Research on Prediction Method of Volcanic Rock Shear Wave Velocity Based on Improved Xu–White Model
Abstract
:1. Introduction
2. Fundamental Principles
2.1. Geological Characteristics of Volcanic Reservoir
2.2. Shear Wave Prediction Method Based on Han’s Empirical Formula
2.3. Shear Wave Prediction Method Based on the Xu–White Model
2.4. Shear Wave Prediction Method Based on the Improved Xu–White Model
3. Prediction of Shear Wave Velocities in Actual Volcanic Reservoirs
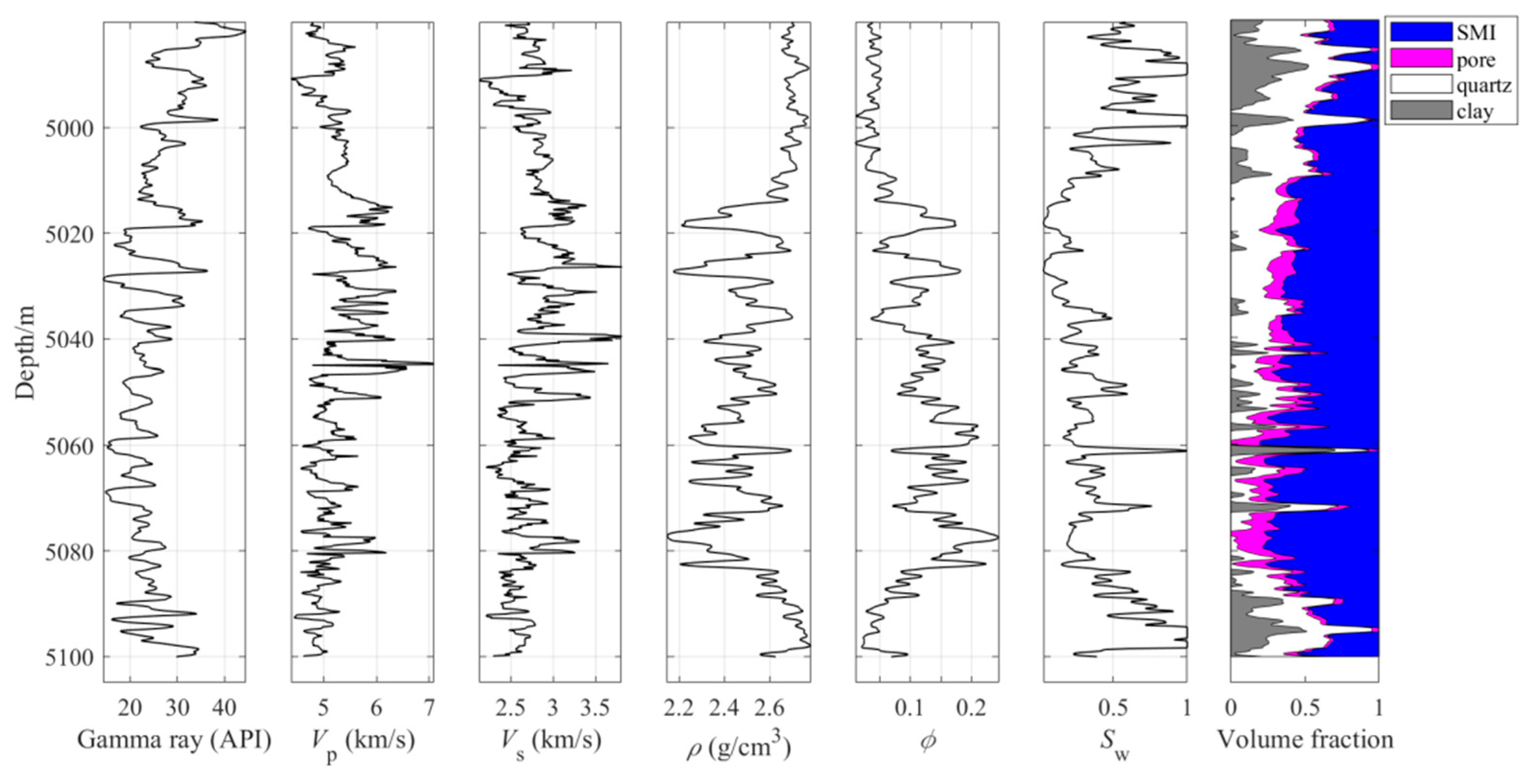
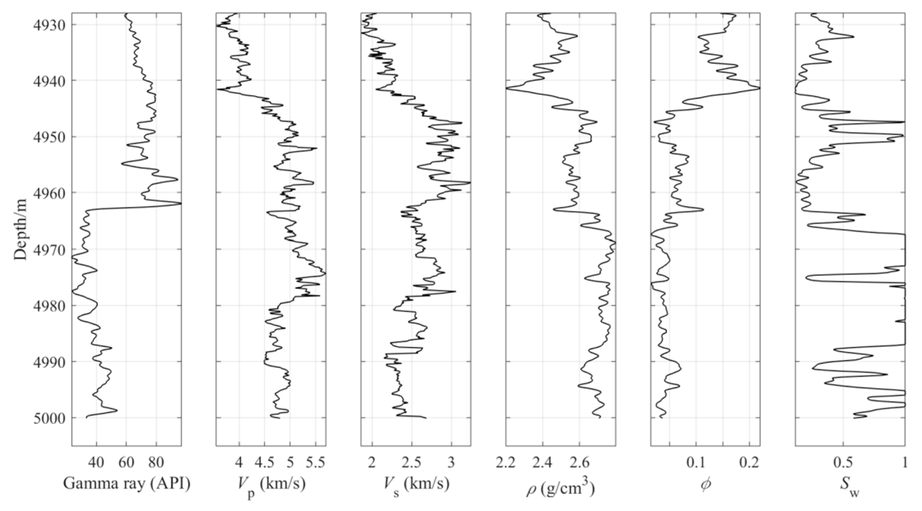
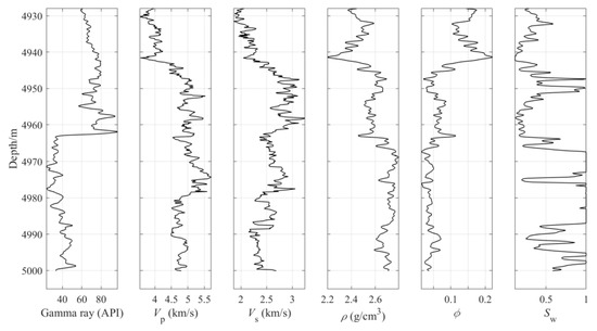
3.1. Field Well Log Data
3.2. Shear Wave Velocity Prediction Process
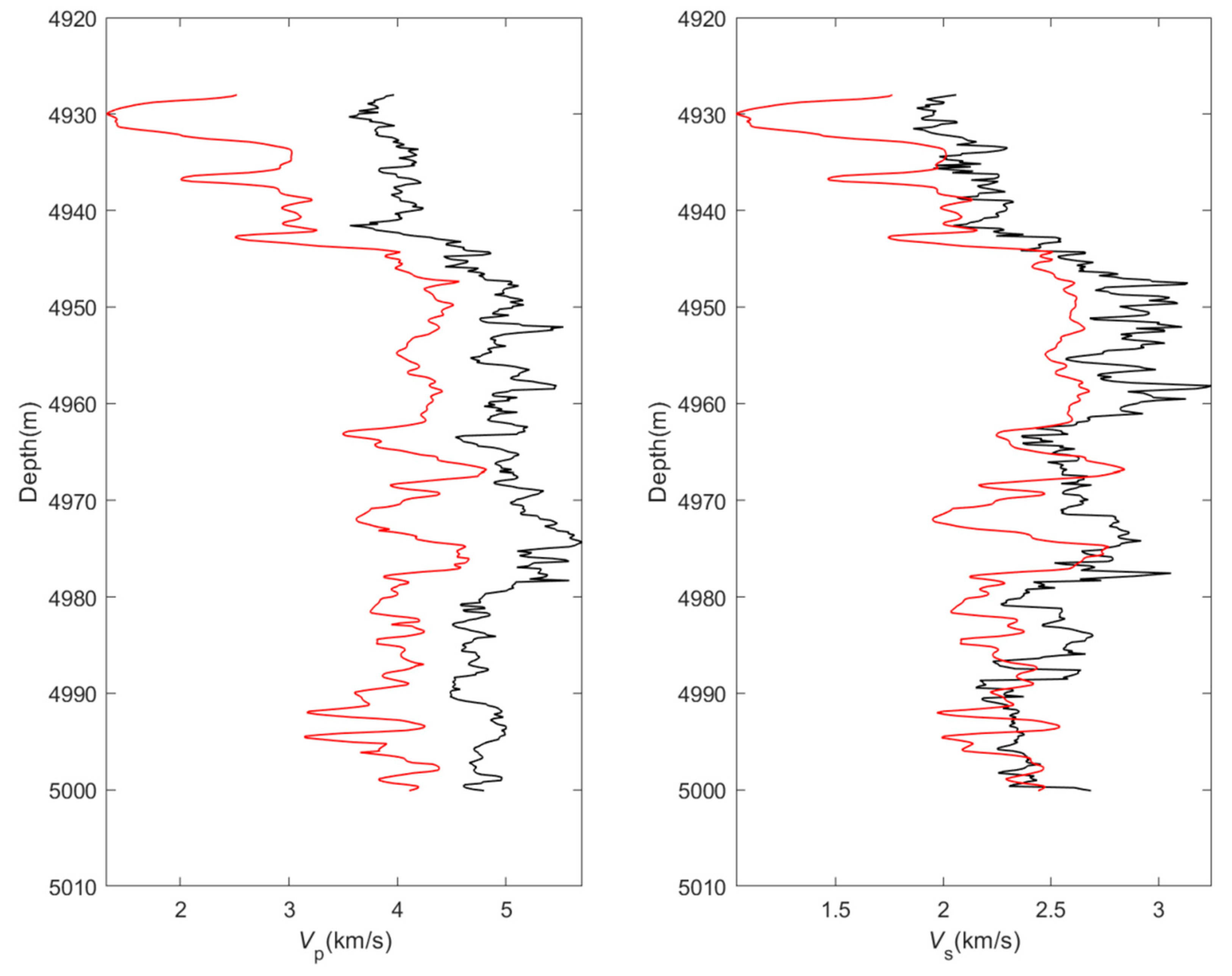
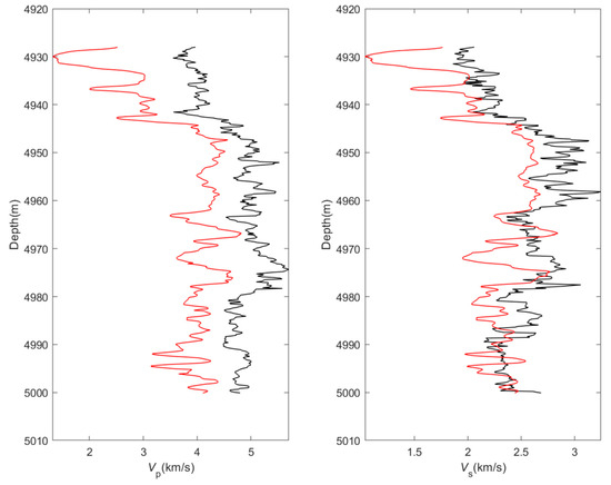
3.3. Results and Discussion
4. Conclusions
Author Contributions
Funding
Data Availability Statement
Conflicts of Interest
References
- Hunter, B.E.; Davies, D.K. Distribution of volcanic sediments in the Golf coastal Province-significance to petroleum geology. Gcags Trans. 1979, 29, 147–155. [Google Scholar]
- Hawlader, H.M. Diagenesis and reservoir potential of volcanogenic sandstones—Cretaceous of the Surat Basin, Australia. Sediment. Geol. 1990, 66, 181–195. [Google Scholar] [CrossRef]
- Mathisen, M.E.; Mcpherson, J.G. Volcaniclastic deposits: Implications for hydrocarbon exploration. Sediment. Volcan. Settings Soc. Sediment. Geol. 1991, 45, 20–27. [Google Scholar]
- Zimmermann, G.; Burkhardt, H.; Melchert, M. Estimation of porosity in crystalline rock by a multivariate statistical approach. Sci. Drill. Geophys. Geochem. Technol. 1992, 3, 27–35. [Google Scholar]
- Chunde, Y.; Huilong, Y.; Fangquan, Y.; Gianfu, W. Pores Development and Reservoir Properties of Volcanic Rocks in Jianghan Basin. J. Jianghan Pet. Inst. 1996, 18, 1–6. [Google Scholar]
