Next Article in Journal
A Review of Reinforcement Learning Applications to Control of Heating, Ventilation and Air Conditioning Systems
Next Article in Special Issue
A Modified Correlative Model for Condensation Heat Transfer in Horizontal Enhanced Tubes with R32 and R410A Refrigerants
Previous Article in Journal
Effect of Operating Parameters and Energy Expenditure on the Biological Performance of Rotating Biological Contactor for Wastewater Treatment
Previous Article in Special Issue
Machine Learning for Prediction of Heat Pipe Effectiveness
 
 
Font Type:
Arial Georgia Verdana
Font Size:
Aa Aa Aa
Line Spacing:
Column Width:
Background:
Article

Revisiting the Corresponding-States-Based Correlation for Pool Boiling Critical Heat Flux

1
Faculty of Mechanical Engineering, University of Ljubljana, Aškerčeva 6, 1000 Ljubljana, Slovenia
2
Plinovodi d.o.o., Cesta Ljubljanske Brigade 11b, 1001 Ljubljana, Slovenia
3
School of Engineering and Management, University of Nova Gorica, Vipavska 13, 5000 Nova Gorica, Slovenia
*
Author to whom correspondence should be addressed.
Energies 2022, 15(10), 3524; https://doi.org/10.3390/en15103524
Submission received: 21 April 2022 / Revised: 10 May 2022 / Accepted: 10 May 2022 / Published: 11 May 2022
(This article belongs to the Special Issue Enhanced Two-Phase Heat Transfer)

Abstract

:
A corresponding-states correlation for predicting the critical heat flux (CHF) in pool boiling conditions is proposed, and only requires knowledge of physical property constants of the fluid at any fluid temperature: molar mass, critical temperature, critical pressure, and the Pitzer acentric factor. If a fourth corresponding equation of state (EoS) parameter is added, a more accurate CHF correlation is obtained and matches Kutateladze–Zuber prediction within ±10% in the reduced temperature range of 0.55–0.95. This way, CHF can be easily predicted for any reduced temperature within the range of correlation’s validity by only knowing basic properties of the fluid. Additionally, two corresponding-states correlations for determining the capillary length are proposed and also do not rely on any temperature- and pressure-dependent fluid properties. A simpler correlation only using the Pitzer acentric factor is shown to be imprecise, and a more complex correlation also accounting for the fourth corresponding EoS parameter is recommended. These correlations are fundamental for further developments, which would allow for accurate prediction of CHF values on functionalized surfaces through further studies on the influence of interactions of fluid properties with other parameters, such as wetting and active nucleation site density.

Graphical Abstract

1. Introduction

1.1. Critical Heat Flux in Pool Boiling

Pool boiling is a common phenomenon, where phase-change takes place in a pool of macroscopically stationary liquid without the presence of external flow, which would affect the heat transfer phenomena. Engineering applications mostly rely upon the nucleate boiling regime of pool boiling, where high values of the heat transfer coefficient are achievable at relatively small temperature differences between the boiling surface and the liquid bulk. The upper heat flux limit of the nucleate boiling regime is called the critical heat flux (CHF), where the entire boiling surface becomes covered with a vapor film acting as a thermal insulator. This severely decreases the heat transfer intensity during the ensuing transition towards film boiling, and is mostly undesirable. Many widespread technologies rely on boiling heat transfer and tend to operate at high heat flux values (e.g., nuclear reactors, steam boilers, microelectronic cooling systems etc.), making accurate prediction of the CHF value paramount to ensure their safe and efficient operation.

1.2. Existing CHF Correlations

As CHF incipience in a practical application could severely damage equipment and cause process failure, it is imperative to avoid it. For that purpose, one must be able to estimate at what heat flux the CHF might occur to be able to safely dimension the equipment and the boiling process. The first CHF correlation was proposed in the 1950s by Kutateladze [1], who correlated the critical heat flux to be a function of liquid and vapor density (ρl and ρv), surface tension σ, gravitational acceleration g and latent heat of vaporization Δhlv alongside a constant K:
C H F = K ρ v Δ h lv σ g ρ l ρ v ρ v 2 4   .
Kutateladze proposed the empirically obtained value of the constant K (also known as the Kutateladze number) to be 0.16.
Later in the same decade, Zuber [2] developed a correlation for estimating the CHF value, which is based on the hydrodynamic instability theory, and is arguably the most well-known CHF correlation to date. In derivation of his theory, Zuber assumed that Taylor’s and Helmholtz’s instability were the main factors behind the CHF incipience. Vapor jets on the surface were assumed to be spaced on a square grid in accordance with the Taylor’s wavelength, whereas instability of the vapor jets was assumed to be governed by the Helmholtz’s wavelength, stemming from the vapor velocity becoming too great. Zuber assumed that the jet diameter is one half of the most dangerous Taylor’s wavelength, and theoretically derived the same expression as Kutateladze [Equation (1)], but with a different value of the constant (i.e., the Kutateladze number), which was to be π/24 (approximately 0.131). We will refer to the correlation given in Equation (1) as the Kutateladze–Zuber correlation in the rest of the manuscript.
The CHF correlation was further developed by Lienhard and Dhir [3], who observed that the CHF value is also dependent upon the heater geometry. Through modification of Zuber’s theory, Lienhard and Dhir obtained a Kutateladze number of 0.149 for an infinite flat plate heater. They also found that CHF appears to increase on small heaters [4], which was shown to depend on the ratio between the heater’s characteristic dimension and the so-called capillary length b, calculated as:
b = σ g ρ l ρ v   .
Alternative theories on the reason for CHF incipience have also been proposed. For example, dryout of the liquid macrolayer formed below large coalesced bubbles might be blamed for CHF onset [5,6].
Several correlations for predicting the CHF value were proposed since the initial publications by Kutateladze and Zuber. The latter correlation only takes into account the hydrodynamic aspects of the CHF incipience, and therefore fails to account for other phenomena, such as the effect of heater size (as mentioned above), heater’s surface properties (such as its wettability, roughness, and wickability), thermal properties of the substrate (e.g., its effusivity) etc. New correlations aim to tackle one or more of these missing aspects to possibly provide a generalized model for CHF description. One such model was proposed by Bar-Cohen’s team [7,8,9]:
C H F = π 24 ρ v Δ h lv σ g ρ l ρ v ρ v 2 4 × fn t ρ h c p , h k h × fn L × fn Δ T sub .
The latter correlation includes the Kutateladze–Zuber correlation with an addition of functions that account for the thickness and thermal effusivity [10] of the heater [ fn t ρ h c p , h k h ], the dimensionless length of the heater [ fn L , defined in Equation (4) as the ration between the length of the heater and the capillary length], and the liquid bulk’s subcooling [ fn Δ T sub ].
L = L b .
Recent progress in the field of identifying surface properties affecting the CHF value came from Rahman et al. [11], who found that wickability of the boiling surface represents a key factor in enhancing the CHF value. They propose that a “wicking” Kutateladze number should be defined as:
K W = K 1 + W i ,
where Wi is the dimensionless wicking number. The latter accounts for heat dissipation associated with wicking of liquid across the boiling surface and is calculated through maximum wicked volume flux V ˙ 0 (experimentally determined for a given surface) as:
W i = V ˙ 0 ρ l ρ v 0.5 σ g ρ l ρ v 0.25 .
The latter correlation is able to explain both why hydrophilic surfaces offer enhanced critical heat flux, exceeding the Kutateladze–Zuber limit, and that all superhydrophilic surfaces do not offer the same performance due to different wicking volume flux despite the same contact angle value of ~0°.

