Next Article in Journal
A Bidirectional DHC-LT Resonant DC-DC Converter with Research on Improved Fundamental Harmonic Analysis Considering Phase Angle of Load Impedance
Next Article in Special Issue
Faulty Operation of Coils’ and Humidifier Valves in a Typical Air-Handling Unit: Experimental Impact Assessment of Indoor Comfort and Patterns of Operating Parameters under Mediterranean Climatic Conditions
Previous Article in Journal
An Evaluation of Co-Simulation for Modeling Coupled Natural Gas and Electricity Networks
Previous Article in Special Issue
Cooling Thermal Comfort and Efficiency Parameters of Ceiling Panels, Underfloor Cooling, Fan-Assisted Radiators, and Fan Coil
 
 
Font Type:
Arial Georgia Verdana
Font Size:
Aa Aa Aa
Line Spacing:
Column Width:
Background:
Article

Heating Sizing Power Reduction in Buildings Connected to District Heating with Dynamically Controlled DHW Setback and Flow Limiters

1
Department of Civil Engineering, School of Engineering, Aalto University, 02150 Espoo, Finland
2
NZEB Research Group, Department of Civil Engineering and Architecture, Tallinn University of Technology, 19086 Tallinn, Estonia
3
FinEst Centre for Smart Cities (Finest Centre), Tallinn University of Technology, 19086 Tallinn, Estonia
*
Author to whom correspondence should be addressed.
Energies 2022, 15(14), 5278; https://doi.org/10.3390/en15145278
Submission received: 8 June 2022 / Revised: 7 July 2022 / Accepted: 19 July 2022 / Published: 21 July 2022

Abstract

:
Space Heating (SH) substations in District Heating-based (DH) systems are typically dimensioned at the design outdoor temperature without accounting for internal and solar heat gains. In residential buildings, the total required DH power typically also includes the need for Domestic Hot Water (DHW). This practice results in oversized substations and high DH design flow rates, which, due to heat gains and building thermal mass utilization in building operation, rarely, if ever, occur. Modern buildings maintain the desired indoor temperature with lower heating power by controlling the SH supply temperature with an outdoor-air-dependent heating curve and heating water flow with room unit thermostats. Applying a dynamic heating control algorithm can be considered one option to reduce the required DH power and optimize the DH network. Another possibility to decrease the needed power is controlling the DH flow by prioritizing DHW production and limiting the DH flow for SH. This study proposed a novel sizing method for the DH substation that quantifies the effects of dynamic control and flow limiters. Building models with detailed hydronic plants, accounting for internal heat gains, and using conventional and dynamic heating controls were developed in the IDA Indoor Climate and Energy simulation tool. The results show a potential DH side power reduction of up to 25%.

1. Introduction

To accomplish the Glasgow United Nations Climate Change Conference goal of maintaining global temperatures below 1.5 °C, the European Union (EU) has set a long-term target under the European Green Deal of no greenhouse gas net emissions by 2050 [1,2]. Moreover, according to the European Green Deal, the net greenhouse gas emissions will be reduced by at least 55% by 2030 compared to 1990 levels [2]. Energy and transportation are involved in more than 75% of current CO2 emissions in Europe [3]. Heating and cooling are projected to account for half of the total energy usage in Europe, and District Heating (DH) is deemed essential to developing a sustainable energy system [4]. Due to retrofitting the building stock, the demand side of the heating sector has received a lot of attention; however, the heating supply type has recently gained more attention [5]. Therefore, it is important to use district heating capacity more effectively, which will help decarbonize the energy supply.
Improving heating control systems, which avoids overheating and unnecessary energy usage, frequently addresses the numerous possible strategies to improve building energy performance. As the parameters of the control system change over time, dynamic heating control is a solution for avoiding inaccurate desirable heating system measurements [6]. Furthermore, dynamic heating control aids in the adaptation of the control system against instant parameter variations in order to improve system efficiency. Sun et al. (2021) also proposed a dynamic heating approach based on online prediction and indoor temperature response, effectively regulating overheating while saving around 6% of heating energy [7]. Elkhuizen et al. (2003) suggested that employing adaptive heating control methods by paying close attention to heating/cooling curve settings in air handling units may save up to 35% of energy without requiring large financial investments [8].
Moreover, an online structural and parametric learning method was utilized by Ionesi et al. (2015) to develop a heating curve that increased thermal comfort and reduced space heating energy by 5% [9]. Hajian et al. (2021) attempted to develop a dynamic heating control method, which resulted in significant power savings [10]. Their proposed dynamic heating control algorithm was performed according to the following criteria: (a) minimum indoor air temperature across all zones, (b) heating curve supply temperature based on outdoor temperature, and (c) Domestic Hot Water (DHW) compensation temperature at high DHW flow rate usage. The dynamic heating control algorithm did not save energy but reduced the SH and total heating power by 8.9% and 13.7%, respectively. In this case, the inability to save energy was attributed to the correct heating curve and properly operating thermostats in a balanced heating system.
These previous studies allowed the conclusion to be made that energy savings are not possible in properly operating heating systems where thermostats keep setpoints, but a considerable power saving potential may exist. One way to decrease heating power is employing a flow limiter, which reduces the primary-side flow rate in DH systems. Flow limiters, also known as differential pressure controllers, include two separate differential pressure controllers and a flow restrictor that establish constant differential pressure over the flow limiter to guarantee automatic flow limitation regardless of system pressure fluctuations [11]. Flow limiters are chosen based on the type of system, its size, knowledge of the system’s flow rate, and tariff systems [12]. Koiv et al. (2014) employed a flow limiter to control the mass flow rate based on a probabilistic flow rate estimation for hot water heating, which resulted in a 45% reduction in boiler power [13]. Likewise, Ashfaq et al. (2018) showed the importance of implementing flow limiters to preserve the hydraulic balance in the building’s Space Heating (SH) system [12]. The current studies indicate a good potential to investigate the effect of flow controllers on reducing the secondary- and primary-side power, fixed fee in DH, and the capacity taken from the DH network in buildings connected to DH.
Therefore, several studies have demonstrated the impact of dynamic heating controls and flow limiters on energy consumption while preserving or improving thermal comfort. However, the impacts of applying dynamic heating control and employing flow limiters on heating sizing power in these systems were not investigated. Moreover, there is a lack of a heating power sizing procedure that considers not only the design outdoor air temperature but also other factors such as internal heat gains and local extreme weather conditions instead of the design outdoor temperature.
This research aimed to investigate the possibilities of reducing DH power and flow rates in apartment buildings where DHW often dominates over SH. The impact of employing the dynamic heating control system and the flow limiter on the primary- and secondary-side power reduction was studied by comparing the maximum total (DHW + SH) heat exchanger power in the conventional heating control system. To propose a new design method enabling significant heating power reduction, the research used the design outdoor temperature condition (−26 °C) and dynamic heating sizing with the Extreme Weather File (EWF) over the last ten years. Additionally, in both scenarios, the influence of Internal Heat Gain (IHG) on the maximum required SH heat exchanger power was examined.

