Production Simulation of Oil Reservoirs with Complex Fracture Network Using Numerical Simulation
Abstract
:1. Introduction
2. Model Construction
2.1. The Description of Network Fracture
2.2. Establishment of Mathematical Model
3. Numerical Solution of Mathematical Model
3.1. Selection of Grid System
3.2. The Difference Equations of Mathematical Model
- Local grid refinement
- Handling of coarse and fine grid contact surfaces
- Numeral order
3.3. Treatment of Boundary Conditions
3.4. Treatment of Fracture System
3.5. Treatment of Transmission Coefficient
3.6. Calculation Steps and Procedures
4. Field Case and Sensitivity Analyses
4.1. Field Application
4.2. Comparison with Existing Method
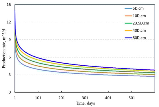
4.3. Sensitivity Analyses
- Fracture system conductivity
- 2.
- Reservoir permeability
4.4. Results and Discussion
5. Conclusions
- (1)
- According to the simulation results of the UFM, the fractures are introduced into the coordinate system through the position, angle, and length of the fractures in the fracture system.
- (2)
- Using unstable seepage model, the reservoir with complex network fracture is treated as heterogeneous reservoir, and then the mathematical model of production rate prediction is established. In the coordinate system, the permeability at the location of fractures is determined by the fracture conductivity.
- (3)
- According to the characteristics of reservoir and fracture system, local grid refinement method is introduced to describe the network fractures. Based on the mathematical model, the differential equations are first established according to the conventional grid, and then the grid refinement is performed.
- (4)
- At present, volume fracturing is a popular reservoir stimulation technique, which generates complex fracture systems. The new model can describe complex fracture systems for productivity analysis. According to the fractures shape of UFM, we compared the results between the new model and the field case. The results show acceptable and reasonable matches for typical well. Meanwhile, the presented new model is compared with multi-linear flow model. Finally, the sensitivity of the two properties is discussed. Fracture conductivity and reservoir permeability has a great impact on production rate.
- (5)
- The presented new model simplifies the analysis of pressure transient and rate transient of reservoir with complex fracture network, and it is more efficient than the conventional numerical method. Compared with the analytical methods, the new model describes the fractures system in more detail. The new model is suitable for production rate modeling of UFM. However, the new model treats fractures as reservoirs with higher permeability in the central difference method, which is simpler and rougher than traditional numerical methods.
Author Contributions
Funding
Informed Consent Statement
Conflicts of Interest
Nomenclature
| Lx | Length of reservoir in x-direction: m |
| Ly | Length of reservoir in y-direction, m |
| Density of fluid, kg/m3 | |
| Fluid viscosity, Pa·s | |
| p | Reservoir pressure, Pa |
| Permeability in x-direction at point (x,y), m2 | |
| Permeability in y-direction at point (x, y), m2 | |
| q | Flow injected or produced in rock per unit volume, m3/s |
| Reservoir porosity | |
| B | Volume coefficient |
| Flow injected or produced in rock per unit volume under the standard conditions, m3/s | |
| C | Compression coefficient |
