Modeling and Analysis of the Flow Characteristics of Liquid Hydrogen in a Pipe Suffering from External Transient Impact
Abstract
:1. Introduction
2. CFD Model Predicting the Flow of Liquid Hydrogen in a Pipe
2.1. Mathematical Model
2.2. Model Validation
3. Calculation Strategy for the Fluid–Structure Coupling of the Pipe under External Transient Impact
3.1. Physical Model
3.2. Calculation Method
3.3. Computational Mesh and Mesh Independency Test
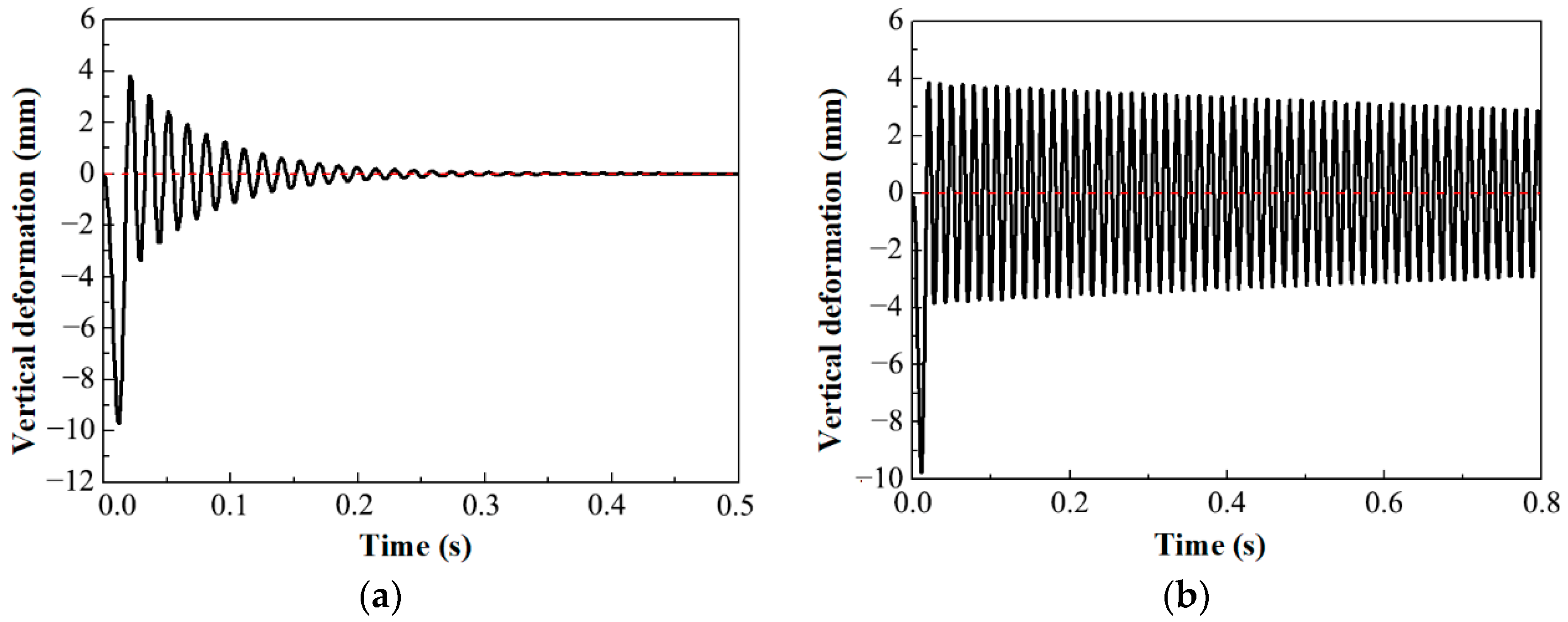
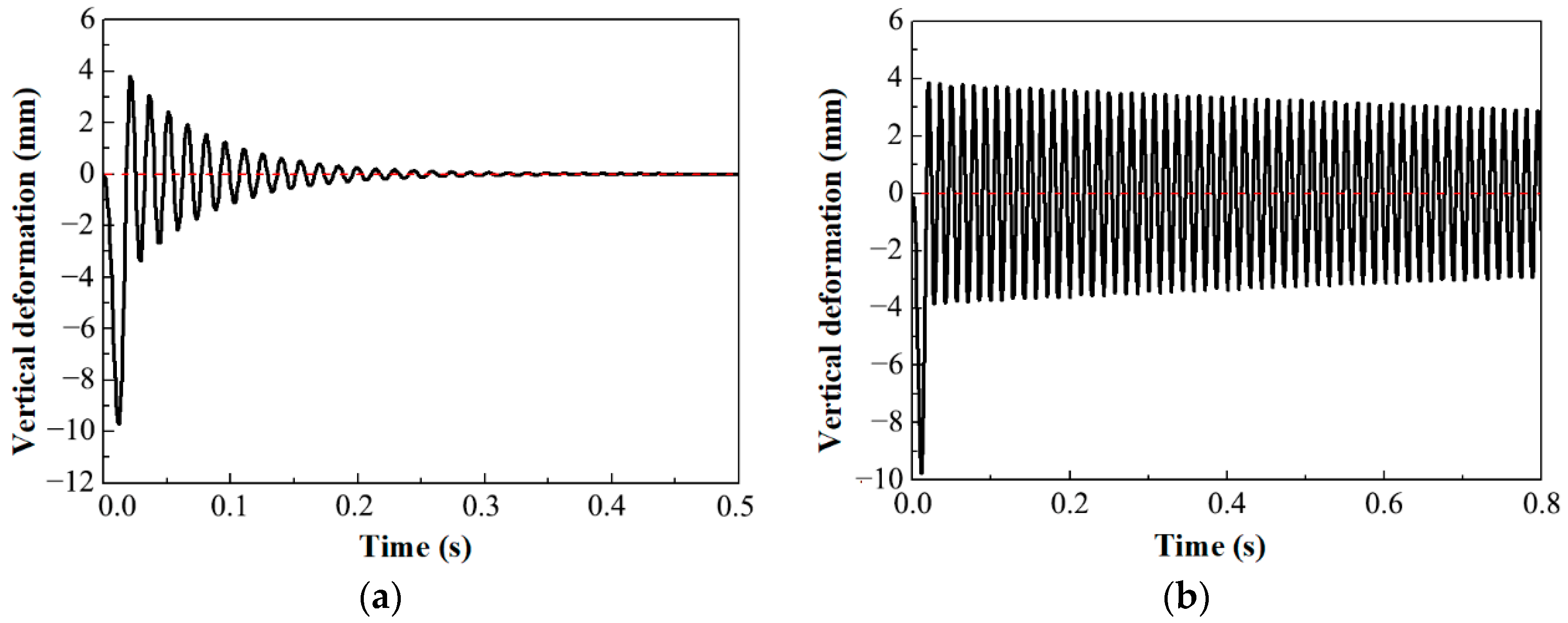
4. Flow Characteristics of Liquid Hydrogen in the Pipe under External Transient Impact
5. Conclusions
Author Contributions
Funding
Institutional Review Board Statement
Informed Consent Statement
Data Availability Statement
Conflicts of Interest
References
- Christopher, W.; Thomas, K.; Boris, B.; Krewer, U.; Rauschenbach, R. Modelling and designing cryogenic hydrogen tanks for future aircraft applications. Energies 2018, 11, 105. [Google Scholar]
- Aziz, M. Liquid Hydrogen: A review on liquefaction, storage, transportation, and safety. Energies 2021, 14, 5917. [Google Scholar] [CrossRef]
- Chen, J.; Gao, X.; Shao, S.; Hu, H.; Xie, J.; Li, N.; Gao, N. Numerical investigation of the vortex tube performance in novel precooling methods in the hydrogen fueling station. Int. J. Hydrogen Energy 2021, 46, 5548–5555. [Google Scholar] [CrossRef]
- Bethoux, O. Hydrogen fuel cell road vehicles and their infrastructure: An option towards an environmentally friendly energy transition. Energies 2020, 13, 6132. [Google Scholar] [CrossRef]
- Sakamoto, J.; Sato, R.; Nakayama, J.; Kasai, N.; Shibutani, T.; Miyake, A. Leakage-type-based analysis of accidents involving hydrogen fueling stations in Japan and USA. Int. J. Hydrogen Energy 2016, 41, 21564–21570. [Google Scholar] [CrossRef] [Green Version]
- Witcofski, R.D.; Chirivella, J.E. Experimental and analytical analyses of the mechanisms governing the dispersion of flammable clouds formed by liquid hydrogen spills. Int. J. Hydrogen Energy 1984, 9, 425–435. [Google Scholar] [CrossRef]
- Marinescu-Pasoi, L.; Sturm, B. Messung der Ausbreitung einer Wasserstoff- und Propangaswolke in Bebauten Gelande und Gasspezifische Ausbreitungversuche; Reports R-68.202 and R-68.264; Battelle Ingenieurtechnik GmbH: Eschborn, Germany, 1994. [Google Scholar]