1.3. Corresponding States Correlations

Currently established correlations such as the Kutateladze–Zuber prediction allow for the CHF to be estimated for given experimental conditions by accounting for the fluid properties at the given saturation temperature and pressure. Further improvement of the CHF prediction’s accuracy for functionalized surfaces requires additional parameters to be measures, such as the aforementioned wicking volume flux. However, even the basic Kutateladze–Zuber correlation can be used to estimate the CHF value in dimensioning of common systems involving nucleate pool boiling heat transfer. This, however, requires the user to know the fluid properties, such as the surface tension, liquid and vapor density, and latent heat of vaporization, for any given operating pressure and temperature. While modern databases, such as REFPROP, allow for these values to be easily obtained for many common liquids in any desired state, it can be a hassle to find theirs values for less common or new fluids. Furthermore, they need to be recalculated if the operating point (i.e., saturation pressure or temperature) is changed. Therefore, a generalized description relying on a common behavior of fluids would be beneficial. For this purpose, the corresponding states theorem can be applied to compare the fluids at a given reduced temperature and/or pressure and extrapolate their behavior to other states. Reduced temperature and reduced pressure are defined as the ratio between the given value of the parameter and its critical value (i.e., the critical temperature Tc or critical pressure pc):
T r = T / T c   and
p r = p / p c .
Several proposition for using corresponding states to correlate the CHF values were made as early as in 1960s [12,13]. However, these correlations are based on reduced pressure, whereas reduced temperatures are somewhat more practical for engineering use. Furthermore, the existing correlations based on thermodynamic similarity require data on CHF at a certain reduced pressure, usually at pr = 0.1 [14], together with the reduced pressure function or the reduced temperature function [13], or knowledge of additional group parameters that are hard to determine, such as the Parachor [12] or the vapor-pressure parameter [15]. In all cases, the physical properties of the fluid are also required to determine the capillary length given in Equation (2) to adjust the predicted values for finite heaters. Finally, these correlations are based on reduced pressure instead of reduced temperature.

1.4. Aim of This Study

Currently established correlations for CHF predictions require knowledge of fluid properties under the given operating conditions, which might not be easily obtained for a given fluid and also change with a change in operating point of the system. Therefore, the aim of this study is to develop a corresponding-sates-based correlation to predict the CHF value in pool boiling using reduced temperature as the main input within the reduced temperature range between 0.55 and 0.95, which is the most common range within which a vapor–liquid equilibrium is possible for most fluids. The developed correlation’s predictions are compared to the Kutateladze–Zuber prediction for the same fluids at given operating conditions to evaluate its accuracy. Furthermore, corresponding-states-based correlation is also provided for determining the capillary length using reduced temperature and fluid constants, which is a vital part of many correlations that also take into account enhanced CHF on functionalized surfaces.

2. Proposed Correlation

2.1. Accounting for Fluid Properties and Gravity

Taking into account Gibbs’ rule of phases [16] for one component with two phases (i.e., a single component fluid at liquid-vapor equilibrium), only one independent thermodynamic quantity is present. The following equation of state can, therefore, be written for both non-polar and polar fluids:
F T r , ω , δ = 0 .
The Pitzer acentric factor, ω, is defined by the reduced saturation pressure at a reduced saturation temperature of Tr = 0.7:
ω = 1 log p r @ T r = 0.7 .
The fourth corresponding state parameter δ is defined in terms of the reduced pressure of saturated fluid at two reduced temperature values (Tr = 0.7 and 0.75), making it a better descriptor especially for polar fluids:
δ = 49.94330 ln p r @ T r = 0.7 67.18390 ln p r @ T r = 0.75 5.976280 .
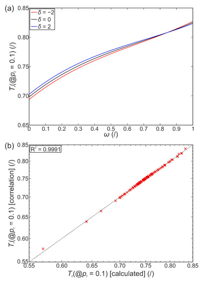
ω and δ define the corresponding equation of state (EoS). These parameters are given in [17] for over 100 fluids. From the viewpoint of the corresponding-states principle, the choice of reduced temperatures is better than that of reduced pressures, since the additional parameters of the corresponding EoS are defined at a constant reduced temperature. As can be seen from Figure 1a, at constant pressure, e.g., at pr = 0.1, the reduced temperature will change, depending on additional parameters ω and δ. The dependence of Tr @ pr = 0.1 on ω and δ is given from the EoS in the following equation, the coefficients of which (a1 to a6) are provided in Table 1:
T r   @ p r = 0.1 = a 1 ω 3 + a 2 ω 2 + a 3 ω + a 4 δ + a 5 δ ω + a 6 .
The coefficients were obtained by fitting Equation (12) using data for 142 fluids in the REFPROP 10.0 database [18]. The match between REFPROP-calculated values and values predicted using Equation (12), together with coefficients from Table 1 is shown in Figure 1b.

