylinder clamped on the carriage was then lowered using the weight mounted on the loading arm. The movement of the plate with the sample was provided by a motor (stroke length 10 mm). In this test, six trials were conducted for each loading, representing the normal force starting from 360 N (load of 10.8 kg lowered at a distance of 360 mm). If detonation was observed at least once in six trials, the next six samples were tested using smaller loading at intervals specified in the EN 13631-3:2004 standard [33]. As before, the tests were conducted for each type of explosive.

3. Results

3.1. Impact and Friction Sensitivity

The tests of impact and friction sensitivity were carried out under laboratory conditions to verify the sensitivity level of explosives to mechanical stimuli, before underground trials could be conducted. A criterion was set that the proposed explosive formulation cannot be more sensitive to impact and friction than the commercial E8L explosive.
Among 48 samples tested in the energy from 10 J to 50 J, no sample showed initiation (no sound, no light effect, no smoke) by impact. The same applies to the E8L and BK-2 formulations, which means that the impact sensitivity value of both explosives exceeded 50 J.
No detonation was observed during the friction sensitivity tests of the two explosive formulations either. None of the 12 tested samples were initiated under the loading of 10.8 kg lowered at a distance of 360 mm, indicating that the friction sensitivity value of both the E8L and BK-2 explosives exceeded 360 N.

3.2. Density

The explosive samples were sensitized chemically and, due to the reaction of ammonium nitrate and sodium nitrite, a gradual decrease in sample density over time was observed. This directly affects the detonation parameters and is the key issue for mine operators to maintain high effectiveness of mining. Thus, such emulsions are desired, achieving the final density and stabilizing within a relatively short and practically justified time. This time depends on the type of mine and adopted technology. The density measurements were conducted for each trial and each type of explosive was tested based on three samples. The results are presented in Figure 10 as the average values from three samples and deviation between the maximal and minimal.
The analysis results indicate that the blending of components using a double static mixer (#2) is much more precise than blending with a single mixer (#1). This is shown by different density values of specific samples in trial #1. In turn, the differences between densities measured in trial #2 are much closer to each other. Smaller dispersion is also observed. This indicates that thorough blending is critical for maintaining higher detonation parameters, since the sensitizer is more evenly distributed throughout the entire mass of the matrix—greater reaction surface, and thus, greater gas volume and lower density. Thus, a double static mixer is highly recommended for further blasting operations.
The novel BK-2 formulation initially showed a much more rapid density decrease than the E8L formulation. However, the density of the BK-2 formulation stabilized after approximately 30 min, unlike E8L, whose density continued decreasing noticeably, even after 180 min. In fact, all the densities measured in trial #2 reached a similar final density value; nevertheless, the decrease observed between 30 min and 180 min for BK-2 was approximately 0.06 g/cm3, and as much as 0.21 g/cm3 for E8L.

3.3. Brisance

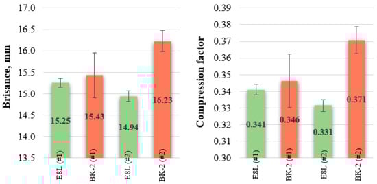
Detonation performance is fundamental in the evaluation of high explosive power and describes the energetic capacity of explosives, and therefore, their power, strength, or energy. The results are presented without units using other parameters, such as degree of compression of the metal cylinder in the case of the brisance test. The results of Hess lead block compression tests for the E8L and BK-2 formulations are presented in Figure 11.
The in situ trials have proven that the brisance of the BK-2 formulation is higher than that of the standard E8L explosive. This may be mainly observed for the BK-2 samples in trial #2, in which a double mixer was used. The average compression factors for a single mixer in trial #1 for both explosives are similar and remained within the uncertainty of measurement. However, high dispersion between samples for BK-2 in trial #1 may be observed, indicating some mixing problems and that the explosive was not homogeneous. In the case of the double mixer, a 12% increase in the compression factor was observed for BK-2 in relation to E8L.

