Quantitative Characterization of Excess Pressure Gradient in the Upper Interval of Es4 Member of Dongying Depression and Its Indicative Significance for Oil Migration and Accumulation
Abstract
1. Introduction
2. Geological Setting
3. Samples and Methods
3.1. Samples and Carbazole Analysis
3.2. Homogenization Temperature of Oil and Aqueous Inclusions
3.3. Drill-Stem Test Data
3.4. Excess Pressure Prediction Using Well Log Data
3.5. Excess Pressure Gradient
4. Results and Discussions
4.1. Drill Stem Tests
4.2. Excess Pressure
4.2.1. Well-Log Responses to Overpressure
4.2.2. Distribution of Excess Pressure
4.3. Distribution of Excess Pressure Gradient
4.4. Indicative Significance for Oil Migration and Accumulation
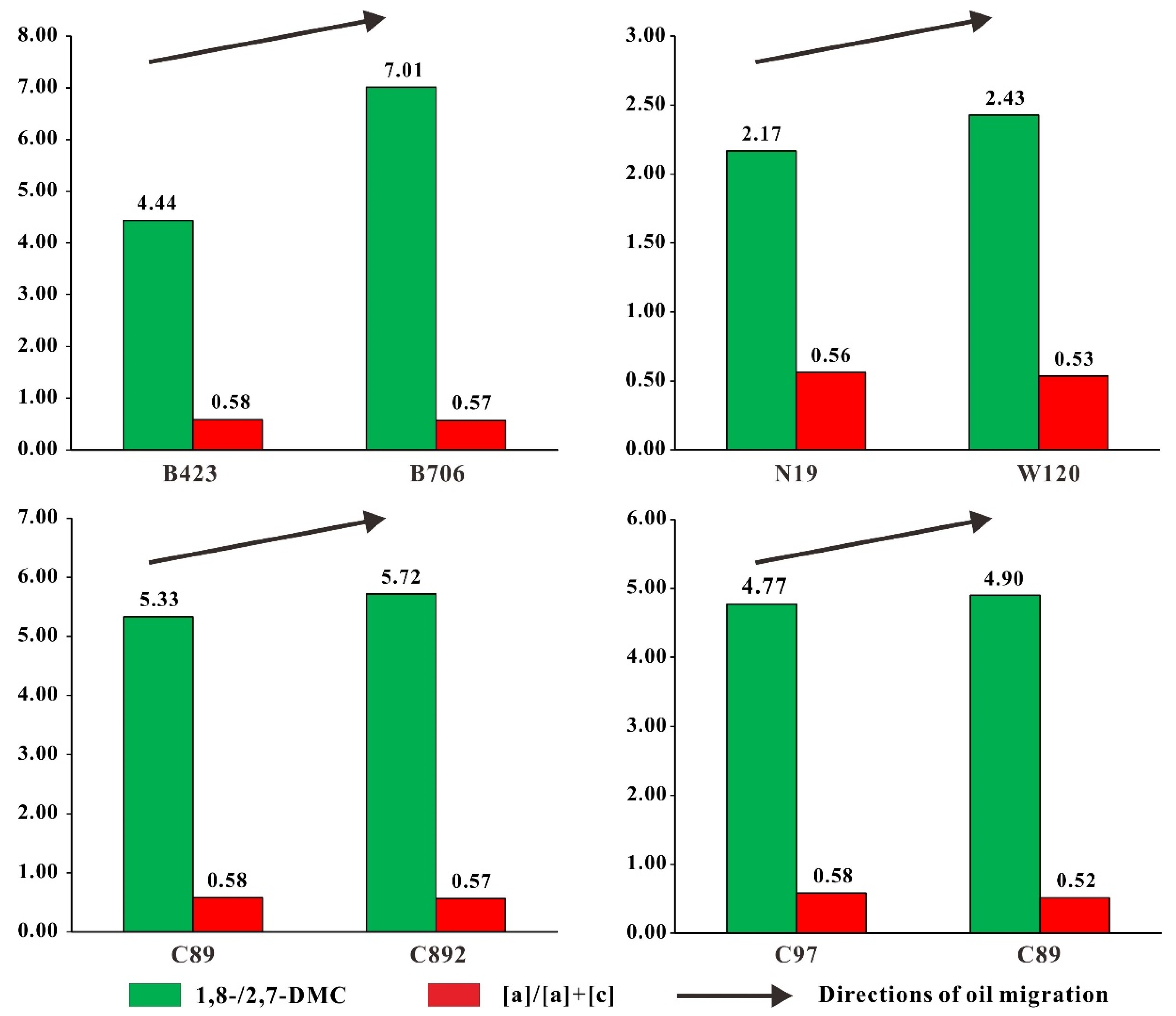
4.4.1. The Excess Pressure Gradient Indicates the Direction of Oil Migration
4.4.2. Driven Force of Oil Migration
5. Conclusions
- (1)
- The measured excess pressure in the Es4s member ranges from 5.65 MPa to 30.93 MPa. The results of overpressure prediction show that the overpressure in the Es4s member is mainly distributed in the Lijin Sag, Minfeng Sag, and Niuzhuang Sag, and the excess pressure ranges from 5 MPa to 30 MPa, while the excess pressure in the Boxing Sag is mainly less than 15 MPa.
- (2)
- The new method can calculate the values and the directions of the excess pressure gradient. The values of the excess pressure gradient in the Es4s member of the Dongying Depression present as “low-high-low” from the sag area to the periphery of the depression. The directions of the excess pressure gradient are consistent with the directions of oil migration indicated by the ratio of carbazole compounds, which suggests that the directions of the excess pressure gradient can be used to trace oil migration and accumulation.
- (3)
- The oil migration in overpressured areas is driven by excess pressure. With the excess pressure decreasing, the net buoyancy kicks gradually in the high-excess-pressure-gradient areas. Before the net buoyancy overcomes the capillary resistance and drives the oil migration, the oil will continue accumulating at the reservoir until the oil column provides enough net buoyancy to overcome the capillary resistance.
- (4)
- The distribution of the excess pressure gradient in the Es4s formation in the study area has a good matching relationship with the distribution of the oil field. The oil from the Es4s source rock is mainly distributed in the areas with a high excess pressure gradient or areas with a low excess pressure gradient and low excess pressure (area II).