2. Methodology

2.1. Method of Investigation

This study used the IDA Indoor Climate and Energy (IDA ICE) tool for simulations. The calibrated model of a typical old multifamily apartment building connected to DH was used to analyze the possibilities for heating power and DH network flowrate reduction when considering the operation at the highest peak powers. The calibrated ideal plant and detailed plant model (with heat exchangers) were used for that purpose. On the primary side, the flow reduction effect at the highest powers was studied by implementing a flow limiter with a fixed maximum water flow rate. On the secondary side, both conventional control with an outdoor compensated heating curve and dynamic control dropping the heating curve at high DHW use were analyzed. The DHW consumption hourly profile was obtained from the research reported by Ahmed et al. [14,15] investigating DHW consumption in Finnish apartment buildings in order to simulate DHW variations in a realistic fashion. The investigation considered the design outdoor temperature condition (−26 °C) and the EWF during the last ten years to compare the ideal and realistic situations. Hence, the impact of the dynamic heating control algorithm and the flow limiter on the max required SH heat exchanger was compared to the conventional model in both design outdoor temperature and the extreme weather data cases.
Moreover, the effect of IHG on the max required SH heat exchanger power was investigated in both cases. Finally, the max required total power considering the IHG and employing the flow limiter was calculated and compared between the conventional and dynamic heating control systems. The simulations were subjected to indoor air temperature, so the minimum indoor air temperature never dropped below 20.5 °C in the coldest apartments. Figure 1 presents the study flowchart.

2.2. Reference Building Specifications

The reference multifamily apartment building, built in 1981, consists of two concrete blocks of apartments (A and B), and there are four stories in each block, as shown in Figure 2. It is situated in Helsinki, Finland. There are 22 apartments, three staircases, and two common rooms in block A and 16 apartments, two staircases, and one common room in block B. There were 104 occupants in both building blocks when measuring onsite data.
The total heated area, including both blocks, was calculated as 4085.5 m2. The area and U-value (heat transmittance coefficient) of the building envelope’s main elements are listed in Table 1.
A mechanical exhaust ventilation system was utilized to ventilate both buildings. Based on the calibration process results conducted by Hajian et al. (2021) [16], the fan’s airflow rate was defined as 0.29 L/(s m2) and 0.45 L/(s m2) in cold and hot seasons in the model calibration process, respectively. The tabulated fan operation schedule was published in [16].
The 600 mm high water radiators of type 11 with an output heat of 1018 W/m at 70/40/21 °C and 2K dead-band proportional thermostats were included in the modeled SH system. To model radiators in IDA ICE, 10% oversizing was considered in the conventional heating control model. This was slightly increased to 15% in the calibration with dynamic heating control onsite measured data. The design outdoor temperature of −26 °C was used, corresponding to the sizing in South Finland.
The ISO 17772-1:2017 [17] was used to establish the internal heat gain profiles (occupancy, appliances, and lighting) that are reported in detail in Hajian et al. (2021) [16]. Based on the national building code of Finland [18], the appliance power is considered as 4 W/m2. During the model calibration process, this was increased to 4.4 W/m2. In addition, during the cold months (January to March and October to December), an additional appliance profile of 1 W/m2 was employed. The model calibration carried out by Hajian et al. (2021) [16] resulted in the development of this pattern.
The building leakage rate was estimated to be approximately 4 m3/(h.m2 ext. surf.) at a 50 Pa pressure difference. The wind speed and semi-exposed pressure coefficients for the infiltration airflow simulation were deployed from a local weather station in the Finnish meteorological institute [19] and the Air Infiltration and Ventilation Centre (AIVC) [20], respectively.
The available onsite measured data, comprising total DH usage, electricity consumption (facilities and apartment), and Domestic Cold Water (DCW) usage, were provided by Hajian et al. (2021) [16]. The DHW energy consumption and circulation losses were computed using these data in [16].

