Abstract
The codigestion of slaughter waste with animal manure can improve its methane yield, and digestion parameters; however, limited studies are available for the effectiveness of anaerobic codigestion using swine slaughter waste (SSW) and swine slurry (SS). Hence, this study was conducted to determine the characteristics of SSW and the effect of anaerobic codigestion with (SS) and explored the potential of CH4 production (Mmax), the lag phase period (λ), and effective digestion time (Teff). SSW contains fat and protein contents of 54% and 30% dry weight within 18.2% of solid matters, whereas SS showed only 6% and 28% within 4.1% of solid matters, respectively. During sole anaerobic digestion, SSW produced a high Mmax (711 Nml CH4/g VSadded) but had a long duration λ (~9 days); whereas SS produced a low Mmax (516 Nml CH4/g VSadded) but had a shorter duration λ (1 day). Codigestion increased the Mmax from 22–84% with no significant Teff compared to sole SS digestion. However, the low Mmax of SS and high Mmax of SSW, resulted in a 7–32% decrease in Mmax at codigestion compared to SSW sole digestion. Codigestion improved the digestion efficiency as it reduced λ (3.3–8.5 days shorter) and Teff (6.5–9.1 days faster) compared to SSW sole digestion. The substrate-to-inoculum ratio of 0.5 was better than 1; the volatile solid and micronutrient availability may be attributed to improved digestion. These results can be used for the better management of SSW and SS for bio-energy production on a large scale.
1. Introduction
A drastic increase in meat consumption per capita from 13.9 kg in 1980 to 53.9 kg in 2018 was observed in South Korea, and this resulted in an increased amount of slaughtered livestock [1]. This also increased the generation of by-products (slaughter waste) from the slaughtered livestock. It was reported that 16.7 million swine were slaughtered in 2017 and around 260,018 tons of swine slaughter waste (SSW) was generated in South Korea [2]. SSW mainly contains blood, viscera (digestive tract tissues), and offal (internal organs) not intended for human consumption [3,4]. It contains highly volatile solids (VSs) from fat and protein content, which indicated that SSW was an energy-rich waste. Previously, South Korea disposed of SSW through ocean dumping, composting, recycling as animal feed, and land fill. However, in 2012, ocean dumping was prohibited in South Korea. Moreover, there has recently been an interest in utilizing slaughter waste as a substrate for anaerobic digestion [1,5,6].
Around 13 million tons of swine slurry (SS) is produced in South Korea every year [7]. SS contains a large amount of organic matter (found in around 0.6–12.6% of its total solids (TS)) and exists mainly in the liquid form [8,9]. Its accumulation leads to greenhouse gas and odor emission during storage and soil and water pollution through runoff and leachate. In addition, slurry transportation is uneconomical; therefore, on-site treatment is preferable [8].
Kim et al. [10] reported that 49 biogas plants were available in South Korea, 9 of which treated livestock manure and 13 which used a mixture of swine manure and food waste or any other organic mixtures. These biogas plants were characterized as uneconomical due to their high operational cost and low amount of methane production. It was also reported that biogas production using a sole substrate, such as livestock manure alone, was not economically sustainable [11], whereas codigestion might be profitable. The codigestion of two or more organic wastes was preferred to improve digestion stability and CH4 production [12,13,14,15,16]. The positive effects of codigestion are the dilution of inhibitory compounds, a better macro- and micronutrient balance, the improvement of buffering capacity, and balance of the VSs content of the mixture [17]. The substrates utilized for codigestion were selected based on several factors such as compatibility and geographical availability [17].
SS consists of high macro- and micronutrients and a high buffering capacity but low VSs, which result in a low CH4 yield during the anaerobic digestion process [18], whereas SSW contains low macro- and micronutrients and a low buffering capacity but a high content of VSs. In terms of geographical availability, a slaughterhouse is usually located near a livestock farming facility to reduce transportation costs. Hence, the codigestion of livestock waste and slaughter waste is a feasible option to improve the anaerobic digestion parameters such as the maximum CH4 potential production (Mmax), lag phase period (λ), ionand effective digest time (Teff). However, very limited studies are available for the codigestion effect of SSW and SS on methane yield and digestion parameters. Therefore, the objectives of this study were to determine the characteristics (the chemical, proximate, ultimate, energy content, and biomethane potential (BMP) characteristics) of SSW and SS and improve anaerobic digestion through codigestion. These results can be referred to in order to improve the bio-energy production of SSW and SS on a large scale.
