An Approach for Pricing of Charging Service Fees in an Electric Vehicle Public Charging Station Based on Prospect Theory †
Abstract
1. Introduction
2. Motivating Scenarios
3. EV User’s Response to Price
3.1. Prospect Theory of Behavioral Economics
3.2. Response Modeling
3.2.1. Response Model Only Considering the Price Factor
3.2.2. Response Model Considering Both the Price Factor and SOC
4. Charging Load Model and Pricing Optimization
4.1. Typical Charging Load
4.2. Optimal Pricing Based on EV Response Model
4.2.1. Charging Load Model after Pricing Optimization Based on Prospect Theory
4.2.2. Objective Functions of the Pricing Optimization
4.2.3. Constrains of the Pricing Optimization
4.3. Optimization Process and Solution
5. Case Studies and Validation
5.1. Scenario I—A Fast Charging Station for Electric Taxis
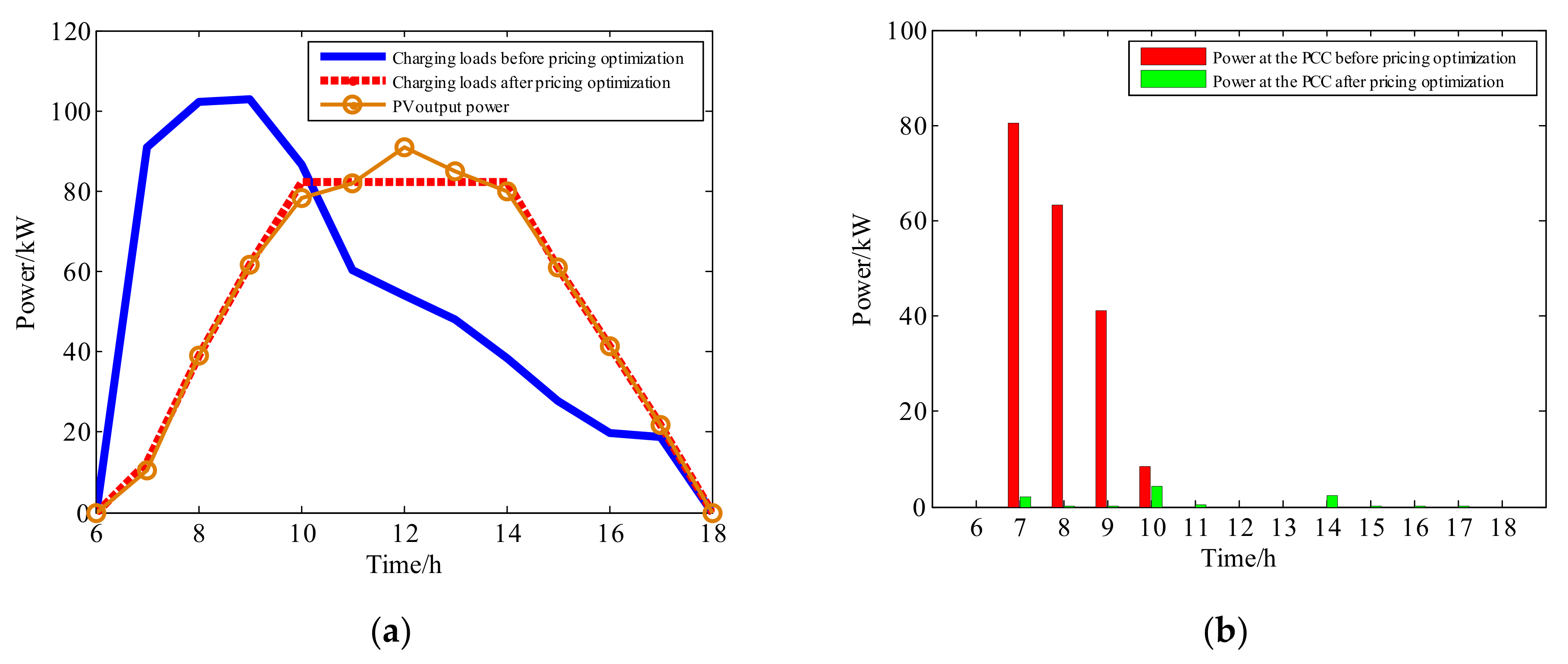
5.2. Scenario II—A Fast Charging Station with PV Integrated
6. Conclusions
- The EV response is assumed to be almost certain since the same response mechanism was applied in the pricing and automatic response of the on-board intelligent terminal, and hence we do not take behavior uncertainty into consideration in this paper. EV user’s behavior modeling with uncertainty is worth studying in the future, especially in the case of manual response.
- Since the parameters of prospect theory calibrated by Kahneman may not be suitable for decision-making in other contexts, the suitable parameters for pricing require a mass of real operational data. It is necessary to perform case studies based on the precise description of the price response model in a charging station when real operational data are collected, or assuming that massive historical data are available.
