Determination of Kinetic and Thermodynamic Parameters of Pyrolysis of Coal and Sugarcane Bagasse Blends Pretreated by Ionic Liquid: A Step towards Optimization of Energy Systems
Abstract
1. Introduction
2. Materials and Methods
2.1. Blending and Homogenization
2.2. Ionic Liquid Pretreatment
2.3. Thermogravimetric Analysis
2.4. Kinetic Analysis
2.5. Thermodynamic Parameters
- where T = mean pyrolysis temperature
- KB = Stefan Boltzmann constant = 1.381 × 10−23 m2·kg·s−2·K−1
- h = Planck constant = 6.626 × 10−34 m2·kg·s−1
3. Results
3.1. Proximate Analysis
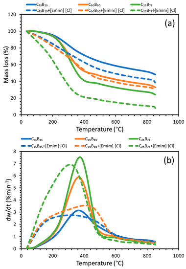
3.2. Thermogravimetric Analysis
3.3. Kinetic Analysis
3.4. Thermodynamic Analysis
4. Discussion
5. Conclusions
Author Contributions
Funding
Institutional Review Board Statement
Informed Consent Statement
Data Availability Statement
Acknowledgments
Conflicts of Interest
References
- Al Irsyad, M.I.; Halog, A.; Nepal, R. Renewable energy projections for climate change mitigation: An analysis of uncertainty and errors. Renew. Energy 2019, 130, 536–546. [Google Scholar] [CrossRef]
- Wu, Z.; Li, Y.; Zhang, B.; Yang, W.; Yang, B. Co-pyrolysis behavior of microalgae biomass and low-rank coal: Kinetic analysis of the main volatile products. Bioresour. Technol. 2019, 271, 202–209. [Google Scholar] [CrossRef] [PubMed]
- Yan, J.; Jiao, H.; Li, Z.; Lei, Z.; Wang, Z.; Ren, S.; Shui, H.; Kang, S.; Yan, H.; Pan, C. Kinetic analysis and modeling of coal pyrolysis with model-free methods. Fuel 2019, 241, 382–391. [Google Scholar] [CrossRef]
- Vergara, P.; García-Ochoa, F.; Ladero, M.; Gutiérrez, S.; Villar, J.C. Liquor re-use strategy in lignocellulosic biomass fractionation with ethanol-water mixtures. Bioresour. Technol. 2019, 280, 396–403. [Google Scholar] [CrossRef]
- Chuetor, S.; Champreda, V.; Laosiripojana, N. Evaluation of combined semi-humid chemo-mechanical pretreatment of lignocellulosic biomass in energy efficiency and waste generation. Bioresour. Technol. 2019, 292, 121966. [Google Scholar] [CrossRef] [PubMed]
- Saeed, S.; Saleem, M.; Durrani, A. Thermal performance analysis of sugarcane bagasse pretreated by ionic liquids. J. Mol. Liq. 2020, 312, 113424. [Google Scholar] [CrossRef]
- Monlau, F.; Barakat, A.; Steyer, J.P.; Carrere, H. Comparison of seven types of thermo-chemical pretreatments on the structural features and anaerobic digestion of sunflower stalks. Bioresour. Technol. 2012, 120, 241–247. [Google Scholar] [CrossRef]
- Haider, J.; Saeed, S.; Qyyum, M.A.; Kazmi, B.; Ahmad, R.; Muhammad, A.; Lee, M. Simultaneous capture of acid gases from natural gas adopting ionic liquids: Challenges, recent developments, and prospects. Renew. Sustain. Energy Rev. 2020, 123, 109771. [Google Scholar] [CrossRef]