3.4. Detonation Velocity

In principle, the results of detonation velocity measurements of confined explosives (in blastholes) are higher than those detonated in the open air. This is mainly because the force and pressure produced by detonation is intensified on a much smaller area. However, as stated before, the VOD is affected by many parameters, especially when measuring in situ. The VOD measurements were conducted during each trial and each type of explosive was tested (four tests per explosive per trial). The time between charging the blastholes and faces firing was approximately 150 min. The results are presented in Table 3.
As proven during laboratory tests, the lower water content in the new formulation causes an increase in the velocity of detonation. However, such a conclusion has not been confirmed by underground tests. The average VOD of E8L measured in trial #1, in which a single static mixer was used, reached 3790 m/s, while the average VOD of BK-2 was 3820 m/s. The difference in the average values was 30 m/s only. However, having in mind that the uncertainty of the measurements in the system used is ±2%, it may be assumed that the achieved VOD is similar for both explosive formulations.
Similar conclusions may be drawn from trial #2, in which a double mixer was applied. The average value of VOD in the case of E8L was 4020 m/s and 4030 m/s for BK-2. This means that the detonation velocity of BK-2 was not improved during the large-scale field tests in comparison with the results obtained during laboratory testing.
When analyzing the average VOD from both trials, an almost 6% increase was observed in trial #2, in which the double static mixer was used. The average detonation velocity (based on eight blastholes) increased from 3805 m/s in trial #1 to 4025 m/s in trial #2. This proved that precise blending is crucial to maintain higher detonation parameters of AN-based bulk emulsions.

3.5. Rock Fragmentation

Taking of the muckpile pictures started after approximately 90 min following the completion of blasting. This was required for ventilation and removing of post-blast fumes. A loader with a bucket capacity of 4 m3 was used to haul the excavated rocks. The total volume of the ore from a single face was approximately 55 m3. The pictures were taken immediately after each bucket was collected. While hauling, 104 pictures in total were taken, including 45 in trial #1 and 59 in trial #2.
The analysis of the data collected during trial #1 included 23 pictures for E8L and 22 for BK-2 (sum from two faces). In the case of trial #2, the analysis of the size–distribution curves was based on 29 and 30 images, respectively, for the E8L and BK-2 explosives. The calculated fragmentation curves for both trials are shown in Table 4.
Based on Table 4, one may conclude that there is a slight difference in fragmentation between faces blasted with E8L and BK-2. The size–distribution of the outcome from E8L in trial #1 shows that more “fines” were produced in comparison with BK-2, which is a little coarser. Nevertheless, the differences do not exceed 10%. The difference in fines fraction (<3.16 mm) is approximately 5% and the content of particles bigger than 465 mm reaches 4.9% for BK-2 and 9.7% for E8L. In trial #2 in turn, there is hardly any difference in fragmentation between faces blasted using E8L and BK-2. In the range of 3.16 mm up to 1000 mm, the difference does not exceed 2% (the content of fines was approximately 35.00% for E8L and 34.05% for BK-2). Similar results were observed for coarse fractions (>465 mm), in which the content was 3.14% for E8L and 2.34% for BK-2.
For reliable determination of the fines content in both cases, the Swebrec model was applied and model data parameters were estimated using WipFrag software. Determination of parameters was based on data above FCO, which was set for 10.0 mm. Below this value, the fragmentation curve is almost flat up to 3.16 mm, which is a limit value for the applied system (lower particles cannot be recognized by the algorithm). This indicates that resolution of the system in this area was poor and the error increased rapidly. All estimated parameters for both trials are presented in Table 5. The confidence level was 95%.
As mentioned before, the Swebrec function is much more reliable for the description of the fines region in terms of blasting. Since very good fitting of the model to the data (above FCO) was observed, cumulative fragmentation curves for both trials and both types of tested explosives using the Swebrec function were compared, as shown in Figure 12.
From Figure 10, one may conclude that the maximum differences between the given fractions in trial #1 slightly exceed 11%. The maximum difference is 11.1% and can be observed in the range of particle size between 50 mm and 200 mm. In the fines region in turn, the differences are negligible. Finally, it can be concluded that, from a practical point of view, the changes in the fragmentation distribution obtained in trial #1 using two types of explosive are insignificant and do not have a major impact on the blast outcome in relation to fragmentation. Similar conclusions may be drawn from the results of trial #2, in which a double static mixer was used. The plotted curves showed that there was hardly any difference between both cases. It can, therefore, be concluded that the type of explosive and the mixing method did not affect the fragmentation of blasted rocks. However, it should be emphasized that there is a visible difference between the fragmentation achieved in trial #1 and trial #2, indicating a significant influence of the mixing method. Much better fragmentation was achieved for both explosives in trial #2, in which a double mixer was used.

