Measurements and Modelling of Vapour–Liquid Equilibrium for (H2O + N2) and (CO2 + H2O + N2) Systems at Temperatures between 323 and 473 K and Pressures up to 20 MPa
Abstract
:1. Introduction
2. Materials and Methods
2.1. Materials
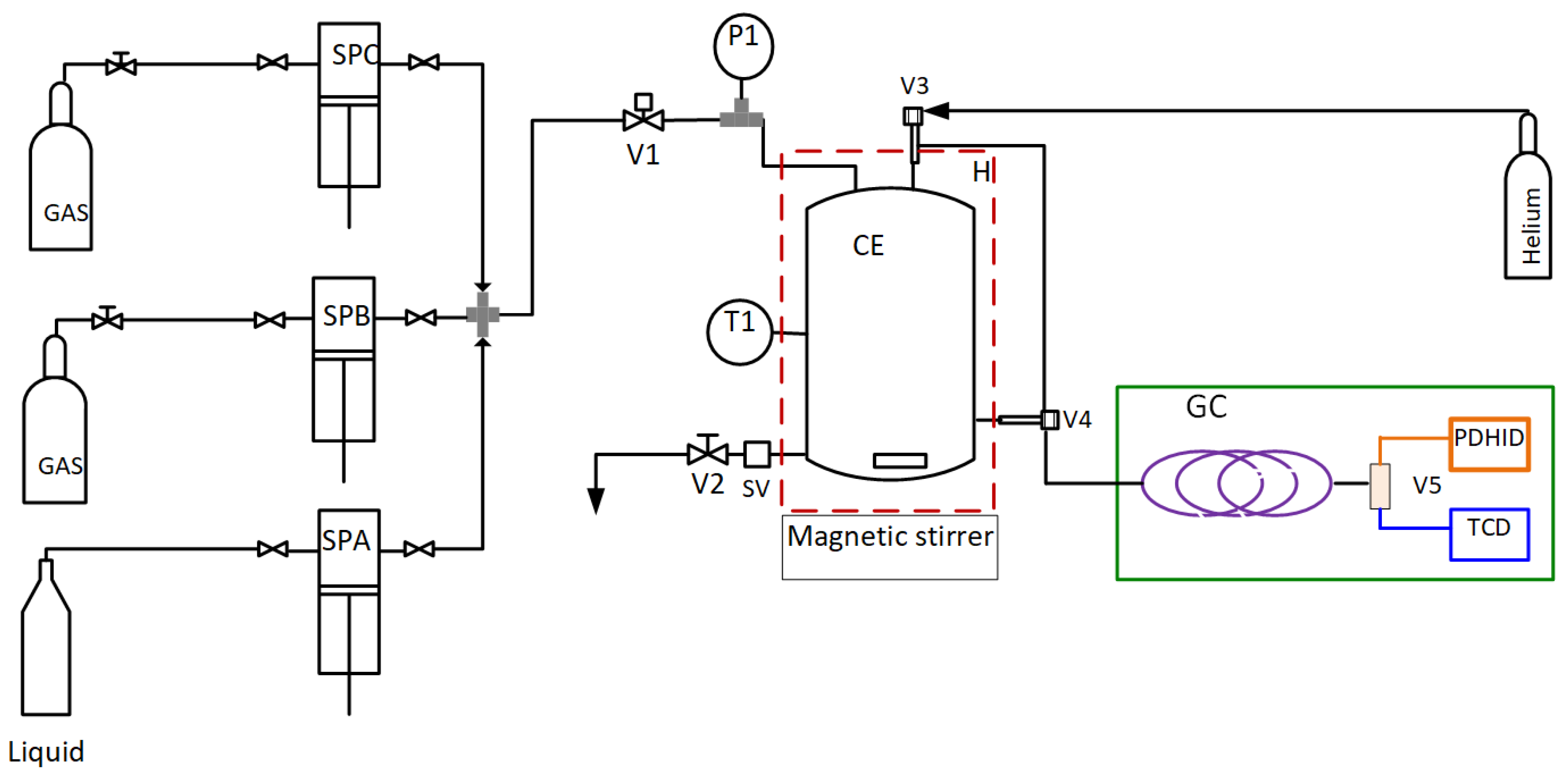
2.2. Apparatus
2.3. Experimental Procedure
2.4. GC Calibration
2.5. Uncertainty Analysis
2.6. Validation
3. Results
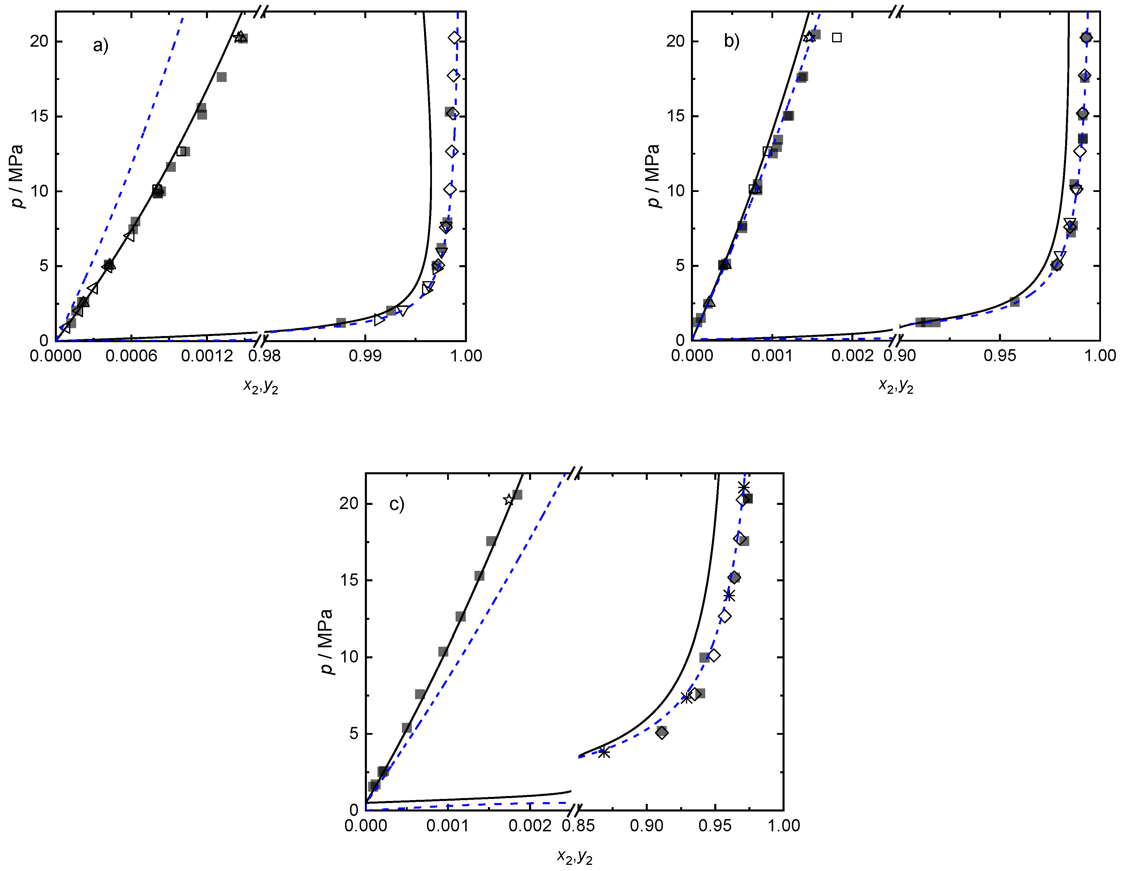
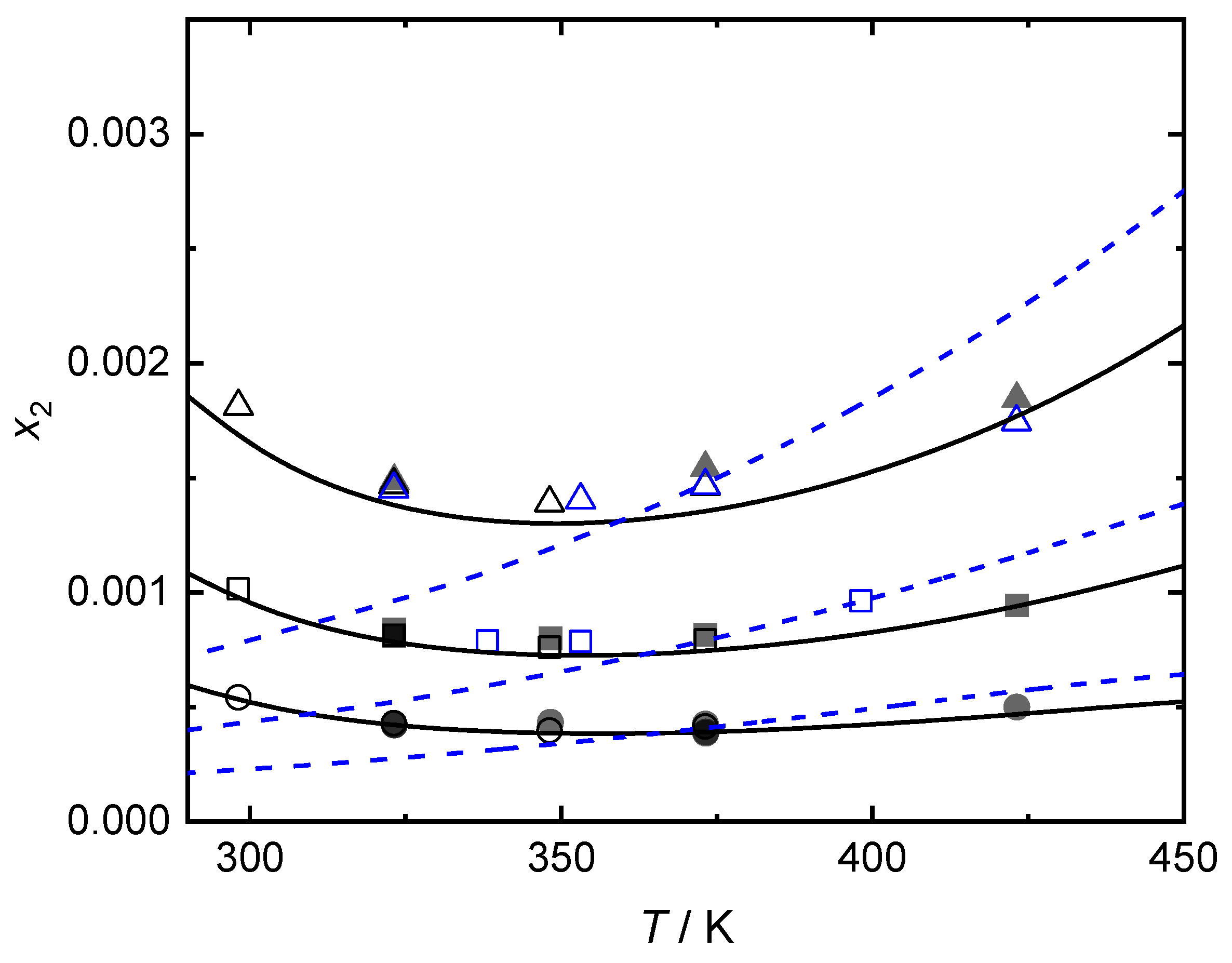
3.1. (H2O + N2) System
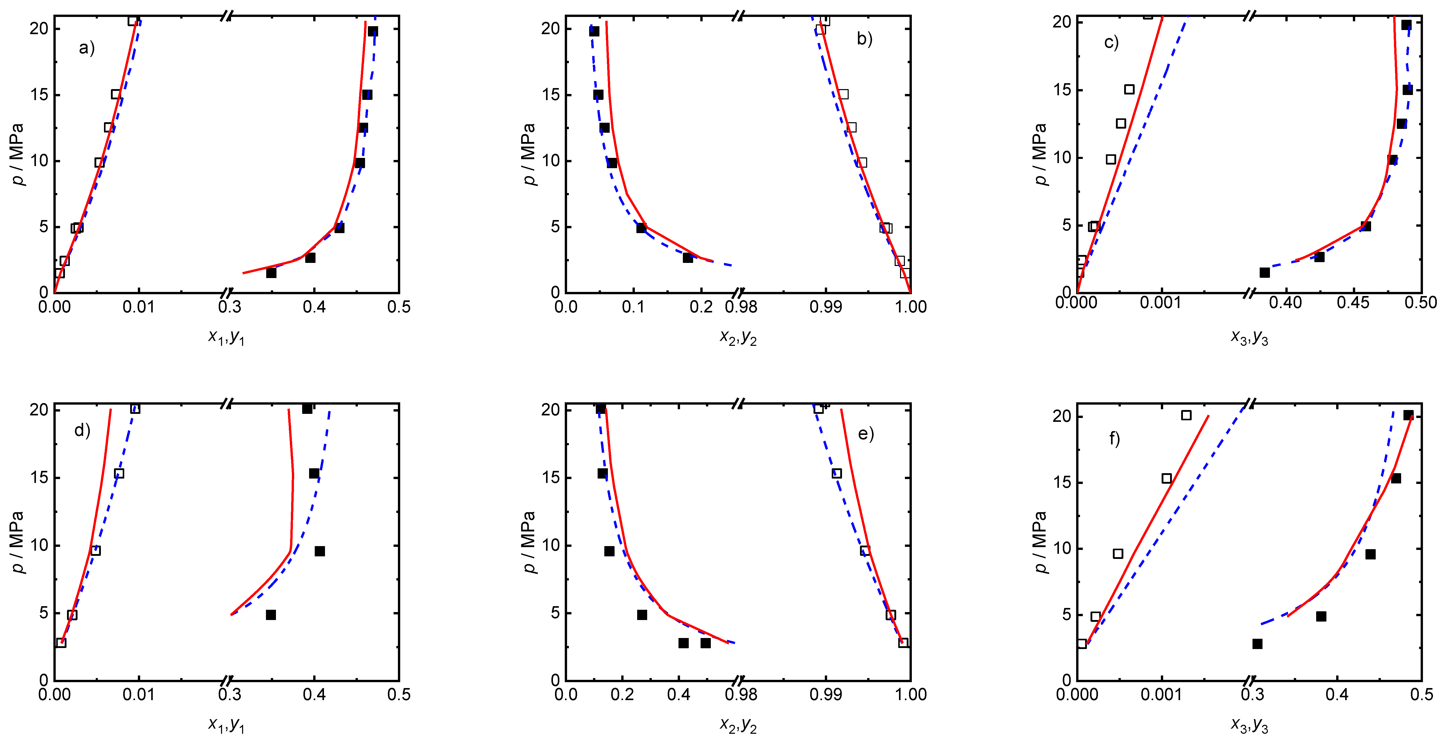
3.2. (CO2 + H2O + N2) System
4. Thermodynamic Modelling
4.1. γ-φ Model
4.2. SAFT-γ Mie Equation of State
5. Discussion
6. Conclusions
Supplementary Materials
Author Contributions
Funding
Institutional Review Board Statement
Informed Consent Statement
Data Availability Statement
Acknowledgments
Conflicts of Interest
References
- Special Report on Global Warming of 1.5 °C; Intergovernmental Panel on Climate Change: Incheon, Korea, 2018.
- Yan, Y.; Manovic, V.; Anthony, E.J.; Clough, P.T. Techno-economic analysis of low-carbon hydrogen production by sorption enhanced steam methane reforming (SE-SMR) processes. Energy Convers. Manag. 2020, 226, 113530. [Google Scholar] [CrossRef]
- Bui, M.; Adjiman, C.S.; Bardow, A.; Anthony, E.J.; Boston, A.; Brown, S.; Fennell, P.S.; Fuss, S.; Galindo, A.; Hackett, L.A.; et al. Carbon capture and storage (CCS): The way forward. Energy Environ. Sci. 2018, 11, 1062–1176. [Google Scholar] [CrossRef] [Green Version]
- Abbas, Z.; Mezher, T.; Abu-Zahra, M.R.M. CO2 purification. Part I: Purification requirement review and the selection of impurities deep removal technologies. Int. J. Greenh. Gas Control 2013, 16, 324–334. [Google Scholar] [CrossRef]
- ISO/TR 27921:2020; Carbon Dioxide Capture, Transportation, and Geological Storage—Cross Cutting Issues—CO2 Stream Composition. ISO: Geneva, Switzerland, 2020; p. 45.
- Tenorio, M.-J.; Parrott, A.J.; Calladine, J.A.; Sanchez-Vicente, Y.; Cresswell, A.J.; Graham, R.S.; Drage, T.C.; Poliakoff, M.; Ke, J.; George, M.W. Measurement of the vapour–liquid equilibrium of binary and ternary mixtures of CO2, N2 and H2, systems which are of relevance to CCS technology. Int. J. Greenh. Gas Control 2015, 41, 68–81. [Google Scholar] [CrossRef]
- Souza, L.F.S.; Al Ghafri, S.Z.S.; Trusler, J.P.M. Measurement and modelling of the vapor–liquid equilibrium of (CO2 + CO) at temperatures between (218.15 and 302.93) K at pressures up to 15 MPa. J. Chem. Thermodyn. 2018, 126, 63–73. [Google Scholar] [CrossRef]
- Efika, E.C.; Hoballah, R.; Li, X.; May, E.F.; Nania, M.; Sanchez-Vicente, Y.; Martin Trusler, J.P. Saturated phase densities of (CO2+H2O) at temperatures from (293 to 450) K and pressures up to 64 MPa. J. Chem. Thermodyn. 2016, 93, 347–359. [Google Scholar] [CrossRef] [Green Version]
- Tan, Y.; Nookuea, W.; Li, H.; Thorin, E.; Yan, J. Property impacts on Carbon Capture and Storage (CCS) processes: A review. Energy Convers. Manag. 2016, 118, 204–222. [Google Scholar] [CrossRef]
- Trusler, J.P.M. Thermophysical Properties and Phase Behavior of Fluids for Application in Carbon Capture and Storage Processes. Annu. Rev. Chem. Biomol. Eng. 2017, 8, 381–402. [Google Scholar] [CrossRef]
- Battino, R.; IUPAC. Nitrogen and Air. Solubility Data Series; Pergamon Press: Oxford, UK, 1982; pp. 1–565. [Google Scholar]
- Smith, N.O.; Kelemen, S.; Nagy, B. Solubility of natural gases in aqueous salt solutions—II: Nitrogen in aqueous NaCl, CaCl2, Na2SO4 and MgSO4 at room temperatures and at pressures below 1000 psia. Geochim. Cosmochim. Acta 1962, 26, 921–926. [Google Scholar] [CrossRef]
- O’Sullivan, T.D.; smith, N.O.; Nagy, B. Solubility of natural gases in aqueous salt solutions—III Nitrogen in aqueous NaCl at high pressures. Geochim. Cosmochim. Acta 1966, 30, 617–619. [Google Scholar] [CrossRef]
- Wiebe, R.; Gaddy, V.L.; Heinss, C. Solubility of Nitrogen in Water in 250 °C from 25 to 1000 Atmospheres. Ind. Eng. Chem. 1932, 24, 927. [Google Scholar] [CrossRef]
- Wiebe, R.; Gaddy, V.L.; Heins, C. The Solubility of Nitrogen in Water at 50, 75 and 100° C from 25 to 1000 Atmospheres. J. Am. Chem. Soc. 1933, 55, 947–953. [Google Scholar] [CrossRef]
- Folas, G.K.; Froyna, E.W.; Lovland, J.; Kontogeorgis, G.M.; Solbraa, E. Data and prediction of water content of high pressure nitrogen, methane and natural gas. Fluid Phase Equilibria 2007, 252, 162–174. [Google Scholar] [CrossRef]
- Mohammadi, A.H.; Chapoy, A.; Tohidi, B.; Richon, D. Water Content Measurement and Modeling in the Nitrogen + Water System. J. Chem. Eng. Data 2005, 50, 541–545. [Google Scholar] [CrossRef]
- Rigby, M.; Prausnitz, J.M. Solubility of water in compressed nitrogen, argon, and methane. J. Phys. Chem. 1968, 72, 330–334. [Google Scholar] [CrossRef]
- Maslennikova, V.Y.; Vdovina, N.A.; Tsiklis, D.S. Solubility of Water in Compressed Nitrogen. Russ. J. Phys. Chem. 1971, 45, 1354. [Google Scholar]