2.2. CHF Correlation

The influence of thermodynamic and transport properties of the fluid on the CHF is based upon the Kutateladze–Zuber correlation [Equation (1)]. Using the Brock and Bird equation for the surface tension of non-polar and slightly polar fluids, including the Pitzer acentric factor [19], and with the introduction of the reduced thermodynamic values Δhlv/(RTc), ν rl * and ν rv * , the influence of the fluid properties can be expressed as:
C H F = 0.131 T c 1 3 p c 11 12 g 1 4   M 1 4 R 0.228 + 0.303 ω 10 6 1 4 Δ h lv R T c 1 ν rv * τ 11 9 ν rl * ν rv * ν rl * + ν rv * 2 ν rl * ν rv * 1 / 4   ,
where:
τ = 1 T r .
The Lee and Kesler [20] three-parameter corresponding EoS was used to determine the reduced thermodynamic properties. Equation (13) simplifies to:
C H F = ζ fn T r , ω ,
while a modified version, which also accounts for δ, was also evaluated:
C H F = ζ fn T r , ω , δ .
In both of the aforementioned cases, the fn(Tr, ω) or fn(Tr, ω, δ) were constructed using τ as defined previously and by taking into account various combinations and exponents of both EoS parameters (ω and δ) and τ.
The fluid property constants and gravity are taken into account in a separate function, which only depends on the used fluid (its M, Tc, pc) and gravity (value of g):
ζ = T c 1 3 p c 11 12 g 1 4 M 1 4 K 1 3   kg 3 4   kmol 1 4   m 3 4   s 5 2 .

2.3. Capillary Length Correlation

An objective of the current study is to also establish a corresponding-state-based correlation to determine the value of the capillary length at any given reduced temperature (between 0.55 and 0.95), without knowing the values of fluid transport and thermal properties. The capillary length correlation is based on using the Lee and Kesler EoS and the Brock and Bird equation for surface tension and, with the use of the corresponding-states correlation, was approximated as:
b = ξ fn T r ,   ω   and
b = ξ fn T r ,   ω ,   δ ,
where the first equation only accounts for the Pitzer acentric factor, while the second equation also includes the fourth corresponding EoS parameter δ. In both cases, fluid constants and gravity are bundled into the following constant (for each fluid under given gravity):
ξ = T c 2 3 p c 1 6 M 1 2 g 1 2   K 2 3   kmol 1 2   s 4 3   kg 2 3   m 1 3 .

2.4. Fluid Properties

Fluid properties, which were used to fit the aforementioned functions, were determined from REFPROP 10.0 database, and are listed in Table 2. In total, 64 fluids were considered, including cryogens (hydrogen, nitrogen, methane, etc.), alcohols and other common hydrocarbons (methanol, ethanol, pentane, hexane, etc.), common refrigerants (R12, R123, R134a, R227ea, etc.), common dielectrics (perfluorohexane [FC-72], Novec 649 and RE347mcc [HFE-7000]), and water.

3. Results and Discussion

3.1. The Zeta Function

Figure 2 shows the evaluation of the zeta function, as defined in Equation (17), as a function of molar mass of the fluid (Figure 2a), critical temperature (Figure 2b), and critical pressure (Figure 2c). In all cases, terrestrial gravity (g = 9.81 m s−2) is considered.
It is evident that the value of the zeta function decreases with increasing molar mass of the fluid with an obvious outlier (hydrogen). Furthermore, the value of the zeta function increases exponentially with increasing critical pressure. An attempt was made to use this dependence to describe the zeta function solely through the critical pressure of the fluid and the gravitational acceleration, but the CHF correlations established using this principle showed large and inconsistent deviation from the Kutateladze–Zuber correlation, and this approach was therefore abandoned in favor of describing the zeta function by also using the fluid’s molar mass and critical temperature.

