Next Article in Journal
In Search of the Innovative Digital Solutions Enhancing Social Pro-Environmental Engagement
Next Article in Special Issue
Water Recuperation from Hydrogen Fuel Cell during Aerial Mission
Previous Article in Journal
Electrochemical Evaluation of Nickel Oxide Addition toward Lanthanum Strontium Cobalt Ferrite Cathode for Intermediate Temperature Solid Oxide Fuel Cell (IT-SOFCS)
Previous Article in Special Issue
Dehydrogenation of Metal Hydride Reactor-Phase Change Materials Coupled with Light-Duty Fuel Cell Vehicles
 
 
Font Type:
Arial Georgia Verdana
Font Size:
Aa Aa Aa
Line Spacing:
Column Width:
Background:
Article

Research on Energy Management Strategy of Fuel Cell Vehicle Based on Multi-Dimensional Dynamic Programming

1
School of Electromechanical Engineering, Guangdong University of Technology, Guangzhou 510640, China
2
School of Mechatronics Engineering, Foshan University, Foshan 528225, China
*
Author to whom correspondence should be addressed.
Energies 2022, 15(14), 5190; https://doi.org/10.3390/en15145190
Submission received: 30 May 2022 / Revised: 13 July 2022 / Accepted: 14 July 2022 / Published: 18 July 2022
(This article belongs to the Special Issue Advanced Studies for PEM Fuel Cells in Hydrogen-Fueled Vehicles)

Abstract

:
The powertrain of a fuel cell vehicle typically consists of two energy sources: a proton electrolyte membrane fuel cell (PEMFC) stack and a battery package. In this paper, multi-dimensional dynamic programming (MDDP) is used to solve the energy management strategy (EMS) of fuel cell hybrid powertrain. This study built a fuel cell hybrid powertrain model, in which the battery model is built based on the Thevenin equivalent circuit. In order to improve the calculating efficiency and maintain the accuracy of the algorithm, the state variables in each stage are divided into primary and secondary. In the reverse solution process, the corresponding relationship between the multi state variables grid and the optimal cumulative function has been changed from three-dimensional to two-dimensional. The EMS based on MDDP is applied to component sizing of a commercial vehicle. Simulations were conducted using MATLAB under the C-WTVC working condition. By analyzing the fuel economy and system durability, the optimal component combination of comprehensive performance is obtained. Compared with the EMS based on dynamic programming (DP), the proposed method effectively improves the calculation accuracy: the hydrogen consumption can be reduced by 3.10%, and the durability of the fuel cell and battery can be improved by 1.08% and 0.13%, respectively.

1. Introduction

Under the double pressure of energy crisis and environmental pollution, countries all over the world have developed a series of programs to alleviate this problem, and vigorously developing new energy vehicles is an important measure to alleviate environmental pressure and oil resource exhaustion [1]. New energy vehicles include a variety of models such as battery electric vehicle (BEV), hybrid electric vehicle (HEV) and fuel cell vehicle (FCV). Although BEV can help alleviate environmental and energy problems, problems with battery technology such as long charging time, battery range and short battery life cause it to have great limitations [2,3]. HEV is a kind of new energy vehicle that reduces emissions, but it still needs to consume petroleum resources [4,5]. FCV has the advantages of long driving range, fast energy replenishment, zero pollution and wide raw material sources, and it is an important direction of future automotive development [6,7,8].
However, due to the relatively weak output characteristics of fuel cells, an additional energy storage device is required to solve the problems of slow start, slow dynamic response of fuel cells and braking energy recovery in actual application [9]. Due to different features of the power sources in the fuel cell composite energy source system, a reasonable and effective energy management strategy (EMS) is crucial in coordinating the distribution of power flow and improving fuel economy and system durability.
There have been many papers on EMS in the literature with example literature surveys being that of [10,11]. These papers can be separated into two categories, which are namely the rule-based EMS and optimization-based EMS [12]. The rule-based EMS has advantages such as simple logic and strong adaptability to working conditions. According to the different forms of rules, it can be divided into deterministic rules and fuzzy rules. The EMS of deterministic rules controls the main energy sources (such as engines and fuel cell) in the best working conditions or high efficiency range according to experience. Li Q. et al., conducted regular analysis on the operating characteristics of the fuel cell system and the optimal working area of the battery so that the system could work in the high-efficiency area and achieve the best economy [13]. The state machine control proposed by Mokrani Z. et al., [14] and the operation mode control proposed by Garcia P. et al., [15] were adopted as the rule-based strategies and are effective for extending the lifetime of fuel cells. The fuzzy rule-based EMS is proposed based on fuzzy controller [16]. Zhou D. et al., proposed an EMS for online driving conditions by integrating three offline optimized fuzzy logic controller parameters [17]. Shen D. et al., proposed the fuzzy control method based on robust model prediction to design the nonlinear control law to achieve the optimization goal under the uncertainty of power demand [18].
Optimization-based EMS adopts an active optimization algorithm that can adaptively change the rules or criteria based on the input and outputs and/or the history of these parameters [19]. Optimization-based strategies can be divided into real-time optimization strategies and global optimization strategies [20,21]. Real-time optimization strategies such as model predictive control (MPC) [22] and the equivalent consumption minimum strategy (ECMS) [23] have the advantage of high real-time performance, but only local optimum can be achieved. Tao J. et al., proposed an algorithmic framework combining a Q-learning and genetic algorithm for the power split between the fuel cell and supercapacitor of a vehicle, and simulation results show that the SOC of the supercapacitor can be sustained within the desired safe range, while reducing hydrogen consumption [24]. Papers [25,26] are based on the Deep Reinforcement Learning optimizer to improve the driving conditions adaptability of the EMS. Song K. et al., established a novel fuel cell degradation model, which can obtain the efficiency under different states-of-health of the fuel cell. The EMS is adjusted based on the efficiency of the fuel cell to balance the degradation [27]. Global optimization strategies focus on Dynamic Programming (DP), Pontryagin’s Minimal Principle (PMP) and heuristic algorithms [28,29,30]. Because the global optimization strategy needs to predict the driving condition information and have a large amount of calculation, it is difficult to apply it to real time optimization. However, it can be used as the evaluation standard of other control strategies. Munoz P. et al., adopted DP as the optimization benchmark of the proposed energy management control method based on neural networks for fuel cell vehicles [31]. Gim J. et al., extracted the allowable current of the fuel cell through the use of DP, then the modulation ratio of fuel cell system is solved by Particle Swarm Optimization algorithm based on the allowable current [32]. Deng K. et al., introduced the online adaptation mechanism of the PMP’s co-state into the MPC structure, which shows promising fuel economy and battery charge sustaining [33]. Global Optimization-based EMS highly coupled with the component sizing of fuel cell vehicles. To ensure the comprehensive performance of the vehicle, the optimization of component sizing of powertrain and energy management strategy should be considered simultaneously. The component sizing method based on the optimization algorithm is to search the multi-dimensional component space through various optimization algorithms to find the optimal component combination that minimizes the objective function [34,35].
Based on the above literature, the main research gaps are as follows: rule-based EMS are usually determined according to application-specific scenarios. When the system dynamics change, the same set of rules may not apply. Global Optimization-based EMS operate under known working conditions, which makes it difficult to be directly applied in real time control, but it can provide reference standards for the control sequences obtained by other EMS. DP is a common method used in global optimization. However, the DP-based EMS of fuel cell hybrid vehicles generally only uses a single state variable, and the idealized internal resistance model is used in the modeling of the battery. Therefore, the calculation accuracy can be further improved.
To solve the above problems, the main contributions of this paper are as follows: an energy management strategy based on multi-dimensional dynamic programming (MDDP) is proposed. In this strategy, the more accurate Thevenin model, which can reflect the polarization characteristics of the battery in higher accuracy [36], is used for battery modeling, and battery state of charge (BSOC) and polarization voltage are used as state variables. In the reverse solving process of MDDP, dimension reduction is carried out to avoid a dimension disaster problem and improve computational efficiency. Finally, aiming at improving the fuel economy and durability, the energy management strategy is applied to the component sizing of a commercial vehicle.
This paper is organized as follows. Section 2 describes the topology of a fuel cell hybrid powertrain and presents the model regarding fuel economy and system durability. Section 3 introduces the MDDP-based EMS method. Section 4 applies the proposed method to a component sizing problem. Section 5 presents the simulation results and discussion. The conclusion is given in Section 6.