- Spycher, N.; Pruess, K.; Ennis-King, J. CO2-H2O mixtures in the geological sequestration of CO2. I. Assessment and calculation of mutual solubilities from 12 to 100 °C and up to 600 bar. Geochim. Cosmochim. Acta 2003, 67, 3015–3031. [Google Scholar] [CrossRef]
- Spycher, N.; Pruess, K. A Phase-Partitioning Model for CO2–Brine Mixtures at Elevated Temperatures and Pressures: Application to CO2-Enhanced Geothermal Systems. Transp. Porous Media 2010, 82, 173–196. [Google Scholar] [CrossRef] [Green Version]
- Diamond, L.W.; Akinfiev, N.N. Solubility of CO2 in water from −1.5 to 100 °C and from 0.1 to 100 MPa: Evaluation of literature data and thermodynamic modelling. Fluid Phase Equilibria 2003, 208, 265–290. [Google Scholar] [CrossRef]
- Chapoy, A.; Mohammadi, A.H.; Chareton, A.; Tohidi, B.; Richon, D. Measurement and Modeling of Gas Solubility and Literature Review of the Properties for the Carbon Dioxide−Water System. Ind. Eng. Chem. Res. 2004, 43, 1794–1802. [Google Scholar] [CrossRef]
- Goodman, J.B.; Krase, N.W. Solubility of Nitrogen in Water at High Pressures and Temperatures. Ind. Eng. Chem. 1931, 23, 401–404. [Google Scholar] [CrossRef]
- Saddington, A.W.; Krase, N.W. Vapor—Liquid Equilibria in the System Nitrogen—Water. J. Am. Chem. Soc. 1934, 56, 353–361. [Google Scholar] [CrossRef]
- Sidorov, I.P.; Kazarnovskii, Y.S.; Goldman, A.M. The Solubility of Water in compressed Gases. Tr. Gos. Nauchno Issled. Proektn. Inst. Azotn. Promst. Prod. Org. Sin. 1953, 1, 48–67. [Google Scholar]
- Bukacek, R.F. Equilibrium Moisture Content of Natural Gases. Inst. Gas Technol. Chikago Res. Bull. 1955, 8, 1–19. [Google Scholar]
- Maslennikova, V.Y. Solubility of Nitrogen in Water. Tr. Gos. Nauchno Issled. Proektn. Inst. Azotn. Promst. Prod. Org. Sin. 1971, 12, 82–87. [Google Scholar]
- Kosyakov, N.E.; Ivchenko, B.I.; Krishtopa, P.P. Moisture Contents of Compressed Nitrogen and Hydrogen at Low Temperatures. J. Appl. Chem. USSR 1977, 50, 2436–2438. [Google Scholar]
- Brunner, G. Phase Equilibria in Presence of Compressed Gases and Their Relevance to the Separation of Low-Volatile Substances; University Erlangen-Nuernberg: Erlangen, Germany, 1978. [Google Scholar]
- Gillespie, P.C.; Wilson, G.M. Vapor-Liquid Equilibrium Data on Water-Substitute Gas Components: N2 + H2O, H2 + H2O, CO + H2O, H2 + CO+ H2O, and H2S + H2O. GPA Res. Rep. 1980, 1–34. [Google Scholar] [CrossRef]
- Japas, M.L.; Franck, E.U. High Pressure Phase Equilibria and PVT-Data. of the Water-Nitrogen System to 673 K and 250 MPa. Ber. Der Bunsenges. FÜR Phys. Chem. 1985, 89, 793–800. [Google Scholar] [CrossRef]
- Li, Y.-K.; Nghiem, L.X. Phase equilibria of oil, gas and water/brine mixtures from a cubic equation of state and henry’s law. Can. J. Chem. Eng. 1986, 64, 486–496. [Google Scholar] [CrossRef]
- Alvarez, J.; Fernández-Prini, R. A semiempirical procedure to describe the thermodynamics of dissolution of non-polar gases in water. Fluid Phase Equilibria 1991, 66, 309–326. [Google Scholar] [CrossRef]
- Fenghour, A.; Wakeham, W.A.; Ferguson, D.; Scott, A.C.; Watson, J.T.R. Densities of (water + nitrogen) in the temperature range 533 K to 703 K and at pressures up to 31 MPa. J. Chem. Thermodyn. 1993, 25, 1151–1159. [Google Scholar] [CrossRef]
- Ugrozov, V.V. Equilibrium Compositions of Vapor-Gas Mixtures over Solutions. Russ. J. Phys. Chem. 1996, 70, 1240–1241. [Google Scholar]
- Blanco, S.A.T.; Velasco, I.; Rauzy, E.; Otín, S. Water dew points of binary nitrogen+water and propane + water mixtures. Measurement and correlation. Fluid Phase Equilibria 1999, 161, 107–117. [Google Scholar] [CrossRef]
- Blanco, S.T.; Velasco, I.; Otin, S. Dew Points of Binary Nitrogen + Water Mixtures. Phys. Chem. Liq. 2002, 40, 167–172. [Google Scholar] [CrossRef]
- Chapoy, A.; Mohammadi, A.H.; Tohidi, B.; Richon, D. Gas Solubility Measurement and Modeling for the Nitrogen + Water System from 274.18 K to 363.02 K. J. Chem. Eng. Data 2004, 49, 1110–1115. [Google Scholar] [CrossRef]
- Tabasinejad, F.; Moore, R.G.; Mehta, S.A.; Van Fraassen, K.C.; Barzin, Y.; Rushing, J.A.; Newsham, K.E. Water Solubility in Supercritical Methane, Nitrogen, and Carbon Dioxide: Measurement and Modeling from 422 to 483 K and Pressures from 3.6 to 134 MPa. Ind. Eng. Chem. Res. 2011, 50, 4029–4041. [Google Scholar] [CrossRef]
- Liu, Y.; Hou, M.; Ning, H.; Yang, D.; Yang, G.; Han, B. Phase Equilibria of CO2 + N2 + H2O and N2 + CO2 + H2O + NaCl + KCl + CaCl2 Systems at Different Temperatures and Pressures. J. Chem. Eng. Data 2012, 57, 1928–1932. [Google Scholar] [CrossRef]
- Muromachi, S.; Miyamoto, H.; Ohmura, R. Solubility of Nitrogen Gas in Aqueous Solution of Tetra-n-Butylammonium Bromide. Int. J. Thermophys. 2017, 38, 173. [Google Scholar] [CrossRef]