- Hooker, P.; Willoughby, D.B.; Royle, M. Experimental releases of liquid hydrogen. In Proceedings of the 4th International Conference on Hydrogen Safety, San Francisco, CA, USA, 12–14 September 2011. [Google Scholar]
- Verfondern, K.; Dienhart, B. Experimental and theoretical investigation of liquid hydrogen pool spreading and vaporization. Int. J. Hydrogen Energy 1997, 22, 649–660. [Google Scholar] [CrossRef]
- Verfondern, K.; Dienhart, B. Pool spreading and vaporization of liquid hydrogen. Int. J. Hydrogen Energy 2007, 32, 2106–2117. [Google Scholar] [CrossRef]
- Sklavounos, S.; Rigas, F. Fuel gas dispersion under cryogenic release conditions. Energy Fuels 2005, 19, 2535–2544. [Google Scholar] [CrossRef]
- Hansen, O.R. Liquid hydrogen releases show dense gas behavior. Int. J. Hydrogen Energy 2020, 45, 1343–1358. [Google Scholar] [CrossRef]
- Ichard, M.; Hansen, O.R.; Middha, P.; Willoughby, D. CFD computations of liquid hydrogen releases. Int. J. Hydrogen Energy 2012, 37, 17380–17389. [Google Scholar] [CrossRef]
- Venetsanos, A.G.; Bartzis, J.G. CFD modeling of large-scale LH2 spills in open environment. Int. J. Hydrogen Energy 2007, 1, 2171–2177. [Google Scholar] [CrossRef]
- Pu, L.; Shao, X.; Zhang, S.; Lei, G.; Li, Y. Plume dispersion behaviour and hazard identification for large quantities of liquid hydrogen leakage. Asia-Pac. J. Chem. Eng. 2019, 14, e2299. [Google Scholar] [CrossRef]
- Shao, X.; Pu, L.; Tang, X.; Yang, S.; Lei, G.; Li, Y. Parametric influence study of cryogenic hydrogen dispersion on theoretical aspect. Int. J. Hydrogen Energy 2020, 45, 20153–20162. [Google Scholar] [CrossRef]
- Liu, Y.; Wei, J.; Lei, G.; Chen, H.; Lan, Y.; Gao, X.; Wang, T.; Jin, T. Spread of hydrogen vapor cloud during continuous liquid hydrogen spills. Cryogenics 2019, 103, 102975. [Google Scholar] [CrossRef]
- Jin, T.; Liu, Y.; Wei, J.; Zhang, D.; Wang, X.; Lei, G.; Wang, T.; Lan, Y.; Chen, H. Numerical investigation on the dispersion of hydrogen vapor cloud with atmospheric inversion layer. Int. J. Hydrogen Energy 2019, 44, 23513–23521. [Google Scholar] [CrossRef]
- Liu, Y.; Liu, Z.; Wei, J.; Lan, Y.; Yang, S.; Jin, T. Evaluation and prediction of the safe distance in liquid hydrogen spill accident. Process Saf. Environ. Prot. 2021, 146, 1–8. [Google Scholar] [CrossRef]