| Initial reservoir pressure, Pa | |
| Qv | Volume flow of the well injected or produced under the standard condition, m3/s. |
| PI | Production index |
| pwf | Bottom hole pressure, Pa. |
| Source-sink of the unit volume of the grid (i, j) | |
| h | Reservoir thickness, m. |
| Width of the current mesh in the y direction, m | |
| Width of the current mesh in the x direction, m | |
| Permeability of the grid in the x direction, m2 | |
| Permeability of the grid in the y direction, m2 | |
| , | Coefficient used for history match |
References
- Zhou, W.; Banerjee, R.; Poe, B.D.; Spath, J.; Thambynayagam, M. Semianalytical production simulation of complex hydraulic-fracture networks. SPE J. 2013, 19, 6–18. [Google Scholar] [CrossRef]
- Ozkan, E.; Brown, M.L.; Raghavan, R.S.; Kazemi, H. Comparison of fractured horizontal-well performance in conventional and unconventional reservoirs. In Proceedings of the SPE Western Regional Meeting, San Jose, CA, USA, 23–26 April 2019. [Google Scholar]
- Tian, L.; Xiao, C.; Liu, M.; Gu, D.; Song, G.; Cao, H.; Li, X. Well testing model for multi-fractured horizontal well for shale gas reservoirs with consideration of dual diffusion in matrix. J. Nat. Gas Sci. Eng. 2014, 21, 283–295. [Google Scholar] [CrossRef]
- Stalgorova, E.; Mattar, L. Practical analytical model to simulate production of horizontal wells with branch fractures. In Proceedings of the SPE Canadian Unconventional Resources Conference, Calgary, AB, Canada, 30 October–1 November 2012. [Google Scholar]
- Al-Rbeawi, S. Analysis of pressure behaviors and flow regimes of naturally and hydraulically fractured unconventional gas reservoirs using multi-linear flow regimes approach. J. Nat. Gas Sci. Eng. 2017, 45, 637–658. [Google Scholar] [CrossRef]
- Ke, X.; Guo, D.; Zhao, Y.; Zeng, X.; Xue, L. Analytical model to simulate production of tight reservoirs with discrete fracture network using multi-linear flow. J. Pet. Sci. Eng. 2017, 151, 348–361. [Google Scholar] [CrossRef]
- Zhao, Y.L.; Zhang, L.H.; Luo, J.X.; Zhang, B.N. Performance of fractured horizontal well with stimulated reservoir volume in unconventional gas reservoir. J. Hydrol. 2014, 512, 447–456. [Google Scholar] [CrossRef]
- Guo, J.; Wang, H.; Zhang, L. Transient pressure and production dynamics of multi-stage fractured horizontal wells in shale gas reservoirs with stimulated reservoir volume. J. Nat. Gas Sci. Eng. 2016, 35, 425–443. [Google Scholar] [CrossRef]
- Xu, J.; Guo, C.; Teng, W.; Wei, M.; Jiang, R. Production performance analysis of tight oil/gas reservoirs considering stimulated reservoir volume using elliptical flow. J. Nat. Gas Sci. Eng. 2015, 26, 827–839. [Google Scholar] [CrossRef]
- Zhang, Q.; Su, Y.; Wang, W.; Lu, M.; Ren, L. Performance analysis of fractured wells with elliptical SRV in shale reservoirs. J. Nat. Gas Sci. Eng. 2017, 45, 380–390. [Google Scholar] [CrossRef]
- Dongyan, F.; Jun, Y.; Hai, S.; Hui, Z.; Wei, W. A composite model of hydraulic fractured horizontal well with stimulated reservoir volume in tight oil & gas reservoir. J. Nat. Gas Sci. Eng. 2015, 24, 115–123. [Google Scholar]
- Ketineni, S.P.; Ertekin, T. Analysis of production decline characteristics of a multistage hydraulically fractured horizontal well in a naturally fractured reservoir. In Proceedings of the SPE Eastern Regional Meeting, Lexington, KY, USA, 3–5 October 2012. [Google Scholar]