- Jinglan, L.; Zhihao, Q.; Wei, S.; Fazhan, S. The relations between lithofacies, reservoir lithology and oil and gas of volcanic rocks in Fenghuadian area. Acta Pet. Sin. 1996, 17, 32–39. [Google Scholar]
- Li, Y.H. Diabase and Hydrocarbon Reservoir Formation on the Northern Slope of Gaoyou Sag. J. Geomech. 2000, 6, 17–22. [Google Scholar]
- Zhao, H.; Cheng, D.; Li, L. Rock physics analysis of deep volcanic rocks in Daqing oilfield. In Proceedings of the Beijing 2009 International Geophysical Conference and Exposition, Beijing, China, 24–27 April 2009; Society of Exploration Geophysicists: Housten, TX, USA, 2009; p. 196. [Google Scholar]
- Castagna, J.P.; Batzle, M.L.; Eastwood, R.L. Relationships between compressional-wave and shear-wave velocities in clastic silicate rocks. Geophysics 1985, 50, 571–581. [Google Scholar] [CrossRef]
- Han, D.H. Effects of porosity and clay content on wave velocities in sandstones. Geophysics 1986, 51, 2093. [Google Scholar] [CrossRef]
- Li, Q. Velocity regularities of P and S-waves in formations. Oil Geophys. Prospect. 1992, 27, 1–12+154. (In Chinese) [Google Scholar]
- Greenberg, M.L.; Castagna, J.P. Shear-wave velocity estimation in porous rocks—Theoretical formulation, preliminary verification and applications. Geophys. Prospect. 1992, 40, 195–209. [Google Scholar] [CrossRef]
- Yan, J.; Li, X.Y.; Enru, L. Effects of pore aspect ratios on velocity prediction from well-log data. Geophys. Prospect. 2002, 50, 289–300. [Google Scholar] [CrossRef]
- Vernik, L.; Castagna, J.; Omovie, S.J. S-wave velocity prediction in unconventional shale reservoirs. Geophysics 2018, 83, MR35–MR45. [Google Scholar] [CrossRef]