2. Materials and Methods
2.1. Experimental Design (Substrates and Inocula)
The SSW samples were collected from a slaughterhouse in Yeongcheon City, Gyeongsang Province, South Korea, which slaughtered around 189,466 swine in 2017 [2]. The samples collected consisted of livestock remains except for blood, brain, bones, and spinal cord. Blood was omitted since it was processed separately by the slaughterhouse. Brain, spinal cord, and skin hairs were also omitted due to safety reasons. The sample mostly contains intestines, feeds left-over in the stomach, and flushing contents. SS was collected from the swine farm in Hoengseong County, Gangwon Province, South Korea. The samples were mixed separately (ground into SSW using a fruit mixer), sieved (<5 mm) and dried at 105 °C for 12 h, and used for chemical, ultimate, and higher heating value (HHV) analysis. The wet sample was utilized for the proximate and BMP analyses. The inoculum was collected from a mesophilic anaerobic digester treating SS (active anaerobic digester in Suwon campus) and used for the BMP experiment. The inoculum was maintained in a serum bottle (250 mL) with the addition of SS and SSW once a month. Before the experiment, the inoculum was degassed for two weeks to deplete any remaining organic materials and gas production. Table 1 shows the characteristics of the inoculum utilized in both BMP and codigestion experiments.
Table 1.
Anaerobic inoculum characteristics.
2.2. BMP Analysis and Codigestion Experiment
The BMP of SSW and SS was measured using 250-mL serum bottles. The substrate-to-inoculum ratio (S/I ratio, 1 and 0.5) was selected based on the vs. content of the substrate and inocula [5]. The total volume of the digestion was set at 200 mL. The head space was filled with CO2 and N2 gas (20:80% volume per volume), and the bottle was sealed with a butyl rubber cap and aluminum crimps and incubated at 35 °C for 50 days. The control experiment was conducted by adding inocula and distilled water only. The codigestion experiment of SSW and SS was performed in five different SSW samples per SS (SSW/SS) ratio of 1:0, 0:1, 2:1, 1:1, and 1:2, on a w/w vs. basis. This was equal to a 100% (946 g VS/L), 0% (676 g VS/L), 67% (875 g VS/L), 50% (811 g VS/L), and 33% (765 g VS/L) vs. basis of SSW content in the codigested mixture (Table 2). The experiments were also performed at an S/I ratio of 1 and 0.5 w/w vs. basis, and the procedure followed was the same as that for the BMP test. Then, 50 mL of the mixture was sampled for further analysis.
Table 2.
Experimental design of anaerobic codigestion experiment of SSW with SS and its mixtures.
2.3. Analytical Methods
2.3.1. Chemical, Proximate, Ultimate Analysis, and Mineral Content
Chemical analysis of fat, protein, neutral detergent fiber (NDF), and acid detergent fiber (ADF) was performed in SSW and SS. Fat content was determined by Soxhlet extraction with ether as solvent. Protein content was determined with total Kjeldahl nitrogen (TKN). NDF and ADF contents were determined according to the study by Fernández-Cegrí et al. [19]. Proximate analyses of moisture, TS, VS, and fixed solids (FS) were performed by standard methods [20]. Before ultimate (elemental) analysis, samples were pretreated following the procedure described in the study by Choi et al. [21]. Carbon (C), hydrogen (H), nitrogen (N), and sulfur (S) contents of pretreated samples were analyzed with an elemental analyzer (Flash EA 1112, Thermo Fisher Scientific, Dreieich, Germany). The oxygen (O) content of the samples was analyzed using a Flash 2000 elemental analyzer (Thermo Fisher Scientific, Germany). The mineral contents such as cobalt (Co), iron (Fe), molybdenum (Mo), nickel (Ni), tungsten (W), and zinc (Zn) of SSW and SS were analyzed by inductively coupled plasma atomic emission spectroscopy (ICP-7510, Shimadzu Corp., Kyoto, Japan). Before the analysis, the samples were digested with nitric acid–hydrochloric acid (method number 3030F) [20].
