Next Article in Journal
Electrochemical Evaluation of Nickel Oxide Addition toward Lanthanum Strontium Cobalt Ferrite Cathode for Intermediate Temperature Solid Oxide Fuel Cell (IT-SOFCS)
Previous Article in Journal
Ultrasonic Energy as an Agent to Aid Water Treatment in the Coagulation Process
 
 
Font Type:
Arial Georgia Verdana
Font Size:
Aa Aa Aa
Line Spacing:
Column Width:
Background:
Article

Numerical Simulation and Optimization of Rapid Filling of High-Pressure Hydrogen Storage Cylinder

1
CRRC Academy, F9, Building 5, Nuode Centre II, E Qichebowuguan Road Fengtai, Beijing 100070, China
2
School of Naval Architecture and Maritime, Zhejiang Ocean University, Zhoushan 316022, China
3
College of Engineering, Hebei Normal University, Shijiazhuang 050010, China
4
School of Mechanical Engineering, Shijiazhuang Tiedao University, Shijiazhuang 050043, China
*
Author to whom correspondence should be addressed.
Energies 2022, 15(14), 5189; https://doi.org/10.3390/en15145189
Submission received: 17 May 2022 / Revised: 1 July 2022 / Accepted: 15 July 2022 / Published: 18 July 2022

Abstract

:
The fast charging process of high-pressure gas storage cylinders is accompanied by high temperature rise, which potentially induces the failure of solid materials inside the cylinders and the underfilling of the cylinders. A two-dimensional (2D) axisymmetric model simulated the charging process of hydrogen storage cylinders with a rated working pressure of 35 MPa and a volume of 150 L. During filling, the highest temperature rise inside the cylinder occurs at the bottom part of the cylinder, and the state of charge (SOC) is 46.4% after filling. This temperature rise can be reduced by precooling the injected hydrogen, and the highest SOC can reach 95.7% after injection. The SOC in the cylinder gradually increases with a decrease in the temperature of the hydrogen injection. The maximum SOC increase is 49.3%. For safety and the SOC exceeding 90%, the hydrogen gas should be precooled to below −10 °C, and the SOC could achieve more than 90.3%. The internal structure of the hydrogen cylinder was further optimized without a precooling condition. The selected length ratios were 25%, 50%, and 75%. Compared with the initial scheme, the SOC in the optimization scheme increased by 16%, 38.7%, and 40.1%.

1. Introduction

The realization of hydrogen storage technology with good safety, economy, and high efficiency is the key to the application and industrialization of hydrogen energy. Currently, compressed hydrogen can be stored in cylinders with high technical maturity, wide temperature adaptability, and low comprehensive energy consumption [1]. The temperature rise effect is accompanied by the rapid hydrogen charging process of the gas cylinder. Severe pressure and temperature changes affect the mechanical properties of the resin matrix and reduce the fatigue life and the state of charge (SOC) of the gas cylinder [2,3]. When the temperature of hydrogen in a high-pressure hydrogen storage cylinder exceeds 85 °C or falls below −40 °C, the cylinder is at risk of damage [4,5].
Recently, many scholars have studied the influence of temperature rise and pressure during the hydrogen injection process on high-pressure hydrogen storage cylinders through theoretical, experimental, and simulation methods. Further, a computational fluid dynamics (CFD) model has been established to study the principle of temperature rise [6,7]. Xiao et al. studied the thermal effect generated during the hydrogen injection process of high-pressure hydrogen storage cylinders. Based on the mass and energy conservation equations of high-pressure hydrogen storage cylinders, a thermodynamic model was established, and the analytical solutions of hydrogen mass and temperature were obtained through this model. The terminal hydrogen temperature, precooling hydrogen temperature, terminal hydrogen mass, and terminal hydrogen filling rate can be estimated based on the model and analytical solution. Additionally, they introduced analytical and numerical solutions for the single-zone single-temperature model during the injection process of high-pressure hydrogen storage cylinders [8]. The temperature and pressure of hydrogen as well as those of hydrogen during the injection process are predicted along with the influence of the initial hydrogen injection parameters (initial temperature, initial pressure, ambient temperature, and mass velocity) on the terminal hydrogen temperature during the hydrogen injection process [9]. Simultaneously, the precooling temperature range of hydrogen was investigated based on the initial hydrogen injection parameters, with the terminal hydrogen temperature not exceeding 85 °C. In addition, the effects of the initial hydrogenation parameters (ambient temperature, initial pressure, and mass velocity) on the terminal hydrogen temperature and hydrogen mass were studied [10]. Finally, the relationship between hydrogen mass and injection rate was studied [11]. Then, the single-zone single-temperature model was extended to the double-zone double-temperature model. Compared with the hydrogen storage cylinder structure of the single-zone model, the double-zone model is more realistic [12]. These studies mainly focused on the influence of hydrogen injection parameters on the temperature rise in the cylinders. However, research on the SOC is limited.
Deng et al. studied the relationship between the terminal and initial hydrogen temperatures and between the inlet temperature and the ambient temperature. The results showed that the higher the initial temperature, inlet temperature, and ambient temperature, the higher the terminal temperature of the hydrogen in the bottle [13]. Deymi-Dashtebayaz et al. focused on the effects of initial pressure and temperature on the temperature rise inside the terminal cylinder during hydrogen charging. During the hydrogen charging process, the hydrogen temperature in the bottle was observed to increase with the increasing initial pressure and temperature [14]. Li et al. performed a theoretical analysis, experiments, and simulations on the related factors, such as the initial pressure, initial temperature, filling speed, and ambient temperature during the filling process [15]. Wang et al. focused on the influence of initial hydrogen injection parameters (such as initial pressure, initial temperature, injection rate, and ambient temperature) on the temperature rise during hydrogen charging. Finally, it was found that during the filling process, the larger the initial pressure, initial temperature, filling rate, and ambient temperature, the higher the temperature rise inside the cylinder [16]. He et al. developed a temperature prediction formula for the hydrogen filling process by studying the effects of on-board hydrogen storage parameters, filling parameters, and environmental parameters on filling speed, filling cut-off temperature, and pressure [17]. Cebolla et al. performed a theoretical analysis, experiments, and simulations of various inlet gas temperatures and injection rates for types III and IV vehicle hydrogen storage cylinders. The results showed that the effect of the injection rate and inlet gas temperature on the SOC is greater in the type IV cylinder than in the type III cylinder [18]. De Miguel et al. studied the effects of initial temperature, filling rate, and ambient temperature on the SOC of types III and IV vehicle hydrogen storage cylinders [19]. Based on the above research, Liu et al. [20] investigated the effects of initial hydrogen injection parameters, hydrogen cylinder lining, and fiber materials on the temperature rise and filling rate of type III and IV vehicle hydrogen storage cylinders during hydrogen charging in 2021 [21]. Liu et al. studied the temperature rise and distribution of 35 MPa and 150 L hydrogen storage cylinders during refueling through experiments. And he considered the main factors affecting the temperature rise in the rapid filling process, such as in-cylinder mass filling rate and initial pressure [22].
Kim et al. studied the numerical parameters of hydrogen charging in large hydrogen storage tanks and revealed the relationship between the initial SOC pressure and the maximum temperature rise of hydrogen [23]. Seung et al. used a programming language to compile the Reynolds number and Nusselt number data and performed a systematic analysis of these numbers and the SOC. Finally, it was determined that by setting the hydrogen temperature, the temperature of the hydrogen storage device can be controlled [24]. Dicken et al. predicted the gas temperature and pressure during the filling process of hydrogen cylinders using a simplified two-dimensional symmetric model and compared the predicted results with the average temperature rise and temperature distribution inside the cylinder, which were obtained by experiments [25]. Zheng et al. studied the temperature rise of the hydrogen cylinder during the filling process, and the results showed that the gas in the tail area of the cylinder and at the interface with the rear dome had the maximum temperature rise [26]. The above studies mainly focused on the hydrogen injection parameters of type III and type IV vehicle-mounted hydrogen storage cylinders. They also examined the influence of the hydrogen cylinder lining and fiber materials on the temperature rise and SOC of the cylinders. However, research on the internal structure of the cylinders was limited.
In summary, most previous studies focused on the effect of initial hydrogen injection parameters, hydrogen cylinder lining, and fiber materials on the temperature rise of the cylinder. However, research on the structural optimization of high-pressure hydrogen storage cylinders has been limited, and most studies have failed to consider the low SOC caused by the temperature rise during the actual injection process. The modified k–ε turbulence and National Institute of Standards and Technology (NIST) real gas simulation models were used to numerically simulate the rapid filling process. The temperature rise in the filling process and filling rate of the hydrogen storage cylinder were reduced by precooling the hydrogen injection and optimizing the cylinder structure.