- Zelvenskii, Y.D. Solubility of the Gas-Mixtures CO2 + N2 and CO2 + H2 in Water under Pressure. Zh. Prikl. Khim. 1939, 12, 1312–1329. [Google Scholar]
- Foltran, S.; Vosper, M.E.; Suleiman, N.B.; Wriglesworth, A.; Ke, J.; Drage, T.C.; Poliakoff, M.; George, M.W. Understanding the solubility of water in carbon capture and storage mixtures: An FTIR spectroscopic study of H2O + CO2 + N2 ternary mixtures. Int. J. Greenh. Gas Control 2015, 35, 131–137. [Google Scholar] [CrossRef]
- Hassanpouryouzband, A.; Farahani, M.V.; Yang, J.; Tohidi, B.; Chuvilin, E.; Istomin, V.; Bukhanov, B. Solubility of Flue Gas or Carbon Dioxide-Nitrogen Gas Mixtures in Water and Aqueous Solutions of Salts: Experimental Measurement and Thermodynamic Modeling. Ind. Eng. Chem. Res. 2019, 58, 3377–3394. [Google Scholar] [CrossRef]
- Hou, S.-X.; Maitland, G.C.; Trusler, J.P.M. Measurement and modeling of the phase behavior of the (carbon dioxide+water) mixture at temperatures from 298.15 K to 448.15 K. J. Supercrit. Fluids 2013, 73, 87–96. [Google Scholar] [CrossRef] [Green Version]
- Perez, R.J.; Heidemann, R.A. Coupling an equation of state and Henry’s Law to model the phase equilibria of gases and brines: Examples in the N2–H2O–NaCl system. J. Geochem. Explor. 2006, 89, 331–334. [Google Scholar] [CrossRef]
- Kontogeorgis, G.M.; Michelsen, M.L.; Folas, G.K.; Derawi, S.; von Solms, N.; Stenby, E.H. Ten Years with the CPA (Cubic-Plus-Association) Equation of State. Part 2. Cross-Associating and Multicomponent Systems. Ind. Eng. Chem. Res. 2006, 45, 4869–4878. [Google Scholar] [CrossRef]
- dos Ramos, M.C.; Blas, F.J.; Galindo, A. Phase Equilibria, Excess Properties, and Henry’s Constants of the Water + Carbon Dioxide Binary Mixture. J. Phys. Chem. C 2007, 111, 15924–15934. [Google Scholar] [CrossRef]
- Papaioannou, V.; Calado, F.; Lafitte, T.; Dufal, S.; Sadeqzadeh, M.; Jackson, G.; Adjiman, C.S.; Galindo, A. Application of the SAFT-γ Mie group contribution equation of state to fluids of relevance to the oil and gas industry. Fluid Phase Equilibria 2016, 416, 104–119. [Google Scholar] [CrossRef] [Green Version]
- Kunz, O.; Wagner, W. The GERG-2008 Wide-Range Equation of State for Natural Gases and Other Mixtures: An Expansion of GERG-2004. J. Chem. Eng. Data 2012, 57, 3032–3091. [Google Scholar] [CrossRef]
- Gernert, J.; Span, R. Accurate property models for application in CCS processes. In Proceedings of the Asian Thermophysical Properties Conference, Beijing, China, 19–22 October 2010; pp. 1832–1842. [Google Scholar]
- Gernert, J.; Span, R. EOS–CG: A Helmholtz energy mixture model for humid gases and CCS mixtures. J. Chem. Thermodyn. 2016, 93, 274–293. [Google Scholar] [CrossRef]
- Fandiño, O.; Trusler, J.P.M.; Vega-Maza, D. Phase behavior of (CO2 + H2) and (CO2 + N2) at temperatures between (218.15 and 303.15) K at pressures up to 15 MPa. Int. J. Greenh. Gas Control 2015, 36, 78–92. [Google Scholar] [CrossRef] [Green Version]
- Wentworth, W.E.; Vasnin, S.V.; Stearns, S.D.; Meyer, C.J. Pulsed discharge helium ionization detector. Chromatographia 1992, 34, 219–225. [Google Scholar] [CrossRef]
- McNair, H.M.; Miller, J.M. Basic Gas Chromatography; Wiley: Hoboken, NJ, USA, 2009. [Google Scholar]
- JCGM, J. Evaluation of measurement data—Guide to the expression of uncertainty in measurement. Int. Organ. Stand. Geneva ISBN 2008, 50, 134. [Google Scholar]
- Spycher, N.; Pruess, K. CO2-H2O mixtures in the geological sequestration of CO2. II. Partitioning in chloride brines at 12–100 °C and up to 600 bar. Geochim. Cosmochim. Acta 2005, 69, 3309–3320. [Google Scholar] [CrossRef]
- Ou, W.; Geng, L.; Lu, W.; Guo, H.; Qu, K.; Mao, P. Quantitative Raman spectroscopic investigation of geo-fluids high-pressure phase equilibria: Part II. Accurate determination of CH4 solubility in water from 273 to 603 K and from 5 to 140 MPa and refining the parameters of the thermodynamic model. Fluid Phase Equilibria 2015, 391, 18–30. [Google Scholar] [CrossRef]
- Van Konynenburg, P.; Scott, R. Critical lines and phase equilibria in binary van der Waals mixtures. Philos. Trans. R. Soc. London. Ser. A Math. Phys. Sci. 1980, 298, 495–540. [Google Scholar]
- Lemmon, E.W.; Bell, I.H.; Huber, M.L.; McLinden, M.O. NIST Standard Reference Database 23: Reference Fluid Thermodynamic and Transport Properties-REFPROP, version 10.0; Standard Reference Data Program; National Institute of Standards and Technology: Gaithersburg, MD, USA, 2018. [CrossRef]
- Aparicio-Martínez, S.; Hall, K.R. Phase equilibria in water containing binary systems from molecular based equations of state. Fluid Phase Equilibria 2007, 254, 112–125. [Google Scholar] [CrossRef]
- Schouten, J.; van Hinsberg, M.; Scheerboom, M.; Michels, J. Peculiarities in the high-pressure phase behaviour of binary mixtures of nitrogen with methane, helium and water. J. Phys. Condens. Matter 1999, 6, A187. [Google Scholar] [CrossRef] [Green Version]