3.2. Evaluation of the CHF Correlation

The following correlation was established to correlate the CHF value in the reduced temperature range between 0.55 and 0.95 by only accounting for the Pitzer acentric factor:
C H F = 0.131 ζ τ exp a 1 + a 2 τ + a 3 τ 2 + a 4 τ 3 + ω a 5 + a 6 τ 3 + ω 2 a 7 τ + a 8 τ 2
The evaluated constants providing the best fit (using the least-square method) for 64 fluids are listed in Table 3.
A 3D plot of the fn(Tr,ω) is shown in Figure 3. It is evident that the highest CHF is expected at high values of the Pitzer acentric factor at high values of reduced temperature. At lower values of ω, the maximal value of the function is shifter towards lower reduced temperature values (approx. 0.83–0.85).
An evaluation of the CHF correlation defined through Equation (21) is shown in Figure 4a, where the ratio between the CHF predicted by Equation (21) and calculation using the Kutateladze–Zuber equation [Equation (1) with K = 0.131] is shown for 64 fluids in the reduced temperature range between 0.55 and 0.95.
It is evident that Equation (21) provides CHF predictions close to those predicted by the Kutateladze–Zuber correlation, but some noticeable deviations are observable. At low reduced temperature values, the proposed correlation mostly underpredicts the CHF value with the most obvious deviation for perfluorohexane (FC-72). However, the CHF values for hydrogen are significantly overpredicted within the same range of Tr. All predictions are within ±10% of the Kutateladze–Zuber correlation for reduced temperatures between approx. 0.67 and 0.95, although the deviations increase at high Tr values as the critical point is approached. This also agrees with common experimental observations of significant deviations from the Kutateladze–Zuber correlation at reduced temperatures above 0.95 (which generally match high reduced pressure values).
Figure 4b shows the comparison between CHF values calculated using the Kutateladze–Zuber equation and predicted through the present correlation [Equation (22)]. The overall agreement is good with an R2 value of 0.9990.
The second CHF correlation also takes into account the fourth corresponding EoS parameter δ and is aimed at improving the accuracy to an agreement with the Kutateladze–Zuber prediction within ±10% throughout the entire range of investigated reduced temperatures. The correlation is given in the following form:
C H F = 0.131 ζ τ exp a 1 + a 2 τ + a 3 τ 2 + a 4 τ 3 + ω a 5 + a 6 τ 3 + ω 2 a 7 τ + a 8 τ 2 + δ a 9 + a 10 δ + a 11 τ + a 12 τ 2 + a 13 τ 3 ,
while its coefficients can be found in Table 4.
Figure 5a shows the ratio between the CHF predicted by Equation (22) and calculated using the Kutateladze–Zuber equation [Equation (1) with K = 0.131] for 64 fluids in the reduced temperature range between 0.55 and 0.95. It is evident that including the fourth EoS parameter δ improves the quality of the fit with all values falling within ±10% of the the Kutateladze–Zuber prediction. This is further backed up by results in Figure 5b, which show that the agreement of the proposed correlation given by Equation (22) with the Kutateladze–Zuber correlation is excellent, with an R2 value of 0.9991.
To predict the reduced temperature, at which maximal CHF value can be expected, the following two correlations were derived, both with an R2 value of >0.99:
T r C H F = max = 0.8342 + 0.1039 ω   and
T r C H F = max = 0.8352 + 0.0338 ω + 0.0616 δ .
The predicted reduced temperatures for which maximal CHF is expected agree with previous observations [12,21]. Equation (23) is also shown in Figure 3 as the solid black line.

3.3. Evaluation of the Capillary Length Correlation

The following correlation was established to correlate the capillary length value in the reduced temperature range between 0.55 and 0.95 by only accounting for the Pitzer acentric factor:
b = ξ a 1 + a 2 ω τ a 3 + a 4 ω ,
with the fitted coefficients available in Table 5.
The second correlation for the capillary length also accounts for the values of δ. The proposed expression has the following value, while its coefficients are given in Table 6:
b = ξ a 1 + δ a 2 + a 3 δ + a 4 δ 3 + a 5 ω + a 6 ω δ + a 7 ω 2 δ τ a 8 + δ a 9 + a 10 δ + a 11 ω .
The match between correlated capillary length values and calculated values at a given reduced temperature is shown in Figure 6a for the correlation only accounting for ω [Equation (25)], and in Figure 7a for the correlation also accounting for δ [Equation (26)]. Equation (25) provided a worse fit with deviations from the calculated value of the capillary length exceeding ±20%. We therefore conclude that the fourth EoS parameter (δ) needs to be taken into account to accurately correlate the value of the capillary length. Using Equation (26), deviations are much smaller, and mostly fall within ±10% of the calculated value with slightly larger deviations at high values of reduced temperature (i.e., at Tr > 0.9).
In both cases, Equations (25) and (26) match the calculated data reasonably well, which are shown in Figure 6b and Figure 7b. If δ is not taken into account, an R2 value of only 0.9491 was obtained, while a much better value of R2 = 0.9931 was obtained for the second correlation given by Equation (26), which accounts for both ω and δ.

3.4. CHF Prediction for Boiling on Functionalized Surfaces

Values predicted by the second CHF correlation [Equation (22)] were compared to experimentally determined values for different fluids at different reduced temperatures. Specifically, data for ethanol [22,23], pentane [24,25], perfluorohexane [26], R123 [27], R1234yf [28], R134a [28], and water [29,30,31,32] was sourced from literature. The results are shown in Figure 8. CHF values measured on plain (untreated) surfaces are compared to values measured on functionalized surfaces, prepared using one or more surface modification techniques, which were all shown to enhance the CHF value.
The results in Figure 8 show that CHF values for plain surfaces match the values predicted by the newly proposed correlation well. However, the proposed correlation is unable to capture the effects of surface functionalization, which importantly increase the CHF value. For this purpose, additional (sub)correlations need to be established, but the foundation for this purpose is readily provided by the means of Equation (26), which allows for the calculation of the capillary length without knowing the temperature- and pressure-dependent fluid properties for the given operating conditions.

4. Conclusions

From the viewpoint of the corresponding-states principle, the use of reduced temperatures is better than that of reduced pressure, since most parameters of the corresponding-states correlation are determined at a constant reduced temperature. A corresponding-states correlation for predicting the CHF value in pool boiling conditions is proposed, and only requires knowledge of physical property constants of the fluid at any fluid temperature: molar mass, critical temperature, critical pressure, and the Pitzer acentric factor. If a fourth corresponding EoS parameter δ is added, a more accurate CHF correlation is obtained, and matches the Kutateladze–Zuber prediction within ±10% in the reduced temperature range of 0.55–0.95. This way, CHF can be easily predicted for any reduced temperature within the range of correlation’s validity by only knowing basic properties of the fluid.
Similarly, two corresponding-states correlations for estimating the capillary length are proposed, and also do not require evaluation of any temperature- and pressure-dependent fluid properties. A simpler correlation only accounting for the Pitzer acentric factor was shown to be imprecise, and a more complex correlation also accounting for the fourth corresponding EoS parameter is recommended. Through these correlations, foundations are laid for further developments, which would allow for accurate prediction of CHF values on functionalized surfaces, which is not possible with the current correlations.
Further studies of the influence of interactions of fluid properties with other parameters, such as wetting, active nucleation site density, and adsorption, are necessary, especially at low reduced temperatures. The presented method with the use of approximate corresponding-states correlations through the calculation of reduced thermodynamic quantities with the corresponding-states equations is also appropriate for other problems within the field of heat transfer, where knowledge on thermodynamic properties of the fluid is necessary.

