Modeling and Numerical Simulation of the Inlet Velocity on Oil–Water Two-Phase Vapor Separation Efficiency by the Hydrocyclone
Abstract
:1. Introduction
2. Establish the Numerical Model
2.1. The Operation Process
2.2. Geometric Model
2.3. Governing Equations
3. Results and Discussion
3.1. Velocity Distribution
3.2. The Partial Pressure of Tar Vapor Phase
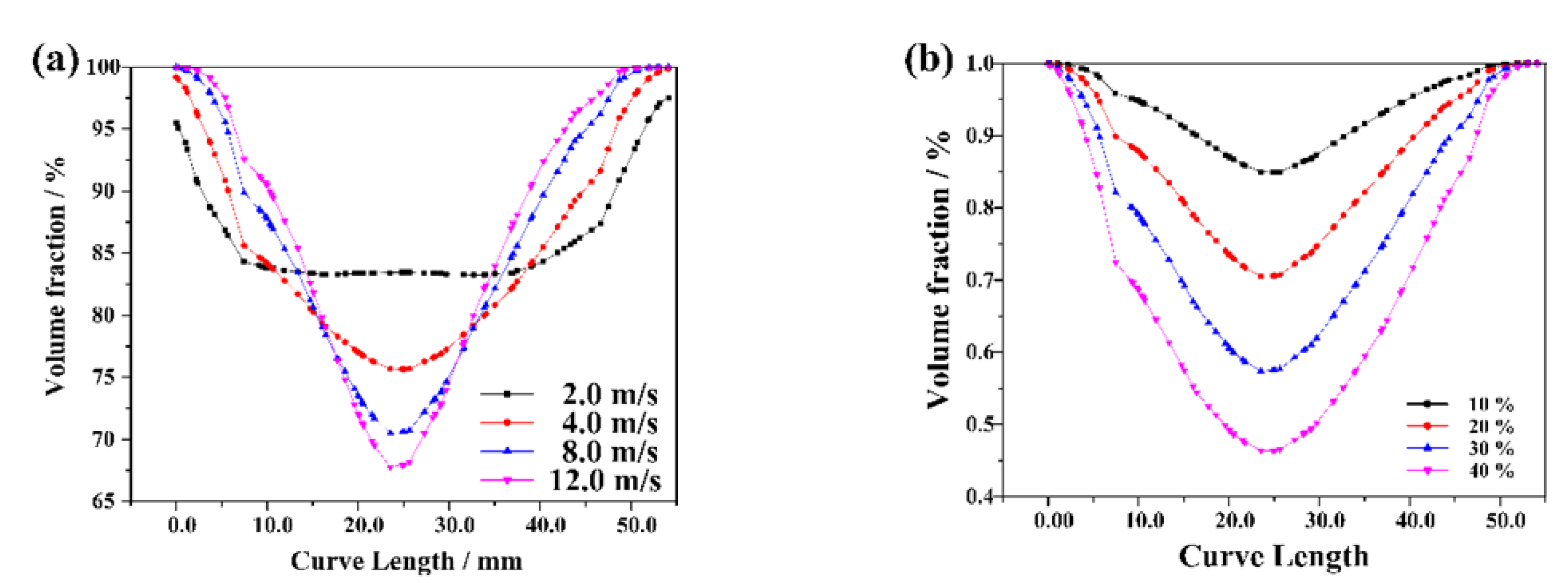
3.3. Volume Distribution Characteristics of Tar Vapor
4. Conclusions
Author Contributions
Funding
Acknowledgments
Conflicts of Interest
References
- Wu, Q.; Tu, K.; Zeng, Y.F.; Liu, S.Q. Discussion on the main problems and countermeasures for building an upgrade version of main energy (coal) industry in China. J. China Coal Soc. 2019, 44, 1625–1636. [Google Scholar]
- Zou, C.; Chen, Y.; Kong, L.; Sun, F.; Shanshan, C.; Zhen, D. Underground coal gasification and its strategic significance to the development of natural gas industry in China. Pet. Explor. Dev. 2019, 46, 195–204. [Google Scholar] [CrossRef]
- Yang, J.X.; Wei, W.J.; Qi, Y. Research progress on hyper-coal for efficient utilization. J. China Coal Soc. 2020, 9, 3301–3313. [Google Scholar]
- Li, J.; Mao, X.; Zhong, J.; Liu, M. Carbon Nanotubes Catalyst Modified via NiMoP and Its Performance in the Hydrogenation of Direct Coal Liquefaction Oil. Acta Pet. Sin. 2019, 35, 1167–1174. [Google Scholar]
- Liu, M.; Chen, G.F.; Wang, Y.G.; Zhao, P.; Qu, S.J. Conversion of sulphur and nitrogen compounds in hydrofining process of Baishihu coal liquefaction oil. J. Fuel Chem. Technol. 2019, 47, 870–875. [Google Scholar]
- Liu, L.; Zhao, L.; Sun, Y.; Gao, S.; Jiang, M.; Jiang, M.; Rosso, D. Separation performance of hydrocyclones with medium rearrangement internals. J. Environ. Chem. Eng. 2021, 9, 105642. [Google Scholar] [CrossRef]
- Shuai, Z.; Xiaoshu, L.; Qiang, L.; Youhong, S. Thermal-fluid coupling analysis of oil shale pyrolysis and displacement by heat-carrying supercritical carbon dioxide. Chem. Eng. J. 2020, 394, 125037. [Google Scholar] [CrossRef]
- Tong, D.; Zhang, Q.; Liu, F.; Geng, G.; Zheng, Y.; Xue, T.; Hong, C.; Wu, R.; Qin, Y.; He, K. Current Emissions and Future Mitigation Pathways of Coal-Fired Power Plants in China from 2010 to 2030. Environ. Sci. Technol. 2018, 52, 12905–12914. [Google Scholar] [CrossRef]
- Apicella, B.; Russo, C.; Cerciello, F.; Stanzione, F.; Ciajolo, A.; Scherer, V.; Senneca, O. Insights on the role of primary and secondary tar reactions in soot inception during fast pyrolysis of coal. Fuel 2020, 275, 11795. [Google Scholar] [CrossRef]