- Mao, S.; Duan, Z. A thermodynamic model for calculating nitrogen solubility, gas phase composition and density of the N2–H2O–NaCl system. Fluid Phase Equilibria 2006, 248, 103–114. [Google Scholar] [CrossRef]
- Sedlbauer, J.; O’Connell, J.P.; Wood, R.H. A new equation of state for correlation and prediction of standard molal thermodynamic properties of aqueous species at high temperatures and pressures. Chem. Geol. 2000, 163, 43–63. [Google Scholar] [CrossRef]
- Fernández-Prini, R.; Alvarez, J.L.; Harvey, A.H. Henry’s Constants and Vapor–Liquid Distribution Constants for Gaseous Solutes in H2O and D2O at High Temperatures. J. Phys. Chem. Ref. Data 2003, 32, 903–916. [Google Scholar] [CrossRef] [Green Version]
- Renon, H.; Prausnitz, J.M. Local compositions in thermodynamic excess functions for liquid mixtures. AIChE J. 1968, 14, 135–144. [Google Scholar] [CrossRef]
- Abudour, A.; Mohammad, S.; Gasem, K. Modeling high-pressure phase equilibria of coalbed gases/water mixtures with the Peng-Robinson equation of state. Fluid Phase Equilibria 2012, 319, 77–89. [Google Scholar] [CrossRef]
- Mantovani, M.; Chiesa, P.; Valenti, G.; Gatti, M.; Consonni, S. Supercritical pressure–density–temperature measurements on CO2–N2, CO2–O2 and CO2–Ar binary mixtures. J. Supercrit. Fluids 2012, 61, 34–43. [Google Scholar] [CrossRef]
- Chow, Y.T.F.; Maitland, G.C.; Trusler, J.P.M. Interfacial tensions of the (CO2 + N2 + H2O) system at temperatures of (298 to 448) K and pressures up to 40 MPa. J. Chem. Thermodyn. 2016, 93, 392–403. [Google Scholar] [CrossRef] [Green Version]
- Papaioannou, V.; Lafitte, T.; Avendano, C.; Adjiman, C.S.; Jackson, G.; Muller, E.A.; Galindo, A. Group contribution methodology based on the statistical associating fluid theory for heteronuclear molecules formed from Mie segments. J. Chem. Phys. 2014, 140, 054107. [Google Scholar] [CrossRef]
- Dufal, S.; Papaioannou, V.; Sadeqzadeh, M.; Pogiatzis, T.; Chremos, A.; Adjiman, C.S.; Jackson, G.; Galindo, A. Prediction of Thermodynamic Properties and Phase Behavior of Fluids and Mixtures with the SAFT-gamma Mie Group-Contribution Equation of State. J. Chem. Eng. Data 2014, 59, 3272–3288. [Google Scholar] [CrossRef]
- Dufal, S.; Lafitte, T.; Haslam, A.J.; Galindo, A.; Clark, G.N.I.; Vega, C.; Jackson, G. The A in SAFT: Developing the contribution of association to the Helmholtz free energy within a Wertheim TPT1 treatment of generic Mie fluids. Mol. Phys. 2015, 113, 948–984. [Google Scholar] [CrossRef] [Green Version]
- Haslam, A.J.; Gonzalez-Perez, A.; Di Lecce, S.; Khalit, S.H.; Perdomo, F.A.; Kournopoulos, S.; Kohns, M.; Lindeboom, T.; Wehbe, M.; Febra, S.; et al. Expanding the Applications of the SAFT-gamma Mie Group-Contribution Equation of State: Prediction of Thermodynamic Properties and Phase Behavior of Mixtures. J. Chem. Eng. Data 2020, 65, 5862–5890. [Google Scholar] [CrossRef]
- Nowak, P.; Kleinrahm, R.; Wagner, W. Measurement and Correlation of the (P, ρ, T) Relation of Nitrogen I. The Homogeneous Gas and Liquid Regions in the Temperature Range from 66 K to 340 K at Pressures up to 12 MPa. J. Chem. Thermodyn. J. Chem. Thermodyn. 1997, 29, 1137–1156. [Google Scholar] [CrossRef]
- Wagner, W. New vapour pressure measurements for argon and nitrogen and a new method for establishing rational vapour pressure equations. Cryogenics 1973, 13, 470–482. [Google Scholar] [CrossRef]
- Sanchez-Vicente, Y.; Tay, W.J.; Al Ghafri, S.Z.; Trusler, J.P.M. Thermodynamics of carbon dioxide-hydrocarbon systems. Appl. Energy 2018, 220, 629–642. [Google Scholar] [CrossRef]
- Sanchez-Vicente, Y.; Tay, W.J.; Al Ghafri, S.Z.; Efika, E.C.; Trusler, J.P.M. Density and Phase Behavior of the CO2 + Methylbenzene System in Wide Ranges of Temperatures and Pressures. Ind. Eng. Chem. Res. 2020, 59, 7224–7237. [Google Scholar] [CrossRef]
- Sanchez-Vicente, Y.; Trusler, J.P.M. Saturated-Phase Densities of (CO2 + Methylcyclohexane) at Temperatures from 298 to 448 K and Pressures up to the Critical Pressure. J. Chem. Eng. Data 2022, 67, 54–66. [Google Scholar] [CrossRef]
- Zolghadr, A.; Riazi, M.; Escrochi, M.; Ayatollahi, S. Investigating the Effects of Temperature, Pressure, and Paraffin Groups on the N2 Miscibility in Hydrocarbon Liquids using the Interfacial Tension Measurement Method. Ind. Eng. Chem. Res. 2013, 52, 9851–9857. [Google Scholar] [CrossRef]
- van Kasteren, P.H.G.; Zeldenrust, H. A Flow Calorimeter for Condensable Gases at Low Temperatures and High Pressures. 2. Compilation of Experimental Results and Comparison with Predictions Based on a Modified Redlich-Kwong Equation of State. Ind. Eng. Chem. Fundam. 1979, 18, 339–345. [Google Scholar] [CrossRef]
- PSE Ltd. gPROMS V.7.0.7. 2021. Available online: http://www.psenterprise.com (accessed on 10 April 2022).