2.3. Conventional and Dynamic Heating Curve with Ideal Plant

The current conventional heating control system used an outdoor air temperature compensated Heating Curve (HC) of 70/40/21 °C. Moreover, the radiator type 11 exponent of 1.31 was used to calculate this ideal heating curve. The conventional heating plant is shown in Figure 3.
The setpoint between 21 °C to 23 °C was examined in the dynamic heating control to ensure a similar indoor air temperature level to the conventional model. Considering the maximum power saving while retaining the same indoor air temperature, the lowest possible setpoint was found as 21 °C. The dynamic heating control algorithm readjusted the supply temperature from the conventional heating curve considering the three following parameters:
The heating curve supply temperature is regulated by the outdoor temperature.
If the lowest indoor air temperature among all zones falls below 19.5 °C, the SH compensation temperature is considered to rise by 5 °C.
The DHW distribution factor ( DF DHW ) in the building fluctuates between 0 and 2.5 throughout the day. Figure 4 depicts the DHW consumption hourly profile used in the simulation model, which was constructed based on the data reported in Ahmed et al. (2016) [15]. Similarly, the dynamic heating control algorithm considered the DHW distribution factor in the dynamic model. At high DHW flow rates, the SH supply temperature is decreased between 0 °C and 12.5 °C based on the following limits:
T DHW , CT = { 0 DF DHW < 0.5 5 × DF DHW 0.5 < DF DHW < 2.5 12.5 DF DHW > 2.5
Figure 5 illustrates the SH supply temperature in the conventional and dynamic heating control systems during the three coldest days of the EWF dataset. The dynamic heating control algorithm preheated the building twice a day while the DHW consumption was minimal. Conversely, the conventional heating control system used a more stable supply temperature that was not affected by DHW consumption fluctuations. As the outdoor temperature dropped, the SH supply temperature rose.
The dynamic heating control implementation is shown in Figure 6.
Hajian et al. (2021) validated and calibrated the conventional model against the onsite data with high accuracy [16]. Subsequently, Hajian et al. verified the dynamic heating control model against measured data [10]. To be able to compare the SH and total heat exchanger power in different scenarios with the conventional model, the design DHW heat exchanger power was computed based on the Finnish design guidelines for water installation (D1/2007 Annex 2) [21]. The maximum design SH heat exchanger power was extracted from the simulation model. To understand the effect of the dynamic heating control and the flow limiter, models were simulated under two conditions, considering the design outdoor temperature (−26 °C in Helsinki) and the EWF over the last 10 years in Helsinki, Finland. The EWF provided a realistic picture of the building’s total power and mass flow rate fluctuation. The EWF was generated with the Meteonorm software [22], which provides weather data for worldwide locations. Under both conditions, the effect of considering IHG on the maximum required total heating power was also investigated with the argument that in the case of DHW use, the occupants must be present in the building, which is, however, ignored in current design practice. Therefore, the impact of implementing the flow limiter while considering the IHG on the maximum mass flow rate and total heating power was computed in conventional and dynamic heating control systems. Finally, the maximum mass flow rate and the maximum total power consumption were calculated according to the real weather file data in 2018 and 2020 for the conventional and dynamic models individually.

2.4. DHW and SH Flow Rate and Power Calculation

According to the Finnish design guidelines for water installation (D1/2007 Annex 2) [21], the design flow rate of the cold and hot water distribution lines is determined by the sum of the standard flows from Equation (1).
q = q N + Θ ( Q Q N ) + A q m Θ ( Q q N )
where:
  • q N : maximum standard flow in the pipe, L/s;
  • Θ: the probability that the standard flow rate q N on the watercraft is in use during peak consumption;
  • Q: sum of nominal flow rates of the connected water points;
  • q: the design flow rate, L/s;
  • A: factor that takes into account how often the design flow is exceeded;
  • q m : an average flow of the valve, L/s.
The Finnish design guidelines for water installation [21] state that the design flow rate of distribution lines in residential, office, schools, hotels, hospitals, and similar buildings is calculated based on the following values.
  • q N = 0.2 L/s (bathtub: 0.3 L/s);
  • q m = 0.2 L/s;
  • Θ = 0.015;
  • A = 3.1.
To calculate Q (sum of nominal flow rates of the connected water points), the water points of both buildings located in kitchens, WCs, and bathrooms (showers and washbasins) were counted from the drawings.
Based on the number of water points in the building, the total nominal flow rate was computed as 26.1, tabulated in Table 2.
The maximum SH heat exchanger power was extracted from the simulated models, and the corresponding maximum SH mass flow rate in the case of the ideal plant without heat exchangers was estimated considering DHW and DCW temperatures at 55 °C and 5 °C, respectively. The DH primary-side in- and outflow temperatures were considered as 115 °C and 65 °C, respectively.
By substituting the values in Equation (1), the maximum DHW flow rate was calculated as 1.45 L/s. This results in the design power required for DHW of 304.03 kW.

2.5. DHW and SH Heat Exchanger Scheme of Detailed Plant

To apply a flow limiter on the primary side, a detailed plant model with DH heat exchangers was developed according to the common DH substation connection scheme used in the reference building, Figure 7. This includes SH and two-stage DHW heat exchangers, thermal energy measurement, controls, and circulation pumps [23]. The flow limiter is highlighted in color.
According to Finnish district heating of buildings regulations and guidelines [24], DH primary-side design temperatures of 115 °C and 65 °C were used to size heat exchangers. The two-stage DHW heat exchanger delivered hot water to the piping system at 55 °C and received cold water at 5 °C. The scheme with a two-stage DWH heat exchanger (Figure 8) allowed the primary flow from the SH heat exchanger to preheat cold water in the DHW first-stage heat exchanger. The DHW circulation pump was controlled to maintain a 50 °C DHW return temperature.

2.6. Primary-Side Flow Limiter

A flow limiter is a differential pressure controller that keeps the differential pressure constant during the flow control, leading to the automated flow-limiting to the set value regardless of system pressure fluctuations [11]. This study modeled the primary-side flow limiter installed on the mainline with two flow limiters installed before heat exchangers, as shown in Figure 9a,b. The flow limiter total mass flow rate is a user input to the valve based on the maximum required flow rate [25]. Both flow limiters used the same setpoint calculated from the design power and controlled with 100% DHW priority on the primary side by the adder with the same setpoint. This means that if the DHW heat exchanger uses the specified full flow rate, the SH heat exchanger flow rate will equal zero. The specified flow rate can be distributed between heat exchangers in other situations. The modeled control principle corresponds to the real scheme with one flow limiter where DHW priority is implemented with DHW and SH control valves.
Sizing the flow limiter followed the current practice of an energy-providing company in Helsinki [25], which typically installs the flow limiters if the design SH heat exchanger power is greater than half the design DHW heat exchanger power. Figure 9a,b show the flow limiter implementation in the detailed plant model with a conventional and dynamic heating control. Flow limiter sizing is reported in Section 3.1.

2.7. Model Validation and Accuracy

As the essential goal for any modeling analysis is to evaluate the simulated model performance by comparing simulated data to measured data [26], the Index of agreement (d) and the Coefficient of Variation of the Root Mean Square Error (CVRMSE) were employed to assess the simulation models in this research. Moreover, sensitivity analysis was carried out to determine the accuracy of the model’s specification and evaluate the validity of the model’s premises. The approach is described in detail in [16]. The conventional and dynamic models were calibrated against the onsite measured data with less than 10% accuracy.

