Design of a Deflection Switched Reluctance Motor Control System Based on a Flexible Neural Network
Abstract
:1. Introduction
2. The Working Principles of the Deflection Switched Reluctance Motor
2.1. Basic Structure of the Deflection Switched Reluctance Motor
2.2. Mathematical Model of the Deflection Switched Reluctance Motor
3. Design of the Flexible Neural Network Torque Controller
3.1. Design of the Fuzzy PID Speed Regulator
3.2. Flexible Neural Network Control
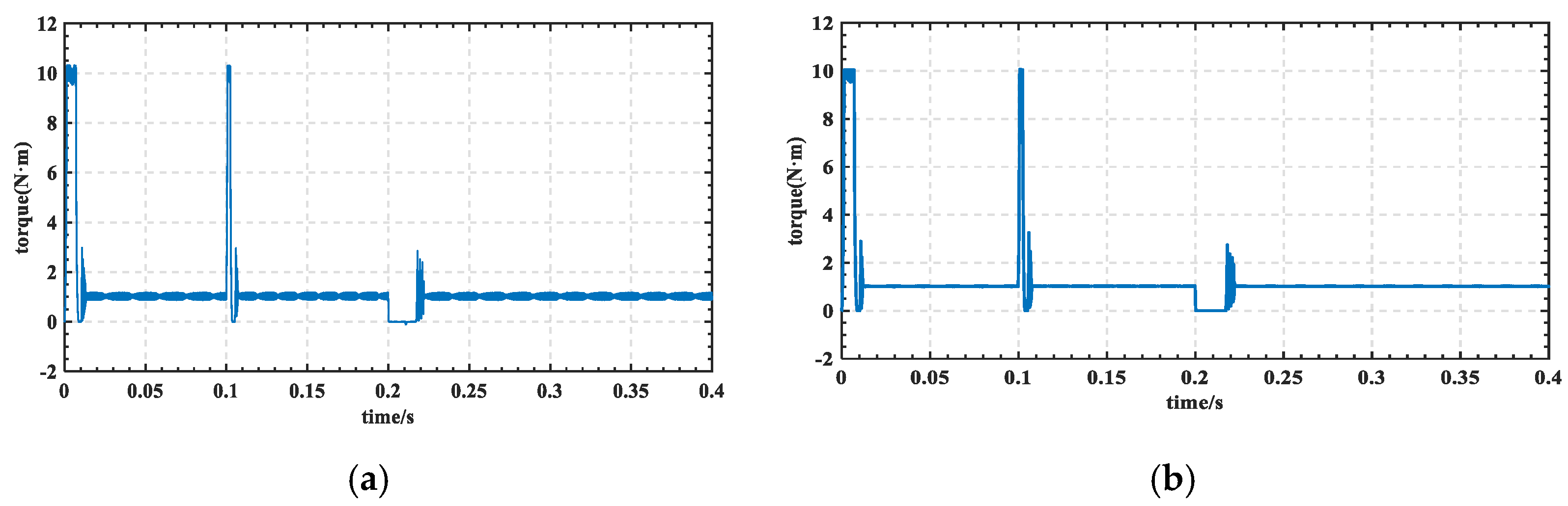
4. Simulation Analysis and Experimental Verification
4.1. Simulation Analysis
4.2. Experimental Verification
5. Conclusions and Prospects
Author Contributions
Funding
Institutional Review Board Statement
Informed Consent Statement
Data Availability Statement
Conflicts of Interest
References
- Ye, J.; Bilgin, B.; Emadi, A. Elimination of mutual flux effect on rotor position estimation of switched reluctance motor drives considering magnetic saturation. IEEE Trans. Power Electron. 2015, 2, 532–536. [Google Scholar] [CrossRef]
- Sheth, N.K.; Rajagopal, K.R. Variations in overall developed torque of a switched reluctance motor with airgap nonuniformity. IEEE Trans. Magn. 2005, 41, 3973–3975. [Google Scholar] [CrossRef]
- Chen, Q.; Xu, D.; Xu, L.; Wang, J.; Lin, Z.; Zhu, X. Fault-tolerant operation of a novel dual-channel switched reluctance motor using two 3-phase standard inverters. IEEE Trans. Appl. Supercond. 2018, 28, 1–5. [Google Scholar] [CrossRef]
- Li, S.; Zhang, S.; Habetler, T.G.; Harley, R.G. Modeling design optimization and applications of switched reluctance machines—A review. IEEE Trans. Ind. Appl. 2019, 55, 2660–2681. [Google Scholar] [CrossRef]
- Ding, W.; Liang, D. A fast analytical model for an integrated switched reluctance starter/generator. IEEE Trans. Energy Convers. 2010, 25, 948–956. [Google Scholar] [CrossRef]
- Gerada, D.; Huang, X.; Zhang, C.; Zhang, H.; Zhang, X.; Gerada, C. Electrical machines for automotive electrically assisted turbocharging. IEEE ASME Trans. Mechatron. 2018, 23, 2054–2065. [Google Scholar] [CrossRef]
- Omekanda, A.M. Robust torque and torque-per-inertia optimization of a switched reluctance motor using the Taguchi methods. IEEE Trans. Ind. Appl. 2006, 42, 473–478. [Google Scholar] [CrossRef]
- Guo, Y.; Si, J.; Gao, C.; Feng, H.; Gan, C. Improved Fuzzy-Based Taguchi Method for Multi-Objective Optimization of Direct-Drive Permanent Magnet Synchronous Motors. IEEE Trans. Magn. 2019, 55, 1–4. [Google Scholar] [CrossRef]