- Since the response can be implemented by the same on-board intelligent terminal, we did not consider reference points difference among different people in modeling. The reference point is significant in determining the response model, and the reference points among different people may be different. This is another limitation that needs to be addressed in future research.
Author Contributions
Funding
Institutional Review Board Statement
Informed Consent Statement
Data Availability Statement
Conflicts of Interest
References
- Chan, C.C. The State of the Art of Electric, Hybrid, and Fuel Cell Vehicles. Proc. IEEE 2007, 95, 704–718. [Google Scholar] [CrossRef]
- Madina, C.; Zamora, I.; Zabala, E. Methodology for assessing electric vehicle charging infrastructure business models. Energy Policy 2015, 89, 284–293. [Google Scholar] [CrossRef]
- Bjerkan, K.Y.; Nørbech, T.E.; Nordtømme, M.E. Incentives for promoting Battery Electric Vehicle (BEV) adoption in Norway. Transp. Res. Part D Transp. Environ. 2016, 43, 169–180. [Google Scholar] [CrossRef]
- Guo, Y.; Kelly, J.A.; Clinch, J.P. Variability in total cost of vehicle ownership across vehicle and user profiles. Commun. Transp. Res. 2022, 2, 100071. [Google Scholar] [CrossRef]
- Serradilla, J.; Wardle, J.; Blythe, P.; Gibbon, J. An evidence-based approach for investment in rapid-charging infrastructure. Energy Policy 2017, 106, 514–524. [Google Scholar] [CrossRef]
- Xiong, R.; Chen, H.; Wang, C.; Sun, F. Towards a smarter hybrid energy storage system based on battery and ultracapacitor—A critical review on topology and energy management. J. Clean. Prod. 2018, 202, 1228–1240. [Google Scholar] [CrossRef]
- Lopes, J.A.P.; Soares, F.J.; Almeida, P.M.R. Integration of Electric Vehicles in the Electric Power System. Proc. IEEE 2011, 99, 168–183. [Google Scholar] [CrossRef]
- Clement-Nyns, K.; Haesen, E.; Driesen, J. The Impact of Charging Plug-In Hybrid Electric Vehicles on a Residential Distribution Grid. IEEE Trans. Power Syst. 2010, 25, 371–380. [Google Scholar] [CrossRef]
- Shafiee, S.; Fotuhi-Firuzabad, M.; Rastegar, M. Investigating the impacts of plug-in hybrid electric vehicles on power distribution systems. IEEE Trans. Smart Grid 2013, 4, 1351–1360. [Google Scholar] [CrossRef]
- Gray, M.K.; Morsi, W.G. Power Quality Assessment in Distribution Systems Embedded with Plug-In Hybrid and Battery Electric Vehicles. IEEE Trans. Power Syst. 2015, 30, 663–671. [Google Scholar] [CrossRef]
- Turker, H.; Bacha, S.; Chatroux, D.; Hably, A. Low-Voltage Transformer Loss-of-Life Assessments for a High Penetration of Plug-In Hybrid Electric Vehicles (PHEVs). IEEE Trans. Power Deliv. 2012, 27, 1323–1331. [Google Scholar] [CrossRef]
- Zhang, W.; Zhang, D.; Mu, B.; Wang, L.Y.; Bao, Y.; Jiang, J.; Morais, H. Decentralized Electric Vehicle Charging Strategies for Reduced Load Variation and Guaranteed Charge Completion in Regional Distribution Grids. Energies 2017, 10, 147. [Google Scholar] [CrossRef]
- Han, J.; Park, J.; Lee, K. Optimal Scheduling for Electric Vehicle Charging under Variable Maximum Charging Power. Energies 2017, 10, 933. [Google Scholar] [CrossRef]
- Xu, Z.; Hu, Z.; Song, Y.; Zhao, W.; Zhang, Y. Coordination of PEVs charging across multiple aggregators. Appl. Energy 2014, 136, 582–589. [Google Scholar] [CrossRef]
- Di Silvestre, M.L.; Sanseverino, E.R.; Zizzo, G.; Graditi, G. An optimization approach for efficient management of EV parking lots with batteries recharging facilities. J. Ambient Intell. Humaniz. Comput. 2013, 4, 641–649. [Google Scholar] [CrossRef]
- Awad, A.; Shaaban, M.; El-Fouly, T.; El-Saadany, E.; Salama, M. Optimal resource allocation and charging prices for benefit maximization in smart PEV-parking lots. IEEE Trans. Sustain. Energy 2017, 3, 906–915. [Google Scholar] [CrossRef]
- Liu, P.; Yu, J.; Fan, K.; Eissa, M. PEV charging coordination to absorb excess wind energy via group differentiated dual-tariff schemes. Electr. Power Syst. Res. 2017, 151, 208–217. [Google Scholar] [CrossRef]