- Giannissi, S.G.; Venetsanos, A.G.; Markatos, N.; Bartzis, J.G. CFD modeling of hydrogen dispersion under cryogenic release conditions. Int. J. Hydrogen Energy 2014, 39, 15851–15863. [Google Scholar] [CrossRef]
- Giannissi, S.G.; Venetsanos, A.G. Study of key parameters in modeling liquid hydrogen release and dispersion in open environment. Int. J. Hydrogen Energy 2018, 43, 455–467. [Google Scholar] [CrossRef]
- Liu, W.; Yang, Z.; Zhang, B.; Lv, P. Experimental study on the effects of mechanical vibration on the heat transfer characteristics of tubular laminar flow. Int. J. Heat Mass Transf. 2017, 115, 169–179. [Google Scholar] [CrossRef]
- Tian, S.; Barigou, M. An improved vibration technique for enhancing temperature uniformity and heat transfer in viscous fluid flow. Chem. Eng. Sci. 2015, 123, 609–619. [Google Scholar] [CrossRef] [Green Version]
- Zheng, Y.; Chen, J.; Shang, Y.; Chang, H.; Chen, H.; Shu, S. Numerical analysis of the influence of wall vibration on heat transfer with liquid hydrogen boiling flow in a horizontal tube. Int. J. Hydrogen Energy 2017, 42, 30804–30812. [Google Scholar] [CrossRef]
- Chen, H.; Zheng, Y.; Chang, H.; Chen, J.; Shang, Y.; Shu, S. Numerical simulation of liquid hydrogen two-phase flow in horizontal vibrating tube. Cryog. Supercond. 2018, 46, 8–12. (In Chinese) [Google Scholar]
- Lemmon, E.W.; Huber, M.L.; Mclinden, M.O. NIST Standard Reference Database 23: Reference Fluid Thermodynamic and Transport Properties-REFPROP, Version 9.1; National Institute of Standards and Technology, Standard Reference Data Program: Gaithersburg, MD, USA, 2013. [Google Scholar]
- Mikko, M.; Veikko, T.; Sirpa, K. On the Mixture Model for Multiphase Flow; Technical Research Center of Finland, VTT Publications: Espoo, Finland, 1996. [Google Scholar]
- Lee, W.H. A Pressure Iteration Scheme for Two-Phase Flow Modeling; Los Alamos National Laboratory: Los Alamos, NM, USA, 1979; LA-UR-79-975. [Google Scholar]
- Shih, T.H.; Liou, W.W.; Shabir, A.; Zhu, J. A new eddy viscosity model for high Reynolds number turbulent flows: Model development and validation. Comput. Fluids 1995, 24, 227–238. [Google Scholar] [CrossRef]
- Tatsumoto, H.; Shirai, Y.; Shiotsu, M.; Hata, K.; Naruo, Y.; Kobayashi, H.; Inatani, Y.; Kinoshita, K. Forced convection heat transfer of subcooled liquid hydrogen in horizontal tubes. AIP Conf. Proc. 2012, 1434, 747–754. [Google Scholar]