Author Contributions
Funding
Institutional Review Board Statement
Informed Consent Statement
Data Availability Statement
Acknowledgments
Conflicts of Interest
References
- Guo, X.W.; He, S.; Liu, K.Y.; Song, G.Q.; Wang, X.J.; Shi, Z.S. Oil generation as the dominant overpressure mechanism in the Cenozoic Dongying Depression, Bohai Bay Basin, China. Am. Assoc. Pet. Geol. Bull. 2010, 94, 1859–1881. [Google Scholar] [CrossRef]
- Lahann, R.W. Gulf of Mexico overpressure and clay diagenesis without unloading: An anomaly? Am. Assoc. Pet. Geol. Bull. 2017, 101, 1859–1877. [Google Scholar] [CrossRef]
- Liu, J.; Liu, T.; Liu, H.; He, L.; Zheng, L. Overpressure caused by hydrocarbon generation in the organic-rich shales of the Ordos Basin. Mar. Pet. Geol. 2021, 134, 105349. [Google Scholar] [CrossRef]
- Hunt, J.M. Generation and migration of petroleum from abnormally pressured fluid compartments. Am. Assoc. Pet. Geol. Bull. 1990, 74, 1–12. [Google Scholar] [CrossRef]
- Zhang, F.Q.; Kor, T.; Yan, J.Z. Oil secondary migration simulation in tight reservoir and fingering factors analysis. J. Pet. Sci. Eng. 2022, 209, 109969. [Google Scholar] [CrossRef]
- Yang, H.; Fu, J.H.; Liu, X.S.; Liu, X.S.; Meng, P.L. Accumulation conditions and exploration and development of tight gas in the Upper Paleozoic of the Ordos Basin. Pet. Explor. Dev. 2012, 39, 295–303. [Google Scholar] [CrossRef]
- Bethke, C.M.; Reed, J.D.; Oltz, D.F. Long-range petroleum migration in the Illinois Basin. Am. Assoc. Pet. Geol. Bull. 1991, 75, 925–945. [Google Scholar] [CrossRef]
- Schegg, R.; Cornford, C.; Leu, W. Migration and accumulation of hydrocarbons in the Swiss Molasse Basin: Implications of a 2D basin modeling study. Mar. Pet. Geol. 1999, 16, 511–531. [Google Scholar] [CrossRef]
- Hubbert, M.K.; Rubey, W.W. Role of fluid pressure in mechanics of overthrust faulting: I. Mechanics of fluid-filled porous solids and its application to overthrust faulting. Geol. Soc. Am. Bull. 1959, 70, 115–166. [Google Scholar] [CrossRef]
- Feng, Y.L.; Liu, H.; Song, G.Q.; Yuan, F.F. Calculation and application of plane pressure decrease gradient. Pet. Geol. Exp. 2019, 41, 598–605. [Google Scholar]
- Liu, H.; Li, J.; Feng, Y.L.; Hao, X.F.; Lin, H.M.; Yuan, F.F. Relationship between excess pressure gradient and hydrocarbon distribution in the 3rd member of Shahejie Formation in Bonan Sag, Bohai Bay Basin. Oil Gas Geol. 2020, 41, 1083–1091. [Google Scholar] [CrossRef]