2. Modeling of Powertrain

2.1. Powertrain Structure

According to the comparative analysis of different configurations of hybrid powertrain [12], this study utilized a semi-active hybrid powertrain configuration. The topology is shown in Figure 1. The fuel cell is connected to the DC bus via a DC/DC converter, and the battery pack is directly connected to the DC bus. This structural system is stable and easier to control.

2.2. Fuel Cell Model

In this study, a proton electrolyte membrane fuel cell (PEMFC) is used as the main power source. In general, there are three types of voltage loss of the PEMFC output voltage, such as Equation (1) [37].
E c e l l = E N e r n s t V a c t V o h m V c o
where E c e l l denotes the single PEMFC output voltage, E N e r n s t denotes the thermodynamic electromotive force, V a c t is the activation voltage loss, V o h m is the ohmic voltage loss and V c o denotes the concentration voltage loss.
The thermodynamic electromotive force can be expressed as Equation (2).
E N e r n s t = 1.229 8.5 × 10 4 × ( T 298.15 ) + 4.308 × 10 5 × T × ( ln ( P H 2 ) + 0.5 ln ( P O 2 ) )
where P H 2 the partial pressure of hydrogen at the anode catalyst–gas interface, P O 2 is the partial pressure of oxygen at the cathode catalyst–gas interface and T represents the cell temperature.
The activation voltage loss can be expressed as
V act = ξ 1 + ξ 2 + ξ 3 × T × ln ( C O 2 ) + ξ 4 × T × ln ( I fc )
where ξ 1 , ξ 2 , ξ 3 and ξ 4 are empirical parameters whose values are determined by the theoretical balance among kinetics, thermodynamics and electrochemistry. I fc denotes the current of the PEMFC. C O 2 is the oxygen concentration at the cathode catalyst–gas interface, and it can be expressed by Henry’s law as follows:
C O 2 = P O 2 5.08 × 10 6 × exp ( 498 / T )
The ohmic voltage loss can be expressed as
V o h m = I × R o h m = I fc × ( R m + R c )
where R m is the equivalent membrane resistance of the proton exchange membrane and R c is the membrane resistance to the proton flow. R m can be expressed by
R m = r M × l A
r M = 181.6 × ( 1 + 0.03 J + 0.062 × ( T 303 ) 2 × J 2.5 ) ( λ 0.634 3 × J ) × exp ( 4.18 × ( T 303 T ) )
where r M is the membrane impedance rate, l is Proton exchange membrane thickness, A is the Activation area, λ Membrane water content and J denotes current density.
The concentration voltage loss can be expressed as
U co = B × ln ( 1 J J max )
where B represents the fuel cell performance coefficient and J max represents maximum current density. The parameters of the fuel cell model are shown in Table 1 [38].

2.3. Battery Model

The Thevenin model can not only reflect the battery’s response and follow ability to the load, but also describe the polarization characteristics of the battery. Therefore, in this study, the Thevenin model depicted in Figure 2 is used as the equivalent circuit of the battery. The parameters of a single battery are listed in Table 2. A battery pack consists of several single batteries in series and parallel.
According to the Kirchhoff’s law, the electrical behavior of the Thevenin circuit can be expressed as
{ V b = V o c v V p I b × R 0 V ˙ p = V p R p × C p + I b C p P b = I b × V b
where V o c v , V p and V b represent the battery open circuit voltage, instantaneous polarization voltage and output voltage, respectively. I b is battery current, and P b is the output power. R 0 , R p and C p denote battery ohm resistance, polarization resistance and polarization capacitance, respectively. The BOSC is obtained via ampere-hour integration [24]:
B S O C ( t ) = B S O C ( t 0 ) I b ( t ) d t Q bat
where B S O C ( t 0 ) is the initial state of charge of the battery and Q bat is the battery capacity. In this paper, the nonlinear relationship between the open circuit voltage (OCV) and the BSOC is obtained via a battery performance test, as illustrated in Figure 3 [39].
The hybrid pulse power characterization (HPPC) test was used to acquire the data to identify the parameters of polarization capacitance, charge and discharge resistance, which is shown in Figure 4.