4. Discussion

The results of the research showed that parameters of the novel bulk emulsion explosive with improved energetic parameters obtained during underground trials are not, in principle, consistent with results obtained in the first phase of investigations under laboratory conditions. Differences in the energetic performance of the two explosive formulations are relatively minor. Most of the tested parameters are similar for each type of explosive and each type of component mixing (single or double static mixer). The novel BK-2 formulation exhibits a similar sensitivity level to mechanical stimuli (impact and friction) as the standard E8L explosive.
The sensitization of BK-2 is much faster and much more stable than that of E8L. In underground conditions, where temperature usually ranges from 25 °C to 35 °C, it is capable of detonation after 5 min. Moreover, the final density is obtained after approximately 30 min. In comparison, the standard E8L explosive in such conditions is capable of detonation after at least 30 min. It usually achieves the final density after more than 12 h. In addition, the time between the loading of blastholes and firing varies depending on the location of the blasting site, which is limited by the ventilation constraints.
It should, however, be noted that sensitization cannot be too rapid, because an excessively fast reaction will cause certain difficulties from a practical point of view, such as an increase in pressures and other problems related to the mixing–charging unit. However, the were no significant problems with the loading unit for the BK-2 formulation and all the pressures and flows were normal. On the other hand, it is much better and safer, while charging, to operate with emulsion that is not capable of detonation. Thus, this time should not be too short. It should definitely be reduced in relation to the standard E8L, but within reason. More important, however, is the stability of the BK-2 formulation, which became stable after about 30 min.
In terms of the brisance determination via the Hess method, the BK-2 and E8L formulations achieved comparable values when using a single mixer. In the case of a double mixer (trial #2), an approximately 12% increase in the compression factor was observed for the BK-2 formulation in relation to E8L. In comparison, the difference in brisance obtained under laboratory conditions for BK-2 was almost 32% higher than the brisance of E8L. This shows how precise mixing influences the working capacity of novel formulations of explosives. It should also be noted that the brisance results cannot be referenced to results of high explosive samples due to safety constraints. Moreover, the impact of high temperatures of lead cylinders on results has not been defined so far. Thus, the results were compared with each other.
The measurements of detonation velocity did not prove the results obtained during laboratory tests., i.e., that lower water content in the new formulation will cause an increase in the detonation velocity. In conditions where the emulsion components were blended manually, the VOD of BK-2 was, on average, almost 19% higher than that obtained for E8L. The in situ tests have confirmed that the differences in the average values remained within the uncertainty of the measuring system in both trials, which means that the detonation velocity of novel formulations was not improved during the large-scale field tests.
In the case of blast fragmentation analysis, it may be stated that the differences in the fragment size–distribution in both trials are insignificant. The shape of plotted curves from each trial and for each type of explosive are similar. Thus, it may be concluded that for given mining and geologic conditions, the type of explosive and the method of component mixing did not affect the fragmentation of blasted rocks.
There is, however, one issue to which special attention should be paid. This is the method of component mixing using a static mixer. In this research, single (trial #1) and double (trial #2) static mixers were implemented and verified. The mixture of the matrix and sensitizer is much more homogeneous when using a double mixer than when using a single one. In fact, the mixture is not homogeneous, but far better blended using a double mixer, which was confirmed by different density values of specific samples in trial #1. Meanwhile, the differences between densities measured in trial #2 are much closer to each other. This proves that precise blending is critical for maintaining higher detonation parameters and a double static mixer is recommended for both the E8L and BK-2 formulations. In the case of BK-2, a much greater effect of precise mixing on the spread of density values may be observed. Thus, one can expect that the refinement of the mixing system for a novel formulation will result in a significant improvement in energetic parameters, which has been proven during laboratory tests where the mixing was very precise and almost perfect. In contrast to E8L, the BK-2 formulation is based on a hybrid sensitization, i.e., that apart from the gassing reaction, the reaction of precipitating fine ammonium perchlorate crystals in the matrix occurs in parallel, which can only be achieved with very precise mixing of components.
The same conclusion can be drawn from the brisance tests, in which the highest compression factor was obtained for BK-2 when a double mixer was used. From a detonation velocity point of view, an approximately 5–6% increase in average values was observed in tests with a double static mixer. The average VOD measured for E8L increased from 3790 m/s to 4020 m/s and from 3820 m/s to 4030 m/s for BK-2. This proves that slightly higher detonation velocities may be achieved when a double static mixer is used. Finally, this finding also applies to the results of fragmentation, which was improved by more than 20% in some fragment size ranges, when the double mixer was used.