- Sohail, G.M.; Hawkes, C.D. An evaluation of empirical and rock physics models to estimate shear wave velocity in a potential shale gas reservoir using wireline logs. J. Pet. Sci. Eng. 2019, 185, 106666. [Google Scholar] [CrossRef]
- Berryman, J.G. Long-wavelength propagation in composite elastic media. J. Acoust. Soc. Am. 1980, 68, 1820–1831. [Google Scholar] [CrossRef]
- Xu, S.; White, R.E. A new velocity model for clay-sand mixtures. Geophys. Prospect. 1995, 43, 91–118. [Google Scholar] [CrossRef]
- Xu, S.; White, R.E. A physical model for shear-wave velocity prediction. Geophys. Prospect. 1996, 44, 687–717. [Google Scholar] [CrossRef]
- Keys, R.G.; Xu, S. An approximation for the Xu-White velocity model. Geophysics 2002, 67, 1406–1414. [Google Scholar] [CrossRef]
- Lee, M.W. A simple method of predicting S-wave velocity. Geophysics 2006, 71, F161–F164. [Google Scholar] [CrossRef]
- Ruiz, F.; Dvorkin, J. Predicting elasticity in nonclastic rocks with a differential effective medium model. Geophysics 2010, 75, E41–E53. [Google Scholar] [CrossRef]
- Bai, J.Y.; Song, Z.X.; Su, L.; Yang, W.G.; Zhu, L.Y.; Li, S.J. Error analysis of shear-velocity prediction by the Xu-White model. Chin. J. Geophys. 2012, 55, 589–595. (In Chinese) [Google Scholar]
- Zhang, B.; Liu, C.; Zhiqi, G.; Liu, X.; Liu, Y. Probabilistic reservoir parameters inversion for anisotropic shale using a statistical rock physics model. Chin. J. Geophys. 2018, 61, 2601–2617. (In Chinese) [Google Scholar]
- Pan, B.; Xue, L.; Huang, B.; Yan, G.; Zhang, L. Evaluation of volcanic reservoirs with the “QAPM mineral model” using a genetic algorithm. Appl. Geophys. 2008, 5, 1–8. [Google Scholar] [CrossRef]
- Lihua, Z. Study on Methods of Evaluating Igneous Reservoir by Logging. Ph.D. Thesis, Jinlin University, Changchun, China, 2009. [Google Scholar]