- Sobol, I.M. On the distribution of points in a cube and the approximate evaluation of integrals. USSR Comput. Math. Math. Phys. 1967, 7, 86–112. [Google Scholar] [CrossRef]
- Levenberg, K. A method for the solution of certain non-linear problems in least squares. Q. Appl. Math. 1944, 2, 164–168. [Google Scholar] [CrossRef] [Green Version]
- Marquardt, D.W. An algorithm for least-squares estimation of nonlinear parameters. J. Soc. Ind. Appl. Math. 1963, 11, 431–441. [Google Scholar] [CrossRef]











| Reference | Year | Type | Tmin/K | Tmax/K | pmin/MPa | pmax/MPa |
|---|---|---|---|---|---|---|
| Goodman and Krase [24] | 1931 | Tpx | 273 | 442 | 10.1 | 30.4 |
| Wiebe et al. [14] | 1932 | Tpx | 298 | 298 | 2.5 | 101.3 |
| Wiebe et al. [15] | 1933 | Tpx | 298 | 373 | 2.5 | 101.3 |
| Saddington and Krase [25] | 1934 | Tpxy | 323 | 513 | 10.1 | 30.4 |
| Sidorov et al. [26] | 1953 | Tpy | 373 | 373 | 5.1 | 40.5 |
| Bukacek [27] | 1955 | Tpy | 378 | 378 | 7.0 | 68.3 |
| Smith et al. [12] | 1962 | Tpx | 303 | 303 | 1.1 | 5.9 |
| O’Sullivan et al. [13] | 1966 | Tpx | 325 | 325 | 10.1 | 60.8 |
| Rigby and Prausnitz [18] | 1968 | Tpy | 298 | 373 | 2.1 | 10.2 |
| Maslennikova [28] | 1971 | Tpy | 473 | 613 | 10.5 | 46.1 |
| Maslennikova et al. [19] | 1971 | Tpy | 298 | 623 | 5.1 | 50.7 |
| Kosyakov et al. [29] | 1977 | Tpy | 233 | 273 | 1.0 | 10.1 |
| Brunner [30] | 1978 | Tpy | 513 | 513 | 10.1 | 20.2 |
| Gillespie and Wilson [31] | 1980 | Tpxy | 311 | 478 | 0.3 | 13.8 |
| Japas and Franck [32] | 1985 | Tpxy | 580 | 638 | 21.0 | 270.5 |
| Li and Nghiem [33] | 1986 | Tpx | 324 | 398 | 10.4 | 10.4 |
| Alvarez and Fernandez-Prini [34] | 1991 | Tpx | 583 | 613 | 17.2 | 54.4 |
| Fenghour et al. [35] | 1993 | Tpx | 410 | 595 | 7.8 | 23.5 |
| Ugrozov [36] | 1996 | Tpy | 311 | 366 | 0.3 | 13.8 |
| Blanco et al. [37] | 1999 | Tpy | 253 | 283 | 0.4 | 9.9 |
| Blanco et al. [38] | 2002 | Tpy | 263 | 283 | 0.5 | 10.0 |
| Chapoy et al. [39] | 2004 | Tpx | 274 | 363 | 1.0 | 7.0 |
| Mohammadi et al. [17] | 2005 | Tpy | 283 | 363 | 0.4 | 5.0 |
| Folas et al. [16] | 2007 | Tpy | 258 | 293 | 0.5 | 20.0 |
| Tabasinejad et al. [40] | 2011 | Tpy | 422 | 483 | 3.8 | 133.7 |
| Liu et al. [41] | 2012 | Tpx | 308 | 318 | 8.0 | 16.0 |
| Muromachi et al. [42] | 2017 | Tpx | 292 | 307 | 3.0 | 7.0 |
| Reference | Year | Type | Tmin/K | Tmax/K | Pmin/MPa | Pmax/MPa |
|---|---|---|---|---|---|---|
| Zelvenskii [43] | 1939 | Tpx | 298 | 298 | 2.5 | 29.4 |
| Liu et al. [41] | 2012 | Tpxy | 308 | 318 | 8.0 | 16.0 |
| Foltran et al. [44] | 2015 | Tpy | 313 | 313 | 8.9 | 17.2 |
| Hassanpouryouzband et al. [45] | 2019 | Tpxy | 273 | 303 | 1.5 | 20.8 |
| Chemical Name | CAS Number | Source | Purity as Supplied | Additional Purification |
|---|---|---|---|---|
| H2O | 7732-18-5 | Millipore Direct Q UV3 | ρelec >18 MΩ·cm | degassed under vacuum |
| CO2 | 124-38-9 | BOC | x ≥ 0.99995 | none |
| N2 | 108-87-2 | BOC | x ≥ 0.99998 | none |
| 0.5 CO2 + 0.5 N2 | BOC | x ≥ 0.99995 | none |
| System | Phase | TCD | PDHID |
|---|---|---|---|
| H2O + N2 | Liquid phase | H2O | N2 |
| Vapour phase | N2 | H2O | |
| CO2 + H2O | Liquid phase | H2O, CO2 | |
| Vapour phase | CO2 | H2O | |
| CO2 + H2O + N2 | Liquid phase | CO2, H2O | N2 |
| Vapour phase | CO2, N2 | H2O |
| System | Phase | Relative Response Factors | Peak Area | Ref | ||||||
|---|---|---|---|---|---|---|---|---|---|---|
| H2O + N2 | Liquid | 4672 | 45 | 327 | 2 | 1250 | 10 | 0.00082 | [15] | |
| Vapour | 3443 | 161 | 13,420 | 552 | 498 | 1 | 0.00777 | [19] | ||
| CO2 + H2O | Liquid | 2.12 | 0.01 | 793 | 4 | 23.7 | 0.1 | 0.01393 | [20] | |
| Vapour | 3209 | 102 | 28,920 | 733 | 358 | 1 | 0.02453 | [20] | ||
| Liquid Phase | Vapour Phase | ||||||||||
|---|---|---|---|---|---|---|---|---|---|---|---|
| T/K | u(T) | p/MPa | u(p) | x1 | u(x1) | T/K | u(T) | p/MPa | u(p) | y1 | u(y1) |
| 373.28 | 0.02 | 4.71 | 0.01 | 0.00780 | 1.58·10−4 | 373.27 | 0.02 | 4.71 | 0.01 | 0.97323 | 1.35·10−3 |
| 373.26 | 0.01 | 5.45 | 0.01 | 0.00899 | 4.51·10−4 | 373.27 | 0.02 | 4.70 | 0.01 | 0.97370 | 1.49·10−3 |
| 373.28 | 0.01 | 10.07 | 0.01 | 0.01434 | 1.34·10−4 | 373.27 | 0.02 | 5.46 | 0.01 | 0.97644 | 1.33·10−3 |
| 373.22 | 0.01 | 10.03 | 0.01 | 0.01393 | 1.09·10−4 | 373.27 | 0.02 | 5.45 | 0.01 | 0.97444 | 1.01·10−3 |
| 373.28 | 0.01 | 15.09 | 0.01 | 0.01784 | 1.89·10−4 | 373.27 | 0.01 | 10.06 | 0.01 | 0.98064 | 6.29·10−4 |
| 373.28 | 0.01 | 15.09 | 0.01 | 0.01822 | 1.80·10−4 | 373.28 | 0.01 | 10.04 | 0.01 | 0.98141 | 5.29·10−4 |
| 373.27 | 0.01 | 15.09 | 0.01 | 0.98390 | 4.33·10−4 | ||||||
| T/K | u(T) | p/MPa | u(p) | x1 | u(x1) | x2 | u(x2) |
|---|---|---|---|---|---|---|---|
| 323.21 | 0.01 | 1.19 | 0.01 | 0.99988 | 0.00002 | 0.00012 | 0.00002 |
| 323.22 | 0.02 | 2.03 | 0.01 | 0.99984 | 0.00002 | 0.00016 | 0.00002 |