2.8. Indoor Air Temperature Assessment

The indoor air temperature assessment evaluated the individual apartments’ indoor air temperature level. The indoor air temperature design value is defined as 21 °C by the Indoor climate and ventilation of buildings in Finland [27]. To avoid compromising the indoor air temperature in this study, the parameters such as mass flow rate and heating power were measured and addressed after ensuring that the minimum average indoor air temperature never dropped below 20.5 °C, which assumes 0.5 °C as a reasonable control accuracy for the studied heating system with mechanical thermostats.

3. Results and Analysis

3.1. Impacts on Primary-Side Mass Flow Rate

The simulated SH design power obtained with the ideal plant of 223.5 kW and 213.8 kW in the conventional and dynamic heating control, respectively, was used to size the flow limiter. The idea was that the maximum flow rate might be sized with SH power only, considering that DHW power peaks are short. Moreover, the DHW control priority will direct enough flow to the DHW heat exchanger by “borrowing” the SH heat exchanger flow rate. The primary-side flow rate was estimated with a constant in/out SH heat exchanger flow temperature difference (ΔT) of 50 °C (flow in = 115 °C/flow out = 65 °C), giving the corresponding mass flow rate in the conventional and dynamic heating control as 1.068 L/s and 1.022 L/s, respectively. Nevertheless, employing a flow limiter had a limited impact on these values because the real ΔT in the heat exchanger was higher, and there was only a minor effect on heating power. To find the correct flow limiter sizing, the max flow rate setpoint was reduced step by step until the indoor air temperature was not significantly reduced. As a result, the minimum flow limiter setpoint value, while there was no indoor air temperature below 20.5 °C in any apartment, was found to be 0.772 L/s and 0.760 L/s with the conventional and dynamic control, respectively, as shown in Figure 10. Consequently, the average SH heat exchanger ΔT was increased to 68.67 °C and 69.11 °C in the conventional and dynamic control, respectively; the primary-side temperature fluctuations are shown in Figure 11. While the previous flow rates were the total flow rates, the corresponding SH mass flow rates were reduced to 0.719 L/s and 0.707 L/s due to the flow limiter and DHW priority control of valves, respectively, as illustrated in Figure 12. The minor increase in ΔT was likely caused by a preheating behavior of the dynamic control. It utilizes the thermal mass of the building and heating in the nighttime with a high flow rate that has decreased the SH heat exchanger ΔT at that period and has resulted in a marginally smaller delta T over the period.
The detailed plant model with a high flow limiter setting was used to calculate the real primary-side flow rates without a flow limiter to see the difference with a system where the primary-side flow rate was not limited. Without the flow limiter, the average ΔT in the conventional and dynamic control was 71.23 °C and 71.07 °C, respectively. The maximum total mass flow rate without the flow limiter was found as 0.822 L/s and 0.804 L/s in the conventional and dynamic control, as shown in Figure 10.
The dynamic heating control algorithm aimed to reduce the power and energy consumption by dropping the heating curve at high DHW use. The flow limiter aimed the same by decreasing the primary-side mass flow rate. Figure 13 compares the total and SH mass flow rate reductions achieved with these measures. The cases without a flow limiter show that the dynamic heating control algorithm affected the total and SH mass flow rate. Nevertheless, the flow limiter reduced the total and SH mass flow rate even more by 6.1% and 5.5%, respectively, with the conventional control. The impact of the flow limiter was even higher with the dynamic control, where the total and SH mass flow rates were decreased by 7.6% and 7.0%, respectively. This finding implies that utilizing the flow limiter together with the dynamic control led to the highest total and SH mass flow rate reduction.
As discussed in Section 2.6, the control valves of heat exchangers are operated with DHW priority over SH demand, which means that the SH heat exchanger flow rate will be eliminated if the DHW heat exchanger operates at the maximum flow rate. Figure 14 explains the DHW priority. The DHW temperature lines follow a similar pattern with very small differences in conventional and dynamic heating control, with or without the flow limiter.

3.2. Impacts on Heat Exchanger Power

Section 2.5 explains how the design DHW power was calculated as 304.03 kW based on the Finnish design guidelines for water installation (D1/2007 Annex 2). The following results in Figure 15 illustrate that the DHW design power that tends to be oversized did not sum up with the SH heat exchanger power (223.5 kW and 213.8 kW with the conventional and dynamic heating control, respectively). The maximum total power (SH and DHW power) with the flow limiter dropped by 11.1% in the conventional heating control and 10.9% in the dynamic heating control.
As discussed in Section 2.1, the maximum total power reduction while the flow limiter setpoint remained constant was investigated under two weather conditions: design outdoor temperature (−26 °C) and the simulation with extreme weather file (EWF). Figure 16 compares the maximum total power of all simulated cases under the design outdoor temperature condition. The blue bars represent the maximum total power in the conventional and dynamic control, while the orange bars compare them while implementing the flow limiter. The grey bars show the maximum total power while considering the effect of internal heat gain in the conventional and dynamic models. Finally, the green ones display the maximum total power when employing the flow limiter and considering the internal heat gain.
The results show that the dynamic heating control algorithm alone did not significantly decrease the maximum total power. In contrast, employing the flow limiter led to a maximum power reduction in conventional and dynamic models by 11.0% and 12.4%, respectively. In addition, considering the internal heat gain resulted in meaningful maximum power reductions of 7.5% and 9.9% in the conventional and dynamic models individually. However, the significant maximum total power occurred while implementing the flow limiter and considering the internal heat gain as 15.3% and 16.8% in the conventional and dynamic models correspondingly.
Considering that the EWF provided data closer to the real weather condition and would avoid oversizing with a constant design outdoor temperature, Figure 17 illustrates the total power reduction while using the EWF. The EWF reduced the maximum total power usage in the conventional and dynamic models by 6.1% and 7.8%. This influenced more while implementing the flow limiter in the conventional and dynamic models as it dropped the maximum total power by 15.8% and 16.9%, respectively. Finally, taking the internal heat gain into account significantly reduced the maximum total power by 23.9% and 25.3% in the conventional and dynamic models, respectively.