- Kazmi, B.; Haider, J.; Qyyum, M.A.; Saeed, S.; Kazmi, M.R.; Lee, M. Heating load depreciation in the solvent-regeneration step of absorption-based acid gas removal using an ionic liquid with an imidazolium-based cation. Int. J. Greenh. Gas Control 2019, 87, 89–99. [Google Scholar] [CrossRef]
- Cummings, J.; Kundu, S.; Tremain, P.; Moghtaderi, B.; Atkin, R.; Shah, K. V Investigations into Physico-chemical Changes in Thermal Coals during Low Temperature Ionic Liquid Treatment. Energy Fuels 2015, 29, 7080–7088. [Google Scholar] [CrossRef]
- Yoon, S.; Deng, L.; Namkung, H.; Fan, S.; Kang, T.J.; Kim, H.T. Coal structure change by ionic liquid pretreatment for enhancement of fixed-bed gasification with steam and CO2. Korean J. Chem. Eng. 2018, 35, 445–455. [Google Scholar] [CrossRef]
- Lei, Z.; Zhang, Y.; Wu, L.; Shui, H.; Wang, Z.; Ren, S. The dissolution of lignite in ionic liquids. R. Soc. Chem. 2013, 3, 2385–2389. [Google Scholar] [CrossRef]
- Yu, W.; Zhu, P.; Lei, Z.; Shui, H.; Kang, S.; Wang, Z.; Ren, S.; Pan, C. Study of pyrolysis behavior of shenhua coal pretreated by ionic liquid 1-ethyl-3-methylimidazolium acetate. Int. J. Chem. React. Eng. 2018, 16. [Google Scholar] [CrossRef]
- Halder, P.; Kundu, S.; Patel, S.; Parthasarathy, R.; Pramanik, B.; Paz-Ferreiro, J.; Shah, K. TGA-FTIR study on the slow pyrolysis of lignin and cellulose-rich fractions derived from imidazolium-based ionic liquid pre-treatment of sugarcane straw. Energy Convers. Manag. 2019, 200. [Google Scholar] [CrossRef]
- Saeed, S.; Shafeeq, A.; Raza, W.; Ijaz, A.; Saeed, S. Effect of regenerated ionic liquid pretreatment on the thermogravimetric analysis of spent coffee ground. Energy Sources Part A Recover. Util. Environ. Eff. 2020, 1–13. [Google Scholar] [CrossRef]
- Xu, Y.; Yang, K.; Zhou, J.; Zhao, G. Coal-biomass co-firing power generation technology: Current status, challenges and policy implications. Sustainability 2020, 12. [Google Scholar] [CrossRef]
- Gongora, A.; Villafranco, D. Sugarcane bagasse cogeneration in Belize: A review. Renew. Sustain. Energy Rev. 2018, 96, 58–63. [Google Scholar] [CrossRef]
- Lei, Z.; Hu, Z.; Zhang, H.; Han, L.; Shui, H.; Ren, S.; Wang, Z.; Kang, S.; Pan, C. Pyrolysis of lignite following low temperature ionic liquid pretreatment. Fuel 2016, 166, 124–129. [Google Scholar] [CrossRef]
- Cummings, J.; Shah, K.; Atkin, R.; Moghtaderi, B. Physicochemical interactions of ionic liquids with coal; The viability of ionic liquids for pre-treatments in coal liquefaction. Fuel 2015, 143, 244–252. [Google Scholar] [CrossRef]
- Naqvi, S.R.; Hameed, Z.; Tariq, R.; Taqvi, S.A.; Ali, I.; Niazi, M.B.K.; Noor, T.; Hussain, A.; Iqbal, N.; Shahbaz, M. Synergistic effect on co-pyrolysis of rice husk and sewage sludge by thermal behavior, kinetics, thermodynamic parameters and artificial neural network. Waste Manag. 2019, 85, 131–140. [Google Scholar] [CrossRef]