2.3.2. HHV Analysis
Dried samples were ground using a mortar and pestle and sieved (5 mm) (DH.Si8021, DAIHAN Scientific, Gangwon-do, Korea), then pelletized using a pellet press (2811, Parr Instrument), and analyzed using an oxygen bomb calorimeter (Model 1341 plain jacket calorimeter, Parr Instrument). Benzoic acid pellets (3415, Parr Instrument) were used to standardize the oxygen bomb calorimeter prior to the analysis.
2.3.3. Biogas Production, Composition, and Specific CH4 Yield
The biogas production was analyzed using the manometric method, in which constant volume was maintained and headspace pressure increase was measured using a pressure transducer [22]. The excess gas was released regularly and quantified using a glass syringe until the pressure was similar to that at the start of the incubation [23]. The gas composition was analyzed using a gas chromatograph HP 6890N (Agilent Technologies) equipped with an HP-PLOT Q column (Agilent Technologies) and a thermal conductivity detector. The inlet, oven, and detector temperatures were 40 °C, 35 °C, and 200 °C, respectively. The CH4 content was then utilized to determine CH4 production and, subsequently, the specific methane yield (SMY) using Equation (1):
where SMY is the specific CH4 yield, in Nml CH4/g VSadded or NL CH4/kg VSadded; MP is the CH4 production, in mL; vs. is the volatile solid content of initial samples, in g; t0 is the temperature under a standard condition, 273 K; and ti is the temperature where the experiment was conducted, 308 K.
2.3.4. Theoretical CH4 Yield (TMY)
Elemental analysis was used to determine the chemical formula of organic waste [5]. TMY can be determined empirically from the chemical formula of organic waste suggested by Symons and Buswell [24], and Boyle [25]. Equation (2) was used to determine theoretical CH4 from the chemical formula of organic waste [5,26]. This equation considered the production of carbon dioxide (CO2), ammonia (NH3), and hydrogen sulfide (H2S) gas, which were the by-products of anaerobic digestion complex substrates:
The reaction coefficient for H2O (x), CH4 (y), and CO2 (z) can be determined using Equation (3):
The TMY of organic waste at a standard temperature and pressure of 1 atm and 273 K can be determined using Equation (4) as suggested by Pellera and Gidarakos [27]:
where TMY is the theoretical CH4 yield, in Nml CH4/g VS.
The degree of anaerobic degradation (Ddeg) was determined using Equation (5):
where Ddeg is the degree of anaerobic degradation, in %.
2.3.5. Kinetic Model
The biogas production curve during anaerobic digestion of the complex organic material corresponds to a slower flat curve [28]. Thus, the lag phase (λ) is also an important factor determining anaerobic digestion efficiency, as well as the cumulative CH4 yield (CMY) and CH4 production rate [29]. Using the modified Gompertz formula, λ can be estimated as follows [30]:
where M(t) is the CMY at digestion time t, in NmL CH4/g VSadded; Mmax is the maximum CH4 production potential, in NmL CH4/g VSadded; Rmax is the maximum CH4 production rate, in NmL CH4/g VSadded/day; λ is the lag phase period, in days; t is the observation time, in days; and e is the exp(1) = 2.7183.
A nonlinear least-squares regression analysis was performed using Excel solver add-in to determine Mmax, Rmax, λ, and correlation coefficient (R2) of the produced model. In addition, the Excel solver was also used to estimate T90 that is the time required to obtain 90% Mmax. Using T90 and λ, the effective digestion time (Teff) can be calculated by using Equation (7):
where Teff is the effective digestion time, in days; and T90 is the time required to obtain 90% Mmax, in days.