3.3. Indoor Air Temperature Evaluation

This study followed the Finnish design value of 21 °C room temperature. Considering the reasonable control accuracy of the radiator thermostats, it was aimed that the indoor air temperature should never drop below a 20.5 °C indoor air temperature in the coldest apartments. Consequently, all results were subjected to satisfy the mentioned precondition. The heating load (24 h) and energy (annually) simulations were run to ensure the indoor air temperature. Figure 18a,b illustrate the 24 h indoor air temperature in the coldest apartments simulated at the design outdoor air temperature with the conventional (a) and dynamic (b) control, respectively.
Likewise, the annual indoor air temperature duration curve in the coldest apartments simulated with the test reference year is shown in Figure 19a,b. In both cases, it is evident that the minimum indoor air temperature never dropped below 20.5 °C, which led to satisfying the indoor air temperature.

4. Discussion—A New Sizing Method for Power Reduction

In the current sizing method, the DHW and SH heat exchangers were sized based on the Finnish design guidelines calculation of the hot water flow rate and SH sizing at the design outdoor temperature (−26 °C). It is known that DHW heat exchangers are oversized with this method because real hot water rates tend to be remarkably smaller. DH companies assume that the DHW flow rate can be a factor of 2 smaller, but at the same time, oversized heat exchangers are beneficial, leading to a lower return temperature in the DH system. In other words, operation with smaller real flow rates is only a problem in the DH network sizing because too large a capacity (both primary-side power and flow rate) may be allocated to a building. For this reason, flow limiters are needed, and this study illustrates how they should be sized to operate buildings with a minimum possible capacity taken from the DH network.
Heat exchanger sizing software might offer a smarter design procedure where two variables—heat exchanger ΔT and flow rate—are to be solved simultaneously to obtain the intended SH power at given heating curve temperatures. We also noticed that the SH heat exchanger is somewhat oversized with the common method using the design outdoor temperature (−26 °C). We kept this oversized heat exchanger power, but to achieve the maximum reduction for the flow rate and power, we applied the dynamic simulation with the EWF. Moreover, the dynamic heating control algorithm was applied to further reduce the flow rate and power while keeping the minimum flow limiter setpoint constant, according to the indoor air temperature condition (minimum indoor air temperature in all apartments >20.5 °C simulated with −26 °C design outdoor temperature). Finally, we speculated that in the case of DHW use, occupants must be in the building, and, therefore, the internal heat gains could be taken into account. Evidently, the sizing with internal heat gains provided an additional reduction.
The proposed flow limiter and SH power sizing procedure are presented in Figure 20. To apply this procedure, designers need to take the following steps:
  • Conduct heating load simulation with the EWF data instead of the constant design outdoor air temperature.
  • Take the internal heat gains into account in simulations.
  • Implement the outdoor air compensated heat curve with DHW setback, i.e., the dynamic heating control algorithm.
  • Implement the conventionally sized DHW and SH heat exchangers in the plant model and simulate the SH primary-side mass flow rate at the given district heating supply and return temperatures.
  • Lower the flow limiter setpoint calculated with the given district heating supply and return temperatures step by step until no apartment’s indoor air temperature falls below 20.5 °C.
  • The simulation result provides the actual SH heat exchanger power based on the determined flow limiter setpoint.
This study was conducted with an hourly DHW profile, which is a limitation. In practice, higher and very-short-time DHW peaks can occur, which can change the situation, especially in smaller buildings. Therefore, it can be recommended to test the developed design procedure with a higher-resolution DHW profile in future studies.

5. Conclusions

This research investigated the impact of employing the dynamic heating control algorithm and implementing a flow limiter on heating design power and mass flow rate in the conventional heating control model of an old residential apartment building while considering the comfort range of indoor air temperature. Building simulation models were calibrated against onsite measured data with an accuracy better than 10%. The maximum DHW mass flow rate was calculated based on the Finnish standards, and the maximum SH mass flow rate and SH heat exchanger power were extracted from the simulation models. The simulations were performed considering two weather conditions: the design outdoor temperature case and the extreme weather data case. Based on the results, a new sizing method was proposed to reduce the power taken from the DH network by up to 25%.
The study’s outcomes led us to reach the following findings:
Considering the design outdoor temperature (−26 °C) condition, the dynamic heating control algorithm did not affect the mass flow rate and maximum total power. However, implementing the flow limiter in the conventional model resulted in a 6.1% reduction in the total mass flow rate and dropped the maximum total power by 11%. The dynamic model’s corresponding values were slightly higher as the total mass flow rate decreased by 5.5%, and the maximum total power was reduced by 12.4%. The effect of considering internal heat gains themselves dropped the maximum total power by 7.6% and 9.9% in the conventional and dynamic models, respectively. Nevertheless, a significant impact on the maximum total power was achieved while the combination of the flow limiter taking internal heat gains into account was considered. In this case, the maximum total power in the conventional and dynamic models was reduced by 15.3% and 16.8%, respectively.
In the extreme weather data case, the extreme weather data themselves dropped the maximum total power by 6.1% and 7.8% in the conventional and dynamic models, respectively. However, employing the flow limiter impacted the maximum total power more than the design outdoor temperature case by 15.8% and 16.9% in the conventional and dynamic models, respectively. The maximum total power reduction significantly increased to 23.9% and 25.3% in the conventional and dynamic models, respectively, while the internal heat gain and flow limiter were considered together.
To conclude, the dynamic heating control algorithm was not capable of reducing heating sizing power or mass flow rate significantly. However, the flow limiter significantly reduced the heating sizing power and mass flow rate in the design outdoor temperature condition. When the extreme weather file was taken into account, the maximum total power and mass flow rate reduction results revealed a highly considerable power saving potential in residential buildings.

Author Contributions

Conceptualization, H.H., R.S. and J.K.; Data curation, H.H.; Formal analysis, H.H.; Funding acquisition, J.K.; Investigation, H.H.; Methodology, H.H.; Project administration, J.K.; Software, H.H. and R.S.; Supervision, J.K.; Validation, H.H.; Visualization, H.H.; Writing—original draft, H.H.; Writing—review & editing, J.K. All authors have read and agreed to the published version of the manuscript.