- Chong, C.T.; Mong, G.R.; Ng, J.H.; Chong, W.W.F.; Ani, F.N.; Lam, S.S.; Ong, H.C. Pyrolysis characteristics and kinetic studies of horse manure using thermogravimetric analysis. Energy Convers. Manag. 2019, 180, 1260–1267. [Google Scholar] [CrossRef]
- Saeed, S.; Saleem, M.; Durrani, A.K. Thermal performance analysis of low-grade coal pretreated by ionic liquids possessing imidazolium, ammonium and phosphonium cations. Fuel 2020, 271, 117655. [Google Scholar] [CrossRef]
- Zeng, T.; Mlonka-Mędrala, A.; Lenz, V.; Nelles, M. Evaluation of bottom ash slagging risk during combustion of herbaceous and woody biomass fuels in a small-scale boiler by principal component analysis. Biomass Convers. Biorefinery 2019. [CrossRef]
- Saeed, S.; Saleem, M.; Durrani, A. Thermal performance analysis and synergistic effect on co-pyrolysis of coal and sugarcane bagasse blends pretreated by trihexyltetradecylphosphonium chloride. Fuel 2020, 278, 118240. [Google Scholar] [CrossRef]
- Aboyade, A.O.; Görgens, J.F.; Carrier, M.; Meyer, E.L.; Knoetze, J.H. Thermogravimetric study of the pyrolysis characteristics and kinetics of coal blends with corn and sugarcane residues. Fuel Process. Technol. 2013, 106, 310–320. [Google Scholar] [CrossRef]
- Shi, L.; Liu, Q.; Guo, X.; Wu, W.; Liu, Z. Pyrolysis behavior and bonding information of coal—A TGA study. Fuel Process. Technol. 2013, 108, 125–132. [Google Scholar] [CrossRef]
- Perez-Pimienta, J.A.; Lopez-Ortega, M.G.; Chavez-Carvayar, J.A.; Varanasi, P.; Stavila, V.; Cheng, G.; Singh, S.; Simmons, B.A. Characterization of agave bagasse as a function ofionic liquid pretreatment. Biomass Bioenergy 2015, 75, 180–188. [Google Scholar] [CrossRef]
- Singh, S.; Varanasi, P.; Singh, P.; Adams, P.D.; Auer, M.; Simmons, B.A. Understanding the impact of ionic liquid pretreatment on cellulose and lignin via thermochemical analysis. Biomass Bioenergy 2013, 54, 276–283. [Google Scholar] [CrossRef]
- Aboyade, A.O.; Carrier, M.; Meyer, E.L.; Knoetze, J.H.; Görgens, J.F. Model fitting kinetic analysis and characterisation of the devolatilization of coal blends with corn and sugarcane residues. Thermochim. Acta 2012, 530, 95–106. [Google Scholar] [CrossRef]
- Haykiri-Acma, H.; Yaman, S. Interaction between biomass and different rank coals during co-pyrolysis. Renew. Energy 2010, 35, 288–292. [Google Scholar] [CrossRef]
- Khan, A.S.; Man, Z.; Bustam, M.A.; Kait, C.F.; Ullah, Z.; Nasrullah, A.; Khan, M.I.; Gonfa, G.; Ahmad, P.; Muhammad, N. Kinetics and thermodynamic parameters of ionic liquid pretreated rubber wood biomass. J. Mol. Liq. 2016, 223, 754–762. [Google Scholar] [CrossRef]
- Naqvi, S.R.; Tariq, R.; Hameed, Z.; Ali, I.; Naqvi, M.; Chen, W.H.; Ceylan, S.; Rashid, H.; Ahmad, J.; Taqvi, S.A.; et al. Pyrolysis of high ash sewage sludge: Kinetics and thermodynamic analysis using Coats-Redfern method. Renew. Energy 2019, 131, 854–860. [Google Scholar] [CrossRef]