2.4. Fuel Economy and Durability Model

2.4.1. Fuel Economy Model

The fuel economy of the fuel cell vehicle is evaluated based on the total equivalent hydrogen consumption during operation. The power consumption from the battery can be equal to the chemical energy from the hydrogen. The instantaneous hydrogen consumption is composed of direct hydrogen consumption by the fuel cell and indirect equivalent hydrogen consumption by the battery [40]:
m H 2 equ = m FC + k × m Bat
where m FC is direct hydrogen consumption, m Bat is indirect equivalent hydrogen consumption by the battery, and they can be calculated by
{ m ˙ F C = M H 2 × N cell × I fc ( t ) 2 × F m FC = m ˙ F C d t
{ m ˙ Bat = P Bat × δ × m ˙ F C , a v g P f c , avg m Bat = m ˙ Bat d t
where m ˙ F C and m ˙ F C , a v g are the fuel cell hydrogen consumption rate and average consumption rate, respectively, P f c , avg is the fuel cell average output power, M H 2 is the molar mass of hydrogen, m ˙ Bat is the equivalent hydrogen consumption rate by the battery and δ can be calculated by [41]:
δ = { 1 η cha , avg × η dis P bat 0 η dis , avg × η cha P bat < 0
{ η dis = ( 1 + 1 4 × R dis × P bat / V ocv 2 ) / 2 η cha = 2 / ( 1 + 1 4 × R c h a × P bat / V ocv 2 )
where η dis and η cha is the discharging/charging efficiency of the battery, η dis , avg and η cha , avg is the average discharging/charging efficiency of the battery, R dis and R c h a is the total discharging/charging resistance of the battery, respectively. k denotes the correction coefficient which can be obtained by
k = 1 2 × μ × B S O C 1 2 × ( B S O C max + B S O C min ) B S O C max + B S O C min
where μ is the balance factor during the cycle, B S O C max and B S O C min denote the maximum BSOC and minimum BSOC, respectively.

2.4.2. Fuel Cell Durability Model

According to the available research, the operating conditions causing fuel cell performance degradation are the number of start–stop cycles, duration of load variation, idling time and duration of high-power operation [42]. The capacity degradation of the fuel cell during the typical operating condition is calculated by
Δ F C degrad = K p × ( k 1 × t 1 + k 2 × t 2 + k 3 × t 3 + k 4 × n )
where Δ F C degrad is the capacity degradation rate of the fuel cell due to the disadvantage operating condition, t 1 , t 2 , t 3 , n denote idling time, duration of significant load variation, duration of high-power operation and number of start–stop cycles, respectively, k 1 , k 2 , k 3 , k 4 are the degradation coefficients of the idle operating, significant load variation, high-power operation and start–stop cycles, respectively, and K p is the correction coefficient. The value of the coefficients in Equation (17) is listed in Table 3.

2.4.3. Battery Durability Model

In this study, the ampere-hour throughput (Aheff) is taken as the service life factor of the battery. To balance the charge and discharge rate ( k b ), temperature and depth of discharge, a penalty factor σ is added to the calculation of Aheff:
A h e f f ( t ) = 0 t f σ ( t ) × | i b | d t
{ σ ( t ) = 1.6 625 × k b 2 ( t ) + 1 k b ( t ) = 3600 × i b ( t ) Q b a t

3. Energy Management Strategy Based on Multi-Dimensional Dynamic Programming

Energy management strategies serve a significant function in FCV, which not only can ensure the normal operation of the vehicle, but also make full use of the advantages of various power sources to improve the durability and reliability of the power system and reduce the fuel consumption, thus meeting a better comprehensive performance of the vehicle. In this study, the EMS of FCV based on MDDP is constructed.

3.1. Optimization Problem Construction Based on MDDP

DP is an effective method for numerical global optimization, which was proposed by Bellman et al. [43]. It searches all control variables and state grids in detail through a specific method to obtain the control strategy that maximizes or minimizes the objective of the problem and obtains the corresponding state variable trajectory. In this section, an optimization problem of the EMS of FCV is constructed based on MDDP.

3.1.1. Multi-Stage Decision

Multi-stage decision making divides a process into multiple stages requiring decisions, and the control strategy is a sequence of decisions consisting of all stages. The multi-stage decision process of EMS is to divide a particular driving cycle into N equal stages, and then find an optimal control strategy.
In this study, the Thevenin equivalent circuit used in the battery model can reflect the polarization characteristics of the battery. In the MDDP solution, BSOC and Vp are taken as state variables, and the computational space range of BSOC and Vp is determined by the common working interval. Meanwhile, state variables are discretized by the calculation requirements. The output power of the fuel cell was taken as the control variable, and the upper limit umax and lower limit umin of the control variable were determined by analyzing the vehicle driving demand power and vehicle performance indexes, and the control variables were discretized, as show in Figure 5.

3.1.2. Stage Transition

Based on the analysis of the Thevenin equivalent circuit model above, the current of the battery can be calculated as
I b = V o c v V p ( V o c v V p ) 2 4 × P b × R 0 2 × R 0
By discretizing the state space of the continuous system, the state transition equation V p and BSOC can be expressed as follows:
V p ( k + 1 ) = V p ( k ) × exp ( t ( k + 1 ) t ( k ) R p × C p ) + V o c v , k V p , k ( V o c v , k V p , k ) 2 4 × P b , k × R 0 , k 2 × R 0 , k × R p × ( 1 exp ( t ( k + 1 ) t ( k ) R p × C p ) )
B S O C ( k + 1 ) = B S O C ( k ) V o c v , k V p , k ( V o c v , k V p , k ) 2 4 × P b , k × R 0 , k 2 × R 0 , k × Q bat × [ t ( k + 1 ) t ( k ) ]
where V p ( k + 1 ) and V p ( k ) are V p in k + 1 stage and k stage, respectively, B S O C ( k + 1 ) and B S O C ( k ) are BSOC in k + 1 stage and k stage, respectively. Based on the states in the k stage, the states’ value in the k + 1 stage can be obtained by the state transition equation.