Funding

This research was funded by the European Commission (Finest Twins, grant No. 856602), the Academy of Finland (grant for DECARBON-HOME 335253), the Estonian Centre of Excellence in Zero Energy and Resource Efficient Smart Buildings and Districts, ZEBE, grant 2014-2020.4.01.15-0016, provided funding for this study.

Institutional Review Board Statement

Not applicable.

Informed Consent Statement

Not applicable.

Acknowledgments

We are grateful to Pekka Takki from Helen Ltd. for his assistance and sharing of energy info.

Conflicts of Interest

The authors declare no conflict of interest.

References

  1. United Nation. HOME—UN Climate Change Conference (COP26) at the SEC—Glasgow 2021. Available online: https://ukcop26.org/ (accessed on 14 February 2022).
  2. A European Green Deal|European Commission. Available online: https://ec.europa.eu/info/strategy/priorities-2019-2024/european-green-deal_en (accessed on 4 April 2022).
  3. Greenhouse Gas Emission Statistics-Emission Inventories-Statistics Explained. Available online: https://ec.europa.eu/eurostat/statistics-explained/index.php?title=Greenhouse_gas_emission_statistics (accessed on 15 February 2022).
  4. David, A.; Mathiesen, B.V.; Averfalk, H.; Werner, S.; Lund, H. Heat Roadmap Europe: Large-scale electric heat pumps in district heating systems. Energies 2017, 10, 578. [Google Scholar] [CrossRef] [Green Version]
  5. European Commission. An EU Strategy on Heating and Cooling 2016. Energy 2016, 53, 1689–1699. [Google Scholar]
  6. Saloky, T.; Pitel, J. Adaptive Control of Heating Process with Outdoor Temperature Compensation; Semantic Scholar: Seattle, WA, USA, 2005; pp. 113–116. [Google Scholar]
  7. Sun, C.; Chen, J.; Cao, S.; Gao, X.; Xia, G.; Qi, C.; Wu, X. A dynamic control strategy of district heating substations based on online prediction and indoor temperature feedback. Energy 2021, 235, 121228. [Google Scholar] [CrossRef]
  8. Elkhuizen, P.A.; Peitsman, H.C.; Wienk, W.J. A new design guideline for the heating and cooling curve in AHU units of HVAC systems. Build. Serv. Eng. Res. Technol. 2003, 24, 191–202. [Google Scholar] [CrossRef]
  9. Ionesi, A.; Jradi, M.; Thorsen, J.E.; Veje, C.T. Simulation of an adaptive heat curve for automatic optimization of district heating installation. In Proceedings of the 14th International Conference of IBPSA-Building Simulation 2015, Hyderabad, Andhra Pradesh, 7–9 December 2015; pp. 2117–2124. [Google Scholar]
  10. Hajian, H.; Ahmed, K.; Kurnitski, J. Dynamic Heating Control Measured and Simulated Effects on Power Reduction, Energy, and Thermal Comfort in an Old Apartment Building with District Heating. Energy Build. 2022, 268, 112174. [Google Scholar] [CrossRef]
  11. Differential Pressure Controllers & Flow Controllers/Limiters|Danfoss. Available online: https://www.danfoss.com/en/products/dhs/differential-pressure-and-flow-controllers/differential-pressure-flow-and-temperature-controllers/differential-pressure-controllers-flow-controllers-limiters/#tab-overview (accessed on 11 February 2022).
  12. Ashfaq, A.; Ianakiev, A. Investigation of hydraulic imbalance for converting existing boiler based buildings to low temperature district heating. Energy 2018, 160, 200–212. [Google Scholar] [CrossRef] [Green Version]
  13. Koiv, T.A.; Mikola, A.; Palmiste, U. The new dimensioning method of the district heating network. Appl. Therm. Eng. 2014, 71, 78–82. [Google Scholar] [CrossRef]
  14. Ahmed, K.; Pylsy, P.; Kurnitski, J. 2015—Monthly domestic hot water profiles for energy calculation in Finnish.pdf. Energy Build. 2015, 97, 77–85. [Google Scholar] [CrossRef]
  15. Ahmed, K.; Pylsy, P.; Kurnitski, J. 2016—Hourly consumption profiles of domestic hot water for different.pdf. Sol. Energy 2016, 137, 516–530. [Google Scholar] [CrossRef]
  16. Hajian, H.; Ahmed, K.; Kurnitski, J. Estimation of energy-saving potential and indoor thermal comfort by the central control of the heating curve in old apartment buildings. E3S Web Conf. 2021, 246, 10. [Google Scholar] [CrossRef]
  17. ISO-ISO 17772-1:2017-Energy Performance of Buildings—Indoor Environmental Quality—Part 1: Indoor Environmental Input Parameters for the Design and Assessment of Energy Performance of Buildings. Available online: https://www.iso.org/standard/60498.html (accessed on 1 February 2022).
  18. The National Building Code of Finland-Ministry of the Environment. Available online: https://ym.fi/en/the-national-building-code-of-finland (accessed on 8 May 2022).
  19. Finnish Meteorological Institute. Available online: https://en.ilmatieteenlaitos.fi/ (accessed on 24 April 2022).
  20. Air Infiltration and Ventilation Centre (AIVC). Available online: https://www.aivc.org/ (accessed on 3 March 2022).
  21. Design Guidelines for Water Installations (D1/2007 Annex 2) Building Services Information. Available online: https://talotekniikkainfo.fi/vesilaitteiston-mitoitusohjeet-d12007-liite-2 (accessed on 3 February 2022).
  22. Intro-Meteonorm (en). Available online: https://meteonorm.com/en/ (accessed on 9 February 2022).
  23. Alanne, K. Need of Heating and Cooling Theoretical Principles and Tools Learning Objectives; Aalto University: Espoo, Finland, 2020. [Google Scholar]
  24. Finnish Energy Industries. District Heating of Buildings Regulations and Guidelines-Publication K1/2013; Finnish Energy: Helsinki, Finland, 2013. [Google Scholar]
  25. Boysen, H.; Thorsen, J.E. Hydraulic balance in a district heating system. Euroheat Power 2007, 4, 36–41. [Google Scholar]
  26. JSalciccioli, D.; Crutain, Y.; Komorowski, M. Secondary Analysis of Electronic Health Records; Springer: Berlin/Heidelberg, Germany, 2016; pp. 1–427. [Google Scholar] [CrossRef] [Green Version]
  27. Tiilikainen, K.; Outinen, K. Indoor Climate and Ventilation of Buildings in Finland; Ministry of the Environment Housing and Building Department: Hong Kong, China, 2017. [Google Scholar]
Figure 1. The study flowchart.