2. Numerical Model

2.1. Mathematical and Physical Modeling

Considering the complex heat transfer process in the actual filling process, some assumptions have been made for the filling process of hydrogen storage cylinders. The contents are as follows:
  • At the initial injection stage, the temperature in the high-pressure hydrogen storage cylinder is consistent with the ambient temperature.
  • Heat transfer characteristics of various materials are regarded as isotropic.
  • Ignoring the gravity effect, a two-dimensional (2D) axisymmetric model is used for numerical simulation [27].
  • The energy exchange between hydrogen and the pipeline installed at the connection between the hydrogen storage tank and the cylinder is ignored.
Based on the above assumptions, a CFD model, including heat transfer, turbulence, and real gas properties, was established. The control equations are described as follows. The mass conservation equation can be expressed in the following form.
ρ t + x ( ρ u ) + x ( ρ v ) ρ v r = 0
The momentum transport equation under the 2D axisymmetric inertial reference system is described as follows.
t ( ρ u ) + 1 r x ( r ρ u u ) + 1 r r ( r ρ v u ) = ρ x + 1 r x [ r ( μ + μ t ) ( 2 u x 2 3 ( · v ) ) ] + 1 r r [ r ( μ + μ t ) ( 2 u r + v x ) ]
A modified standard kε model for transport based on the turbulent kinetic energy k and dissipation rate ε is proposed. Compared with the standard kε model, C 1 ε   changes from 1.44 to 1.52, which makes the correlation between permeability and momentum, time, and density more accurate [23]. The turbulent kinetic energy k and its dissipation rate ε are obtained using the following transport equation.
t ( ρ k ) + x ( ρ k u ) = r [ ( μ + μ t σ k ) k r ] + G k ρ ε Y M
t ( ρ ε ) + x ( ρ ε u ) = r [ ( μ + μ t σ ε ) ε r ] + C 1 ε G k ε k C 2 ε ρ ε 2 k
In the above two equations, G k represents the turbulent kinetic energy generated by the average velocity gradient.
G k = ρ u v ¯ v x
Y M represents the contribution of pulsating expansion in compressible turbulence to the total dissipation rate, and its calculation expression is shown in Equation (6).
Y M = 2 ρ ε M t 2
In this form, M t is a turbulent Mach number, defined as the following.
M t = k a 2
The turbulent viscosity μ t can be obtained from the combined expressions of k and ε. The specific definitions are as follows.
μ t = ρ C μ k 2 ε
In the formula, ρ is density, t is time, u is axial velocity, v is radial velocity, x is axial distance, r is radial distance, ρ u v ¯ is Reynolds stress tensor, u , v is fluctuating variable, a is sound velocity, μ is dynamic viscosity of fluid, μ t is turbulent viscosity of fluid, C 1 ε ,   C 2 ε , and C μ are constants ( C 1 ε = 1.52 , C 2 ε = 1.92 , C μ = 0.09 ).
Using the NIST model to describe the actual gas state, the flow rate of this model is more accurate than the actual gas flow described by the ideal gas flow or some commonly used state equations [28].
Figure 1a shows the geometric shape of the 150 L high-pressure hydrogen storage cylinder, and Table 1 shows the performance of the cylinder materials. The geometric structure is divided into two regions: fluid and solid. The inner liner is made of high-density polyethylene (HDPE), and the composite laminates include carbon fiber epoxy composites (CFECs) and glass fiber epoxy composites (GFECs).
Owing to the rapid increase in internal pressure and temperature during the filling process of high-pressure hydrogen storage cylinders, the safety and filling problems of cylinders are potentially induced. Therefore, by studying the optimization method of adding an injection pipe inside the hydrogen storage cylinder, the temperature rise inside the cylinder is reduced and the SOC of the cylinder is improved. The optimized geometry of the hydrogen storage cylinder is shown in Figure 1b.

2.2. Model Setting

A 2D pressure solver is applied to the numerical simulation. The pressure implicit with the splitting of operators and implicit scheme is used to solve pressure, velocity, and other physical quantities. The momentum, turbulent kinetic energy, turbulent dissipation rate, and energy equations are discretized using the second-order upwind scheme, and the implicit method is used to solve the transient equation. Given the nonslip boundary condition on the inner wall of the cylinder, the energy equation of the inner wall of the cylinder is coupled with the energy equation of hydrogen. The initial temperature is the same as the ambient temperature, 293 K, and the initial pressure of hydrogen is 3 MPa. The convective heat transfer coefficient of the outer wall of the GFEC laminates is set as a constant, 10 W/(m2·K), and the time step is set to 0.001 s.