- Hao, X.F. Overpressure genesis and evolution of sanstone reservoirs in the 3rd and 4th members of Shahejie Formation, the Dongying Depression. Oil Gas Geol. 2013, 34, 167–173. [Google Scholar] [CrossRef]
- Qiu, Y.B. Pressure system and oil/gas reservoir forming in Dongying Sag. Spec. Oil Gas Reserv. 2015, 22, 58–61. [Google Scholar] [CrossRef]
- Wang, Y.S.; Qiu, Y.B. Overpressure structure dissimilarity and its controlling factors in the Jiyang Depression. Oil Gas Geol. 2017, 38, 430–437. [Google Scholar]
- Feng, Y.Q.; Li, S.T.; Lu, Y.C. Sequence stratigraphy and architectural variability in late Eocene lacustrine strata of the Dongying Depression, Bohai Bay Basin, eastern China. Sediment. Geol. 2013, 295, 1–26. [Google Scholar] [CrossRef]
- Chen, Z.H.; Huang, W.; Liu, Q.; Zhang, L.Y.; Zhang, S.C. Geochemical characteristics of the Paleogene shales in the Dongying Depression, eastern China. Mar. Pet. Geol. 2016, 73, 249–270. [Google Scholar] [CrossRef]
- Zhang, L.Y.; Liu, Q.; Zhu, R.F.; Lu, X.C. Source rocks in Mesozoic–Cenozoic continental rift basins, east China: A case from Dongying Depression, Bohai Bay Basin. Org. Geochem. 2009, 40, 229–242. [Google Scholar] [CrossRef]
- Qiu, N.S.; Jin, Z.J.; Hu, W.X. Study on the hydrocarbon charge history in Dongying Depression by evidence from fluid inclusion. J. Univ. Pet. 2000, 24, 95–103. [Google Scholar]
- Guo, X.W.; Chen, J.X.; Yuan, S.Q.; He, S.; Zhao, J.X. Constraint of in-situ calcite U-Pb dating by laser ablation on geochronology of hydrocarbon accumulation in petroliferous basins: A case study of Dongying sag in the Bohai Bay Basin. Acta Pet. Sin. 2020, 41, 284–291. [Google Scholar]
- Jiang, Y.L.; Liu, H.; Zhang, L.; Tan, L.J.; Wang, N. Analysis of petroleum accumulation phase in Dongying Sag. Oil Gas Geol. 2003, 24, 215–259. [Google Scholar] [CrossRef]
- Zhu, G.Y.; Jin, Q.; Dai, J.X.; Zhang, S.C.; Guo, C.C.; Zhang, L.Y.; Li, J. A study on periods of hydrocarbon accumulation and distribution pattern of oil and gas pools in Dongying Depression. Oil Gas Geol. 2004, 25, 209–216. [Google Scholar] [CrossRef]
- Bao, X.H.; Hao, F.; Fang, Y. Evolution of geopressure field in Niuzhuang sag in Dongying Depression and its effect on petroleum accumulation. Earth Sci.-J. China Univ. Geosci. 2007, 32, 241–246. [Google Scholar] [CrossRef]
- Li, M.W.; Larter, S.R.; Stoddart, D.; Bjoroey, M. Liquid chromatographic separation schemes for pyrrole and pyridine nitrogen aromatic heterocycle fractions from crude oils suitable for rapid characterization of geochemical samples. Anal. Chem. 1992, 64, 1337–1344. [Google Scholar] [CrossRef]