- Zhang, L.H.; Pan, B.Z.; Shan, G.Y.; Lin, F.W.; Liu, D.F. Volcanic Alteration of Nanpu-5 Structure in Bohai Bay Basin Effects on the Physical Property of Reservoir and Lower Limits of Physical Property. Geol. Resour. 2020, 29, 351–356. [Google Scholar]
- Jianwei, W.; Jingxia, D.; Yongchao, Z.; Quanli, W.; Shu’E, Z. The geological conditions, resource potential and exploration direction in Nanpu Sag of Jidong Depression, Bohai Bay Basin. Mar. Orig. Pet. Geol. 2019, 24, 8. [Google Scholar]
- Xu, M.; Yin, X.; Zong, Z.; Li, H. Rock-Physics Model of Volcanic Rocks, an Example from Junggar Basin of China. In Proceedings of the 80th EAGE Conference and Exhibition 2018, Copenhagen, Denmark, 11–14 June 2018. [Google Scholar]
- Xu, M.; Yin, X.; Zong, Z.; Li, H. Rock-Physics Model of Volcanic Rocks, an Example from Junggar Basin of China. J. Pet. Sci. Eng. 2020, 195, 107003. [Google Scholar] [CrossRef]
- Gassmann, F. Elastic waves through a packing of spheres. Geophysics 1951, 16, 673–685. [Google Scholar] [CrossRef]
- Hill, R. The Elastic Behaviour of a Crystalline Aggregate. Proc. Phys. Soc. 1952, 65, 349–354. [Google Scholar] [CrossRef]
- Wood, A.B.; Lindsay, R.B. A textbook of sound. Phys. Today 1956, 9, 37. [Google Scholar] [CrossRef]
- Grana, D.; Della Rossa, E. Probabilistic petrophysical-properties estimation integrating statistical rock physics with seismic inversion. Geophysics 2010, 75, O21–O37. [Google Scholar] [CrossRef]
- Bai, J.Y.; Yue, C.Q.; Liang, Y.Q.; Song, Z.X.; Ling, S.; Zhang, Y.; Wu, W. Variable aspect ratio method in the Xu-White model for shear-wave velocity estimation. J. Geophys. Eng. 2013, 10, 035008. [Google Scholar] [CrossRef]