| 323.20 | 0.02 | 2.62 | 0.01 | 0.99979 | 0.00001 | 0.00021 | 0.00001 |
| 323.19 | 0.02 | 2.62 | 0.01 | 0.99977 | 0.00001 | 0.00023 | 0.00001 |
| 323.22 | 0.02 | 5.06 | 0.01 | 0.99958 | 0.00003 | 0.00042 | 0.00003 |
| 323.21 | 0.02 | 5.11 | 0.01 | 0.99958 | 0.00001 | 0.00042 | 0.00001 |
| 323.20 | 0.02 | 7.46 | 0.01 | 0.99939 | 0.00003 | 0.00061 | 0.00003 |
| 323.20 | 0.02 | 7.98 | 0.01 | 0.99937 | 0.00001 | 0.00063 | 0.00001 |
| 323.21 | 0.02 | 9.85 | 0.01 | 0.99919 | 0.00002 | 0.00081 | 0.00002 |
| 323.20 | 0.02 | 9.86 | 0.01 | 0.99919 | 0.00001 | 0.00081 | 0.00001 |
| 323.21 | 0.02 | 9.99 | 0.01 | 0.99916 | 0.00002 | 0.00084 | 0.00002 |
| 323.19 | 0.02 | 11.63 | 0.01 | 0.99909 | 0.00002 | 0.00091 | 0.00003 |
| 323.20 | 0.02 | 12.65 | 0.01 | 0.99897 | 0.00002 | 0.00103 | 0.00002 |
| 323.20 | 0.02 | 15.12 | 0.01 | 0.99884 | 0.00002 | 0.00116 | 0.00002 |
| 323.21 | 0.02 | 15.57 | 0.01 | 0.99884 | 0.00002 | 0.00116 | 0.00002 |
| 323.20 | 0.02 | 17.63 | 0.01 | 0.99868 | 0.00002 | 0.00132 | 0.00002 |
| 323.20 | 0.02 | 20.20 | 0.01 | 0.99851 | 0.00004 | 0.00149 | 0.00004 |
| 348.30 | 0.02 | 0.95 | 0.01 | 0.99992 | 0.00000 | 0.00008 | 0.00000 |
| 348.33 | 0.02 | 1.02 | 0.01 | 0.99992 | 0.00000 | 0.00008 | 0.00000 |
| 348.30 | 0.02 | 1.87 | 0.01 | 0.99985 | 0.00000 | 0.00015 | 0.00000 |
| 348.30 | 0.02 | 5.26 | 0.01 | 0.99957 | 0.00001 | 0.00043 | 0.00001 |
| 348.30 | 0.02 | 7.46 | 0.01 | 0.99938 | 0.00001 | 0.00062 | 0.00001 |
| 348.30 | 0.02 | 10.02 | 0.01 | 0.99920 | 0.00003 | 0.00080 | 0.00003 |
| 348.28 | 0.01 | 12.51 | 0.01 | 0.99899 | 0.00001 | 0.00101 | 0.00001 |
| 373.22 | 0.01 | 1.22 | 0.01 | 0.99993 | 0.00001 | 0.00007 | 0.00001 |
| 373.17 | 0.02 | 1.52 | 0.01 | 0.99989 | 0.00002 | 0.00011 | 0.00002 |
| 373.17 | 0.02 | 2.46 | 0.01 | 0.99980 | 0.00003 | 0.00020 | 0.00003 |
| 373.22 | 0.01 | 5.03 | 0.01 | 0.99961 | 0.00001 | 0.00039 | 0.00001 |
| 373.27 | 0.01 | 5.07 | 0.01 | 0.99961 | 0.00001 | 0.00039 | 0.00001 |
| 373.18 | 0.01 | 5.15 | 0.01 | 0.99958 | 0.00003 | 0.00042 | 0.00003 |
| 373.19 | 0.02 | 7.51 | 0.01 | 0.99937 | 0.00001 | 0.00063 | 0.00001 |
| 373.27 | 0.01 | 7.69 | 0.01 | 0.99937 | 0.00002 | 0.00063 | 0.00002 |
| 373.18 | 0.02 | 10.05 | 0.01 | 0.99918 | 0.00007 | 0.00082 | 0.00007 |
| 373.26 | 0.01 | 10.46 | 0.01 | 0.99918 | 0.00001 | 0.00082 | 0.00001 |
| 373.19 | 0.01 | 12.94 | 0.01 | 0.99894 | 0.00002 | 0.00106 | 0.00002 |
| 373.27 | 0.02 | 13.43 | 0.01 | 0.99893 | 0.00003 | 0.00107 | 0.00003 |
| 373.19 | 0.02 | 15.02 | 0.01 | 0.99881 | 0.00005 | 0.00119 | 0.00005 |
| 373.26 | 0.01 | 15.04 | 0.01 | 0.99879 | 0.00002 | 0.00121 | 0.00002 |
| 373.25 | 0.01 | 17.56 | 0.01 | 0.99863 | 0.00018 | 0.00137 | 0.00018 |
| 373.19 | 0.02 | 17.67 | 0.01 | 0.99861 | 0.00002 | 0.00139 | 0.00002 |
| 373.19 | 0.02 | 20.48 | 0.01 | 0.99846 | 0.00005 | 0.00154 | 0.00005 |
| 423.01 | 0.02 | 1.55 | 0.01 | 0.99991 | 0.00001 | 0.00009 | 0.00001 |
| 423.31 | 0.02 | 1.70 | 0.01 | 0.99988 | 0.00000 | 0.00012 | 0.00000 |
| 423.41 | 0.01 | 2.51 | 0.01 | 0.99980 | 0.00001 | 0.00020 | 0.00001 |
| 422.92 | 0.02 | 2.57 | 0.01 | 0.99978 | 0.00001 | 0.00022 | 0.00001 |
| 423.22 | 0.02 | 5.40 | 0.01 | 0.99950 | 0.00002 | 0.00050 | 0.00002 |
| 423.22 | 0.02 | 7.59 | 0.01 | 0.99934 | 0.00002 | 0.00066 | 0.00002 |
| 423.22 | 0.02 | 10.37 | 0.01 | 0.99906 | 0.00003 | 0.00094 | 0.00003 |
| 423.22 | 0.02 | 12.64 | 0.01 | 0.99884 | 0.00003 | 0.00116 | 0.00003 |
| 423.21 | 0.02 | 15.30 | 0.01 | 0.99861 | 0.00002 | 0.00139 | 0.00002 |
| 423.22 | 0.02 | 17.57 | 0.01 | 0.99847 | 0.00002 | 0.00153 | 0.00002 |
| 423.22 | 0.02 | 20.59 | 0.01 | 0.99815 | 0.00004 | 0.00185 | 0.00004 |
| T/K | u(T) | p/MPa | u(p) | y1 | u(y1) | y2 | u(y2) |
|---|---|---|---|---|---|---|---|
| 323.22 | 0.02 | 1.21 | 0.01 | 0.01238 | 0.00075 | 0.98762 | 0.00074 |
| 323.20 | 0.02 | 2.03 | 0.01 | 0.00742 | 0.00016 | 0.99258 | 0.00016 |
| 323.21 | 0.02 | 5.04 | 0.01 | 0.00291 | 0.00005 | 0.99709 | 0.00005 |
| 323.21 | 0.02 | 6.22 | 0.01 | 0.00241 | 0.00028 | 0.99759 | 0.00028 |
| 323.21 | 0.02 | 7.94 | 0.01 | 0.00183 | 0.00001 | 0.99817 | 0.00001 |
| 323.22 | 0.02 | 15.32 | 0.01 | 0.00161 | 0.00002 | 0.99839 | 0.00002 |
| 373.22 | 0.01 | 1.22 | 0.01 | 0.08956 | 0.00269 | 0.91044 | 0.00261 |
| 373.23 | 0.01 | 1.22 | 0.01 | 0.08679 | 0.00314 | 0.91321 | 0.00308 |
| 373.23 | 0.01 | 1.22 | 0.01 | 0.08203 | 0.00446 | 0.91797 | 0.00442 |
| 373.26 | 0.01 | 2.59 | 0.01 | 0.04247 | 0.00171 | 0.95753 | 0.00171 |
| 373.27 | 0.02 | 5.00 | 0.01 | 0.02187 | 0.00090 | 0.97813 | 0.00090 |
| 373.31 | 0.01 | 7.22 | 0.02 | 0.01451 | 0.00101 | 0.98549 | 0.00101 |
| 373.27 | 0.01 | 7.69 | 0.01 | 0.01350 | 0.00084 | 0.98650 | 0.00084 |
| 373.26 | 0.02 | 10.47 | 0.01 | 0.01284 | 0.00067 | 0.98716 | 0.00067 |
| 373.26 | 0.01 | 13.46 | 0.02 | 0.00861 | 0.00038 | 0.99139 | 0.00039 |
| 373.27 | 0.01 | 13.52 | 0.01 | 0.00855 | 0.00059 | 0.99145 | 0.00059 |