5. Conclusions

A comparison of the results of experiments conducted in actual use conditions and those conducted in laboratory conditions, discussed in our previous work [24], shows that the emulsion explosive densities obtained under laboratory conditions cannot be obtained using commonly used mixing–charging units, due to the method of component mixing. Despite the inadequate mixing of BK-2, its performance is comparable to that of E8L.
Consequently, developing a mixing–charging system that would allow a sufficient degree of mixing to be achieved and, therefore, allow peak performance of BK-2, is an important aspect of future work on modifying emulsion explosive formulations. Taking into account the prospective results of laboratory tests and the observations from the presented work, achieving the above goal necessitates further tests, so as to refine and redevelop the mixing method for the BK-2 formulation.
On the other hand, despite the use of a single mixer and inaccurate mixing, no misfires were observed for BK-2, and the produced explosive has similar physical parameters to those of the standard E8L emulsion explosive formulation. This indicates that the BK-2 formulation exhibits a high degree of tolerance to technical issues or errors taking place during the charging of the blastholes, potentially alleviating occurrences which would otherwise compromise the viability of a less error-tolerant emulsion explosive formulation.
It should also be highlighted that the faces were loaded using a mixing–charging unit that was designed specifically for the standard E8L emulsion explosive formulation. Nevertheless, the results achieved for the novel BK-2 formulation are very promising. From a mining point of view, the greatest advantage of this formulation is its rapid stabilization of the density over time.
In summary, a significant improvement in the sensitization rate, a shorter time required to reach the final emulsion explosive density, and an increased stability of the sensitized bulk emulsion have all been achieved. This is especially important when firing several faces loaded at different times. Although the rate, at which the final parameters of the bulk emulsion explosive are achieved can in principle be further shortened, further work needs to take into account that the sensitization process cannot be too rapid, because an excessively fast reaction will cause certain practical and technical difficulties, such as increased pressure in the blastholes, as well as possibly introducing inhomogeneity defects in the sensitized emulsion explosives.