Author Contributions

Conceptualization, I.G.; methodology, M.M., K.F., H.G. and M.Z.; software, M.M. and M.Z.; validation, I.S., K.F. and H.G.; investigation, M.M.; resources, I.G.; data curation, M.M. and M.Z.; writing—original draft preparation, M.M. and I.G.; writing—review and editing, M.M., M.Z., I.S. and H.G.; visualization, M.M. and K.F.; supervision, M.Z. and I.G.; project administration, I.G.; funding acquisition, M.Z. and I.G. All authors have read and agreed to the published version of the manuscript.

Funding

The authors acknowledge the financial support from the state budget by the Slovenian Research Agency (Program No. P2-0223 and Project Nos. J2-2486 and N2-0251).

Institutional Review Board Statement

Not applicable.

Informed Consent Statement

Not applicable.

Data Availability Statement

All data is available from the corresponding author upon request.

Conflicts of Interest

The authors declare no conflict of interest.

Nomenclature

aii-th coefficient
bcapillary length (m)
CHFcritical heat flux (W m−2)
cp,lisobaric thermal capacity of the liquid (J kg−1 K−1)
F, fnfunction
ggravitational acceleration (m s−2)
KKutateladze number
Llength
Mmolar mass (kg kmol−1)
pccritical pressure (MPa)
prreduced pressure (/)
Rgas constant (J kmol−1 K−1)
tthickness (m)
Tccritical temperature (K)
Trreduced temperature (/)
Widimensionless wicking number
δfourth parameter of the corresponding EoS
Δ T sub liquid bulk subcooling
Δhlvlatent heat of vaporization (J kg−1)
ζfunction of fluid properties and gravity for CHF correlation
ξfunction of fluid properties and gravity for capillary length correlation
σsurface tension (N m−1)
τtemperature function (K)
ωPitzer’s acentric factor
ρ l , ρ v saturated density of liquid and vapor phase (kg m−3)
V ˙ 0 wicked volume flux
ρ h c p , h k h thermal effusivity of the heater material (W s1/2 m−1 K−1)
v rl * ,   v rv * reduced saturated volume of liquid and vapor
Subscripts
calccalculated
corrfrom proposed correlation
expexperimental
maxmaximal
Wwicking
Zubfrom Kutateladze–Zuber correlation