- Huang, X.; Cheng, D.G.; Chen, F.; Zhan, X. The decomposition of aromatic hydrocarbons during coal pyrolysis in hydrogen plasma: A density functional theory study. Int. J. Hydrog. Energy 2012, 37, 18040–18049. [Google Scholar] [CrossRef]
- Feng, J.; Xue, X.; Li, X.; Li, W.; Guo, X.; Liu, K. Products analysis of Shendong long-flame coal hydropyrolysis with iron-based catalysts. Fuel Process. Technol. 2015, 130, 96–100. [Google Scholar] [CrossRef]
- Tian, Y.; Feng, J.; Cai, Z.; Chao, J.; Zhang, D.; Cui, Y.; Chen, F. Dodecyl Mercaptan Functionalized Copper Mesh for Water Repellence and Oil-water Separation. J. Bionic Eng. 2021, 18, 887–899. [Google Scholar] [CrossRef]
- Zhang, X.; Liu, C.; Yang, J.; Huang, X.J.; Xu, Z.K. Wettability Switchable Membranes for Separating Both Oil-in-water and water-in-oil emulsions. J. Membr. Sci. 2021, 624, 118976. [Google Scholar] [CrossRef]
- Hafsi, Z.; Elaoud, S.; Mishra, M.; Wada, I. Numerical Study of Droplets Coalescence in an Oil-Water Separator. In Proceedings of the International Conference on Advances in Mechanical Engineering and Mechanics; Springer: Cham, Switzerland, 2021; pp. 449–454. [Google Scholar]
- Kovaleva, L.; Zinnatullin, R.; Musin, A.; Gabdrafikov, A.; Sultanguzhin, R.; Kireev, V. Influence of radio-frequency and microwave electromagnetic treatment on water-in-oil emulsion separation. Colloids Surf. A Physicochem. Eng. Asp. 2021, 614, 126081. [Google Scholar] [CrossRef]
- Peng, Y.; Yu, B.; Zhang, X.; Gong, H.; Liu, Y. Numerical simulation on the effect of combining centrifugation, electric field and temperature on two-phase separation. Chem. Eng. Process. 2020, 148, 107803. [Google Scholar] [CrossRef]
- Gai, H.; Zhang, X.; Chen, S.; Wang, C.; Xiao, M.; Huang, T.; Wang, J.; Song, H. An improved tar–water separation process of low–rank coal conversion wastewater for increasing the tar yield and reducing the oil content in wastewater. Chem. Eng. J. 2020, 383, 123229. [Google Scholar] [CrossRef]
- Li, H.; Li, D.; Yang, X.; Wang, J.; Li, B.; Li, W.; Zhao, L. Kinetics for dehydration of coal tar. Chem. Eng. J. 2011, 9, 57–60. [Google Scholar]
- Zelenskiy, V.V.; Fillipov, V.L.; Bannikov, L.P.; Karchakova, V.V. Intensifying the separation of water-tar emulsions. Coke Chem. 2014, 57, 163–166. [Google Scholar] [CrossRef]
- Wang, Y.; Zhao, L.; Wang, Y.; Baorui, X.; Minghu, J. Contrastive Analysis on Numerical Simulation of Oil-water Hydrocyclone with Various Inlet Forms. Fluid Mach. 2017, 45, 22–27. [Google Scholar]
- Sattar, M.A.; Garcia, M.M.; Portela, L.M.; Babout, L. A Fast Electrical Resistivity-Based Algorithm to Measure and Visualize Two-Phase Swirling Flows. Sensors 2022, 22, 1834. [Google Scholar] [CrossRef]