Figure 1. The study flowchart.
Energies 15 05278 g001
Figure 2. Block A and B of the case study building.
Figure 2. Block A and B of the case study building.
Energies 15 05278 g002
Figure 3. The ideal plant model generates the required heating curve with no primary side.
Figure 3. The ideal plant model generates the required heating curve with no primary side.
Energies 15 05278 g003
Figure 4. The DHW consumption profile constructed based on the data reported in [15].
Figure 4. The DHW consumption profile constructed based on the data reported in [15].
Energies 15 05278 g004
Figure 5. The conventional SH supply temp., dynamic SH supply temp., and the outdoor temperature in the three coldest days of EWF.
Figure 5. The conventional SH supply temp., dynamic SH supply temp., and the outdoor temperature in the three coldest days of EWF.
Energies 15 05278 g005
Figure 6. The implemented dynamic heating control in the ideal plant.
Figure 6. The implemented dynamic heating control in the ideal plant.
Energies 15 05278 g006
Figure 7. The typical central heating system with flow limiter. (Printed with permision from Ref. [23]. 2022, Kari Alanne).
Figure 7. The typical central heating system with flow limiter. (Printed with permision from Ref. [23]. 2022, Kari Alanne).
Energies 15 05278 g007
Figure 8. Detailed plant model with SH and two-stage DHW heat exchangers and DHW circulation.
Figure 8. Detailed plant model with SH and two-stage DHW heat exchangers and DHW circulation.
Energies 15 05278 g008
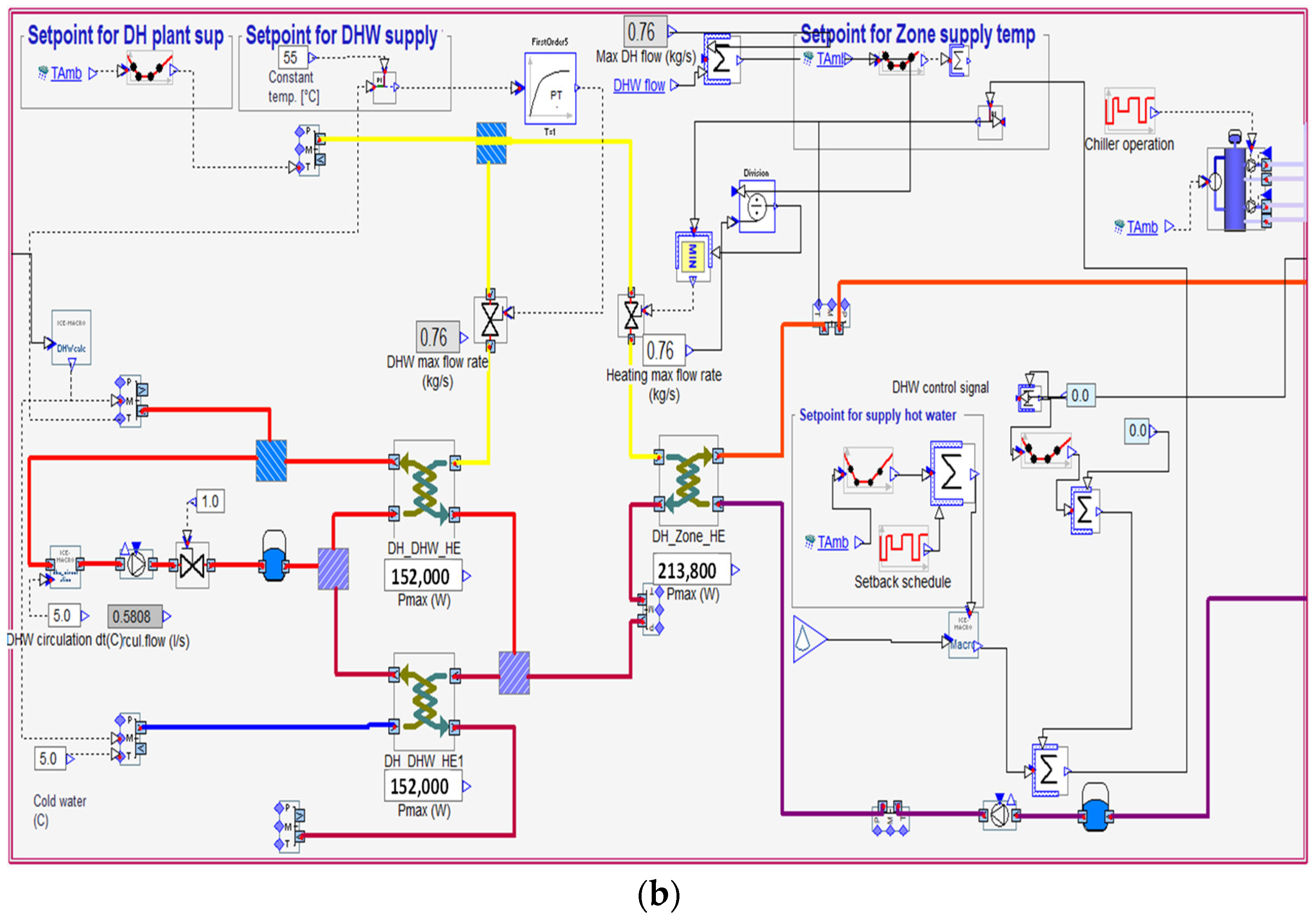
Figure 9. The flow limiter in the conventional heating control (a) and dynamic heating control (b) plant.
Figure 9. The flow limiter in the conventional heating control (a) and dynamic heating control (b) plant.
Energies 15 05278 g009aEnergies 15 05278 g009b
Figure 10. The total mass flow rate in the conventional (Con.) and dynamic (Dyn.) models with/without the flow limiter (FL).
Figure 10. The total mass flow rate in the conventional (Con.) and dynamic (Dyn.) models with/without the flow limiter (FL).
Energies 15 05278 g010
Figure 11. SH heat exchanger in/out flow temperature (ΔT) of conventional (Con.) and dynamic (Dyn.) heating control with and without the flow limiter (FL).
Figure 11. SH heat exchanger in/out flow temperature (ΔT) of conventional (Con.) and dynamic (Dyn.) heating control with and without the flow limiter (FL).
Energies 15 05278 g011
Figure 12. The SH heat exchanger mass flow rate in the conventional (Con.) and dynamic (Dyn.) heating control systems with/without the flow limiter (FL).
Figure 12. The SH heat exchanger mass flow rate in the conventional (Con.) and dynamic (Dyn.) heating control systems with/without the flow limiter (FL).
Energies 15 05278 g012
Figure 13. Total and SH mass flow rate in the conventional (Con.) and dynamic (Dyn.) control with/without the flow limiter (FL).
Figure 13. Total and SH mass flow rate in the conventional (Con.) and dynamic (Dyn.) control with/without the flow limiter (FL).
Energies 15 05278 g013
Figure 14. DHW temperature in the conventional (Con.) and dynamic (Dyn.) control with/without the flow limiter (FL).
Figure 14. DHW temperature in the conventional (Con.) and dynamic (Dyn.) control with/without the flow limiter (FL).
Energies 15 05278 g014
Figure 15. Total SH and DHW power simulated with detailed plant and the conventional (Con.) and dynamic (Dyn.) control with/without the flow limiter (FL).
Figure 15. Total SH and DHW power simulated with detailed plant and the conventional (Con.) and dynamic (Dyn.) control with/without the flow limiter (FL).
Energies 15 05278 g015
Figure 16. The maximum total power (DHW + SH) usage under different conditions considering design outdoor temperature (−26 °C).
Figure 16. The maximum total power (DHW + SH) usage under different conditions considering design outdoor temperature (−26 °C).
Energies 15 05278 g016
Figure 17. The maximum total power (DHW + SH) usage considering the extreme weather file (EWF) in different conditions.
Figure 17. The maximum total power (DHW + SH) usage considering the extreme weather file (EWF) in different conditions.
Energies 15 05278 g017
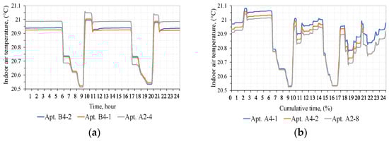
Figure 18. The 24 h regular line graph of the coldest apartments in the conventional (a) and dynamic (b) models with flow limiter.
Figure 18. The 24 h regular line graph of the coldest apartments in the conventional (a) and dynamic (b) models with flow limiter.
Energies 15 05278 g018
Figure 19. The annual coldest apartments duration curve in the conventional (a) and dynamic (b) models with flow limiter.
Figure 19. The annual coldest apartments duration curve in the conventional (a) and dynamic (b) models with flow limiter.
Energies 15 05278 g019
Figure 20. The proposed SH power sizing reduction method procedure.
Figure 20. The proposed SH power sizing reduction method procedure.
Energies 15 05278 g020
Table 1. Building envelope material layers, area, and U-value.
Table 1. Building envelope material layers, area, and U-value.
Building EnvelopeMaterial Layers (from Inside to Outside)Area, m2U-Value, W/(m2K)
Glazing3-pane glazing (4-12-4-12-4)362.12.1
External floorPlastic mat (5 mm)
Lightweight concrete (20 mm)
Concrete (200 mm)
Cellular plastic sheet (120 mm)
1173.70.29
RoofLightweight concrete (600 mm)
Insulation (300 mm)
Lightweight concrete (200 mm)
1114.10.29
External wallConcrete (600 mm)
Mineral wool (120 mm)
Concrete (100 mm)
2552.20.34
Table 2. The total nominal flow rate based on the number of water points in both buildings.
Table 2. The total nominal flow rate based on the number of water points in both buildings.
Water PointsQuantity (Building A and B)Nominal Flow Rate, L/sTotal Nominal Flow Rate, L/s
Bathroom shower490.29.8
Bathroom washbasin490.14.9
Kitchen washbasin490.29.8
WC washbasin160.11.6
Total 26.1
Publisher’s Note: MDPI stays neutral with regard to jurisdictional claims in published maps and institutional affiliations.