3.1.3. Cost Function

In this study, the equivalent hydrogen consumption of hybrid powertrain is taken as the cost function of the DP algorithm. The cumulative equivalent hydrogen consumption is calculated as Equation (23).
{ J N k [ B S O C ( k ) , V p ( k ) ] = min [ L ( B S O C ( k ) , V p ( k ) , u ( k ) ) ] + J N k 1 [ B S O C ( k + 1 ) , V p ( k + 1 ) ] k = 0 , 1 , 2 N 1 J N [ B S O C ( N ) , V p ( N ) ] = 0 k = N

3.1.4. Constraint

Based on the characteristics of each component and in order to shorten the DP operation time, parameters of the powertrain system of FCV should satisfy the following constraints.
{ B S O C min B S O C B S O C max V p min V p V p max P f c min P f c P f c max I b min I b I b max I f c min I f c I f c max

3.2. Optimal Solution of Energy Management Based on MDDP Algorithm

EMS for compound energy sources based on MDDP mainly includes four parts: decision process, dimension reduction, reverse solution and forward derivation.

3.2.1. Decision Process

Considering that the service life of the fuel cell will be greatly affected by high-power operation and low-power operation, the fuel cell output mode can be divided into three modes: high power demand, normal demand and steady output, as shown in Table 4. In the decision process, the fuel cell working mode is determined based on the power demand, and the corresponding range of control variables in different modes are traversed to find the optimal decision.

3.2.2. Dimension Reduction

In order to ensure the accuracy of the algorithm and shorten the calculation time, in this paper, the state variables are divided into primary and secondary, BSOC is taken as the primary state variable and Vp as the secondary state variable, and the optimal cost obtained from the same BSOC and different Vp constituent states is compared, and the optimal value V p * is selected to represent the corresponding cost of the primary state variable as illustrated in Figure 6. After dimension reducing, the corresponding relationship between state variables and optimal cost is changed from three-dimensional to two-dimensional, which reduces the complexity of reverse solution and shortens the calculation time of the program.

3.2.3. Reverse Solution

The solving process of DP initiates from the last stage and reversely solves the optimal cumulative cost and optimal control sequence in each stage under each group of states. In stage k, m BSOC and m1  V p are obtained by discretization of state variables, denoted as B S O C k i , i = 1 , 2 , , m and V p k j , j = 1 , 2 , , m 1 respectively. According to the decision process, the fuel cell output mode is determined, and n feasible control variables is obtained through discretization, denotes as u k p , p = 1 , 2 , , n . Substitute B S O C k i , V p k j , u k p into the state transition equation and cost function to work out B S O C k + 1 * and optimal cost at k + 1 stage. If B S O C k + 1 * is not on the state variable grid, the optimal cumulative cost corresponding to B S O C k + 1 * can be obtained by interpolation. The cumulative cost function J N K determined by the current state variable group and control variable in k stage can be obtained by superposition of the instantaneous cost value in k stage and the optimal cumulative cost value in k + 1 stage.
J N k = L ( B S O C k i , V p k j , u k p ) + J N k 1 *
After traversing all the control variables under the state variable group, the optimal value of the cumulative cost function of the state variable group in the current stage can be calculated as
J N k i , j = min ( L ( B S O C k i , V p k j , u k p ) + J N k 1 * )
B S O C k i was taken as the primary state variable, and the cumulative cost function values corresponding to V p k j were traversed, and the optimal value was selected as the optimal cumulative cost function value corresponding to the B S O C k i in this stage.
J N K * = min ( L ( B S O C k i , V p k * , u k * ) + J N k 1 * )
The optimal cumulative cost and control variable sequence corresponding to all BSOC at this stage are calculated by the above method, and the reverse solution was carried out by the same method until the optimal solution matrix of cost function and control variable in all stages were obtained.
The calculation of each state in each stage is independent of each other, and the solving order between state variables has no influence on the optimization result in the current stage. Therefore, the independence of state variables in each stage of DP can be used to deal with the state cycles in traditional DP with a piecewise parallel computing way so as to improve the solving efficiency and shorten the calculation time.

3.2.4. Forward Solution

According to the optimal control variable and cost function matrix, the optimal control sequence and the trajectory of the optimal state variable in each stage can be deduced by substituting the state value in the initial stage. The solution method of MDDP based on parallel computing is illustrated in Figure 7.

4. Application of MDDP in Component Sizing

In this section, the MDDP algorithm is applied to component sizing. A component sizing solution process considering multiple objectives was designed, and the optimal component sizing space was obtained according to the solution results of analytical MDDP. The application object is a fuel cell commercial vehicle, the basic parameters of which are shown in Table 5 and Table 6.
In order to ensure that the power battery pack has a stable voltage and sufficient capacity to maintain the stable output of the fuel cell, the series and parallel number of the individual battery is determined. According to the rated voltage of the motor, the number of batteries in series is 145. The number of batteries in parallel depend on the component matching result.
In this study, simulations were conducted using MATLAB on the basis of the aforementioned energy management strategy under the C-WTCV working conditions. Figure 8 shows the C-WLVC working conditions. The power demand of a simulated vehicle driving under C-WTVC working conditions is shown in Figure 9.
Multi-objective optimization problem is an optimization problem in which two or more objective functions can obtain the optimal solution simultaneously. The multi-objective component sizing optimization problem of fuel cell composite energy source can be defined as
min x J = [ J E F , J D E ]
x = ( P f c max , n p ) T U
U = { ( P f c max , n p ) | P f c max { 150 , 160 , 170 , 180 , 190 , 200 , 210 , 220 , 230 , 240 , 250 , 260 , 270 , 280 , 290 , 300 , 310 , 320 , 330 , 340 , 350 , 360 , 370 } k w , n p { 50 , 70 , 80 , 90 , 100 , 110 , 120 } }
where J is multi-objective optimization function, J E F is the economic index of fuel cell vehicles which is expressed by equivalent hydrogen consumption ( m H 2 equ ). J D E is the durability index of fuel cell composite energy source system which is expressed by the capacity degradation of the fuel cell ( Δ F C degrad ) and the ampere-hour throughput (Aheff) of the battery. x is the optimized vector, including the maximum power of fuel cell ( P f c max ) and the number of batteries in parallel (np). U is the optimization space. The optimization process framework based on MDDP is shown in Figure 10.
According to the optimization space, 184 combinations can be matched by P f c max and np. The EMS based on MDDP for each combination is simulated. The minimum equivalent hydrogen consumption for each combination is obtained. The capacity degradation of the fuel cell ( Δ F C degrad ) and the ampere-hour throughput (Aheff) is calculated based on the optimal state and the trajectory of control variables.