2.3. Model Verification and Working Condition Setting

The accuracy of the numerical simulation results herein is verified by the temperature rise curve inside the hydrogen storage cylinder with time. The experimental results are compared with the numerical simulation results based on experimental data from the current literature [29] to determine the validity of the numerical simulation results, as shown in Figure 2. The green solid dot marker represents the numerical simulation result plus marking, the black solid dot icon represents the experimental result in the literature, and the red triangle plus marking represents the numerical simulation result in the literature.
The comparison between the experiment and the simulation shows that the temperature rise at some points (20–60 s) is 0–5 °C higher than that of the simulation process here, and other regions are in good agreement. This is because the heat transfer process is more complex; thus, the simulation process relies on some ideal assumptions (the temperature in the bottle and ambient temperature are the same). Although there is a slight deviation between the experiment and the simulation here, the simulation results here are generally in good agreement with the experimental results in the literature, and the average error is 1.8%.
When the temperature of hydrogen inside the high-pressure hydrogen storage cylinder falls below −40 °C, the cylinder deforms due to exceeding of the industrial standard of the cylinder [25]. Therefore, under the nominal working pressure of 35 MPa, it is assumed that the initial pressure of the cylinder is 3 MPa, the initial temperature in the cylinder is 20 °C, and the mass flow rate is 19 g/s. Table 2 shows the study and analysis of the temperature rise characteristics of the hydrogen cylinder during the filling process.
This study shows that when the temperature of hydrogen inside the cylinder reaches 85 °C, the solid material inside the cylinder changes and causes safety problems. Therefore, in the process of a simulation study, when the temperature caused by the injection reaches 85 °C (the temperature rise is 65 °C) or the hydrogen pressure in the bottle reaches 35 MPa, it is considered that the injection process is completed.

3. Results and Discussion

By precooling the hydrogen injection and optimizing the internal cylinder, the temperature rise inside the cylinder during the injection process can be reduced and the hydrogen SOC after the injection can be improved.
According to the national standard [30], the reasonable SOC of a 35 MPa hydrogen storage cylinder is between 90% and 100%. The SOC is as follows:
SOC = ρ ( P , T ) ρ ( N W P , 15   ° C ) × 100 %
where ρ ( P , T ) is the real-time density of hydrogen at the end of the charging process, and ρ ( N W P , 15   ° C ) is the density of hydrogen at 15 °C under the nominal working pressure, which is 24 g/L.
The following equations express the airflow distribution and temperature mixing uniformity:
C V = 1 X ¯ 1 n ( X i X ¯ ) n × 100 %
where X i is the measuring point data, such as speed and temperature; X   ¯ is the average value of the test section data; n is the number of measuring points; and C V is the relative standard deviation coefficient.

3.1. Rise in Temperature Change

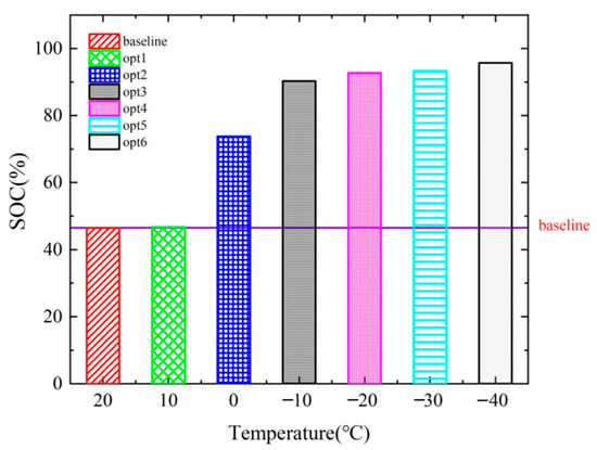
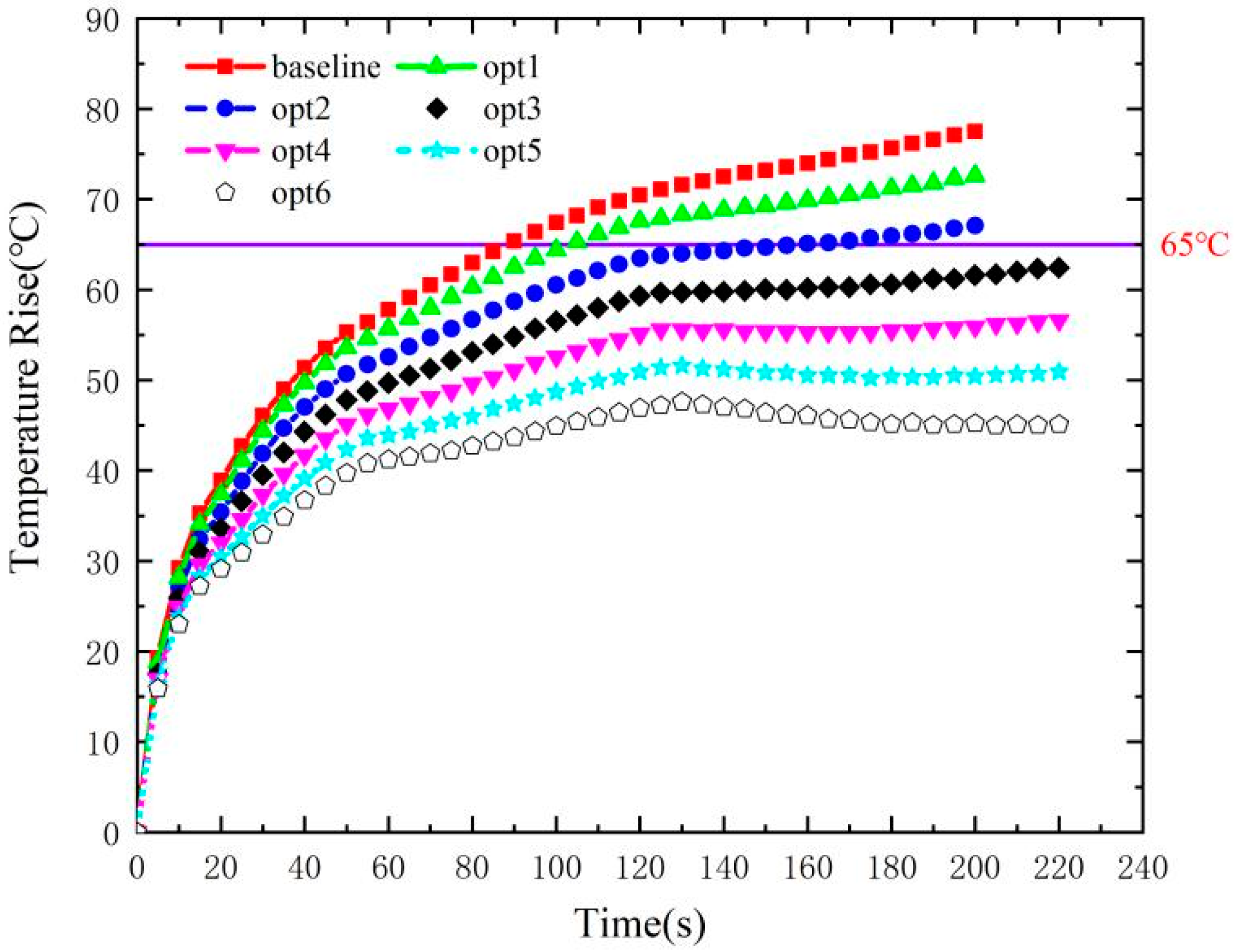
Precooling the hydrogen injection reduces the temperature rise inside the cylinder, increasing the SOC. First, the method for precooling the hydrogen injection is used to reduce the internal temperature of the cylinder. In Figure 3, the variation of the highest temperature rise inside the cylinder under the initial scheme and six precooling conditions is respectively shown. It can be intuitively found in the diagram that the temperature increase inside the cylinder increases with the injection process under seven working conditions, and the temperature increase trend is nonlinear. By comparing the temperature rise changes of the benchmark scheme and the six precooling schemes, it can be seen that precooling with hydrogen injection can effectively reduce the highest temperature rise of hydrogen in the cylinder.
As the inlet temperature decreases, when the maximum temperature of the gas inside the cylinder reaches 65 °C, the injection time continuously increases, and even some schemes do not reach 65 °C within the range of calculation. Specifically, the fastest time to attain the temperature rise limit of 65 °C within the cylinder under the reference scheme is about 88 s, followed by the precooling conditions opt1 and opt2. When filling 220 s under the precooling conditions opt3, opt4, opt5, and opt6, the highest temperature rise inside the cylinder still does not meet the temperature rise limit of 65 °C.
At the moment of t = 90s, as shown in Figure 4, the temperature and velocity distributions inside the cylinder under the baseline scheme and four working conditions of opt2, opt4, and opt6 are compared. The internal temperature of the cylinder reaches the temperature limit of 85 °C in the reference scheme at 90 s. In the precooling scheme opt2, the internal temperature of the cylinder is also close to 85 °C; in the precooling schemes opt4 and opt6, the gas temperature in the cylinder is still within a safe temperature range.
It can also be observed from Figure 4 that the temperature distribution inside the cylinder is uneven under various working conditions, showing a downward trend from the tail to the mouth of the cylinder (pictured from right to left). In Figure 5, the highest temperature rise curve is combined with the average temperature rise inside the cylinder. The main reason is that the inlet hydrogen temperature is low, resulting in a long time for the injected hydrogen to flow from the bottle mouth to the bottle tail region. This makes the high-temperature gas in the bottle tail region unable to conduct sufficient convective cooling.