- Ahmad, M.S.; Mehmood, M.A.; Taqvi, S.T.H.; Elkamel, A.; Liu, C.G.; Xu, J.; Rahimuddin, S.A.; Gull, M. Pyrolysis, kinetics analysis, thermodynamics parameters and reaction mechanism of Typha latifolia to evaluate its bioenergy potential. Bioresour. Technol. 2017, 245, 491–501. [Google Scholar] [CrossRef]
- Mahmood, H.; Moniruzzaman, M.; Iqbal, T.; Yusup, S.; Rashid, M.; Raza, A. Comparative effect of ionic liquids pretreatment on thermogravimetric kinetics of crude oil palm biomass for possible sustainable exploitation. J. Mol. Liq. 2019, 282, 88–96. [Google Scholar] [CrossRef]


| Symbol | Reaction Mechanism | f(α) | g(α) |
|---|---|---|---|
| N1 | Chemical reaction orders | 1 − α | −ln(1 − α) |
| N1.5 | [(1 − α)]3/2 | 2[(1 − α)−1/2 − 1)] | |
| N2 | [(1 − α)]2 | (1 − α)−1 − 1 | |
| N3 | [(1 − α)]3 | ||
| PL | Acceleration | 1 | α |
| MPL | (1 −α)1/2 | α1/2 | |
| AE1.5 | Random nucleation and subsequent growth | 3(1 − α) [−ln(1 − α)]2/3 | [−ln(1 − α)]2/3 |
| AE2 | 2(1 − α) [−ln(1 − α)]1/2 | [−ln(1 − α)]1/2 | |
| D1 | Diffusion | 1/2α | α2 |
| D2 | [−ln(1 − α)]−1 | α + (1 − α) ln (1 − α) |
| Samples | Proximate Analysis (wt. % on Dry Basis) | Volatility (VM/FC) | HHV | ||
|---|---|---|---|---|---|
| VM | FC | Ash | (MJ/kg) | ||
| C75B25 | 56.36 | 26.79 | 16.85 | 2.10 | 18.20 |
| C50B50 | 68.84 | 19.34 | 11.83 | 3.56 | 17.53 |
| C25B75 | 79.22 | 13.82 | 6.96 | 5.73 | 17.22 |
| C75B25 + [Emim][Cl] | 54.33 | 34.39 | 11.27 | 1.58 | 20.65 |
| C50B50 + [Emim][Cl] | 68.63 | 23.97 | 7.40 | 2.86 | 19.18 |
| C25B75 + [Emim][Cl] | 78.55 | 17.73 | 3.72 | 4.43 | 18.53 |
| Samples | Thermodynamic Parameters | CR Models | |||||||||
|---|---|---|---|---|---|---|---|---|---|---|---|
| N1 | N1.5 | N2 | N3 | PL | MPL | AE1.5 | AE2 | D1 | D2 | ||
| C75B25 | ΔH (kJ/mol) | 20.35 | 21.48 | 22.69 | 25.32 | 18.31 | 5.85 | 11.45 | 6.86 | 43.25 | 44.54 |
| ΔG (kJ/mol) | 132.22 | 131.40 | 130.53 | 128.69 | 133.73 | 131.93 | 131.09 | 130.96 | 140.95 | 143.79 | |
| ΔS (J/mol. K) | −178.14 | −175.03 | −171.73 | −164.60 | −183.80 | −200.77 | −190.52 | −197.62 | −155.57 | −158.05 | |
| C50B50 | ΔH (kJ/mol) | 18.42 | 20.10 | 21.94 | 26.08 | 15.55 | 4.46 | 10.15 | 5.89 | 37.73 | 39.43 |
| ΔG (kJ/mol) | 131.77 | 130.46 | 129.07 | 126.07 | 134.09 | 133.45 | 131.60 | 131.97 | 139.05 | 141.50 | |
| ΔS (J/mol. K) | −177.66 | −172.99 | −167.92 | −156.72 | −185.81 | −202.19 | −190.35 | −197.61 | −158.81 | −159.98 | |
| C25B75 | ΔH (kJ/mol) | 18.53 | 20.64 | 22.99 | 28.32 | 15.06 | 4.21 | 10.23 | 5.95 | 36.75 | 38.76 |
| ΔG (kJ/mol) | 132.30 | 130.65 | 128.87 | 124.98 | 135.17 | 134.99 | 132.55 | 133.15 | 139.26 | 141.51 | |
| ΔS (J/mol. K) | −175.83 | −170.03 | −163.65 | −149.40 | −185.64 | −202.12 | −189.07 | −196.60 | −158.44 | −158.80 | |
| C75B25 + [Emim][Cl] | ΔH (kJ/mol) | 5.92 | 7.36 | 8.95 | 12.48 | 3.42 | −1.61 | 1.77 | −0.36 | 13.48 | 14.97 |