Author Contributions

Conceptualization, P.M. and B.K.; methodology, P.M., B.K. and M.P.; validation, P.M., T.J. and K.J.; formal analysis, P.M., B.K., M.P. and M.S.; investigation, P.M., B.K., M.P. and M.S.; data curation, P.M., B.K., M.P. and T.J.; writing—original draft preparation, P.M., B.K., M.P., M.S. and T.J.; writing—review and editing, P.M., T.J. and K.J.; visualization, P.M., B.K., M.P., M.S. and T.J.; supervision, P.M. and T.J.; project administration, P.M. and B.K.; funding acquisition, T.J. and K.J. All authors have read and agreed to the published version of the manuscript.

Funding

T.J. acknowledges the Silesian University of Technology grant No. 04/040/BKM22/0215.

Data Availability Statement

Not applicable.

Conflicts of Interest

The authors declare no conflict of interest.

References

  1. Bluhm, H.F. Ammonium Nitrate Emulsion Blasting Agent and Method of Preparing Same. U.S. Patent 3447978, 3 June 1969. [Google Scholar]
  2. Sifferlinger, N.A.; Hartlieb, P.; Moser, P. The importance of research on alternative and hybrid rock extraction methods. BHM Berg- und Hüttenmännische Monatshefte 2017, 162, 58–66. [Google Scholar] [CrossRef]
  3. Pickering, R.G.B.; Young, C. Controlled foam injection: A new and innovative non-explosive rockbreaking technology. J. S. Afr. Inst. Min. Metall. 2017, 117, 237–243. [Google Scholar] [CrossRef][Green Version]
  4. Ranjith, P.G.; Zhao, J.; Ju, M.; De Silva, R.V.S.; Rathnaweera, T.D.; Bandara, A.K.M.S. Opportunities and challenges in deep mining: A brief review. J. Eng. 2017, 3, 546–551. [Google Scholar] [CrossRef]
  5. Fairhurst, C. Some challenges of deep mining. J. Eng. 2017, 3, 527–537. [Google Scholar]
  6. Sil’vestrov, V.; Plastinin, A.; Karakhanov, S.; Zykov, V. Critical diameter and critical thickness of an emulsion explosive. Combust. Explos. Shock Waves 2008, 44, 354–359. [Google Scholar] [CrossRef]
  7. Mendes, R.; Ribeiro, J.; Plaksin, I.; Campos, J.; Tavares, B. Differences between the detonation behavior of emulsion explosives sensitized with glass or with polymeric micro-balloons. J. Phys. Conf. Ser. 2014, 500, 427052030. [Google Scholar] [CrossRef]
  8. Balakrishnan, V.; Pradhan, M.; Dhekne, P. Field investigation in the detonation behavior of emulsion explosive column induced with air gaps. Min. Sci. 2019, 26, 55–68. [Google Scholar] [CrossRef]
  9. Lyashenko, V.; Vorob’ev, A.; Nebohin, V.; Vorob’ev, K. Improving the efficiency of blasting operations in mines with the help of emulsion explosives. Min. Miner. Depos. 2018, 12, 95–102. [Google Scholar] [CrossRef]
  10. Mertuszka, P.; Szumny, M.; Fuławka, K.; Maślej, J.; Saiang, D. The effect of the blasthole diameter on the detonation velocity of bulk emulsion explosive in the conditions of selected mining panel of the Rudna mine. Arch. Min. Sci. 2019, 64, 725–737. [Google Scholar]
  11. Kabwe, E. Velocity of detonation measurement and fragmentation analysis to evaluate blasting efficacy. J. Rock Mech. Geotech. Eng. 2018, 10, 523–533. [Google Scholar] [CrossRef]
  12. Cooper, P.W. Acceleration, formation and flight of fragments. In Explosives Engineering, 1st ed.; Cooper, P.W., Ed.; Wiley-VCH: New York, NY, USA, 1996; pp. 385–394. [Google Scholar]
  13. Mertuszka, P.; Fuławka, K.; Cenian, B.; Kramarczyk, B. Impact of initiation method of bulk emulsion explosive on the velocity of detonation based on Emulinit 8L. Przegląd Górniczy 2017, 5, 8–16. (In Polish) [Google Scholar]
  14. Gupta, R.N.; Adhikari, G.R.; Venkatesh, H.S.; Theresraj, A.I.; Verma, H.K. Evaluation of explosives performance through in-the hole detonation velocity measurement. In Research Work of National Institute of Rock Mechanics; National Institute of Rock Mechanics: Kolar Gold Fields, India, 2001. [Google Scholar]
  15. Agrawal, H.; Mishra, A.K. A study on influence of density and viscosity of emulsion explosive on its detonation velocity. Model. Meas. Control 2017, 78, 316–336. [Google Scholar] [CrossRef]