3.2. Pressure Change

In the process of hydrogen injection, a high-pressure hydrogen storage cylinder will lead to a rapid increase in pressure inside the cylinder, which may cause safety and injection problems. After precooling the filling gas, the average pressure inside the cylinder changes over time, as shown in Figure 6a. Figure 6a shows the variation in the average pressure inside the cylinder under the initial scheme and six precooling conditions. It can be intuitively found in Figure 6a that the internal pressure of the cylinder increases with time under seven working conditions. At the same injection time, the pressure inside the cylinder decreases with a decrease in the temperature of hydrogen injection. As shown in Figure 6b, when the initial scheme and six precooling conditions reached 35 MPa, from the viewpoint of the filling time of all conditions, the lower the hydrogen temperature, the longer the filling time, regardless of the temperature rise of the cylinder. However, in general, changing the gas temperature at the same time has little effect on pressure.

3.3. State of Charge

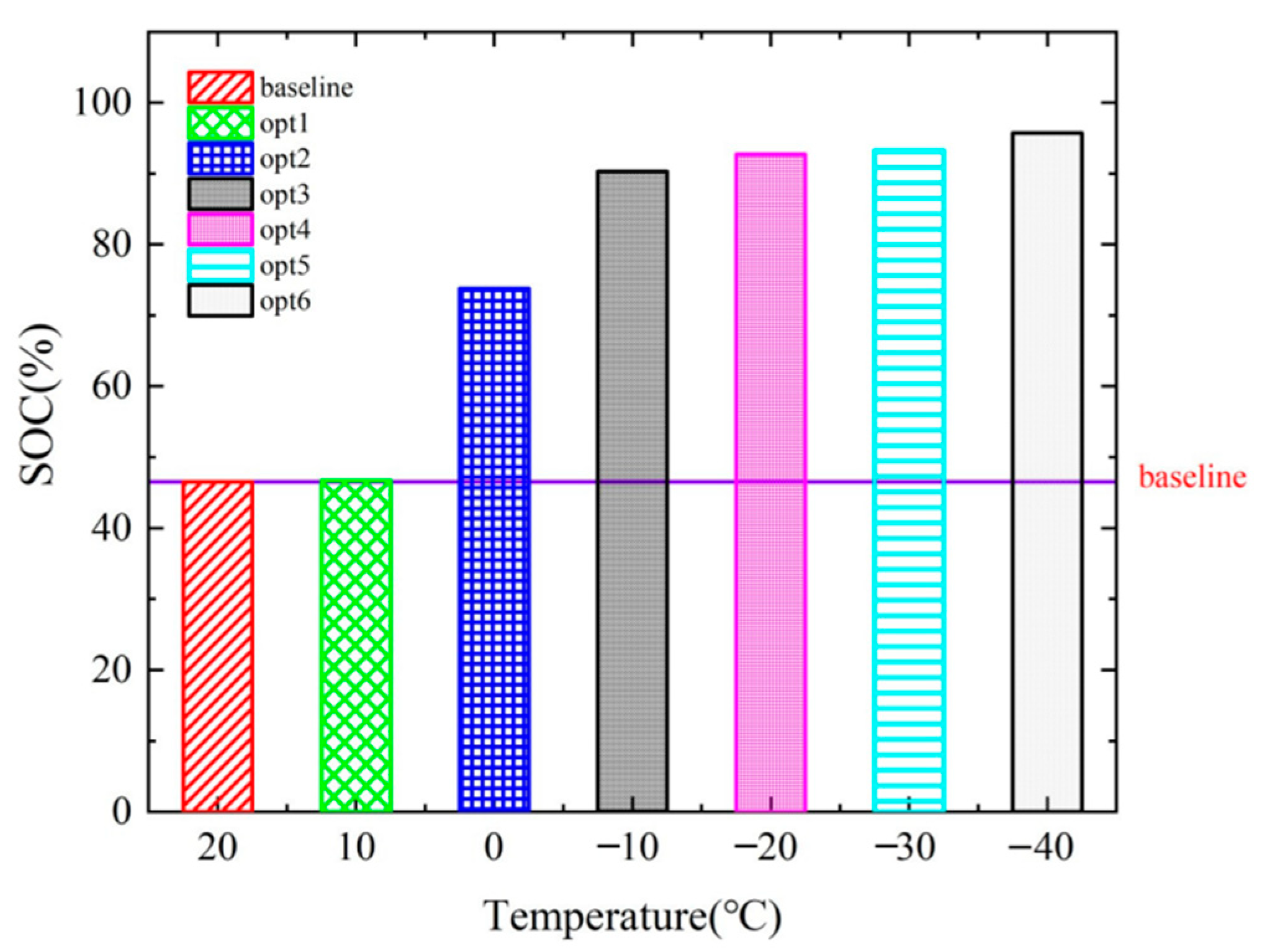
The SOC of a high-pressure hydrogen storage cylinder considerably influences the usage time and efficiency of the cylinder. When the SOC of the cylinder is below 90%, the cylinder is underfilled, and its efficiency is low. When the filling rate of the cylinder exceeds 100%, the cylinder is overfilled, posing a safety threat. Therefore, an improved SOC is expected to be achieved by precooling the injected gas. Based on the analysis of the maximum temperature and pressure in the bottle, when the inlet temperature decreases, the time required to complete the filling and the SOC increase when considering the same mass flow rate of filling.
Table 3 and Figure 7 show the SOC of the cylinder under the baseline case and six precooling conditions. It can be observed that the baseline, opt1, and opt2 are three conditions because the temperature reaches 85 °C and the injection stops. Moreover, opt3, opt4, opt5, and opt6 are four conditions in which the pressure reaches 35 MPa and the filling process is stopped. Moreover, with the decrease in the gas temperature and the increase in the injection time, the SOC inside the cylinder increases when the injection is completed. Among these cases, the cylinder SOC meets the reasonable SOC range specified by national standards under the four precooling conditions of opt3, opt4, opt5, and opt6.