5. Results and Discussion

In the following paragraphs, simulations for each parameter vector x are carried out with MDDP. Fuel economy and system durability for 184 combinations of the component are analyzed and compared.

5.1. Fuel Economy

Figure 11 illustrates the relationship of P f c max and np to the fuel cell direct hydrogen consumption under the C-WTCV working conditions. The simulation results show that the actual hydrogen consumption decreases with the increase of P f c max under the same np. When P f c max > 250 kW, the decrease in hydrogen consumption is gentle. Figure 12 shows the output power variation curve of fuel cell with different P f c max (180–280 kW, 10 kW interval) when np is 100. It shown the output of fuel cell needs to switch between three modes: high-power demand mode, normal demand mode and steady output mode, when equipped with low-power fuel cell stack. When the system is equipped with a high-power fuel cell stack, the fuel cell operating in normal power demand and smooth output mode is sufficient to provide the required power for driving, and the excess power is used to charge the battery. Because the battery does not maintain a strict constant charge, the direct hydrogen consumption of fuel cell cannot reflect the economic level of fuel cell vehicles, and the equivalent hydrogen consumption of the system is more suitable to evaluate the economy of the vehicle.
Figure 13 illustrates the relationship of Pfcmax and np to the fuel cell equivalent hydrogen consumption. As shown in Figure 13a, with the increase of Pfcmax, the equivalent hydrogen consumption gradually decreases, and with the increase of the parallel number, the equivalent hydrogen consumption curve will move downward. Figure 13b shows that the sensitivity of equivalent hydrogen consumption to the np decreases when P f c max > 300 kW.

5.2. System Durability

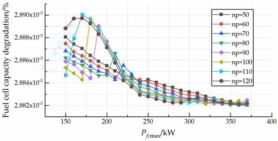
Figure 14 shows the relationship of Pfcmax and np to the fuel cell capacity degradation rate. It shows the fuel cell capacity degradation rate varies greatly with the number of batteries in parallel (np) when Pfcmax is low. When Pfcmax > 300 kW, the fuel cell capacity degradation rate is maintained at a relatively low level. This phenomenon is because the output of high-power fuel cell is relatively stable, while the output power of low-power fuel cell fluctuates greatly, as illustrated in Figure 12. The result of the battery lifetime index in Figure 15 shows that Aheff increases linearly with Pfcmax and np. At a certain required power, with the increase of Pfcmax, the frequency of high-current charging of the fuel cell will increase, as illustrated in Figure 16 (Pfcmax = 270–370 kW, 20 kW interval, np = 80), which leads to the increase of the ampere-hour throughput of the battery, thus reducing the equivalent cycle life of the battery.

5.3. Discussion

According to the fuel economic analysis, the equivalent hydrogen consumption of the fuel cell when P f c max > 300 kW is at a low level and decreases with the increase of np. The system durability simulation results show that increasing np does not improve the durability of the fuel cell when P f c max > 300 kW, and the battery Aheff increases linearly with P f c max in each np.
According to the simulation of different combinations, the combination with the optimal comprehensive performance is selected as the component sizing result. When P f c max > 300, increasing P f c max has little effect on the fuel economy and durability of the fuel cell, but will increase Aheff. Therefore, P f c max is set to 300 kW, and to ensure that the battery has sufficient capacity to maintain the stable output of the fuel cell, np is set to 100. In this combination, the three objective values of a C-WTVC cycle are m H 2 equ = 1864.9 g, Aheff = 45.581 Ah and Δ F C degrad = 0.002882410%, respectively.
To prove the necessity of the proposed EMS, Table 7 shows the comparison of the MDDP-based EMS over the DP-based EMS under the selected combination.
The comparison result shows that, compared with the DP-based EMS, the MDDP-based EMS reached a higher global optimization accuracy in which the improvement of fuel economy is most obvious, with a reduction of 3.10%.

6. Conclusions

This study proposed a MDDP-based EMS for the fuel cell hybrid vehicle, considering the polarization characteristics in the course of battery operation and taking the Thevenin model as the battery equivalent circuit. BSOC and battery polarization voltage were selected as state variables. In the reverse solution process, dimension reduction is carried out to solve the problem of computational complexity increasing brought on by multiple state variables, so that the solution process can ensure accuracy and reduce the calculation time. A component sizing solution process considering multiple objectives was designed, and MDDP is used to solve the EMS for the combination of different components. The simulation of a fuel cell commercial vehicle was carried out under the C-WTVC cycle. By analyzing the fuel economy and system durability, the optimal component combination of the object vehicle is obtained in which P f c max is 300 kW and np is 100. Compared with the DP-based EMS, the accuracy of the proposed method is improved. Future research will focus on the improvement of the proposed EMS to be adapted for various objectives.

Author Contributions

Conceptualization, Y.L.; Formal analysis, Y.L., J.S. and J.Y.; Investigation, Y.L., J.L. and J.S.; Methodology, J.L.; Writing—original draft preparation, J.L.; Writing—review and editing, J.Y. All authors have read and agreed to the published version of the manuscript.

Funding

This research was funded by the Natural Science Foundation of Guangdong Province, grant number 2022A1515012080, and the Natural Science Foundation of Guangdong Province, grant number 2019A1515110562.

Conflicts of Interest

The authors declare no conflict of interest.