The simulated maximum CH4 production potential of the codigested mixture (Msim) was calculated by the proportion of SSW and SS in the mixture and the Mmax was estimated using the modified Gompertz formula for the sole SSW or SS anaerobic digestion, as shown in Equation (8) [29]:
where Msim is the simulated maximum CH4 production potential of the codigested mixture obtained from the modified Gompertz formula, in NmL CH4/g VSadded; MSSW is the Mmax of SSW obtained from the modified Gompertz formula, in NmL CH4/g VSadded; %YSSW is the percentage of SSW in the mixture, in %; MSS is the Mmax value of SS obtained from the modified Gompertz formula, in NmL CH4/g VSadded; and %YSS is the percentage of SS in the mixture, in %.
2.3.6. Synergistic Effect
The synergistic effect is inner reactions produced by the codigestion of different components. Each codigested substrate can influence the CH4 production rate [31]. The synergistic effect was calculated using Equation (9):
where Mcodigestion is the experimental Mmax obtained from the modified Gompertz formula (Equation (8)) of the codigested substrate, in NmL CH4/g VSadded.
The α value determines the type of synergistic relation among codigested substrates. Specifically, α > 1 indicated that codigested substrates have a synergistic effect, α = 1 indicated that codigested substrates work independently during the digestion process, and α < 1 indicated that codigested substrates have an antagonistic effect [31].
2.3.7. Statistical Analysis
The one-tail t-test was performed to compare the anaerobic digestion parameters (SMY, Mmax, Rmax, λ, T90, and Teff) of SSW and SS at different S/I ratios. One-way analysis of variance followed by Tukey’s honest significant difference test was performed to determine the effect of SSW codigestion with SS on the anaerobic digestion parameters at the same S/I ratio (1 or 0.5). The statistical significance level was set at p < 0.05 for all the analyses.
3. Results and Discussion
3.1. Characteristics of SSW and SS
The characteristics of SSW and SS are shown in Table 3. SSW showed less TS (18.2%) than previous studies, which reported 27.9% and 55% TS [18,32,33]. This might be attributed to the amount of water used for flushing and cleaning in the slaughterhouse before sample collection. However, the vs. content was noted as 94.57% of TS (% DW) and mainly consisted of protein (30.44% DW) and fat (53.64% DW), indicating an energy-rich substrate. Interestingly, the fat and protein contents were higher than those previously reported in South Korea by Yoon et al. [5] who found 15.1% fat and 40.1% protein DW in SSW. The difference might be due to the offal that increased the fat content. Some studies found that swine offal had fat and protein contents between 41.8 and 65.76%, and 20.1 and 31.6% DW, respectively [18,33].
Table 3.
Characteristics of SSW and SS.
The TS content of SS was observed to be 4.1% with 67.6% vs. of DW, indicating a high mineral (FS) content. The protein (28.1% DW) and NDF (27.4% DW) contributed to the vs. content, which originated from the swine manure and wasted feed [7,8]. Moreover, the manure itself contained undigested feed material from the digestive tract. The TS and vs. contents of SS were within the ranges between 0.6 and 12.6% DW and between 56 and 84% DW, as previously reported in South Korea, respectively [9]. SSW contains higher vs. and fat contents than SS, while SS showed higher FS, NDF, ADF, and hemicellulose contents than SSW. Fat is an energy-rich substance, indicating that SSW has a higher energy content than SS. Additionally, a high vs. content indicated that more organic matter was available in SSW to be converted into CH4 during anaerobic digestion. SSW showed lower mineral contents (6.82% as FS) than SS (32.4%), which might inhibit the CH4 generation rate when used alone for the digestion. Therefore, the codigestion of SSW with SS might contribute enough minerals for the microbes in the digestion, resulting in an enhanced CH4 production.