  16. Mertuszka, P.; Fuławka, K.; Pytlik, M.; Wincenciak, J.; Wawryszewicz, A. The influence of time on the density and detonation velocity of bulk emulsion explosives–a case study from Polish copper mines. Cent. Eur. J. Energ. Mater. 2019, 16, 245–258. [Google Scholar] [CrossRef]
  17. Pradhan, M. Sleep time: Its consequences on performance of bulk emulsion explosive. J. Sci. Ind. Res. 2010, 69, 125–128. [Google Scholar]
  18. Mertuszka, P.; Kramarczyk, B. The impact of time on the detonation capacity of bulk emulsion explosives based on Emulinit 8L. Propellants Explos. Pyrotech. 2018, 43, 799–804. [Google Scholar] [CrossRef]
  19. Pradhan, M. Effect of charge temperature on the detonation velocity of bulk emulsion explosives. J. Inst. Eng. 2009, 90, 3–7. [Google Scholar]
  20. Mertuszka, P.; Fuławka, K.; Pytlik, M.; Szastok, M. The influence of temperature on the detonation velocity of selected emulsion explosives. J. Energ. Mater. 2020, 38, 336–347. [Google Scholar] [CrossRef]
  21. Baranowski, P.; Mazurkiewicz, Ł.; Małachowski, J.; Pytlik, M. Experimental testing and numerical simulations of blast-induced fracture of dolomite rock. Meccanica 2020, 55, 2337–2352. [Google Scholar] [CrossRef]
  22. Baranowski, P.; Kucewicz, M.; Pytlik, M.; Małachowski, J. Shock-induced fracture of dolomite rock in small-scale blast tests. J. Rock Mech. Geotech. Eng. 2022, in press. [Google Scholar] [CrossRef]
  23. Türker, L. Velocity of detonation-a mathematical model. Acta Chim. Slov. 2010, 57, 288–296. [Google Scholar] [PubMed]
  24. Kramarczyk, B.; Pytlik, M.; Mertuszka, P.; Jaszcz, K.; Jarosz, T. Novel sensitizing agent formulation for bulk emulsion explosives with improved energetic parameters. Materials 2022, 15, 900. [Google Scholar] [CrossRef] [PubMed]
  25. Kramarczyk, B.; Mertuszka, P. Study of the influence of sensitizer content on the density of a bulk emulsion explosive used in underground operations. Cent. Eur. J. Energ. Mater. 2021, 18, 429–447. [Google Scholar]
  26. Wimmer, M.; Ouchterlony, F. 2D image analysis using WipFrag software compared with actual sieving data of Kiruna magnetite loaded from a draw point. In Swebrec Report; Luleå University of Technology, Swedish Blasting Research Centre: Luleå, Sweden, 2009. [Google Scholar]
  27. Nanda, S.; Pal, B. Analysis of blast fragmentation using WipFrag. Int. J. Innov. Sci. Res. Technol. 2020, 5, 1561–1566. [Google Scholar] [CrossRef]
  28. Sanchidrián, J.A.; Segarra, P.; Ouchterlony, F.; López, L.M. On the accuracy of fragment size measurement by image analysis in combination with some distribution functions. Rock Mech. Rock Eng. 2009, 42, 95–116. [Google Scholar] [CrossRef]
  29. Ouchterlony, F. The Swebrec© function: Linking fragmentation by blasting and crushing. Min. Technol. Trans. Inst. Min. Metall. 2005, 114, 29–44. [Google Scholar] [CrossRef]
  30. Coello-Velázquez, A.L.; Quijano Arteaga, V.; Menéndez-Aguado, J.M.; Pole, F.M.; Llorente, L. Use of the Swebrec function to model particle size distribution in an industrial-scale Ni-Co ore grinding circuit. Metals 2019, 9, 882. [Google Scholar] [CrossRef]
  31. Sućeska, M. Test Methods for Explosives. Springer Science + Business Media: New York, NY, USA, 1995. [Google Scholar]
  32. EN 13631-4:2002; Explosives for Civil Uses. High Explosives–Part 4: Determination of Impact Sensitiveness to Impact of Explosives. European Committee for Standardization (CEN): Brussels, Belgium, 2002.
  33. EN 13631-3:2004; Explosives for Civil Uses. High Explosives–Part 3: Determination of Impact Sensitiveness to Friction of Explosives. European Committee for Standardization (CEN): Brussels, Belgium, 2004.
Figure 1. Scheme of the mining face cross-section, depicting the geologic structure and dimensions of the typical face over the considered panel.
Figure 1. Scheme of the mining face cross-section, depicting the geologic structure and dimensions of the typical face over the considered panel.
Energies 15 06424 g001
Figure 2. Drilling and blasting pattern used during underground trials: cross-section of the face (upper), topside view of the drilled blastholes (lower).