| 373.26 | 0.01 | 15.05 | 0.01 | 0.00864 | 0.00046 | 0.99136 | 0.00050 |
| 373.25 | 0.01 | 17.56 | 0.01 | 0.00762 | 0.00063 | 0.99238 | 0.00063 |
| 373.27 | 0.02 | 20.29 | 0.06 | 0.00678 | 0.00024 | 0.99322 | 0.00025 |
| 423.01 | 0.01 | 1.55 | 0.01 | 0.27129 | 0.01175 | 0.72871 | 0.01166 |
| 423.01 | 0.01 | 1.55 | 0.01 | 0.24613 | 0.01416 | 0.75387 | 0.01408 |
| 423.39 | 0.01 | 2.51 | 0.01 | 0.15648 | 0.00641 | 0.84352 | 0.00638 |
| 423.23 | 0.01 | 5.19 | 0.01 | 0.08907 | 0.00282 | 0.91093 | 0.00282 |
| 423.23 | 0.01 | 7.64 | 0.01 | 0.06089 | 0.00263 | 0.93911 | 0.00263 |
| 423.25 | 0.02 | 9.97 | 0.01 | 0.05784 | 0.00335 | 0.94216 | 0.00335 |
| 423.26 | 0.01 | 12.70 | 0.01 | 0.04426 | 0.00248 | 0.95574 | 0.00248 |
| 423.26 | 0.02 | 15.18 | 0.01 | 0.03558 | 0.00192 | 0.96442 | 0.00192 |
| 423.26 | 0.02 | 17.56 | 0.01 | 0.02868 | 0.00183 | 0.97132 | 0.00183 |
| 423.26 | 0.02 | 20.35 | 0.01 | 0.02606 | 0.00168 | 0.97394 | 0.00168 |
| Liquid Phase | Vapour Phase | ||||||||||||||||||
|---|---|---|---|---|---|---|---|---|---|---|---|---|---|---|---|---|---|---|---|
| T/K | u(T) | p/MPa | u(p) | x1 | u(x1) | x2 | u(x2) | x3 | u(x3) | T/K | u(T) | p/MPa | u(p) | y1 | u(x1) | y2 | u(x2) | y3 | u(x3) |
| 323.21 | 0.01 | 1.44 | 0.01 | 0.00170 | 0.00011 | 0.99827 | 0.00011 | 0.00003 | 0.00000 | 323.22 | 0.02 | 1.45 | 0.01 | 0.37463 | 0.01410 | 0.01015 | 0.00057 | 0.61522 | 0.01405 |
| 323.21 | 0.01 | 2.36 | 0.02 | 0.00270 | 0.00007 | 0.99721 | 0.00007 | 0.00009 | 0.00000 | 323.21 | 0.02 | 2.34 | 0.01 | 0.38050 | 0.01416 | 0.00634 | 0.00039 | 0.61316 | 0.01413 |
| 323.19 | 0.01 | 4.86 | 0.02 | 0.00457 | 0.00012 | 0.99526 | 0.00012 | 0.00017 | 0.00001 | 323.19 | 0.02 | 4.86 | 0.01 | 0.39579 | 0.01427 | 0.00376 | 0.00026 | 0.60044 | 0.01424 |
| 323.20 | 0.01 | 7.29 | 0.01 | 0.00624 | 0.00015 | 0.99352 | 0.00016 | 0.00023 | 0.00001 | 323.20 | 0.02 | 7.27 | 0.01 | 0.40599 | 0.01437 | 0.00300 | 0.00016 | 0.59101 | 0.01434 |
| 323.19 | 0.01 | 9.71 | 0.02 | 0.00763 | 0.00034 | 0.99208 | 0.00035 | 0.00029 | 0.00002 | 323.18 | 0.02 | 9.71 | 0.02 | 0.42363 | 0.01450 | 0.00186 | 0.00011 | 0.57451 | 0.01444 |
| 323.18 | 0.01 | 12.71 | 0.02 | 0.00881 | 0.00060 | 0.99085 | 0.00060 | 0.00034 | 0.00001 | 323.17 | 0.02 | 12.75 | 0.01 | 0.42779 | 0.01455 | 0.00177 | 0.00011 | 0.57044 | 0.01444 |
| 323.18 | 0.02 | 15.50 | 0.01 | 0.43245 | 0.01473 | 0.00188 | 0.00012 | 0.56567 | 0.01449 | ||||||||||
| 323.18 | 0.01 | 20.09 | 0.02 | 0.01260 | 0.00030 | 0.98679 | 0.00030 | 0.00061 | 0.00002 | 323.19 | 0.02 | 20.03 | 0.01 | 0.44026 | 0.01508 | 0.00185 | 0.00014 | 0.55789 | 0.01451 |
| 373.26 | 0.01 | 2.51 | 0.01 | 0.00174 | 0.00015 | 0.99819 | 0.00015 | 0.00007 | 0.00001 | 373.27 | 0.01 | 2.50 | 0.01 | 0.38941 | 0.01429 | 0.04366 | 0.00179 | 0.56693 | 0.01398 |
| 373.27 | 0.01 | 5.21 | 0.01 | 0.00366 | 0.00004 | 0.99615 | 0.00004 | 0.00019 | 0.00001 | 373.27 | 0.01 | 5.14 | 0.01 | 0.42016 | 0.01426 | 0.02032 | 0.00072 | 0.55952 | 0.01406 |
| 373.28 | 0.02 | 7.39 | 0.01 | 0.00503 | 0.00018 | 0.99467 | 0.00018 | 0.00030 | 0.00001 | 373.28 | 0.01 | 7.36 | 0.01 | 0.42944 | 0.01430 | 0.01692 | 0.00057 | 0.55364 | 0.01413 |
| 373.26 | 0.02 | 10.04 | 0.01 | 0.00645 | 0.00009 | 0.99314 | 0.00009 | 0.00041 | 0.00001 | 373.27 | 0.02 | 10.03 | 0.01 | 0.43615 | 0.01437 | 0.01446 | 0.00052 | 0.54939 | 0.01422 |
| 373.28 | 0.02 | 12.53 | 0.01 | 0.00765 | 0.00029 | 0.99181 | 0.00029 | 0.00054 | 0.00002 | 373.28 | 0.02 | 12.48 | 0.01 | 0.43873 | 0.01440 | 0.01226 | 0.00046 | 0.54902 | 0.01427 |
| 373.25 | 0.01 | 14.86 | 0.01 | 0.00828 | 0.00023 | 0.99110 | 0.00024 | 0.00063 | 0.00003 | 373.27 | 0.02 | 14.79 | 0.02 | 0.43837 | 0.01440 | 0.00960 | 0.00033 | 0.55203 | 0.01429 |
| 373.24 | 0.02 | 14.92 | 0.01 | 0.00821 | 0.00018 | 0.99118 | 0.00019 | 0.00061 | 0.00001 | 373.24 | 0.01 | 14.87 | 0.01 | 0.43752 | 0.01440 | 0.01087 | 0.00043 | 0.55161 | 0.01428 |
| 373.28 | 0.01 | 17.44 | 0.01 | 0.00902 | 0.00055 | 0.99024 | 0.00057 | 0.00074 | 0.00004 | 373.27 | 0.02 | 17.47 | 0.02 | 0.43964 | 0.01440 | 0.00871 | 0.00031 | 0.55165 | 0.01430 |
| 373.26 | 0.01 | 19.96 | 0.01 | 0.00972 | 0.00260 | 0.98941 | 0.00272 | 0.00087 | 0.00023 | 373.27 | 0.01 | 19.81 | 0.02 | 0.44095 | 0.01445 | 0.00905 | 0.00032 | 0.55000 | 0.01435 |
| 423.45 | 0.02 | 1.51 | 0.01 | 0.00062 | 0.00006 | 0.99936 | 0.00006 | 0.00002 | 0.00000 | 423.46 | 0.02 | 1.52 | 0.01 | 0.34918 | 0.01254 | 0.2668 | 0.00445 | 0.3841 | 0.01135 |
| 423.45 | 0.02 | 2.44 | 0.01 | 0.00122 | 0.00015 | 0.99873 | 0.00016 | 0.00005 | 0.00001 | ||||||||||
| 423.27 | 0.01 | 2.67 | 0.01 | 0.39535 | 0.01338 | 0.1803 | 0.00339 | 0.4244 | 0.01248 | ||||||||||
| 423.67 | 0.02 | 4.89 | 0.01 | 0.00253 | 0.00023 | 0.99728 | 0.00024 | 0.00019 | 0.00002 | ||||||||||