References

  1. Kutateladze, S. Heat Transfer in Condensation and Boiling; US AEC Report AECU-3770; United States Atomic Energy Commission: Washington, DC, USA, 1952. [Google Scholar]
  2. Zuber, N. Hydrodynamic Aspects of Boiling Heat; US AEC Report AECU-4439; United States Atomic Energy Commission: Washington, DC, USA, 1959. [Google Scholar]
  3. Lienhard, J.H.; Dhir, V.K. Hydrodynamic Prediction of Peak Pool-Boiling Heat Fluxes from Finite Bodies. J. Heat Transf. 1973, 95, 152. [Google Scholar] [CrossRef]
  4. Lienhard, J.H.; Dhir, V.K.; Riherd, D.M. Peak Pool Boiling Heat-Flux Measurements on Finite Horizontal Flat Plates. J. Heat Transf. 1973, 95, 477. [Google Scholar] [CrossRef]
  5. Katto, Y.; Yokoya, S. Principal Mechanism of Boiling Crisis in Pool Boiling. Int. J. Heat Mass Transf. 1968, 11, 993–1002. [Google Scholar] [CrossRef]
  6. Haramura, Y.; Katto, Y. A New Hydrodynamic Model of Critical Heat Flux, Applicable Widely to Both Pool and Forced Convection Boiling on Submerged Bodies in Saturated Liquids. Int. J. Heat Mass Transf. 1983, 26, 389–399. [Google Scholar] [CrossRef]
  7. Arik, M.; Bar-Cohen, A. Effusivity-Based Correlation of Surface Property Effects in Pool Boiling CHF of Dielectric Liquids. Int. J. Heat Mass Transf. 2003, 46, 3755–3764. [Google Scholar] [CrossRef]
  8. Watwe, A.A.; Bar-Cohen, A.; McNeil, A. Combined Pressure and Subcooling Effects on Pool Boiling from a PPGA Chip Package. In Proceedings of the InterSociety Conference on Thermal and Thermomechanical Phenomena in Electronic Systems, ITHERM, Orlando, FL, USA, 29 May–1 June 1996; pp. 284–291. [Google Scholar] [CrossRef]
  9. Watwe, A.A.; Bar-Cohen, A. Modeling of Conduction Effects on Pool Boiling Critical Heat Flux of Dielectric Liquids. Am. Soc. Mech. Eng. Heat Transf. Div. HTD 1997, 342, 35–40. [Google Scholar]
  10. Golobič, I.; Bergles, A.E. Effects of Heater-Side Factors on the Saturated Pool Boiling Critical Heat Flux. Exp. Therm. Fluid Sci. 1997, 15, 43–51. [Google Scholar] [CrossRef]
  11. Rahman, M.M.; Olceroglu, E.; McCarthy, M. Role of Wickability on the Critical Heat Flux of Structured Superhydrophilic Surfaces. Langmuir 2014, 30, 11225–11234. [Google Scholar] [CrossRef]
  12. Sharan, A.; Lienhard, J.H.; Kaul, R. Corresponding States Correlations for Pool and Flow Boiling Burnout. J. Heat Transf. 1985, 107, 392–397. [Google Scholar] [CrossRef]
  13. Cobb, C.B.; Park, E.L. Correlation of the Maximum Heat Flux and Temperature Difference in the Nucleate Boiling of Corresponding States Liquids. In Advances in Cryogenic Engineering; Springer: Boston, MA, USA, 1967; pp. 381–386. [Google Scholar] [CrossRef]
  14. Kind, M.; Martin, H.; Stephan, P.; Roetzel, W.; Spang., B.; Müller-Steinhagen, H. VDI Heat Atlas; Springer: Berlin/Heidelberg, Germany, 2010; ISBN 3540778764. [Google Scholar]
  15. Klepp, G.H.; Leiner, W. Extended Thermodynamic Similarity Considered to Predict Critical Heat Flux. In Proceedings of the Eurotherm Seminar No. 48 Pool Boiling 2, Paderborn, Germany, 18–20 September 1996; pp. 378–389. [Google Scholar]
  16. Reid, R. The Properties of Gases and Liquids, 4th ed.; McGraw-Hill: New York, NY, USA, 1987; ISBN 9780070116825. [Google Scholar]
  17. Golobič, I.; Gašperšič, B. A Generalized Equation of State for Polar and Non-Polar Fluids Based on Four-Parameter Corresponding States Theorem. Chem. Eng. Commun. 1994, 130, 105–126. [Google Scholar] [CrossRef]
  18. Lemmon, E.W.; Huber, M.L.; McLinden, M.O. NIST Standard Reference Database 23: Reference Fluid Thermodynamic and Transport Properties (REFPROP), Version 10.0; NIST (National Institute of Standards and Technology): Gaithersburg, MD, USA, 2018. [Google Scholar]
  19. Poling, B.E.; Prausnitz, J.M.; O’connell, J.P.; York, N.; San, C.; Lisbon, F.; Madrid, L.; City, M.; Delhi, M.N.; Juan, S. Properties of Gases and Liquids; McGraw-Hill Education: New York, NY, USA, 2001; ISBN 9780070116825. [Google Scholar]
  20. Lee, B.I.; Kesler, M.G. A Generalized Thermodynamic Correlation Based on Three-Parameter Corresponding States. AIChE J. 1975, 21, 510–527. [Google Scholar] [CrossRef]
  21. Cichelli, M.T.; Bonilla, C.F. Heat Transfer to Liquids Boiling Under Pressure. Ph.D. Thesis, Johns Hopkins University, Baltimore, MD, USA, 1945; pp. 755–787. [Google Scholar]
  22. Dong, L.; Quan, X.; Cheng, P. An Experimental Investigation of Enhanced Pool Boiling Heat Transfer from Surfaces with Micro/Nano-Structures. Int. J. Heat Mass Transf. 2014, 71, 189–196. [Google Scholar] [CrossRef]
  23. Kwark, S.M.; Amaya, M.; You, S.M. Experimental Pool Boiling Heat Transfer Study of the Nanoporous Coating in Various Fluids. Int. J. Air-Cond. Refrig. 2012, 20, 1150001. [Google Scholar] [CrossRef]
  24. Liter, S.G.; Kaviany, M. Pool-Boiling CHF Enhancement by Modulated Porous-Layer Coating: Theory and Experiment. Int. J. Heat Mass Transf. 2001, 44, 4287–4311. [Google Scholar] [CrossRef]
  25. Nasersharifi, Y.; Kaviany, M.; Hwang, G. Pool-Boiling Enhancement Using Multilevel Modulated Wick. Appl. Therm. Eng. 2018, 137, 268–276. [Google Scholar] [CrossRef] [Green Version]
  26. Ferjančič, K.; Može, M.; Križan, P.; Bobič, M.; Golobič, I. Subcooled Critical Heat Flux on Laser-Textured Stainless-Steel Ribbon Heaters in Pool Boiling of FC-72. Int. J. Heat Mass Transf. 2020, 159, 120090. [Google Scholar] [CrossRef]
  27. Kim, J.H.; Kwark, S.M.; Kashinath, M.R.; You, S.M. Optimization of Microporous Structures in Enhancing Pool Boiling Heat Transfer of Saturated R-123, FC-72 and Water. In Proceedings of the 2007 ASME/JSME Thermal Engineering Summer Heat Transfer Conference-HT 2007, Vancouver, BC, Canada, 8–12 July 2007; Volume 3, pp. 349–356. [Google Scholar]
  28. Moreno, G.; Narumanchi, S.; King, C. Pool Boiling Heat Transfer Characteristics of HFO-1234yf on Plain and Microporous-Enhanced Surfaces. J. Heat Transf. 2013, 135, 111014. [Google Scholar] [CrossRef]
  29. Cho, H.; Godinez, J.; Han, J.S.; Fadda, D.; You, S.M.; Lee, J.; Park, S.J. Fabrication of Micro-Patterned Surface for Pool-Boiling Enhancement by Using Powder Injection Molding Process. Materials 2019, 12, 507. [Google Scholar] [CrossRef] [Green Version]
  30. Jun, S.; Wi, H.; Gurung, A.; Amaya, M.; You, S.M. Pool Boiling Heat Transfer Enhancement of Water Using Brazed Copper Microporous Coatings. J. Heat Transf. 2016, 138, 071502. [Google Scholar] [CrossRef]
  31. Kwark, S.M.; Amaya, M.; Kumar, R.; Moreno, G.; You, S.M. Effects of Pressure, Orientation, and Heater Size on Pool Boiling of Water with Nanocoated Heaters. Int. J. Heat Mass Transf. 2010, 53, 5199–5208. [Google Scholar] [CrossRef]
  32. Može, M.; Senegačnik, M.; Gregorčič, P.; Hočevar, M.; Zupančič, M.; Golobič, I. Laser-Engineered Microcavity Surfaces with a Nanoscale Superhydrophobic Coating for Extreme Boiling Performance. ACS Appl. Mater. Interfaces 2020, 12, 24419–24431. [Google Scholar] [CrossRef]
Figure 1. (a) Correlation for determining the dependance of the reduced temperature at a reduced pressure of 0.1 on ω and δ established using data for 142 fluids. (b) Comparison of calculated values of Tr (@pr = 0.1), with values predicted by the proposed correlation [Equation (12)].
Figure 1. (a) Correlation for determining the dependance of the reduced temperature at a reduced pressure of 0.1 on ω and δ established using data for 142 fluids. (b) Comparison of calculated values of Tr (@pr = 0.1), with values predicted by the proposed correlation [Equation (12)].
Energies 15 03524 g001
Figure 2. Evaluation of the zeta function at terrestrial gravity for 64 fluids. (a) Dependence on molar mass, (b) dependence on critical temperature and (c) dependence on critical pressure.
Figure 2. Evaluation of the zeta function at terrestrial gravity for 64 fluids. (a) Dependence on molar mass, (b) dependence on critical temperature and (c) dependence on critical pressure.
Energies 15 03524 g002