- Li, Z.; Wu, X.; Han, G.; Zhang, L.; Zhao, R.; Shi, S. A semi-analytical pressure model of horizontal well with complex networks in heterogeneous reservoirs. J. Pet. Sci. Eng. 2021, 202, 108511. [Google Scholar] [CrossRef]
- Papi, A.; Mohebbi, A.; Eshraghi, S.E. Numerical Simulation of the Impact of Natural Fracture on Fluid Composition Variation Through a Porous Medium. J. Energy Resour. Technol. 2019, 141, 042901. [Google Scholar] [CrossRef]
- Mayerhofer, M.J.; Lolon, E.P.; Youngblood, J.E.; Heinze, J.R. Integration of microseismic-fracture-mapping results with numerical fracture network production modeling in the Barnett Shale. In Proceedings of the SPE Annual Technical Conference and Exhibition, San Antonio, TX, USA, 24–27 September 2006. [Google Scholar]
- Cipolla, C.L.; Lolon, E.P.; Erdle, J.C.; Rubin, B. Reservoir modeling in shale-gas reservoirs. SPE Reserv. Eval. Eng. 2010, 13, 638–653. [Google Scholar] [CrossRef]
- Jia, X.; Filippov, A.; Khoriakov, V.; McNealy, T. An Effective Numerical Model for Fracture-Stimulated Condensate Reservoir Production History Matching, Surveillance, and Prediction. In Proceedings of the Unconventional Resources Technology Conference (URTEC), San Antonio, TX, USA, 1–3 August 2016. [Google Scholar]
- Xu, W.; Thiercelin, M.J.; Ganguly, U.; Weng, X.; Gu, H.; Onda, H.; Le Calvez, J. Wiremesh: A novel shale fracturing simulator. In Proceedings of the International Oil and Gas Conference and Exhibition in China, Beijing, China, 8–10 June 2010. [Google Scholar]
- Cipolla, C.L.; Lolon, E.; Mayerhofer, M.J. Reservoir modeling and production evaluation in shale-gas reservoirs. In Proceedings of the International Petroleum Technology Conference, Doha, Qatar, 7–9 December 2009. [Google Scholar]
- Meyer, B.R.; Bazan, L.W. A discrete fracture network model for hydraulically induced fractures-theory, parametric and case studies. In Proceedings of the SPE Hydraulic Fracturing Technology Conference, The Woodlands, TX, USA, 24–26 January 2011. [Google Scholar]
- Xiao, C.; Tian, L. Modelling of fractured horizontal wells with complex fracture network in natural gas hydrate reservoirs. Int. J. Hydrogen Energy 2020, 45, 14266–14280. [Google Scholar] [CrossRef]
- Liu, H.; Zhao, X.; Tang, X.; Peng, B.; Zou, J.; Zhang, X. A Discrete fracture–matrix model for pressure transient analysis in multistage fractured horizontal wells with discretely distributed natural fractures. J. Pet. Sci. Eng. 2020, 192, 107275. [Google Scholar] [CrossRef]
- Parvizi, H.; Rezaei-Gomari, S.; Nabhani, F. Robust and flexible hydrocarbon production forecasting considering heterogeneity impact for hydraulically fractured wells. Energy Fuels 2017, 31, 8481–8488. [Google Scholar] [CrossRef] [Green Version]
- Parvizi, H.; Rezaei-Gomari, S.; Nabhani, F.; Turner, A.; Uk, E. Hydraulic Fracturing Performance Evaluation in Tight Sand Gas Reservoirs with High Perm Streaks and Natural Fractures. In Proceedings of the Europec 2015, Madrid, Spain, 1–4 June 2015. SPE-174338-MS. [Google Scholar]
- Parvizi, H.; Rezaei-Gomari, S.; Nabhani, F.; Dastkhan, Z.; Wei, C.F. A Practical Workflow for Offshore Hydraulic Fracturing Modelling: Focusing on Southern North Sea. In Proceedings of the Europec 2015, Madrid, Spain, 1–4 June 2015; OnePetro: Madrid, Spain, 2015. [Google Scholar]
- Fisher, M.K.; Heinze, J.R.; Harris, C.D.; Davidson, B.M.; Wright, C.A.; Dunn, K.P. Optimizing horizontal completion techniques in the Barnett shale using microseismic fracture mapping. In Proceedings of the SPE Annual Technical Conference and Exhibition, Houston, TX, USA, 26–29 September 2004. [Google Scholar]