- Zhang, B.; Jin, S.; Liu, C.; Guo, Z.; Liu, X. Prediction of shear wave velocity based on a statistical rock-physics model and Bayesian theory. J. Pet. Sci. Eng. 2020, 195, 107710. [Google Scholar] [CrossRef]
- Bachrach, R. Joint Estimation of Porosity and Saturation Using Stochastic Rock Physics Modeling. Geophysics 2006, 71, O53–O63. [Google Scholar] [CrossRef]
- Yuan, C.; Li, J.; Chen, X.; Rao, Y. Quantitative uncertainty evaluation of seismic facies classification: A case study from northeast China. Geophysics 2016, 81, B87–B99. [Google Scholar] [CrossRef]
- Pillar, N.; Yan, J.; Lubbe, R. Variable Aspect Ratio Method in the Xu-White Model for AVO. In Proceedings of the 69th EAGE Conference and Exhibition Incorporating SPE EUROPEC; European Association of Geoscientists & Engineers: London, UK, 2007; p. cp-27. [Google Scholar]
- Mollajan, A.; Memarian, H.; Quintal, B. Imperialist Competitive Algorithm (ICA) optimization method for nonlinear AVA inversion. Geophysics 2019, 84, N81–N92. [Google Scholar] [CrossRef]
- Liu, C.; Qiao, H.Q.; Guo, Z.Q.; Zhang, B.; Liu, X.W. Shale pore structure inversion and shear wave velocity prediction based on particle swarm optimization (pso) algorithm. Prog. Geophys. 2017, 32, 689–695. [Google Scholar]
- Qiao, H.Q. Shear Wave Velocity Prediction Method Based on Improved Particle Swarm Algorithm; Jilin University: Changchun, China, 2017. [Google Scholar]
- Zhu, X.J. Research on Logging Identification and Evaluation of Deep Volcanic Reservoirs in Nanpu 5th Structure; School of Geosciences China University of Petroleum (East China): Qingdao, China, 2011. [Google Scholar]
- Mavko, G.; Mukerji, T.; Dvorkin, J. The Rock Physics Handbook: Tools for Seismic Analysis of Porous Media, 2nd ed.; Cambridge University Press: Cambridgeshire, UK, 2009; p. 339. [Google Scholar]