Figure 3. Evaluation of the fn(ω,Tr) function for reduced temperature between 0.55 and 0.95, and for Pitzer acentric factor values between 0 and 1.
Figure 3. Evaluation of the fn(ω,Tr) function for reduced temperature between 0.55 and 0.95, and for Pitzer acentric factor values between 0 and 1.
Energies 15 03524 g003
Figure 4. (a) Ratio between the CHF values determined by the first proposed CHF correlation (Equation (21); only accounting for ω) and CHF values determined through the Kutateladze–Zuber correlation for 64 fluids in the reduced temperature range between 0.55 and 0.95. (b) Comparison of CHF values determined through the Kutateladze–Zuber prediction and the first proposed correlation.
Figure 4. (a) Ratio between the CHF values determined by the first proposed CHF correlation (Equation (21); only accounting for ω) and CHF values determined through the Kutateladze–Zuber correlation for 64 fluids in the reduced temperature range between 0.55 and 0.95. (b) Comparison of CHF values determined through the Kutateladze–Zuber prediction and the first proposed correlation.
Energies 15 03524 g004
Figure 5. (a) Ratio between the CHF values determined by the second proposed correlation (Equation (22); accounting for ω and δ) and CHF values determined through the Kutateladze–Zuber correlation for 64 fluids in the reduced temperature range between 0.55 and 0.95. (b) Comparison of CHF values determined through the Kutateladze–Zuber prediction and the second proposed correlation.
Figure 5. (a) Ratio between the CHF values determined by the second proposed correlation (Equation (22); accounting for ω and δ) and CHF values determined through the Kutateladze–Zuber correlation for 64 fluids in the reduced temperature range between 0.55 and 0.95. (b) Comparison of CHF values determined through the Kutateladze–Zuber prediction and the second proposed correlation.
Energies 15 03524 g005
Figure 6. (a) Ratio between the capillary length determined by the first proposed correlation (Equation (25); only accounting for ω) and calculated capillary length values for 64 fluids in the reduced temperature range between 0.55 and 0.95. (b) Comparison of capillary length values determined through calculation and by using the first proposed correlation.
Figure 6. (a) Ratio between the capillary length determined by the first proposed correlation (Equation (25); only accounting for ω) and calculated capillary length values for 64 fluids in the reduced temperature range between 0.55 and 0.95. (b) Comparison of capillary length values determined through calculation and by using the first proposed correlation.
Energies 15 03524 g006
Figure 7. (a) Ratio between the capillary length determined by the second proposed correlation (Equation (26); accounting for ω and δ) and calculated capillary length values for 64 fluids in the reduced temperature range between 0.55 and 0.95. (b) Comparison of capillary length values determined through calculation and by using the second proposed correlation.
Figure 7. (a) Ratio between the capillary length determined by the second proposed correlation (Equation (26); accounting for ω and δ) and calculated capillary length values for 64 fluids in the reduced temperature range between 0.55 and 0.95. (b) Comparison of capillary length values determined through calculation and by using the second proposed correlation.
Energies 15 03524 g007
Figure 8. Ratio between experimentally determined CHF values for plain (untreated) and functionalized surfaces and CHF values predicted by the second proposed correlation (Equation (22); accounting for ω and δ).
Figure 8. Ratio between experimentally determined CHF values for plain (untreated) and functionalized surfaces and CHF values predicted by the second proposed correlation (Equation (22); accounting for ω and δ).
Energies 15 03524 g008
Table 1. Coefficients of Equation (12).
Table 1. Coefficients of Equation (12).
CoefficientValue
a10.092756
a2−0.190985
a30.225279
a40.00225388
a5−0.00316658
a60.698207
Table 2. Fluid properties of 64 fluids used to establish the proposed correlations (listed alphabetically).
Table 2. Fluid properties of 64 fluids used to establish the proposed correlations (listed alphabetically).
FluidM (kg kmol−1)Tc (K)pc (MPa)ω (/)δ (/)
acetone58.0791508.10004.69240.30620.6657
ammonia17.0305405.560011.36340.25550.5256
benzene78.1118562.02004.90730.21090.2045
n-butane58.1222425.12503.79600.20070.3517
1-butene56.1063419.29004.00510.19170.3285
carbon monoxide28.0101132.86003.49400.0498−0.0180
chlorobenzene112.5570632.35004.52060.25300.4733
cyclobutene54.0904448.00005.14950.16340.2506
cyclohexane84.1595553.60004.08050.20950.1121
cyclopentane70.1329511.72004.58280.20180.4945
decane142.2817617.70002.10300.48820.4148
ethane30.0690305.32204.87220.09940.2086
ethanol46.0684514.71006.26800.6462−0.0265
ethylbenzene106.1650617.12003.62240.30490.4870
ethylene28.0538282.35005.04180.08650.0890
ethylene glycol62.0678719.000010.50870.61851.5585
heptane100.2020540.20002.73570.34890.3928
hexane86.1754507.82003.04410.30020.4009
hydrogen2.015933.14501.2964−0.2187−0.0297
isobutane58.1222407.81003.62900.18350.2135
isobutene56.1063418.09004.00980.19250.2606
isohexane86.1754497.70003.04000.27960.3630
isooctane114.2285544.00002.57200.30340.3995
isopentane72.1488460.35003.37800.22730.3356
methane16.0428190.56404.59920.01140.1310
methanol32.0422513.38008.21590.56201.3779
nitrogen28.0135126.19203.39580.03720.0532
Novec 649316.0444441.81001.86900.47100.0535
octane114.2290568.74002.48360.39740.4038
oxygen31.9988154.58105.04300.02220.0747
pentane72.1488469.70003.36750.25090.3499
perfluorobutane238.0270386.32602.32240.37230.1872
Perfluorohexane *338.0420448.00001.74160.49680.2196
perfluoropentane288.0340421.00002.06300.43610.2429
propane44.0956369.89004.25120.15210.2358
propylcyclohexane126.2392630.80002.86000.32610.2742
propylene42.0797364.21104.55500.14600.2020
R11137.3680471.11004.40760.18870.1976
R113187.3750487.21003.39220.25250.2267
R115154.4664353.10003.12900.24830.3508
R12120.9130385.12004.13610.17940.2565
R123152.9310456.83103.66180.28190.2556
R124136.4750395.42503.62430.28800.2439
R1243zf96.0511376.93003.51790.26020.3909
R125120.0214339.17303.61770.30520.2487
R13104.4590302.00003.87900.17230.1786
R1336mzz(Z)164.0560444.50002.90300.38590.3601
R134a102.0320374.21004.05930.32670.3621
R13I1195.9104396.44003.95300.17610.2918
R1488.0100227.51003.75000.17850.2667
R141b116.9496477.50004.21200.21950.1278
R142b100.4950410.26004.05500.23200.2752
R143a84.0410345.85703.76100.26130.5057
R152a66.0510386.41104.51680.27500.5161
R16148.0595375.25005.04600.21940.4317
R21102.9200451.48005.18120.20610.0549
R2286.4680369.29504.99000.22070.2361
R227ea170.0289374.90002.92500.35750.2339
R2370.0139299.29304.83200.26280.4858
R3252.0240351.25505.78200.27670.6861
R4134.0329317.28005.89700.20020.7162
RE347mcc **200.0548437.70002.47820.40330.1659
toluene92.1384591.75004.12630.26550.4907
water18.0153647.096022.06400.34390.9998
* FC-72, ** HFE-7000.
Table 3. Coefficients of Equation (21).
Table 3. Coefficients of Equation (21).
CoefficientValue
a12.4766
a2−10.3499
a319.4918
a4−26.4745
a51.4409
a6−24.4247
a7−8.7556
a814.0273
Table 4. Coefficients of Equation (22).
Table 4. Coefficients of Equation (22).
CoefficientValue
a12.4326
a2−9.6663
a317.1783
a4−24.6961
a51.3267
a6−18.5745
a7−7.1314
a88.9765
a90.1135
a10−0.0098
a11−1.1163
a123.6533
a13−4.5620
Table 5. Coefficients of Equation (25).
Table 5. Coefficients of Equation (25).
CoefficientValue
a10.013929
a2−0.004111
a30.500811
a4−0.224784
Table 6. Coefficients of Equation (26).
Table 6. Coefficients of Equation (26).
CoefficientValue
a10.011998
a20.008519
a3−0.026925
a40.009959
a50.020118
a60.023613
a7−0.067397
a80.422018
a90.161405
a10−0.235347
a110.157144
Publisher’s Note: MDPI stays neutral with regard to jurisdictional claims in published maps and institutional affiliations.