References

  1. Li, S.E.; Guo, Q.Q.; Xin, L.; Cheng, B.; Li, K.Q. Fuel-Saving Servo-Loop Control for an Adaptive Cruise Control System of Road Vehicles With Step-Gear Transmission. EEE Trans. Veh. Technol. 2017, 66, 2033–2043. [Google Scholar] [CrossRef]
  2. Li, Z.H.; Khajepour, A.; Song, J.C. A comprehensive review of the key technologies for pure electric vehicles. Energy 2019, 182, 824–839. [Google Scholar] [CrossRef]
  3. Zhao, G.; Wang, X.L.; Negnevitsky, M.; Zhang, H.Y. A review of air-cooling battery thermal management systems for electric and hybrid electric vehicles. J. Power Sources 2021, 501, 230001. [Google Scholar] [CrossRef]
  4. Hu, B.; Li, J.X. A Deployment-Efficient Energy Management Strategy for Connected Hybrid Electric Vehicle Based on Offline Reinforcement Learning. IEEE Trans. Ind. Electron. 2022, 69, 9644–9654. [Google Scholar] [CrossRef]
  5. Tang, X.L.; Jia, T.; Hu, X.S.; Huang, Y.J.; Deng, Z.W.; Pu, H.Y. Naturalistic Data-Driven Predictive Energy Management for Plug-In Hybrid Electric Vehicles. IEEE Trans. Transp. Electrif. 2021, 7, 497–508. [Google Scholar] [CrossRef]
  6. Inci, M.; Büyük, M.; Demir, M.H.; Ilbey, G. A review and research on fuel cell electric vehicles: Topologies, power electronic converters, energy management methods, technical challenges, marketing and future aspects. Renew. Sustain. Energy Rev. 2021, 137, 110648. [Google Scholar] [CrossRef]
  7. Ogungbemi, E.; Wilberforce, T.; Ijaodola, O.; Thompson, J.; Olabi, A.G. Selection of proton exchange membrane fuel cell for transportation. Int. J. Hydrogen Energy 2021, 46, 30625–30640. [Google Scholar] [CrossRef]
  8. Yadlapalli, R.T.; Alla, R.R.; Kandipati, R.; Kotapati, A. Super capacitors for energy storage: Progress, applications and challenges. J. Energy Storage 2022, 49, 104194. [Google Scholar] [CrossRef]
  9. Gharibeh, H.F.; Yazdankhah, A.S.; Azizian, M.R. Energy management of fuel cell electric vehicles based on working condition identification of energy storage systems, vehicle driving performance, and dynamic power factor. J. Energy Storage 2020, 31, 101760. [Google Scholar] [CrossRef]
  10. Kasimalla, V.K.; Srinivasulu, G.N.; Velisala, V. A review on energy allocation of fuel cell/battery/ultracapacitor for hybrid electric vehicles. Int. J. Energy Res. 2018, 42, 4263–4283. [Google Scholar] [CrossRef]
  11. Rao, Z.H.; Wang, S.F. A review of power battery thermal energy management. Renew. Sustain. Energy Rev. 2011, 15, 4554–4571. [Google Scholar] [CrossRef]
  12. Teng, T.; Zhang, X.; Dong, H.; Xue, Q.C. A comprehensive review of energy management optimization strategies for fuel cell passenger vehicle. Int. J. Hydrogen Energy 2020, 45, 20293–20303. [Google Scholar] [CrossRef]
  13. Li, Q.; Yang, H.Q.; Han, Y.; Li, M.; Chen, W.R. A state machine strategy based on droop control for an energy management system of PEMFC-battery-supercapacitor hybrid tramway. Int. J. Hydrogen Energy 2016, 41, 16148–16159. [Google Scholar] [CrossRef]
  14. Mokrani, Z.; Rekioua, D.; Mebarki, N.; Rekioua, T.; Bacha, S. Proposed energy management strategy in electric vehicle for recovering power excess produced by fuel cells. Int. J. Hydrogen Energy 2017, 42, 19556–19575. [Google Scholar] [CrossRef]
  15. García, P.; Fernández, L.M.; Torreglosa, J.P.; Jurado, F. Operation mode control of a hybrid power system based on fuel cell/battery/ultracapacitor for an electric tramway. Comput. Electr. Eng. 2013, 39, 1993–2004. [Google Scholar] [CrossRef]
  16. Li, Q.; Chen, W.R.; Li, Y.K.; Liu, S.K.; Huang, J. Energy management strategy for fuel cell/battery/ultracapacitor hybrid vehicle based on fuzzy logic. Int. J. Electr. Power Energy Syst. 2012, 43, 514–525. [Google Scholar] [CrossRef]
  17. Zhou, D.M.; Al-Durra, A.; Gao, F.; Ravey, A.; Matraji, I.; Simões, M.G. Online energy management strategy of fuel cell hybrid electric vehicles based on data fusion approach. J. Power Sources 2017, 366, 278–291. [Google Scholar] [CrossRef]
  18. Shen, D.; Lim, C.C.; Shi, P. Fuzzy Model Based Control for Energy Management and Optimization in Fuel Cell Vehicles. IEEE Trans. Veh. Technol. 2020, 69, 14674–14688. [Google Scholar] [CrossRef]
  19. Hu, X.S.; Zou, C.F.; Tang, X.L.; Liu, T.; Hu, L. Cost-Optimal Energy Management of Hybrid Electric Vehicles Using Fuel Cell/Battery Health-Aware Predictive Control. IEEE Trans. Power Electron. 2020, 35, 382–392. [Google Scholar] [CrossRef] [Green Version]
  20. Lü, X.Q.; Wu, Y.B.; Lian, J.; Zhang, Y.Y.; Chen, C.; Wang, P.S.; Meng, L.Z. Energy management of hybrid electric vehicles: A review of energy optimization of fuel cell hybrid power system based on genetic algorithm. Energy Convers. Manag. 2020, 205, 112474. [Google Scholar] [CrossRef]
  21. Sulaiman, N.; Hannan, M.A.; Mohamed, A.; Ker, P.J.; Majlan, E.H.; Daud, W.R.W. Optimization of energy management system for fuel-cell hybrid electric vehicles: Issues and recommendations. Appl. Energy 2018, 228, 2061–2079. [Google Scholar] [CrossRef]
  22. Chen, H.; Chen, J.; Lu, H.X.; Yan, C.Z.; Liu, Z.Y. A Modified MPC-Based Optimal Strategy of Power Management for Fuel Cell Hybrid Vehicles. IEEE/ASME Trans. Mechatron. 2020, 25, 2009–2018. [Google Scholar] [CrossRef]
  23. Li, H.; Ravey, A.; N’Diaye, A.; Djerdir, A. Equivalent Consumption Minimization Strategy for Hybrid Electric Vehicle Powered by Fuel Cell, Battery and Supercapacitor. In Proceedings of the 42nd Annual Conference of the IEEE-Industrial-Electronics-Society (IECON), Florence, Italy, 23–26 October 2016; pp. 4401–4406. [Google Scholar]
  24. Tao, J.L.; Zhang, R.D.; Qiao, Z.J.; Ma, L.H. Q-Learning-based fuzzy energy management for fuel cell/supercapacitor HEV. Trans. Inst. Meas. Control 2022, 44, 1939–1949. [Google Scholar] [CrossRef]
  25. Zheng, C.H.; Li, W.; Li, W.M.; Xu, K.; Peng, L.; Cha, S.W. A Deep Reinforcement Learning-Based Energy Management Strategy for Fuel Cell Hybrid Buses. Int. J. Precis. Eng. Manuf. Technol. 2022, 9, 885–897. [Google Scholar] [CrossRef]
  26. Tang, X.L.; Zhou, H.T.; Wang, F.; Wang, W.D.; Lin, X.K. Longevity-conscious energy management strategy of fuel cell hybrid electric Vehicle Based on deep reinforcement learning. Energy 2022, 238, 121593. [Google Scholar] [CrossRef]
  27. Song, K.; Ding, Y.H.; Hu, X.; Xu, H.J.; Wang, Y.M.; Cao, J. Degradation adaptive energy management strategy using fuel cell state-of-health for fuel economy improvement of hybrid electric vehicle. Appl. Energy 2021, 285, 116413. [Google Scholar] [CrossRef]
  28. Ravey, A.; Blunier, B.; Miraoui, A. Control Strategies for Fuel-Cell-Based Hybrid Electric Vehicles: From Offline to Online and Experimental Results. IEEE Trans. Veh. Technol. 2012, 61, 2452–2457. [Google Scholar] [CrossRef]
  29. Zheng, C.H.; Cha, S.W. Real-Time Application of Pontryagin’s Minimum Principle to Fuel Cell Hybrid Buses based on Driving Characteristics of Buses. Int. J. Precis. Eng. Manuf. Technol. 2017, 4, 199–209. [Google Scholar] [CrossRef]
  30. Kwan, T.H.; Wu, X.F.; Yao, Q.H. Parameter sizing and stability analysis of a highway fuel cell electric bus power system using a multi-objective optimization approach. Int. J. Hydrogen Energy 2018, 43, 20976–20992. [Google Scholar] [CrossRef]
  31. Muñoz, P.M.; Correa, G.; Gaudiano, M.E.; Fernández, D. Energy management control design for fuel cell hybrid electric vehicles using neural networks. Int. J. Hydrogen Energy 2017, 42, 28932–28944. [Google Scholar] [CrossRef]
  32. Gim, J.; Kim, M.; Ahn, C. Energy Management Control Strategy for Saving Trip Costs of Fuel Cell/Battery Electric Vehicles. Energies 2022, 15, 2131. [Google Scholar] [CrossRef]