3.4. Filling Optimization

While studying the temperature rise change of the high-pressure hydrogen storage cylinder during filling, it was found that the temperature inside the cylinder was extremely uneven during filling, as shown in Figure 4. It can be observed from the diagram that the temperature of the shoulder region of the bottle is quite different from that of the tail region of the bottle. Therefore, it is expected to adjust the temperature uniformity by changing the internal structure of the cylinder to effectively improve the SOC of the cylinder.
By adding a filling pipe inside the cylinder, the injected hydrogen is directly imported into the cylinder so that the heat transfer inside the cylinder is more effective. Moreover, the convective cooling inside the cylinder is accelerated, and the temperature distribution inside the cylinder is more uniform. Therefore, three optimization conditions with length ratios of 25%, 50%, and 75% are selected to explore the feasibility of this optimization scheme.
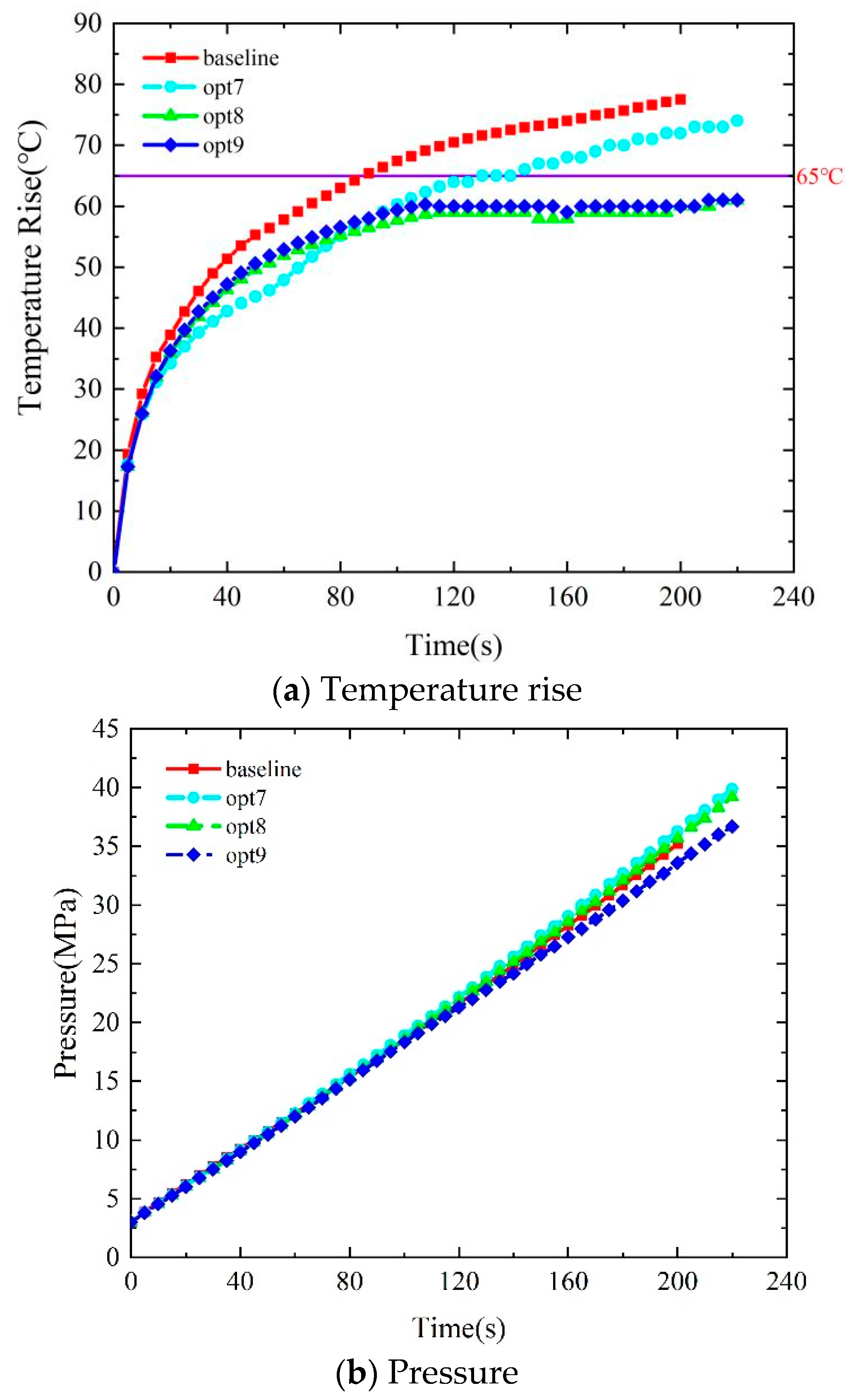
Figure 8 compares the temperature rise and pressure change between the initial and optimization schemes. The three optimization schemes shown in Figure 8 can reduce the maximum internal temperature of the cylinder by 5–15 °C. The optimization scheme opt7 has a better effect on reducing the temperature rise than opt8 and opt9. However, the effect of reducing the temperature rise after 80 s is not as good as opt8 and opt9. Additionally, these optimization schemes has little effect on the average pressure inside the cylinder. As shown in Figure 9, after 80 s of injection, the temperature contours of the initial and optimization schemes are compared. The highest temperature rise inside the cylinder in the initial and optimization scheme opt7 appears in the tail area of the cylinder. However, the temperature in the shoulder area of the optimization scheme opt7 cylinder is significantly higher than that of the initial optimization scheme. The highest temperature rise inside the cylinder in opt8 and opt9 appears in the shoulder area of the cylinder. Compared with the baseline of the initial scheme, the temperature rise and temperature difference inside the cylinder are lower in the three optimization schemes. Finally, Table 4 and Figure 10 show the internal filling rates of cylinders under the initial and three optimization schemes. As can be seen from Table 4—baseline, opt7, opt8, and opt9—these four conditions, due to the bottle temperature, reach 85 °C (the temperature rise is 65 °C), or the hydrogen pressure in the bottle reaches 35 MPa, thus stopping the injection. As shown in Figure 10, the SOC of the cylinder in the optimization scheme increases by 16%, 38.7%, and 40.1%, respectively, compared with the initial scheme.
During the filling process of the 35 MPa high-pressure hydrogen storage cylinder, the temperature distribution in the cylinder is extremely uneven. For example, the temperature in the tail region of the cylinder exceeds 85 °C, while the temperature in other regions, such as the region near the mouth of the cylinder, is far lower than 85 °C. The high temperature in the local area of the filling process leads to a short filling time and low SOC in the cylinder. By adding an injection pipe inside the cylinder, the injected hydrogen is directly imported into the cylinder so that the injected hydrogen can be injected inside. Thus, the temperature nonuniformity coefficient inside the cylinder is smaller, and the temperature distribution is more uniform. The optimization scheme is based on the heat transfer inside the cylinder and the unevenness of temperature.
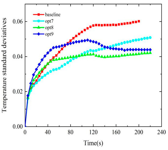
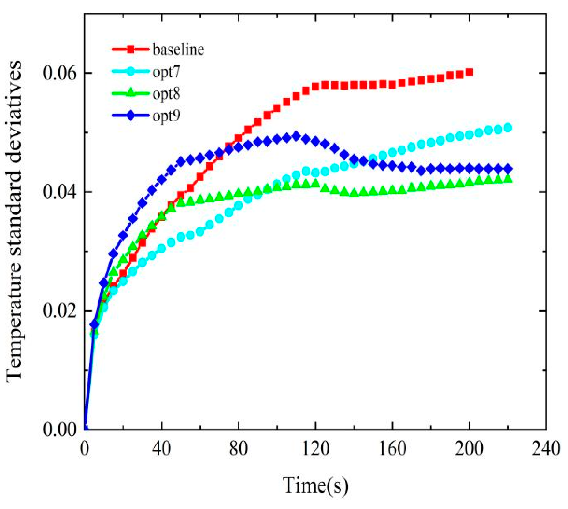
Figure 9 and Figure 10 show the optimization effects of the three optimization schemes. Compared with the initial scheme, the internal temperature difference of the cylinders in the three optimization schemes is smaller and the SOC is higher. Figure 11 shows the unevenness inside the cylinder. Figure 11 shows the variation of the temperature nonuniformity coefficient inside the cylinder with the injection time. Moreover, it shows that the smaller the temperature nonuniformity coefficient, the more uniform the temperature distribution inside the cylinder. Through a comparison of the temperature unevenness curve in Figure 11 and the cloud images of the temperature rise changes in the cylinder at different moments in Figure 12, it can be intuitively found that when the optimization scheme opt7 is injected for 40 s, the reduced temperature rise is lower than that of the schemes opt8 and opt9. However, when 130 s is added, the temperature rises lower than opt8 and opt9. This is because the uneven coefficient of the cylinder in the optimization scheme opt7 in the early filling is less than that in the optimization schemes opt8 and opt9. However, in the later stage of filling, the internal uneven coefficient of the cylinder is greater than the optimization schemes opt8 and opt9, and Figure 11 shows the specific data. Therefore, based on the injection time and SOC considerations, opt8 and opt9 are better than opt7 and the baseline.