- Faddel, S.; Al-Awami, A.T.; Mohammed, O.A. Charge Control and Operation of Electric Vehicles in Power Grids: A Review. Energies 2018, 11, 701. [Google Scholar] [CrossRef]
- Zoltowska, I.; Lin, J. Optimal Charging Schedule Planning for Electric Buses Using Aggregated Day-Ahead Auction Bids. Energies 2021, 14, 4727. [Google Scholar] [CrossRef]
- Kong, C.; Bayram, I.S.; Devetsikiotis, M. Revenue Optimization Frameworks for Multi-Class PEV Charging Stations. IEEE Access 2015, 3, 2140–2150. [Google Scholar] [CrossRef]
- Cui, S.; Yao, B.; Chen, G.; Zhu, C.; Yu, B. The multi-mode mobile charging service based on electric vehicle spatiotemporal distribution. Energy 2020, 198, 117302. [Google Scholar] [CrossRef]
- Zima-Bockarjova, M.; Sauhats, A.; Petrichenko, L.; Petrichenko, R. Charging and discharging scheduling for electrical vehicles using a Shapley-Value approach. Energies 2020, 13, 1160. [Google Scholar] [CrossRef]
- Zhang, L.; Yang, M.; Zhao, Z. Game analysis of charging service fee based on benefit of multi-party participants: A case study analysis in China. Sustain. Cities Soc. 2019, 48, 101528. [Google Scholar] [CrossRef]
- Shi, Y.; Zhang, D.; Zhou, Y.; Feng, D.; Wu, D. Stackelberg game based fast charging service fee price model in consideration of electric vehicles’ promotion. In Proceedings of the 8th Renewable Power Generation Conference, Shanghai, China, 24–25 October 2019; pp. 1–7. [Google Scholar]
- Su, S.; Wang, W.; Yan, H.; Ding, N. Alliance game pricing model of charging service fee under market competition mode. In Proceedings of the IEEE International Conference on Energy Internet, Nanjing, China, 27–31 May 2019; pp. 426–431. [Google Scholar]
- Liu, J. Research on pricing segmentation method of electric vehicle charging service fee. In Proceedings of the IEEE PES Innovative Smart Grid Technologies Asia, Chengdu, China, 21–24 May 2019; pp. 704–709. [Google Scholar]
- Liu, J.; Chen, Y.; Zou, D.; Zuo, G.; Lu, L. Study on segmented pricing method of electric vehicles charging service fee based on clustering algorithms. In Proceedings of the 11th International Conference on Intelligent Human-Machine Systems and Cybernetics, Hangzhou, China, 24–25 August 2019; pp. 76–79. [Google Scholar]
- Qian, T.; Shao, C.; Li, X.; Wang, X.; Shahidehpour, M. Enhanced Coordinated Operations of Electric Power and Transportation Networks via EV Charging Services. IEEE Trans. Smart Grid 2020, 11, 3019–3030. [Google Scholar] [CrossRef]
- Bayram, I.S.; Michailidis, G.; Devetsikiotis, M. Unsplittable Load Balancing in a Network of Charging Stations Under QoS Guarantees. IEEE Trans. Smart Grid 2015, 6, 1292–1302. [Google Scholar] [CrossRef]
- Yuan, W.; Huang, J.; Zhang, Y.J.A. Competitive charging station pricing for plug-in electric vehicles. IEEE Trans. Smart Grid 2017, 8, 627–639. [Google Scholar]
- Seyedyazdi, M.; Mohammadi, M.; Farjah, E. A Combined Driver-Station Interactive Algorithm for a Maximum Mutual Interest in Charging Market. IEEE Trans. Intell. Transp. Syst. 2020, 21, 2534–2544. [Google Scholar] [CrossRef]
- Lu, Z.; Qi, J.; Zhang, J.; He, L.; Zhao, H. Modelling dynamic demand response for plug-in hybrid electric vehicles based on real-time charging pricing. IET Gener. Transm. Distrib. 2017, 11, 228–235. [Google Scholar] [CrossRef]
- Liu, L.; Lyu, X.; Jiang, C.; Xie, D. Decision-Making of Determining the Start Time of Charging/Discharging of Electrical Vehicle Based on Prospect Theory. J. Electr. Eng. Technol. 2014, 9, 803–811. [Google Scholar] [CrossRef][Green Version]
- Gao, J.; Yang, Y.; Gao, F.; Wu, H. Collaborative optimization of electric vehicles based on multiagent variant Roth–Erev algorithm. Energies 2022, 15, 125. [Google Scholar] [CrossRef]
- Kahneman, D.; Tversky, A. Prospect Theory: An Analysis of Decision under Risk. Econometrica 1979, 47, 263. [Google Scholar] [CrossRef]
- Tversky, A.; Kahneman, D. Advances in prospect theory: Cumulative representation of uncertainty. J. Risk Uncertain. 1992, 5, 297–323. [Google Scholar] [CrossRef]