- Bowers, G.L. Pore pressure estimation from velocity data: Accounting for overpressure mechanisms besides undercompaction. SPE Drill. Completion 1995, 10, 89–95. [Google Scholar] [CrossRef]
- Wang, M.; Chen, Y.; Bain, W.M.; Song, G.Q.; Liu, K.Y.; Zhou, Z.; Steele-Maclnnis, M. Direct evidence for fluid overpressure during hydrocarbon generation and expulsion from organic-rich shales. Geology 2020, 48, 374–378. [Google Scholar] [CrossRef]
- Wang, B.J. Overpressure Distribution and Evolution, Dynamical Mechanism of Oil and Gas, Dongying Depression. Ph.D. Thesis, China University of Geosciences, Wuhan, China, 2012. [Google Scholar]
- Zhang, Y.S.; Lv, D.W.; Wang, Y.; Liu, H.Y.; Song, G.Z.; Gao, J. Geological characteristics and abnormal pore pressure prediction in shale oil formations of the Dongying Depression, China. Energy Sci. Eng. 2020, 8, 1962–1979. [Google Scholar] [CrossRef]
- Eaton, B.A. Graphical Method Predicts Geopressures Worldwide; World Oil: Houston, TX, USA, 1976; Volume 183. [Google Scholar]
- Luo, S.Y.; He, S.; Song, G.Q.; Wang, Y.S.; Hao, X.F.; Jin, Q.Y. Formation pressure prediction in Bonan Sag. Oil Geophys. Prospect. 2014, 49, 349–359. [Google Scholar]
- Larter, S.R.; Bowler, B.F.J.; Li, M.; Chen, M.; Brincat, D.; Noke, K.; Domohoe, P.; Simmons, D.; Kohnen, M.; Allan, J.; et al. Molecular indicators of secondary oil migration distances. Nature 1996, 383, 593–597. [Google Scholar] [CrossRef]
- Wang, T.G.; Li, S.M.; Zhang, A.Y.; Zhang, A.Y.; Zhu, L.; Li, B.H.; Zhou, Y.B. Oil Migration Analysis with Pyrrolicnitrogen Compounds. J. Univ. Pet. 2000, 24, 83–86. [Google Scholar]
- Chen, J.X.; Guo, X.W.; Han, Y.J.; He, S.; Wang, Y.S.; Wang, X.J.; Zhao, W. Combination of basin modelling and carbazoles to investigate secondary oil migration pathways in the Dongying Depression of the Bohai Bay Basin, China. Mar. Pet. Geol. 2021, 131, 105163. [Google Scholar] [CrossRef]
- Hao, X.F.; Chen, H.H.; Gao, Q.L.; Song, G.Q. Micro-charging processes of hydrocarbon in the Niuzhuang lentoid sandy reservoirs, Dongying Depression. Earth Sci.-J. China Univ. Geosci. 2006, 31, 182–191. [Google Scholar] [CrossRef]












| No. | Well | Depth | Weight (mg) | Saturated Hydrocarbons (mg) | Aromatic Hydrocarbons (mg) | Resins (mg) | Asphaltene (mg) |
|---|---|---|---|---|---|---|---|
| 1 | B423 | 2951 | 60.6 | 29.6 | 1.1 | 5.2 | 7.2 |
| 2 | B706 | 1478 | 55.8 | 34.4 | 9.8 | 6.4 | 8.7 |
| 3 | N19 | 3043 | 58.7 | 33.6 | 9.7 | 6.8 | 6.5 |
| 4 | W120 | 2435 | 62.2 | 2.8 | 13.1 | 8.9 | 5.1 |
| 5 | G89 | 3046 | 63.6 | 39.5 | 9.1 | 4.1 | 6.9 |
| 6 | G892 | 2995 | 59.9 | 30.7 | 10.5 | 8.3 | 4.6 |