4. Conclusions

Through a numerical simulation study on the charging process of a 35 MPa hydrogen storage cylinder, the influence of hydrogen charging at different temperatures on the temperature rise, pressure, and SOC of the high-pressure hydrogen storage cylinder was revealed. Moreover, the effect of adding pipelines inside the cylinder on improving the SOC of the cylinder was explored. The pressure in the cylinder increases as the temperature of the hydrogen charging rises, and the pressure increases almost linearly with time.
By subjecting the injected hydrogen to precooling treatment, the temperature rise rate and the maximum temperature rise inside the cylinder can be reduced. As the temperature of hydrogen injection decreases, the SOC inside the cylinder gradually increases, reaching up to 49.3%. Considering safety requirements and SOC in the cylinder exceeding 90%, the injected gas is suggested to be precooled to −10 °C or lower.
Adding a filling pipe inside the cylinder can effectively reduce the maximum temperature appreciation inside the cylinder and improve the SOC. Compared with the initial scheme, the SOC of the optimization schemes increases by 16%, 38.7%, and 40.1%, respectively.

Author Contributions

Conceptualization, L.X. and J.D.; methodology, J.D.; software, X.W.; validation, B.L., X.W. and J.D.; formal analysis, L.X.; investigation, Z.W.; resources, L.X.; data curation, X.W.; writing—original draft preparation, L.X.; writing—review and editing, Z.W.; visualization, L.X.; supervision, B.L.; project administration, J.D.; funding acquisition, J.D. All authors have read and agreed to the published version of the manuscript.

Funding

This research was funded by the Hebei Provincial Department of Education Funded Scientific Research Project (ZD2020320).

Institutional Review Board Statement

Not applicable.

Informed Consent Statement

Not applicable.

Data Availability Statement

Not applicable.

Acknowledgments

The authors would like to acknowledge the financial support received from the Hebei Provincial Department of Education Funded Scientific Research Project (ZD2020320).

Conflicts of Interest

The authors declare no conflict of interest. The funders had no role in the design of the study; in the collection, analyses, or interpretation of data; in the writing of the manuscript; or in the decision to publish the results.