- Barberis, N.C. Thirty years of prospect theory in economics: A review and assessment. J. Econ. Perspect. 2012, 27, 173–195. [Google Scholar] [CrossRef]
- Gao, K.; Yang, Y.; Qu, X. Diverging effects of subjective prospect values of uncertain time and money. Commun. Transp. Res. 2021, 2, 100007. [Google Scholar] [CrossRef]
- Li, Z.; Hensher, D. Prospect Theoretic Contributions in Understanding Traveller Behaviour: A Review and Some Comments. Transp. Rev. 2011, 31, 97–115. [Google Scholar] [CrossRef]
- Stathopoulos, A.; Hess, S. Revisiting reference point formation, gains-losses asymmetry and non-linear sensitivities with an emphasis on attribute specific treatment. Transp. Res. Part A Policy Pract. 2012, 46, 1673. [Google Scholar] [CrossRef]
- Xu, H.; Lou, Y.; Yin, Y.; Zhou, J. A prospect-based user equilibrium model with endogenous reference points and its application in congestion pricing. Transp. Res. Part B Methodol. 2011, 45, 311–328. [Google Scholar] [CrossRef]
- Ortúzar, J.D.D. Future transportation: Sustainability, complexity and individualization of choices. Commun. Transp. Res. 2021, 1, 100010. [Google Scholar] [CrossRef]
- Bao, Y.; Chang, F.; Shi, J.; Zhang, W. An approach for pricing of charging service fees in an electric vehicle public charging station. In Proceedings of the International Conference on Electric and Intelligent Vehicles, Nanjing, China, 25–28 June 2021; pp. 1–6. [Google Scholar]













| Index | Before Pricing Optimization | After Pricing Optimization |
|---|---|---|
| Peak-to-valley ratio of the charging station | 0.502 | 0.8797 |
| Electricity purchase cost of the station (CNY/day) | 4727.1 | 4002.4 |
| Revenue of the station operator (CNY/day) | 4580.6 | 5256.4 |
| EV users charging cost (CNY/day) | 9307.7 | 9258.8 |
| Index | Before Pricing Optimization | After Pricing Optimization |
|---|---|---|
| Peak-to-valley ratio of the charging station | 0.502 | 0.3714 |
| Electricity purchase cost of the station (CNY/day) | 4727.1 | 4474.1 |
| Revenue of the station operator (CNY/day) | 4580.6 | 4591.8 |
| EV users’ charging cost (CNY/day) | 0.502 | 0.3714 |
| Index | Before Pricing Optimization | After Pricing Optimization |
|---|---|---|
| Solar curtailment (kWh/day) | 195.24 | 11.15 |
| Peak power at the PCC (kW) | 80.52 | 4.27 |
| Electricity purchase cost of the station (CNY/day) | 77..3 | 3.66 |
| Revenue of the station operator (CNY/day) | 702.23 | 755.64 |
| EV users’ charging cost (CNY/day) | 779.53 | 759.29 |
Publisher’s Note: MDPI stays neutral with regard to jurisdictional claims in published maps and institutional affiliations. |
© 2022 by the authors. Licensee MDPI, Basel, Switzerland. This article is an open access article distributed under the terms and conditions of the Creative Commons Attribution (CC BY) license (https://creativecommons.org/licenses/by/4.0/).
Share and Cite
Bao, Y.; Chang, F.; Shi, J.; Yin, P.; Zhang, W.; Gao, D.W. An Approach for Pricing of Charging Service Fees in an Electric Vehicle Public Charging Station Based on Prospect Theory. Energies 2022, 15, 5308. https://doi.org/10.3390/en15145308
Bao Y, Chang F, Shi J, Yin P, Zhang W, Gao DW. An Approach for Pricing of Charging Service Fees in an Electric Vehicle Public Charging Station Based on Prospect Theory. Energies. 2022; 15(14):5308. https://doi.org/10.3390/en15145308
Chicago/Turabian StyleBao, Yan, Fangyu Chang, Jinkai Shi, Pengcheng Yin, Weige Zhang, and David Wenzhong Gao. 2022. "An Approach for Pricing of Charging Service Fees in an Electric Vehicle Public Charging Station Based on Prospect Theory" Energies 15, no. 14: 5308. https://doi.org/10.3390/en15145308
APA StyleBao, Y., Chang, F., Shi, J., Yin, P., Zhang, W., & Gao, D. W. (2022). An Approach for Pricing of Charging Service Fees in an Electric Vehicle Public Charging Station Based on Prospect Theory. Energies, 15(14), 5308. https://doi.org/10.3390/en15145308