| 7 | C97 | 2417 | 96 | 52.8 | 15.8 | 10.4 | 7.8 |
| Well | C (μg/g) | MC (μg/g) | DMC (μg/g) | BC (μg/g) | 1,8-/2,7-DMC | [a]/[a] + [c] | Migration Distance (km) | Relative Distance to Source Rocks |
|---|---|---|---|---|---|---|---|---|
| B423 | 0.87 | 3.51 | 9.03 | 1.23 | 4.44 | 0.58 | 12.24 | Short distance |
| B706 | 0.64 | 3.30 | 11.40 | 2.28 | 7.01 | 0.57 | Long distance | |
| N19 | 3.55 | 13.44 | 19.64 | 1.67 | 2.17 | 0.56 | 6.59 | Short distance |
| W120 | 1.61 | 6.34 | 4.79 | 2.27 | 2.43 | 0.53 | Long distance | |
| G89 | 3.85 | 11.47 | 21.87 | 4.93 | 5.33 | 0.58 | 2.65 | Short distance |
| G892 | 2.34 | 8.23 | 18.33 | 3.11 | 5.72 | 0.57 | Long distance | |
| C97 | 2.32 | 5.49 | 10.51 | 2.55 | 4.77 | 0.58 | 2.18 | Short distance |
| C89 | 5.01 | 12.76 | 23.66 | 4.31 | 4.90 | 0.52 | Long distance |
Publisher’s Note: MDPI stays neutral with regard to jurisdictional claims in published maps and institutional affiliations. |
© 2022 by the authors. Licensee MDPI, Basel, Switzerland. This article is an open access article distributed under the terms and conditions of the Creative Commons Attribution (CC BY) license (https://creativecommons.org/licenses/by/4.0/).
Share and Cite
Zhao, W.; He, S.; Wang, Y.; Wang, X.; Jia, G.; Guo, X.; Qiu, Y.; Chen, J. Quantitative Characterization of Excess Pressure Gradient in the Upper Interval of Es4 Member of Dongying Depression and Its Indicative Significance for Oil Migration and Accumulation. Energies 2022, 15, 3554. https://doi.org/10.3390/en15103554
Zhao W, He S, Wang Y, Wang X, Jia G, Guo X, Qiu Y, Chen J. Quantitative Characterization of Excess Pressure Gradient in the Upper Interval of Es4 Member of Dongying Depression and Its Indicative Significance for Oil Migration and Accumulation. Energies. 2022; 15(10):3554. https://doi.org/10.3390/en15103554
Chicago/Turabian StyleZhao, Wen, Sheng He, Yongshi Wang, Xiao Wang, Guanghua Jia, Xiaowen Guo, Yibo Qiu, and Jiaxu Chen. 2022. "Quantitative Characterization of Excess Pressure Gradient in the Upper Interval of Es4 Member of Dongying Depression and Its Indicative Significance for Oil Migration and Accumulation" Energies 15, no. 10: 3554. https://doi.org/10.3390/en15103554
APA StyleZhao, W., He, S., Wang, Y., Wang, X., Jia, G., Guo, X., Qiu, Y., & Chen, J. (2022). Quantitative Characterization of Excess Pressure Gradient in the Upper Interval of Es4 Member of Dongying Depression and Its Indicative Significance for Oil Migration and Accumulation. Energies, 15(10), 3554. https://doi.org/10.3390/en15103554