3.2. Energy Content of SSW and SS
SSW showed a high energy content with an HHV of 28.43 MJ/kg DW, which was higher than that of any of the renewable resources. Figure 1 shows that energy crops had an HHV between 14.69 and 20.71 MJ/kg DW [34,35], whereas the livestock manure collected in South Korea had an HHV between 11.92 and 19.44 MJ/kg DW [21]. Palm kernels had the highest HHV (21 MJ/kg DW) among the energy crops, while SS had the highest HHV (17.6 MJ/kg DW) among the livestock waste. The high HHV of SSW indicated that it had the potential to be used as a substrate for bio-energy production. SS had an HHV of 17.6 MJ/kg DW, and was within the range (11.9–19.44 MJ/kg DW) of HHVs from livestock waste in South Korea [21]. Moreover, it was suggested that the HHV and vs. had a positive correlation [21,34,35]. In the case of fresh weight, the SSW and SS (Table 3) exhibited an HHV of 5.17 and 0.72 MJ/kg FW, respectively. This showed that the physical energy valorization from SSW and SS was not sustainable due to the small amount of energy that could be recovered from the thermal treatment of fresh SSW and SS [26]. Thus, alternative technology to recover energy from SSW and SS is necessary. Any VS-containing substrates can be used in anaerobic digestion process for making biogas (VS converted to biogas) and successfully applied in large-scale digester systems across Europe [36]. Thus, anaerobic digestion could be an alternative technology to recover energy from SSW and SS.
Figure 1.
Comparison of the HHV of SSW, SS, and bio-wastes. ** This study. * Average value of 12 samples [21,34,35].
3.3. Anaerobic Digestion of SSW and SS
Table 4 shows the ultimate analysis, empirical chemical formula, TMY, SMY, and Ddeg of SSW and SS. The S/I ratio had a significant effect on the SMY and Ddeg of SSW and SS (p < 0.05). The SMY and Ddeg of SSW were 611.5 and 711.2 Nml CH4/g VSadded, and 84.3 and 98% at an S/I ratio of 1, and 0.5, respectively. TMY was observed at 725.5 Nml CH4/g vs. of SSW. Following this finding, Yoon et al. [5] reported that the anaerobic digestion of SSW showed an SMY of 357–589 Nml CH4/g VSadded. The anaerobic digestion of swine offal showed a high SMY of 866 Nml CH4/g VSadded [18], mixed SSW (blood, meat, fat, and flour). A study in Denmark showed the highest SMY of 620 Nml CH4/g VSadded [32], and SSW (meat tissue, fat, bristles, and intestinal wastes) from Poland showed an SMY of 839.2 Nml CH4/g VSadded [14]. A wide range of SMY from SSW occurred because of variations in the SSW and inoculum characteristics.
Table 4.
Ultimate analysis, empirical formula, TMY, SMY, and degree of anaerobic digestion (Ddeg) from SSW and SS.
In the case of SS, the TMY was 529.5 Nml CH4/g VS, whereas the SMY and Ddeg were 310.1 and 516.3 Nml CH4/g VSadded and 58.6 and 97.5% at an S/I ratio of 1 and 0.5, respectively. The S/I ratio of 1 indicated a lower degradability in SS than in SSW (84%). This might be due to the low vs. content observed in the SS. Previous studies demonstrated similar methane yields from SS. Zhang et al. [29], and Rodríguez-Abalde et al. [18] reported that the SMY from the anaerobic digestion of swine manure were 358.7 Nml CH4/g VSadded, and 204 Nml CH4/g VSadded, respectively. Chae et al. [37] observed 228–437 Nml CH4/g vs. at SS feed loads between 5% and 40% (v/v reactor). SSW was a better substrate than the SS in the anaerobic digester as, in this study, a higher degradability and SMY were found.
The improvement of Ddeg and SMY at a low S/I ratio was also observed in a previous study, where Yoon et al. [5] reported that the Ddeg of the swine intestine residue and swine digestive tract content improved from 77.0 to 85.8% and from 69.9 to 86.3% when the S/I ratio reduced from 1 to 0.5, respectively. The SMY was also improved from 361 to 446 mL CH4/g VSadded of SSW at an S/I ratio of 1–0.5. The high inocula during batch anaerobic digestion could prevent VFA accumulation at the initial stage of anaerobic digestion and the rapid conversion of VFA into CH4 [38]; the same results were observed in this study. Moreover, high inoculums can dilute the toxic content in the substrate, which might explain the improvement of the SMY and Ddeg of SSW and SS at an S/I ratio of 0.5 than 1.