| Bulk Modulus (GPa) | Shear Modulus (GPa) | Density (g/cm3) | |
|---|---|---|---|
| Quartz | 37.9 | 44.3 | 2.65 |
| SMI | 37.5 | 15 | 2.62 |
| Clay | 25 | 9 | 2.55 |
| Gas | 0.336 | – | 0.34 |
| Water | 2.2 | – | 1.4 |
| Model | MSE of Vp | MSE of Vs | r of Vp | r of Vs |
|---|---|---|---|---|
| Han Model | 0.060199 | 0.12804 | 0.70823 | 0.70995 |
| Xu–White Model | 0.21499 | 0.11607 | 0.80821 | 0.73465 |
| Improved Xu–White Model | 0.05241 | 0.061259 | 0.84713 | 0.74737 |
Publisher’s Note: MDPI stays neutral with regard to jurisdictional claims in published maps and institutional affiliations. |
© 2022 by the authors. Licensee MDPI, Basel, Switzerland. This article is an open access article distributed under the terms and conditions of the Creative Commons Attribution (CC BY) license (https://creativecommons.org/licenses/by/4.0/).
Share and Cite
Qiao, H.; Zhang, B.; Liu, C. Research on Prediction Method of Volcanic Rock Shear Wave Velocity Based on Improved Xu–White Model. Energies 2022, 15, 3611. https://doi.org/10.3390/en15103611
Qiao H, Zhang B, Liu C. Research on Prediction Method of Volcanic Rock Shear Wave Velocity Based on Improved Xu–White Model. Energies. 2022; 15(10):3611. https://doi.org/10.3390/en15103611
Chicago/Turabian StyleQiao, Hanqing, Bing Zhang, and Cai Liu. 2022. "Research on Prediction Method of Volcanic Rock Shear Wave Velocity Based on Improved Xu–White Model" Energies 15, no. 10: 3611. https://doi.org/10.3390/en15103611
APA StyleQiao, H., Zhang, B., & Liu, C. (2022). Research on Prediction Method of Volcanic Rock Shear Wave Velocity Based on Improved Xu–White Model. Energies, 15(10), 3611. https://doi.org/10.3390/en15103611