Share and Cite

MDPI and ACS Style

Može, M.; Zupančič, M.; Sedmak, I.; Ferjančič, K.; Gjerkeš, H.; Golobič, I. Revisiting the Corresponding-States-Based Correlation for Pool Boiling Critical Heat Flux. Energies 2022, 15, 3524. https://doi.org/10.3390/en15103524

AMA Style

Može M, Zupančič M, Sedmak I, Ferjančič K, Gjerkeš H, Golobič I. Revisiting the Corresponding-States-Based Correlation for Pool Boiling Critical Heat Flux. Energies. 2022; 15(10):3524. https://doi.org/10.3390/en15103524

Chicago/Turabian Style

Može, Matic, Matevž Zupančič, Ivan Sedmak, Klemen Ferjančič, Henrik Gjerkeš, and Iztok Golobič. 2022. "Revisiting the Corresponding-States-Based Correlation for Pool Boiling Critical Heat Flux" Energies 15, no. 10: 3524. https://doi.org/10.3390/en15103524

APA Style

Može, M., Zupančič, M., Sedmak, I., Ferjančič, K., Gjerkeš, H., & Golobič, I. (2022). Revisiting the Corresponding-States-Based Correlation for Pool Boiling Critical Heat Flux. Energies, 15(10), 3524. https://doi.org/10.3390/en15103524

Note that from the first issue of 2016, this journal uses article numbers instead of page numbers. See further details here.

Article Metrics

Back to TopTop