Figure 2. Drilling and blasting pattern used during underground trials: cross-section of the face (upper), topside view of the drilled blastholes (lower).
Energies 15 06424 g002
Figure 3. Simplified scheme of the mixing–charging units for bulk emulsions. Arrows indicate flow direction of the components.
Figure 3. Simplified scheme of the mixing–charging units for bulk emulsions. Arrows indicate flow direction of the components.
Energies 15 06424 g003
Figure 4. Photographs of the single (left) and double (right) static mixers.
Figure 4. Photographs of the single (left) and double (right) static mixers.
Energies 15 06424 g004
Figure 5. Scheme of the VOD measurements in blastholes with construction of the explosive charge.
Figure 5. Scheme of the VOD measurements in blastholes with construction of the explosive charge.
Energies 15 06424 g005
Figure 6. Sample photo of muckpile cross-section with a scaling ball (left) and part of the delineation process (right).
Figure 6. Sample photo of muckpile cross-section with a scaling ball (left) and part of the delineation process (right).
Energies 15 06424 g006
Figure 7. Scheme (left) and view of the sample (right) for determining brisance via the Hess method.
Figure 7. Scheme (left) and view of the sample (right) for determining brisance via the Hess method.
Energies 15 06424 g007
Figure 8. Scheme of the Kast fall hammer test.
Figure 8. Scheme of the Kast fall hammer test.
Energies 15 06424 g008
Figure 9. Peters friction apparatus.
Figure 9. Peters friction apparatus.
Energies 15 06424 g009
Figure 10. Graphs of changes in the density of explosives in time: E8L (top) and BK-2 (bottom).
Figure 10. Graphs of changes in the density of explosives in time: E8L (top) and BK-2 (bottom).
Energies 15 06424 g010
Figure 11. Comparison of brisance (left) and compression factors (right) determined for the tested explosives using the Hess method.
Figure 11. Comparison of brisance (left) and compression factors (right) determined for the tested explosives using the Hess method.
Energies 15 06424 g011
Figure 12. Comparison of Swebrec models for both trials.
Figure 12. Comparison of Swebrec models for both trials.
Energies 15 06424 g012
Table 1. Tested sensitizing agent formulations.
Table 1. Tested sensitizing agent formulations.
ComponentConcentration (wt.%)
E8LBK-2
Ammonium nitrate47
Water95.4541
Sodium perchlorate8
Sodium nitrate4.53.3
ph modifier and dye0.050.7
Table 2. Summary of images used for fragmentation analysis.
Table 2. Summary of images used for fragmentation analysis.
Trial RoundFace No.Explosive TypeNumber of Images
#1 (single mixer)1E8L11
212
3BK-210
412
#2 (double mixer)1E8L15
214
3BK-216
414
Table 3. Summary of the results of detonation velocity measurements.
Table 3. Summary of the results of detonation velocity measurements.
Trial no.Test No.Velocity of Detonation [m/s]
E8LBK-2
#1 (single mixer)137103760
238503735
338803890
437203895
#2 (double mixer)140304000
240603990
340004060
439904070
Table 4. Cumulative fragment size–distribution curves (blue) and histograms (red) for considered cases.
Table 4. Cumulative fragment size–distribution curves (blue) and histograms (red) for considered cases.
Energies 15 06424 i001E8L (face 1 and 2)Trial #1 (single mixer)
Energies 15 06424 i002BK-2 (face 3 and 4)
Energies 15 06424 i003E8L (face 1 and 2)Trial #2 (double mixer)
Energies 15 06424 i004BK-2 (face 3 and 4)
Table 5. Estimated model parameters of the distribution model for both trials.
Table 5. Estimated model parameters of the distribution model for both trials.
Explosive TypeParameterValueStandard
Error
Confidence Limit
LowerUpper
Trial #1 (single mixer)
E8L x m a x 684 mmn/an/an/a
x 50 69.50 mm3.03 mm62.75 mm76.25 mm
b 2.500.132.212.82
BK-2 x m a x 866 mmn/an/an/a
x 50 100.14 mm4.30 mm90.57 mm109.72 mm
b 2.480.132.202.77
Trial #2 (double mixer)
E8L x m a x 1080 mmn/an/an/a
x 50 35.09 mm1.56 mm31.66 mm38.52 mm
b 2.610.112.372.86
BK-2 x m a x 608 mmn/an/an/a
x 50 35.86 mm1.85 mm31.73 mm39.99 mm
b 2.080.111.832.32
Publisher’s Note: MDPI stays neutral with regard to jurisdictional claims in published maps and institutional affiliations.