| ΔG (kJ/mol) | 123.75 | 122.63 | 121.49 | 119.15 | 125.91 | 126.09 | 123.95 | 124.47 | 128.94 | 131.30 | |
| ΔS (J/mol. K) | −200.40 | −196.03 | −191.39 | −181.40 | −208.31 | −217.17 | −207.78 | −212.29 | −196.36 | −197.84 | |
| C50B50 + [Emim][Cl] | ΔH (kJ/mol) | 6.64 | 8.44 | 10.44 | 15.00 | 3.63 | −1.50 | 2.26 | 0.00 | 13.90 | 15.65 |
| ΔG (kJ/mol) | 123.98 | 122.53 | 121.04 | 117.94 | 126.70 | 127.29 | 124.57 | 125.30 | 128.94 | 131.09 | |
| ΔS (J/mol. K) | −196.89 | −191.43 | −185.56 | −172.72 | −206.48 | −216.09 | −205.22 | −210.23 | −193.02 | −193.68 | |
| C25B75 + [Emim][Cl] | ΔH (kJ/mol) | 5.49 | 9.38 | 14.06 | 25.14 | 0.22 | −3.21 | 1.49 | −0.57 | 7.08 | 9.66 |
| ΔG (kJ/mol) | 122.06 | 118.93 | 115.68 | 109.05 | 127.68 | 129.65 | 123.99 | 125.41 | 127.21 | 128.26 | |
| ΔS (J/mol. K) | −192.99 | −181.36 | −168.24 | −138.91 | −211.02 | −219.97 | −202.80 | −208.58 | −198.89 | −196.36 | |
Publisher’s Note: MDPI stays neutral with regard to jurisdictional claims in published maps and institutional affiliations. |
© 2021 by the authors. Licensee MDPI, Basel, Switzerland. This article is an open access article distributed under the terms and conditions of the Creative Commons Attribution (CC BY) license (https://creativecommons.org/licenses/by/4.0/).
Share and Cite
Saeed, S.; Saleem, M.; Durrani, A.; Haider, J.; Riaz, M.; Saeed, S.; Qyyum, M.A.; Nizami, A.-S.; Rehan, M.; Lee, M. Determination of Kinetic and Thermodynamic Parameters of Pyrolysis of Coal and Sugarcane Bagasse Blends Pretreated by Ionic Liquid: A Step towards Optimization of Energy Systems. Energies 2021, 14, 2544. https://doi.org/10.3390/en14092544
Saeed S, Saleem M, Durrani A, Haider J, Riaz M, Saeed S, Qyyum MA, Nizami A-S, Rehan M, Lee M. Determination of Kinetic and Thermodynamic Parameters of Pyrolysis of Coal and Sugarcane Bagasse Blends Pretreated by Ionic Liquid: A Step towards Optimization of Energy Systems. Energies. 2021; 14(9):2544. https://doi.org/10.3390/en14092544
Chicago/Turabian StyleSaeed, Saad, Mahmood Saleem, Abdullah Durrani, Junaid Haider, Muzaffar Riaz, Sana Saeed, Muhammad Abdul Qyyum, Abdul-Sattar Nizami, Mohammad Rehan, and Moonyong Lee. 2021. "Determination of Kinetic and Thermodynamic Parameters of Pyrolysis of Coal and Sugarcane Bagasse Blends Pretreated by Ionic Liquid: A Step towards Optimization of Energy Systems" Energies 14, no. 9: 2544. https://doi.org/10.3390/en14092544
APA StyleSaeed, S., Saleem, M., Durrani, A., Haider, J., Riaz, M., Saeed, S., Qyyum, M. A., Nizami, A.-S., Rehan, M., & Lee, M. (2021). Determination of Kinetic and Thermodynamic Parameters of Pyrolysis of Coal and Sugarcane Bagasse Blends Pretreated by Ionic Liquid: A Step towards Optimization of Energy Systems. Energies, 14(9), 2544. https://doi.org/10.3390/en14092544