| 423.27 | 0.02 | 4.97 | 0.01 | 0.00284 | 0.00011 | 0.99694 | 0.00011 | 0.00022 | 0.00002 | 423.26 | 0.02 | 4.94 | 0.01 | 0.42967 | 0.01377 | 0.1115 | 0.00200 | 0.4588 | 0.01319 |
| 423.66 | 0.02 | 9.89 | 0.01 | 0.00533 | 0.00007 | 0.99427 | 0.00007 | 0.00040 | 0.00001 | 423.66 | 0.02 | 9.85 | 0.01 | 0.45373 | 0.01408 | 0.0680 | 0.00128 | 0.4783 | 0.01371 |
| 423.29 | 0.02 | 12.55 | 0.01 | 0.00644 | 0.00017 | 0.99304 | 0.00018 | 0.00052 | 0.00001 | 423.28 | 0.03 | 12.52 | 0.01 | 0.45747 | 0.01413 | 0.0572 | 0.00113 | 0.4853 | 0.01383 |
| 423.28 | 0.02 | 15.06 | 0.01 | 0.00729 | 0.00016 | 0.99210 | 0.00017 | 0.00062 | 0.00001 | 423.28 | 0.03 | 15.02 | 0.01 | 0.46251 | 0.01419 | 0.0478 | 0.00093 | 0.4897 | 0.01393 |
| 423.29 | 0.02 | 20.60 | 0.01 | 0.00926 | 0.00030 | 0.98990 | 0.00031 | 0.00084 | 0.00002 | 423.27 | 0.02 | 19.82 | 0.02 | 0.46937 | 0.01423 | 0.0419 | 0.00154 | 0.4887 | 0.01399 |
| 472.90 | 0.03 | 2.81 | 0.03 | 0.00080 | 0.00004 | 0.99914 | 0.00004 | 0.00005 | 0.00001 | 472.90 | 0.02 | 2.80 | 0.01 | 0.2772 | 0.01276 | 0.4170 | 0.01043 | 0.3058 | 0.01168 |
| 472.90 | 0.02 | 2.79 | 0.01 | 0.2402 | 0.01403 | 0.4953 | 0.01986 | 0.2644 | 0.01377 | ||||||||||
| 472.91 | 0.02 | 4.87 | 0.02 | 0.00210 | 0.00012 | 0.99768 | 0.00012 | 0.00022 | 0.00002 | 472.92 | 0.03 | 4.88 | 0.01 | 0.3487 | 0.01401 | 0.2701 | 0.01060 | 0.3812 | 0.01316 |
| 472.91 | 0.03 | 9.63 | 0.03 | 0.00487 | 0.00010 | 0.99465 | 0.00011 | 0.00048 | 0.00002 | 472.92 | 0.02 | 9.58 | 0.01 | 0.4065 | 0.03015 | 0.1539 | 0.00818 | 0.4395 | 0.03046 |
| 472.91 | 0.02 | 15.33 | 0.02 | 0.00765 | 0.00016 | 0.99129 | 0.00017 | 0.00106 | 0.00005 | 472.93 | 0.03 | 15.34 | 0.01 | 0.3997 | 0.02187 | 0.1307 | 0.00529 | 0.4695 | 0.02167 |
| 472.93 | 0.03 | 20.12 | 0.03 | 0.00955 | 0.00039 | 0.98916 | 0.00040 | 0.00129 | 0.00002 | 472.92 | 0.02 | 20.11 | 0.01 | 0.3918 | 0.02897 | 0.1240 | 0.01023 | 0.4842 | 0.02890 |
| Component | Tc/K | pc/MPa | ω |
|---|---|---|---|
| CO2 | 304.13 | 7.3773 | 0.22394 |
| H2O | 647.10 | 22.064 | 0.3443 |
| N2 | 126.19 | 3.3958 | 0.0372 |
| Group | νk* | Sk | NST,k | nH,k | ne1,k | ne2,k | Ref. | ||||||
|---|---|---|---|---|---|---|---|---|---|---|---|---|---|
| CO2 | 2 | 0.8468 | 3.0500 | 26.408 | 5.055 | 207.89 | 2 | 1 | 1 | [50] | |||
| H2O | 1 | 1.0000 | 3.0063 | 17.020 | 6.000 | 266.68 | 2 | 2 | 2 | 1985.4 | 101.69 | [73] | |
| N2 | 2 | 0.7101 | 3.1779 | 10.1087 | 6.000 | 73.64 | - | - | - | - | This work |
| Property | N | Range T/K | 102·ΔAARD | 102·ΔAARD | Ref |
|---|---|---|---|---|---|
| SAFT-γ Mie | Helmholtz-Eos | ||||
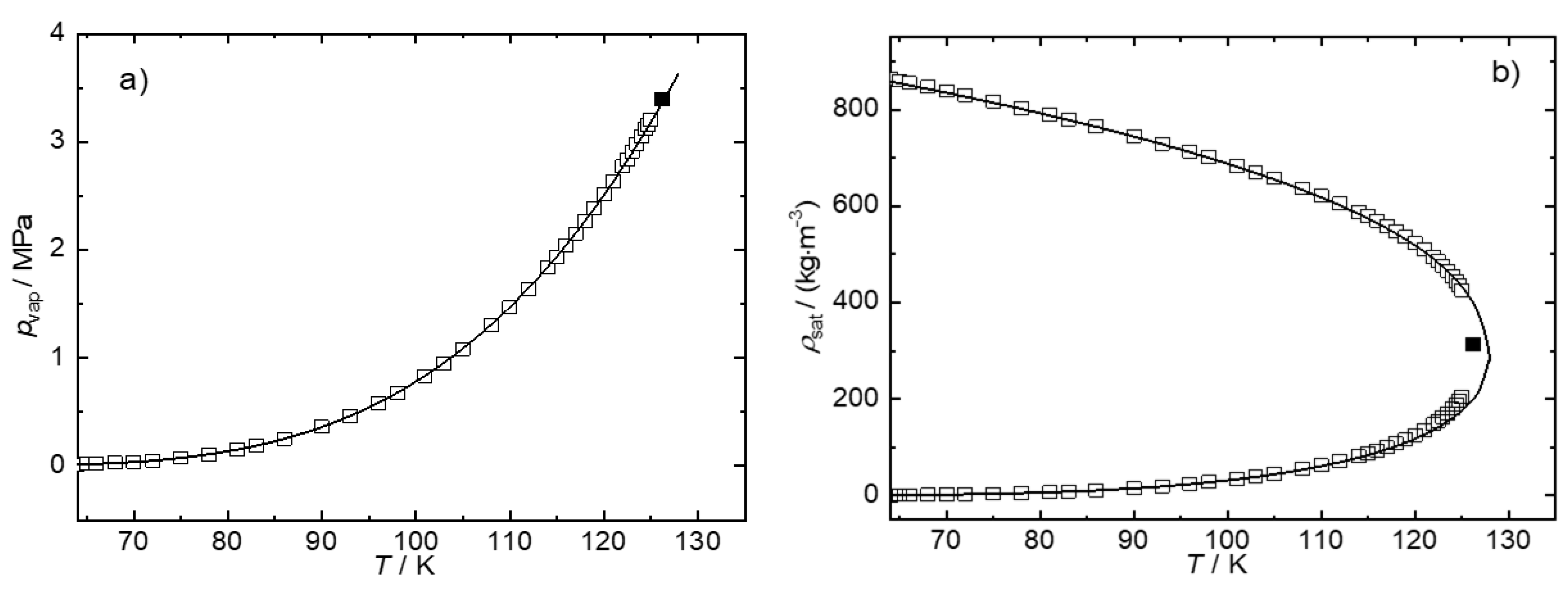
| pvap | 43 | 64–126 | 0.39 | 0.0031 | [75] |
| ρsat | 43 | 64–126 | 0.50 | 0.0028 | [75] |
| ρ | 165 | 313–393 | 0.80 | 0.81 | [80] |
| cp | 33 | 100–270 | 17.6 | 2.12 | [81] |
| Group, k | Group l | Site a of Group k | Site b of Group l | Ref | ||||
|---|---|---|---|---|---|---|---|---|
| CO2 | H2O | 226.38 | CR | H | e | 1398.1 | 91.419 | [50] |
| H2O2 | N2 | 126.59 | CR | This work | ||||
| CO2 | N2 | 151.90 | 20.27 | This work |
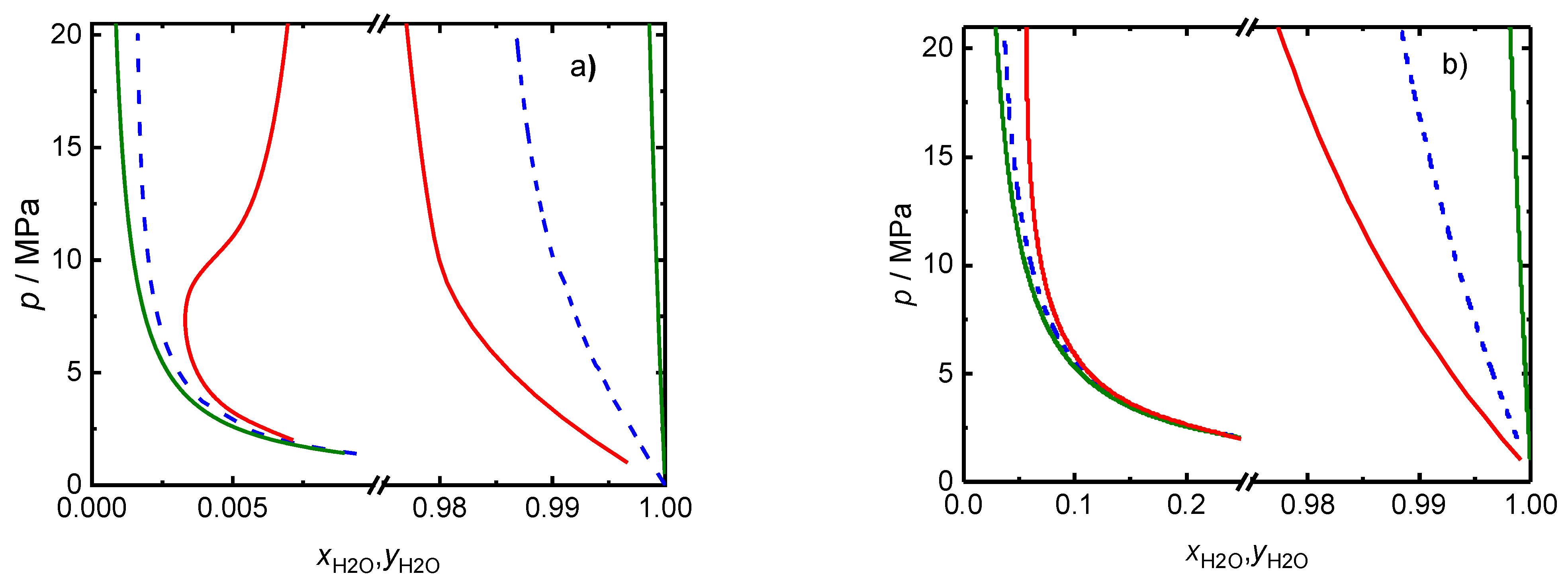
| System | N | Range T/K | ΔAADx | ΔAADy | ||
|---|---|---|---|---|---|---|
| SAFT-γ Mie | γ-φ Model | SAFT-γ Mie | γ-φ Model | |||
| CO2 + N2 | 68 | 218–288 | 0.017 | - | 0.023 | - |
| H2O + N2 | 50 | 323–423 | 0.00014 | 0.00005 | 0.008 | 0.014 |
| CO2 + H2O + N2 | 30 | 323–473 | 0.0004 | 0.0006 | 0.011 | 0.013 |
Publisher’s Note: MDPI stays neutral with regard to jurisdictional claims in published maps and institutional affiliations. |
© 2022 by the authors. Licensee MDPI, Basel, Switzerland. This article is an open access article distributed under the terms and conditions of the Creative Commons Attribution (CC BY) license (https://creativecommons.org/licenses/by/4.0/).
Share and Cite
Sanchez-Vicente, Y.; Trusler, J.P.M. Measurements and Modelling of Vapour–Liquid Equilibrium for (H2O + N2) and (CO2 + H2O + N2) Systems at Temperatures between 323 and 473 K and Pressures up to 20 MPa. Energies 2022, 15, 3936. https://doi.org/10.3390/en15113936
Sanchez-Vicente Y, Trusler JPM. Measurements and Modelling of Vapour–Liquid Equilibrium for (H2O + N2) and (CO2 + H2O + N2) Systems at Temperatures between 323 and 473 K and Pressures up to 20 MPa. Energies. 2022; 15(11):3936. https://doi.org/10.3390/en15113936
Chicago/Turabian StyleSanchez-Vicente, Yolanda, and J. P. Martin Trusler. 2022. "Measurements and Modelling of Vapour–Liquid Equilibrium for (H2O + N2) and (CO2 + H2O + N2) Systems at Temperatures between 323 and 473 K and Pressures up to 20 MPa" Energies 15, no. 11: 3936. https://doi.org/10.3390/en15113936
APA StyleSanchez-Vicente, Y., & Trusler, J. P. M. (2022). Measurements and Modelling of Vapour–Liquid Equilibrium for (H2O + N2) and (CO2 + H2O + N2) Systems at Temperatures between 323 and 473 K and Pressures up to 20 MPa. Energies, 15(11), 3936. https://doi.org/10.3390/en15113936