- Ewing, R.E. Adaptive local grid refinement. In Mathematical and Computational Methods in Seismic Exploration and Reservoir Modeling; Siam: Philadelphia, PA, USA, 1986; Volume 23, p. 235. [Google Scholar]
- Heinemann, Z.E.; Gerken, G.; von Hantelmann, G. Using local grid refinement in a multiple-application reservoir simulator. In Proceedings of the SPE Reservoir Simulation Symposium, San Francisco, CA, USA, 15–18 November 1983. [Google Scholar]
- Ke, X.; Guo, D.; Xue, L.; Li, X.; Zhao, Y. Study on Productivity Prediction of Hydraulic Fracturing with Branch Fractures Based on Numerical Simulation Method. Math. Pract. Theory 2019, 49, 89–98. [Google Scholar]
- Xu, L. The Study on the Menchansim of Fracture Propagation and Numerical Simulation in Volume Fracturing. Doctoral Dissertation, Southwest Petroleum University, Chengdu, China, 2015. [Google Scholar]


















| Fracture Number | Initiation Point | Angle | Length (m) |
|---|---|---|---|
| Fracture 1 | (Lx/2 − 85, Ly/2) | 0° | 170 |
| Fracture 2 | (Lx/2 + 15, Ly/2) | 45° | 20 |
| Fracture 3 | (Lx/2 + 15, Ly /2 + 10) | 0° | 16 |
| Fracture 4 | (Lx/2 + 25, Ly/2 − 18) | 90° | 18 |
| Fracture 5 | (Lx/2 + 25, Ly/2 − 18) | −30° | 25 |
| Fracture 6 | (Lx/2 + 55, Ly/2) | −60° | 18 |
| Fracture 7 | (Lx/2 + 38, Ly/2 − 15) | 0° | 22 |
| Fracture 8 | (Lx/2 − 32, Ly/2 − 17) | 35° | 25 |
| Fracture 9 | (Lx/2 − 58, Ly/2 − 13) | 45° | 30 |
| Fracture 10 | (Lx/2 − 43, Ly/2 + 12) | −45° | 15 |
| Fracture 11 | (Lx/2 − 67, Ly/2 − 12) | 0° | 32 |
| Fracture 12 | (Lx/2 − 80, Ly/2 + 13) | −45° | 18 |
| Fracture 13 | (Lx/2 − 75, Ly/2 + 3) | 90° | 17 |
| Parameter | Value | Parameter | Value |
|---|---|---|---|
| Reservoir permeability, mD | 0.55 | Porosity, % | 9.2 |
| Initial pressure, MPa | 22.5 | Reservoir thickness, m | 15.5 |
| Parameter | Value | Parameter | Value |
|---|---|---|---|
| Initial pressure | 16.2 MPa | Production rate | 20 m3/d |
| Permeability | 0.1 mD | Porosity | 0.09 |
| Reservoir length | 1000 m | Reservoir width | 600 m |
| Reservoir thickness | 15 m | Fracture conductivity | 15 D·cm |
| Fracture spacing | 26 m |
Publisher’s Note: MDPI stays neutral with regard to jurisdictional claims in published maps and institutional affiliations. |
© 2022 by the authors. Licensee MDPI, Basel, Switzerland. This article is an open access article distributed under the terms and conditions of the Creative Commons Attribution (CC BY) license (https://creativecommons.org/licenses/by/4.0/).
Share and Cite
Ke, X.; Zhao, Y.; Li, J.; Guo, Z.; Kang, Y. Production Simulation of Oil Reservoirs with Complex Fracture Network Using Numerical Simulation. Energies 2022, 15, 4050. https://doi.org/10.3390/en15114050
Ke X, Zhao Y, Li J, Guo Z, Kang Y. Production Simulation of Oil Reservoirs with Complex Fracture Network Using Numerical Simulation. Energies. 2022; 15(11):4050. https://doi.org/10.3390/en15114050
Chicago/Turabian StyleKe, Xijun, Yunxiang Zhao, Jiaqi Li, Zixi Guo, and Yunwei Kang. 2022. "Production Simulation of Oil Reservoirs with Complex Fracture Network Using Numerical Simulation" Energies 15, no. 11: 4050. https://doi.org/10.3390/en15114050
APA StyleKe, X., Zhao, Y., Li, J., Guo, Z., & Kang, Y. (2022). Production Simulation of Oil Reservoirs with Complex Fracture Network Using Numerical Simulation. Energies, 15(11), 4050. https://doi.org/10.3390/en15114050