Share and Cite

MDPI and ACS Style

Hajian, H.; Simson, R.; Kurnitski, J. Heating Sizing Power Reduction in Buildings Connected to District Heating with Dynamically Controlled DHW Setback and Flow Limiters. Energies 2022, 15, 5278. https://doi.org/10.3390/en15145278

AMA Style

Hajian H, Simson R, Kurnitski J. Heating Sizing Power Reduction in Buildings Connected to District Heating with Dynamically Controlled DHW Setback and Flow Limiters. Energies. 2022; 15(14):5278. https://doi.org/10.3390/en15145278

Chicago/Turabian Style

Hajian, Hatef, Raimo Simson, and Jarek Kurnitski. 2022. "Heating Sizing Power Reduction in Buildings Connected to District Heating with Dynamically Controlled DHW Setback and Flow Limiters" Energies 15, no. 14: 5278. https://doi.org/10.3390/en15145278

APA Style

Hajian, H., Simson, R., & Kurnitski, J. (2022). Heating Sizing Power Reduction in Buildings Connected to District Heating with Dynamically Controlled DHW Setback and Flow Limiters. Energies, 15(14), 5278. https://doi.org/10.3390/en15145278

Note that from the first issue of 2016, this journal uses article numbers instead of page numbers. See further details here.

Article Metrics

Back to TopTop