- Diao, K.; Sun, X.; Lei, G.; Bramerdorfer, G.; Guo, Y.; Zhu, J. Robust Design Optimization of Switched Reluctance Motor Drive Systems Based on System-Level Sequential Taguchi Method. IEEE Trans. Energy Convers. 2021, 36, 3199–3207. [Google Scholar] [CrossRef]
- Sun, X.; Shi, Z.; Zhu, J. Multi-objective Design Optimization of an IPMSM for EVs Based on Fuzzy Method and Sequential Taguchi Method. IEEE Trans. Ind. Electron. 2021, 68, 10592–10600. [Google Scholar] [CrossRef]
- Jia, X.; Lu, G. An Improved Random Taguchi’s Method Based on Swarm Intelligence and Dynamic Reduced Rate for Electromagnetic Optimization. IEEE Antennas Wirel. Propag. Lett. 2019, 18, 1878–1881. [Google Scholar] [CrossRef]
- Widmer, J.D.; Martin, R.; Mecrow, B.C. Optimization of an 80-kW Segmental Rotor Switched Reluctance Machine for Automotive Traction. IEEE Trans. Ind. Appl. 2015, 51, 2990–2999. [Google Scholar] [CrossRef]
- Zhang, H.; Xu, W.; Wang, S.; Huangfu, Y.; Wang, G.; Zhu, J. Optimum Design of Rotor for High-Speed Switched Reluctance Motor Using Level Set Method. IEEE Trans. Magn. 2014, 50, 765–768. [Google Scholar] [CrossRef]
- Choi, Y.K.; Yoon, H.S.; Koh, C.S. Pole-Shape Optimization of a Switched-Reluctance Motor for Torque Ripple Reduction. IEEE Trans. Magn. 2007, 43, 1797–1800. [Google Scholar] [CrossRef]
- Ma, C.; Qu, L. Multiobjective Optimization of Switched Reluctance Motors Based on Design of Experiments and Particle Swarm Optimization. IEEE Trans. Energy Convers. 2015, 30, 1144–1153. [Google Scholar] [CrossRef] [Green Version]
- Bogusz, P.; Korkosz, M.; Prokop, J.; Daraż, M. Analysis Performance of SRM Based on the Novel Dependent Torque Control Method. Energies 2021, 14, 8203. [Google Scholar] [CrossRef]
- Li, X.; Shamsi, P. Inductance surface learning for model predictive current control of switched reluctance motors. IEEE Trans. Transp. Electrif. 2015, 1, 287–290. [Google Scholar] [CrossRef]
- Rahman, M.S.; Lukman, G.F.; Hieu, P.T.; Jeong, K.-I.; Ahn, J.-W. Optimization and Characteristics Analysis of High Torque Density 12/8 Switched Reluctance Motor Using Metaheuristic Gray Wolf Optimization Algorithm. Energies 2021, 14, 2013. [Google Scholar] [CrossRef]
- Gaafar, M.A.; Abdelmaksoud, A.; Orabi, M.; Chen, H.; Dardeer, M. Performance Investigation of Switched Reluctance Motor Driven by Quasi-Z-Source Integrated Multiport Converter with Different Switching Algorithms. Sustainability 2021, 13, 9517. [Google Scholar] [CrossRef]
- Tomczewski, K.; Wrobel, K.; Rataj, D.; Trzmiel, G. A Switched Reluctance Motor Drive Controller Based on an FPGA Device with a Complex PID Regulator. Energies 2021, 14, 1423. [Google Scholar] [CrossRef]