- Sattar, M.A.; Garcia, M.M.; Banasiak, R.; Portela, L.M.; Babout, L. Electrical Resistance Tomography for Control Applications: Quantitative Study of the Gas-Liquid Distribution inside A Cyclone. Sensors 2020, 20, 6069. [Google Scholar] [CrossRef] [PubMed]
- Atmani, H.; Zamansky, R.; Climent, E.; Legendre, D. Stochastic wall model for turbulent pipe flow using Immersed Boundary Method and Large Eddy Simulation. Comput. Fluids 2022, 239, 105419. [Google Scholar] [CrossRef]
- Liu, Y.; Ma, J.; He, Y.; Zhao, Y.; Sun, C.; Yin, P.; Zhang, S. Study on the Oil-Water Separation Performance of the Droplet Size Reconstruction Hydrocyclone. China Pet. Mach. 2020, 48, 90–97. [Google Scholar]
- Jia, P.; Chen, J.; Cai, X.; Kong, L.; Wang, C.; Shang, C.; Zhang, M.; Shi, Y. Study on Oil⁃Water Separation Characteristics of Hydrocyclone Based on CFD⁃PBM Numerical Simulation. J. Petrochem. Univ. 2021, 34, 58–65. [Google Scholar]
- Nunes, S.A.; Magalhães, H.L.; Gomez, R.S.; Vilela, A.F.; Figueiredo, M.J.; Santos, R.S.; Rolim, F.D.; Souza, R.A.A.; de Farias Neto, S.R.; Lima, A.; et al. Oily Water Separation Process Using Hydrocyclone of Porous Membrane Wall: A Numerical Investigation. Membranes 2021, 11, 79. [Google Scholar] [CrossRef]
- Li, S.; Li, R.; Nicolleau, F.C.; Wang, Z.; Yan, Y.; Xu, Y.; Chen, X. Study on oil–water two-phase flow characteristicsof the hydrocyclone under periodic excitation. Chem. Eng. Res. Des. 2020, 159, 215–224. [Google Scholar] [CrossRef]
- Li, F.; Liu, P.; Yang, X.; Zhang, Y.; Zhao, Y. Effects of inlet concentration on the hydrocyclone separation performance with different inlet velocity. Powder Technol. 2020, 375, 337–351. [Google Scholar] [CrossRef]
- Jing, J.; Zhang, S.; Qin, M.; Luo, J.; Shan, Y.; Cheng, Y.; Tan, J. Numerical simulation study of offshore heavy oil desanding by hydrocyclones. Sep. Purif. Technol. 2021, 258, 118051. [Google Scholar] [CrossRef]
- Lv, W.J.; Dang, Z.H.; He, Y.; Chang, Y.L.; Ma, S.H.; Liu, B.; Gao, L.; Ma, L. UU-type parallel mini-hydrocyclone group for oil-water separation in methanol-to-olefin industrial wastewater. Chem. Eng. Process. Process Intensif. 2020, 149, 107846. [Google Scholar] [CrossRef]
- Liu, L.; Zhao, L.; Yang, X.; Wang, Y.; Xu, B.; Liang, B. Innovative design and study of an oil-water coupling separation magnetic hydrocyclone. Sep. Purif. Technol. 2019, 213, 389–400. [Google Scholar] [CrossRef]
- Yang, M.; Jiang, R.; Wu, X.; Hu, Z.; Yue, Y.; Chen, Y. Numerical analysis of flow field and separation characteristics in an oilfield sewage separation device. Adv. Powder Technol. 2021, 32, 771–778. [Google Scholar] [CrossRef]