References

  1. Liu, J.; Zhou, L.; Ma, H. Fast Charge Temperature Rise of Vehicle Hydrogen Storage Cylinders with Different Water Volumes. Chem. Mach. 2021, 48, 160–165. [Google Scholar]
  2. Xiaolu, G.; Xiaoliang, L.; Shuangqing, X. Research Progress on Cycle Characteristics of Vehicle Hydrogen Storage Cylinders. In Proceedings of the Tenth National Conference on Pressure Vessels, Hangzhou, China, 30 October–1 November 2021. [Google Scholar]
  3. Xiao, J.; Wang, X.; Bénard, P.; Chahine, R. Determining Hydrogen Pre-Cooling Temperature from Refueling Parameters. Int. J. Hydrogen Energy 2016, 41, 16316–16321. [Google Scholar] [CrossRef]
  4. Mathison, S.; Handa, K.; McGuire, T.; Brown, T.; Goldstein, T.; Johnston, M. Field Validation of the MC Default Fill Hydrogen Fueling Protocol. SAE Int. J. Altern. Powertrains 2015, 4, 130–144. [Google Scholar] [CrossRef]
  5. Schneider, J.; Meadows, G.; Mathison, S.R.; Veenstra, M.J.; Shim, J.; Immel, R.; Wistoft-Ibsen, M.; Quong, S.; Greisel, M.; McGuire, T.; et al. Validation and Sensitivity Studies for SAE J2601, the Light Duty Vehicle Hydrogen Fueling Standard. SAE Int. J. Altern. Powertrains 2014, 3, 257–309. [Google Scholar] [CrossRef]
  6. Melideo, D.; Baraldi, D.; De Miguel Echevarria, N.D.M.; Acosta Iborra, B. Effects of Some Key Parameters on the Thermal Stratification in Hydrogen Tanks during the Filling Process. Int. J. Hydrogen Energy 2019, 44, 13569–13582. [Google Scholar] [CrossRef]
  7. Ariyadi, H.M.; Jeong, J.; Saito, K. Computational Analysis of Hydrogen Flow and Aerodynamic Noise Emission in a Solenoid Valve during Fast-charging to Fuel Cell Automobiles. J. Energy Storage 2022, 45, 103661. [Google Scholar] [CrossRef]
  8. Xiao, J.; Bénard, P.; Chahine, R. Charge-discharge Cycle Thermodynamics for Compression Hydrogen Storage System. Int. J. Hydrogen Energy 2016, 41, 5531–5539. [Google Scholar] [CrossRef]
  9. Xiao, J.; Bénard, P.; Chahine, R. Estimation of Final Hydrogen Temperature from Refueling Parameters. Int. J. Hydrogen Energy 2017, 42, 7521–7528. [Google Scholar] [CrossRef]
  10. Xiao, J.; Cheng, J.; Wang, X.; Bénard, P.; Chahine, R. Final Hydrogen Temperature and Mass Estimated from Refueling Parameters. Int. J. Hydrogen Energy 2018, 43, 22409–22418. [Google Scholar] [CrossRef]
  11. Xiao, J.; Ma, S.; Wang, X.; Deng, S.; Yang, T.; Bénard, P. Effect of Hydrogen Refueling Parameters on Final State of Charge. Energies 2019, 12, 645. [Google Scholar] [CrossRef] [Green Version]
  12. Xiao, J.; Wang, X.; Zhou, X.; Bénard, P.; Chahine, R. A Dual Zone Thermodynamic Model for Refueling Hydrogen Vehicles. Int. J. Hydrogen Energy 2019, 44, 8780–8790. [Google Scholar] [CrossRef]
  13. Deng, S.; Xiao, J.; Bénard, P.; Chahine, R. Determining Correlations between Final Hydrogen Temperature and Refueling Parameters from Experimental and Numerical Data. Int. J. Hydrogen Energy 2020, 45, 20525–20534. [Google Scholar] [CrossRef]
  14. Deymi-Dashtebayaz, M.; Farzaneh-Gord, M.; Rahbari, H.R. Thermodynamic Analysis of Single Reservoir Filling Process of Hydrogen Vehicle. Theor. Found. Chem. Eng. 2018, 52, 465–472. [Google Scholar] [CrossRef]
  15. Li, M.; Bai, Y.; Zhang, C.; Song, Y.; Jiang, S.; Grouset, D.; Zhang, M. Review on the Research of Hydrogen Storage System Fast Refueling in Fuel Cell Vehicle. Int. J. Hydrogen Energy 2019, 44, 10677–10693. [Google Scholar] [CrossRef] [Green Version]
  16. Wang, Y.; Dai, X.; You, H.; Gao, M. Research on the Design of Hydrogen Supply System of 70 MPa Hydrogen Storage Cylinder for Vehicles. Int. J. Hydrogen Energy 2018, 43, 19189–19195. [Google Scholar] [CrossRef]
  17. He, G.; Yang, K.; Dong, W. Development of Hydrogen Filling Technology Based on Domestic Type 3 Bottles. Energy Storage Sci. Technol. 2020, 9, 696–701. [Google Scholar]
  18. Cebolla, R.O.; Acosta, B.; De Miguel, N.; Moretto, P. Effect of Precooled Inlet Gas Temperature and Mass Flow Rate on Final State of Charge during Hydrogen Vehicle Refueling. Int. J. Hydrogen Energy 2015, 40, 4698–4706. [Google Scholar] [CrossRef]
  19. De Miguel, N.; Acosta, B.; Baraldi, D.; Melideo, R.; Ortiz Cebolla, R.; Moretto, P. The Role of Initial Tank Temperature on Refuelling of On-board Hydrogen Tanks. Int. J. Hydrogen Energy 2016, 41, 8606–8615. [Google Scholar] [CrossRef]
  20. Liu, J. Research on the Influence of Structural Parameters on the Rapid Charging Temperature Rise of Vehicle Mounted Hydrogen Storage Cylinders; Zhejiang University: Hangzhou, China, 2021. [Google Scholar]
  21. Liu, J.; Zheng, S.; Zhang, Z.; Zheng, J.; Zhao, Y. Numerical Study on the Fast Filling of On-bus Gaseous Hydrogen Storage Cylinder. Int. J. Hydrogen Energy 2020, 45, 9241–9251. [Google Scholar] [CrossRef]
  22. Liu, Y.; Zhao, Y.; Zhao, L.; Li, X.; Chen, H. Experimental studies on temperature rise within a hydrogen cylinder during refueling. Int. J. Hydrogen Energy 2009, 35, 2627–2632. [Google Scholar] [CrossRef]
  23. Kim, M.-S.; Jeon, H.-K.; Lee, K.-W.; Ryu, J.-H.; Choi, S.-W. Analysis of Hydrogen Filling of 175 Liter Tank for Large-Sized Hydrogen Vehicle. Int. J. Appl. Sci. 2022, 12, 4856. [Google Scholar] [CrossRef]
  24. Oh, S.J.; Yoon, J.H.; Jeon, K.S.; Choi, J. A study on the thermal characteristics of hydrogen storage vessel related to condition of charging. J. Mech. Sci. Technol. 2022, 36, 1579–1586. [Google Scholar] [CrossRef]
  25. Dicken, C.J.B.; Mérida, W. Modeling the Transient Temperature Distribution within a Hydrogen Cylinder during Refueling. Int. J. Numer. Heat Transf. 2008, 53, 685–708. [Google Scholar] [CrossRef]
  26. Zheng, J.; Guo, J.; Yang, J.; Zhao, Y.; Zhao, L.; Pan, X.; Ma, J.; Zhang, L. Experimental and numerical study on temperature rise within a 70 MPa type III cylinder during fast refueling. Int. J. Hydrogen Energy 2013, 38, 10956–10962. [Google Scholar] [CrossRef]
  27. Zhao, L.; Liu, Y.; Yang, J.; Zhao, Y.; Zheng, J.; Bie, H.; Liu, X. Numerical Simulation of Temperature Rise within Hydrogen Vehicle Cylinder during Refueling. Int. J. Hydrogen Energy 2010, 35, 8092–8100. [Google Scholar] [CrossRef]
  28. Suryan, A.; Kim, H.D.; Setoguchi, T. Comparative Study of Turbulence Models Performance for Refueling of Compressed Hydrogen Tanks. Int. J. Hydrogen Energy 2013, 38, 9562–9569. [Google Scholar] [CrossRef]
  29. Bourgeois, T.; Ammouri, F.; Baraldi, D.; Moretto, P. The Temperature Evolution in Compressed Gas Filling Processes: A Review. Int. J. Hydrogen Energy 2018, 43, 2268–2292. [Google Scholar] [CrossRef]
  30. SAE International. Surface Vehicle Standard—Fueling Protocols for Light Duty Gaseous Hydrogen Surface Vehicles J2601_2020052016. Available online: https://www.sae.org (accessed on 16 May 2022).
Figure 1. Two-dimensional geometry and computational grid of the cylinder before and after optimization (dimensions are given in millimeters): (a) Original scheme, (b) Optimized scheme.
Figure 1. Two-dimensional geometry and computational grid of the cylinder before and after optimization (dimensions are given in millimeters): (a) Original scheme, (b) Optimized scheme.
Energies 15 05189 g001aEnergies 15 05189 g001b
Figure 2. Temperature rise in the hydrogen storage cylinder [21,27].
Figure 2. Temperature rise in the hydrogen storage cylinder [21,27].
Energies 15 05189 g002
Figure 3. Variation in the highest temperature rise in the cylinder of the benchmark and precooling schemes.
Figure 3. Variation in the highest temperature rise in the cylinder of the benchmark and precooling schemes.
Energies 15 05189 g003
Figure 4. Temperature and velocity contour of hydrogen inside the cylinder at 90 s.
Figure 4. Temperature and velocity contour of hydrogen inside the cylinder at 90 s.
Energies 15 05189 g004
Figure 5. Maximum and average temperatures rise in benchmark and precooling cylinders (t = 90 s).
Figure 5. Maximum and average temperatures rise in benchmark and precooling cylinders (t = 90 s).
Energies 15 05189 g005
Figure 6. Average pressure inside cylinders for benchmark and precooling schemes.
Figure 6. Average pressure inside cylinders for benchmark and precooling schemes.
Energies 15 05189 g006aEnergies 15 05189 g006b
Figure 7. State of charge (SOC) in the cylinder of the benchmark and precooling scheme.
Figure 7. State of charge (SOC) in the cylinder of the benchmark and precooling scheme.
Energies 15 05189 g007
Figure 8. Temperature rise and pressure change in the cylinder of the benchmark and structural optimization schemes.
Figure 8. Temperature rise and pressure change in the cylinder of the benchmark and structural optimization schemes.
Energies 15 05189 g008
Figure 9. Temperature and velocity contour of hydrogen inside the cylinder at 80 s.
Figure 9. Temperature and velocity contour of hydrogen inside the cylinder at 80 s.
Energies 15 05189 g009
Figure 10. SOC of the cylinder before and after optimization.
Figure 10. SOC of the cylinder before and after optimization.
Energies 15 05189 g010
Figure 11. Temperature homogeneity inside the cylinder before and after optimization.
Figure 11. Temperature homogeneity inside the cylinder before and after optimization.
Energies 15 05189 g011
Figure 12. Temperature and velocity contour of hydrogen inside the cylinder at 40 s and 130 s.
Figure 12. Temperature and velocity contour of hydrogen inside the cylinder at 40 s and 130 s.
Energies 15 05189 g012aEnergies 15 05189 g012b
Table 1. Hydrogen storage cylinder material properties [21].
Table 1. Hydrogen storage cylinder material properties [21].
Solid MaterialDensity
(kg/m3)
Specific Heat
(J/(kg·K))
Thermal Conductivity
(W/(m·K))
HDPE95220900.42
CFEC15139203.72
GFEC2051878.40.133
Steel8030502.4816.23
Table 2. Research conditions.
Table 2. Research conditions.
CaseInlet Hydrogen Temperature (°C)Length Ratio (%)
baseline200
opt1100
opt200
opt3−100
opt4−200
opt5−300
opt6−400
opt72025
opt82050
opt92075
Table 3. State of charge of cylinders.
Table 3. State of charge of cylinders.
CaseInlet Hydrogen Temperature (°C)35 MPa85 °CTime (s)SOC (%)
baseline208846.4
opt11010346.7
opt2015873.8
opt3−1020590.3
opt4−2020892.7
opt5−3021193.3
opt6−4021595.7
Annotation: ‘▁’ is the condition not met; ‘✔’ is the condition to be achieved.
Table 4. State of charge of the cylinder before and after optimization.
Table 4. State of charge of the cylinder before and after optimization.
CaseLength Ratio (%)35 MPa85 °CTime (s)State of Charge (%)
baseline08846.4
opt72513062.4
opt85019685.1
opt97520986.5
Annotation: ‘▁’ is the condition not met; ‘✔’ is the condition to be achieved.
Publisher’s Note: MDPI stays neutral with regard to jurisdictional claims in published maps and institutional affiliations.