- Su, Z.; Zhang, C.; Wang, M.; Dai, Z. Research on switched reluctance motor speed control system based on robust control. In Proceedings of the IECON 2017—43rd Annual Conference of the IEEE Industrial Electronics Society, Beijing, China, 29 October–1 November 2017; pp. 6229–6232. [Google Scholar]
- Dursun, M.; Ozden, S. GA based adaptive velocity control of linear switched reluctance motor under different load and velocity profiles for industrial application. In Proceedings of the 2016 2nd International Conference on Control, Automation and Robotics (ICCAR), Hong Kong, China, 28–30 April 2016; pp. 124–127. [Google Scholar]
- Shang, Y. Scaled consensus of switched multi-agent systems. IMA J. Math. Control. Inf. 2019, 36, 639–657. [Google Scholar] [CrossRef]
















| Parameter | Value |
|---|---|
| Outer stator radius Ds1/mm | 300 |
| Inner stator radius Ds2/mm | 13.5 |
| Outer radius of rotor Dr1/mm | 108 |
| Inner radius of rotor Dr2/mm | 43.3 |
| Length of core la/mm | 90 |
| Rated current density Acd/(A/mm2) | 6 |
| Rated rotating torque n/(r/min) | 200 |
| Rated power PN/kw | 2.5 |
| Rated voltage UN/V | 380 |
Publisher’s Note: MDPI stays neutral with regard to jurisdictional claims in published maps and institutional affiliations. |
© 2022 by the authors. Licensee MDPI, Basel, Switzerland. This article is an open access article distributed under the terms and conditions of the Creative Commons Attribution (CC BY) license (https://creativecommons.org/licenses/by/4.0/).
Share and Cite
Li, Z.; Wei, X.; Wang, J.; Liu, L.; Du, S.; Guo, X.; Sun, H. Design of a Deflection Switched Reluctance Motor Control System Based on a Flexible Neural Network. Energies 2022, 15, 4172. https://doi.org/10.3390/en15114172
Li Z, Wei X, Wang J, Liu L, Du S, Guo X, Sun H. Design of a Deflection Switched Reluctance Motor Control System Based on a Flexible Neural Network. Energies. 2022; 15(11):4172. https://doi.org/10.3390/en15114172
Chicago/Turabian StyleLi, Zheng, Xiaopeng Wei, Jinsong Wang, Libo Liu, Shenhui Du, Xiaoqiang Guo, and Hexu Sun. 2022. "Design of a Deflection Switched Reluctance Motor Control System Based on a Flexible Neural Network" Energies 15, no. 11: 4172. https://doi.org/10.3390/en15114172
APA StyleLi, Z., Wei, X., Wang, J., Liu, L., Du, S., Guo, X., & Sun, H. (2022). Design of a Deflection Switched Reluctance Motor Control System Based on a Flexible Neural Network. Energies, 15(11), 4172. https://doi.org/10.3390/en15114172