- Zeng, X.; Zhao, L.; Zhao, W.; Hou, M.; Zhu, F.; Fan, G.; Yan, C. Experimental Study on a Novel Axial Separator for Oil–Water Separation. Ind. Eng. Chem. Res. 2020, 59, 21177–21186. [Google Scholar] [CrossRef]










| Attribute | Symbol | Value | Unit |
|---|---|---|---|
| Inlet cross-sectional area | A1 | 453.00 | mm2 |
| Overflow pipe diameter | D1 | 10.70 | mm |
| Length of overflow pipe | L1 | 25.00 | mm |
| Depth of overflow pipe | H1 | 12.50 | mm |
| Spacing between overflow pipe and swirl chamber | L2 | 6.25 | mm |
| Swirl chamber diameter | D2 | 60.00 | mm |
| Swirl chamber height | H2 | 75.00 | mm |
| Cone length | L3 | 276 | mm |
| Cone angle | α | 11.75 | ° |
| Underflow outlet diameter | D3 | 12.5 | mm |
| Attribute | Symbol | Value | Unit |
|---|---|---|---|
| Tar vapor density | ρ1 | 4.84 | kg/m3 |
| Tar vapor heat transfer coefficient | k1 | 0.0178 | W/m2·K |
| Tar vapor viscosity | μ1 | 6.75 × 10−6 | N·s/m2 |
| Water vapor density | ρ2 | 0.5542 | kg/m3 |
| Water vapor heat transfer coefficient | k2 | 0.0261 | W/m2·K |
| Water vapor viscosity | μ2 | 1.34 × 10−5 | N·s/m2 |
| Convection term C1 | C1 | 1.44 | - |
| Convection term C2 | C2 | 1.92 | - |
| Tar vapor particle size | d | 0.0004 | m |
| Moisture content | 10%; 20%; 30%; 40% | - | |
| Inlet velocity | u | 2; 4; 8; 12 | m/s |
Publisher’s Note: MDPI stays neutral with regard to jurisdictional claims in published maps and institutional affiliations. |
© 2022 by the authors. Licensee MDPI, Basel, Switzerland. This article is an open access article distributed under the terms and conditions of the Creative Commons Attribution (CC BY) license (https://creativecommons.org/licenses/by/4.0/).
Share and Cite
Zhao, S.; Sun, J.; Wang, S.; Sun, Z. Modeling and Numerical Simulation of the Inlet Velocity on Oil–Water Two-Phase Vapor Separation Efficiency by the Hydrocyclone. Energies 2022, 15, 4900. https://doi.org/10.3390/en15134900
Zhao S, Sun J, Wang S, Sun Z. Modeling and Numerical Simulation of the Inlet Velocity on Oil–Water Two-Phase Vapor Separation Efficiency by the Hydrocyclone. Energies. 2022; 15(13):4900. https://doi.org/10.3390/en15134900
Chicago/Turabian StyleZhao, Shuai, Jipeng Sun, Shuli Wang, and Zhihui Sun. 2022. "Modeling and Numerical Simulation of the Inlet Velocity on Oil–Water Two-Phase Vapor Separation Efficiency by the Hydrocyclone" Energies 15, no. 13: 4900. https://doi.org/10.3390/en15134900
APA StyleZhao, S., Sun, J., Wang, S., & Sun, Z. (2022). Modeling and Numerical Simulation of the Inlet Velocity on Oil–Water Two-Phase Vapor Separation Efficiency by the Hydrocyclone. Energies, 15(13), 4900. https://doi.org/10.3390/en15134900