- Wu, W.B.; Wang, Y.L.; Shao, T.H.; Fu, Z.C. Cryogenic Material, 1st ed.; China Machine Press: Beijing, China, 1988; p. 143. [Google Scholar]
- ANSYS. ANSYS 14.5 Help; ANSYS, Inc.: Canonsburg, PA, USA, 2011. [Google Scholar]
- Lalanne, C. Shock analysis. In Mechanical Vibration and Shock Analysis—Volume 2: Mechanical Shock, 2nd ed.; ISTE Ltd.: London, UK, 2009. [Google Scholar]
- Ye, S.Q.; Chen, H.K.; Tang, H.M. The calculation method for the impact force of the rockfall. China Railw. Sci. 2010, 31, 56–62. (In Chinese) [Google Scholar]
- Deng, B.C.; Yang, S.Q.; Xie, X.J.; Wang, Y.L.; Pan, W.; Li, Q.; Gong, L.H. Thermal performance assessment of cryogenic transfer line with support and multilayer insulation for cryogenic fluid. Appl. Energy 2019, 250, 895–903. [Google Scholar] [CrossRef]
- Mao, H.; Li, Y.; Huang, X.; Xia, S.; Sundén, B. Investigation on the elimination of geyser in a cryogenic pipe by a recirculation method. Appl. Therm. Eng. 2021, 197, 117428. [Google Scholar] [CrossRef]














| Publisher’s Note: MDPI stays neutral with regard to jurisdictional claims in published maps and institutional affiliations. | 
© 2022 by the authors. Licensee MDPI, Basel, Switzerland. This article is an open access article distributed under the terms and conditions of the Creative Commons Attribution (CC BY) license (https://creativecommons.org/licenses/by/4.0/).
Share and Cite
Liu, Y.; Qiu, Y.; Liu, Z.; Lei, G. Modeling and Analysis of the Flow Characteristics of Liquid Hydrogen in a Pipe Suffering from External Transient Impact. Energies 2022, 15, 4154. https://doi.org/10.3390/en15114154
Liu Y, Qiu Y, Liu Z, Lei G. Modeling and Analysis of the Flow Characteristics of Liquid Hydrogen in a Pipe Suffering from External Transient Impact. Energies. 2022; 15(11):4154. https://doi.org/10.3390/en15114154
Chicago/Turabian StyleLiu, Yuanliang, Yinan Qiu, Zhan Liu, and Gang Lei. 2022. "Modeling and Analysis of the Flow Characteristics of Liquid Hydrogen in a Pipe Suffering from External Transient Impact" Energies 15, no. 11: 4154. https://doi.org/10.3390/en15114154
APA StyleLiu, Y., Qiu, Y., Liu, Z., & Lei, G. (2022). Modeling and Analysis of the Flow Characteristics of Liquid Hydrogen in a Pipe Suffering from External Transient Impact. Energies, 15(11), 4154. https://doi.org/10.3390/en15114154
 
         
                                                