  33. Deng, K.; Peng, H.J.; Dirkes, S.; Gottschalk, J.; Ünlübayir, C.; Thul, A.; Löwenstein, L.; Pischinger, S.; Hameyer, K. An adaptive PMP-based model predictive energy management strategy for fuel cell hybrid railway vehicles. eTransportation 2021, 7, 100094. [Google Scholar] [CrossRef]
  34. Iqbal, M.; Becherif, M.; Ramadan, H.S.; Badji, A. Dual-layer approach for systematic sizing and online energy management of fuel cell hybrid vehicles. Appl. Energy 2021, 300, 117345. [Google Scholar] [CrossRef]
  35. Raga, C.; Barrado, A.; Miniguano, H.; Lazaro, A.; Quesada, I.; Martin-Lozano, A. Analysis and Sizing of Power Distribution Architectures Applied to Fuel Cell Based Vehicles. Energies 2018, 11, 2597. [Google Scholar] [CrossRef] [Green Version]
  36. Wang, C.; He, H.W.; Zhang, Y.Z.; Mu, H. A comparative study on the applicability of ultracapacitor models for electric vehicles under different temperatures. Appl. Energy 2017, 196, 268–278. [Google Scholar] [CrossRef]
  37. Marzougui, H.; Amari, M.; Kadri, A.; Bacha, F.; Ghouili, J. Energy management of fuel cell/battery/ultracapacitor in electrical hybrid vehicle. Int. J. Hydrogen Energy 2017, 42, 8857–8869. [Google Scholar] [CrossRef]
  38. Jia, J.; Wang, Y.; Li, Q.; Cham, Y.T.; Han, M. Modeling and Dynamic Characteristic Simulation of a Proton Exchange Membrane Fuel Cell. IEEE Trans. Energy Convers. 2009, 24, 283–291. [Google Scholar] [CrossRef]
  39. Yanwei, L.; Yunxue, Z.; Ziyue, L.; Kegang, Z.; Jie, Y. Energy Management Strategy Optimization of Hybrid Energy Storage System Based on Radau Pseudo-spectral Method. Automot. Eng. 2019, 6, 625–633. [Google Scholar]
  40. Zhang, W.B.; Li, J.Q.; Xu, L.F.; Ouyang, M.G. Optimization for a fuel cell/battery/capacity tram with equivalent consumption minimization strategy. Energy Convers. Manag. 2017, 134, 59–69. [Google Scholar] [CrossRef]
  41. Hong, Z.H.; Li, Q.; Han, Y.; Shang, W.L.; Zhu, Y.N.; Chen, W.R. An energy management strategy based on dynamic power factor for fuel cell/battery hybrid locomotive. Int. J. Hydrogen Energy 2018, 43, 3261–3272. [Google Scholar] [CrossRef]
  42. Liu, Y.W.; Li, Z.Y.; Chen, Y.Z.; Zhao, K.G. A Novel Fuel-Cell Electric Articulated Vehicle and Its Drop-and-Pull Transport System. Energies 2020, 13, 3632. [Google Scholar] [CrossRef]
  43. Liu, D.R.; Xue, S.; Zhao, B.; Luo, B.; Wei, Q.L. Adaptive Dynamic Programming for Control: A Survey and Recent Advances. IEEE Trans. Syst. Man Cybern. Syst. 2021, 51, 142–160. [Google Scholar] [CrossRef]
Figure 1. Hybrid powertrain topological structure.
Figure 1. Hybrid powertrain topological structure.
Energies 15 05190 g001
Figure 2. Battery pack configuration.
Figure 2. Battery pack configuration.
Energies 15 05190 g002
Figure 3. Relationship between OCV and BSOC.
Figure 3. Relationship between OCV and BSOC.
Energies 15 05190 g003
Figure 4. Charging and discharging characteristic curves of (a) total internal resistance, (b) ohmic internal resistance, (c) polarization internal resistance and (d) polarization capacitance.
Figure 4. Charging and discharging characteristic curves of (a) total internal resistance, (b) ohmic internal resistance, (c) polarization internal resistance and (d) polarization capacitance.
Energies 15 05190 g004
Figure 5. The calculation sketch of the MDDP.
Figure 5. The calculation sketch of the MDDP.
Energies 15 05190 g005
Figure 6. Schematic diagram of dimensionality reduction of the corresponding relationship between state and optimal cost.
Figure 6. Schematic diagram of dimensionality reduction of the corresponding relationship between state and optimal cost.
Energies 15 05190 g006
Figure 7. MDDP based on parallel computing.
Figure 7. MDDP based on parallel computing.
Energies 15 05190 g007
Figure 8. C-WTVC working conditions.
Figure 8. C-WTVC working conditions.
Energies 15 05190 g008
Figure 9. The power demand of simulated vehicle driving under C-WTVC working conditions.
Figure 9. The power demand of simulated vehicle driving under C-WTVC working conditions.
Energies 15 05190 g009
Figure 10. The process framework of component optimization.
Figure 10. The process framework of component optimization.
Energies 15 05190 g010
Figure 11. Variation curve of fuel cell direct hydrogen consumption.
Figure 11. Variation curve of fuel cell direct hydrogen consumption.
Energies 15 05190 g011
Figure 12. Fuel cell output power under different maximum power of fuel cell.
Figure 12. Fuel cell output power under different maximum power of fuel cell.
Energies 15 05190 g012
Figure 13. Variation curve of fuel cell equivalent hydrogen consumption.
Figure 13. Variation curve of fuel cell equivalent hydrogen consumption.
Energies 15 05190 g013
Figure 14. Variation curve of capacity degradation rate of fuel cell.
Figure 14. Variation curve of capacity degradation rate of fuel cell.
Energies 15 05190 g014
Figure 15. Variation curve of battery ampere-hour throughput.
Figure 15. Variation curve of battery ampere-hour throughput.
Energies 15 05190 g015
Figure 16. Variation curve of battery current.
Figure 16. Variation curve of battery current.
Energies 15 05190 g016
Table 1. Parameters of the fuel cell model.
Table 1. Parameters of the fuel cell model.
ParameterValue
Partial pressure of hydrogen P H 2 (atm)0.5
Partial pressure of oxygen P H 2 (atm)0.5
Empirical coefficient ξ 1 −0.9514
Empirical coefficient ξ 2 0.00312
Empirical coefficient ξ 3 7.4 × 10−5
Empirical coefficient ξ 4 1.87 × 10−4
Proton exchange membrane thickness l (µm)20
Activation area A (cm2)150
Membrane water content λ 20
Fuel cell performance coefficient B 0.016
Table 2. Battery parameters.
Table 2. Battery parameters.
ParameterValue
Nominal voltage (V)3.6
Nominal capacity (Ah)37
End-of-Charge Voltage (V)4.2
End-of-discharge Voltage (V)3
Table 3. Attenuation model coefficient.
Table 3. Attenuation model coefficient.
CoefficientParameterValue
k10.00356 (%/h)Power output is less than 10% of the rated power
k20.00126 (%/h)Absolute value of the load variation per second exceeds 10% of the maximum power
k30.00147 (%/h)Power output is greater than 90% of the maximum power
k40.00196 (%/cycle)One complete start–stop cycle
Kp1.47the correction coefficient
Table 4. Fuel cell working mode.
Table 4. Fuel cell working mode.
Power DemandModeRange of Control Variables
P d > 90 % P f c max high power demand 50 % P f c max u 90 % P f c max
P d < 10 % P f c rated normal power demand 10 % P f c rated u 90 % P d / η D C / D C
P d < 10 % P f c rated steady output u = 10 % P f c rated
Table 5. Vehicle parameters.
Table 5. Vehicle parameters.
ParameterValue
Length (mm)6130
Width (mm)2495
Height (mm)2960
Whole-vehicle curb weight (kg)5900
Total weight (t)18
Rotational resistance factor, f0.02
Transmission efficiency ηt0.9
Air resistance coefficient CD0.7
Frontal area A (m2)7.4
Rolling radius (m)0.512
Final drive ratio i04.875
Table 6. Motor parameters.
Table 6. Motor parameters.
ParameterValue
Peak power (kW)380
Rated power (kW)190
Peak torque (Nm)6600
Rated torque (Nm)3300
Peak speed (r/m)2600
Rated speed (r/m)1100
Rated voltage (V)408
Efficiency0.92
Table 7. Comparison between DP-based EMS and MDDP-based EMS.
Table 7. Comparison between DP-based EMS and MDDP-based EMS.
DPMDDPImprovement
m H 2 equ 1922.8 g1864.9 g3.10%
Aheff46.074 Ah45.581 Ah1.08%
Δ F C degrad 0.00288265%0.002882410%0.13%
Publisher’s Note: MDPI stays neutral with regard to jurisdictional claims in published maps and institutional affiliations.