Share and Cite

MDPI and ACS Style

Mertuszka, P.; Kramarczyk, B.; Pytlik, M.; Szumny, M.; Jaszcz, K.; Jarosz, T. Implementation and Verification of Effectiveness of Bulk Emulsion Explosive with Improved Energetic Parameters in an Underground Mine Environment. Energies 2022, 15, 6424. https://doi.org/10.3390/en15176424

AMA Style

Mertuszka P, Kramarczyk B, Pytlik M, Szumny M, Jaszcz K, Jarosz T. Implementation and Verification of Effectiveness of Bulk Emulsion Explosive with Improved Energetic Parameters in an Underground Mine Environment. Energies. 2022; 15(17):6424. https://doi.org/10.3390/en15176424

Chicago/Turabian Style

Mertuszka, Piotr, Bartlomiej Kramarczyk, Mateusz Pytlik, Marcin Szumny, Katarzyna Jaszcz, and Tomasz Jarosz. 2022. "Implementation and Verification of Effectiveness of Bulk Emulsion Explosive with Improved Energetic Parameters in an Underground Mine Environment" Energies 15, no. 17: 6424. https://doi.org/10.3390/en15176424

APA Style

Mertuszka, P., Kramarczyk, B., Pytlik, M., Szumny, M., Jaszcz, K., & Jarosz, T. (2022). Implementation and Verification of Effectiveness of Bulk Emulsion Explosive with Improved Energetic Parameters in an Underground Mine Environment. Energies, 15(17), 6424. https://doi.org/10.3390/en15176424

Note that from the first issue of 2016, this journal uses article numbers instead of page numbers. See further details here.

Article Metrics

Back to TopTop