Share and Cite

MDPI and ACS Style

Xue, L.; Deng, J.; Wang, X.; Wang, Z.; Liu, B. Numerical Simulation and Optimization of Rapid Filling of High-Pressure Hydrogen Storage Cylinder. Energies 2022, 15, 5189. https://doi.org/10.3390/en15145189

AMA Style

Xue L, Deng J, Wang X, Wang Z, Liu B. Numerical Simulation and Optimization of Rapid Filling of High-Pressure Hydrogen Storage Cylinder. Energies. 2022; 15(14):5189. https://doi.org/10.3390/en15145189

Chicago/Turabian Style

Xue, Longchang, Jiajia Deng, Xueren Wang, Zaizhou Wang, and Bin Liu. 2022. "Numerical Simulation and Optimization of Rapid Filling of High-Pressure Hydrogen Storage Cylinder" Energies 15, no. 14: 5189. https://doi.org/10.3390/en15145189

APA Style

Xue, L., Deng, J., Wang, X., Wang, Z., & Liu, B. (2022). Numerical Simulation and Optimization of Rapid Filling of High-Pressure Hydrogen Storage Cylinder. Energies, 15(14), 5189. https://doi.org/10.3390/en15145189

Note that from the first issue of 2016, this journal uses article numbers instead of page numbers. See further details here.

Article Metrics

Back to TopTop