Share and Cite

MDPI and ACS Style

Liu, Y.; Liang, J.; Song, J.; Ye, J. Research on Energy Management Strategy of Fuel Cell Vehicle Based on Multi-Dimensional Dynamic Programming. Energies 2022, 15, 5190. https://doi.org/10.3390/en15145190

AMA Style

Liu Y, Liang J, Song J, Ye J. Research on Energy Management Strategy of Fuel Cell Vehicle Based on Multi-Dimensional Dynamic Programming. Energies. 2022; 15(14):5190. https://doi.org/10.3390/en15145190

Chicago/Turabian Style

Liu, Yanwei, Jiansheng Liang, Jiaqing Song, and Jie Ye. 2022. "Research on Energy Management Strategy of Fuel Cell Vehicle Based on Multi-Dimensional Dynamic Programming" Energies 15, no. 14: 5190. https://doi.org/10.3390/en15145190

APA Style

Liu, Y., Liang, J., Song, J., & Ye, J. (2022). Research on Energy Management Strategy of Fuel Cell Vehicle Based on Multi-Dimensional Dynamic Programming. Energies, 15(14), 5190. https://doi.org/10.3390/en15145190

Note that from the first issue of 2016, this journal uses article numbers instead of page numbers. See further details here.

Article Metrics

Back to TopTop