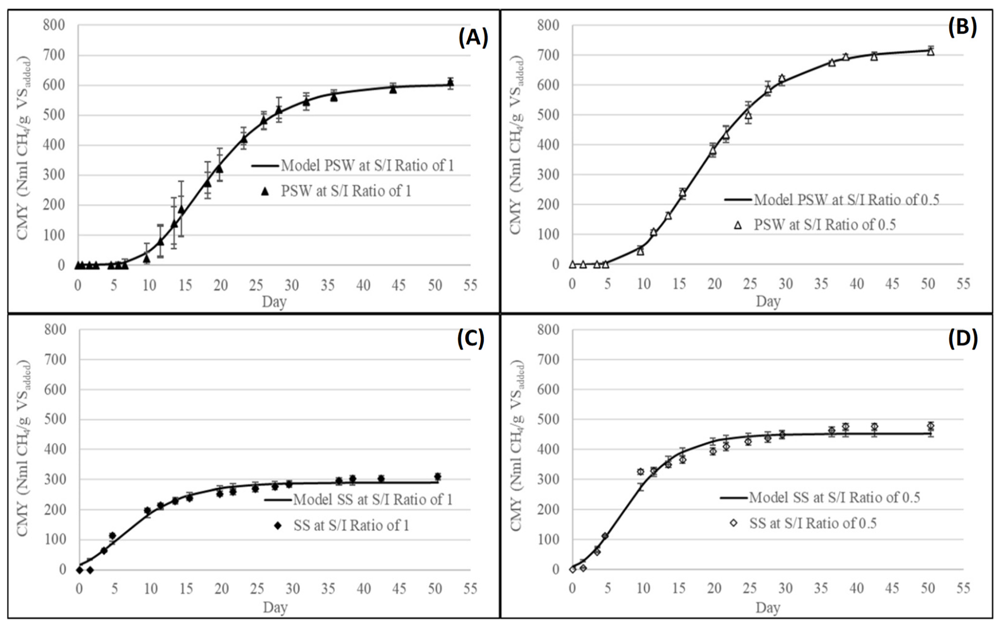
The modified Gompertz formula (Equation (6)) was used to estimate the maximum Mmax, Rmax, λ, Mmax, T90, and Teff, and the estimated parameters are shown in Table 5. The estimated CMY from the modified Gompertz formula was plotted against the experimental CMY of SSW and SS to test the model accuracy (Figure 2). The correlation coefficient (R2) ranged from 0.989 to 0.999 (Table 5), indicating the best fit to the substrate used in the experiment. Previous studies also predicted the same accuracy, where the CMY curve from the anaerobic codigestion of SS, dewatered sewage sludge2 and apple waste was best fitted with the modified Gompertz formula [29,30]. A low S/I ratio resulted in a higher Mmax for SSW and SS (p < 0.05), whereas SSW had significantly higher Mmax than SS at both S/I ratios (p < 0.05). The Mmax was estimated for SSW at 598.7 and 723.7 Nml CH4/kg VSadded at an S/I ratio of 1 and 0.5, whereas SS showed only 289.8 and 453.2 Nml CH4/kg VSadded, respectively.
Table 5.
Anaerobic digestion parameters of SSW and SS estimated using the modified Gompertz formula (Equation (6)).
Figure 2.
CMY estimated using the modified Gompertz formula (line) plotted against experimental CMY (bullet points) of SSW and SS. (A) SSW at an S/I ratio of 1, (B) SSW at an S/I ratio of 0.5, (C) SS at an S/I ratio of 1, and (D) SS at an S/I ratio of 0.5. PSW, pig slaughter waste equal to SSW.
In addition to Mmax, λ and digestion time (T90 and Teff) were also important anaerobic digestion parameters. An indicator of methanogen adaptation to the environment, λ also represented the substrate bio-availability [33,39]. The λ was estimated at 9 and 9.7 days for SSW at an S/I ratio of 0.5 and 1, respectively (Table 5). Following this, Rodríguez-Abalde et al. [18] observed 7 days of λ during the batch anaerobic digestion of SSW with a fat content of 65.7% DW. The long λ indicated that the vs. in SSW was not readily available for the microbes and the microbial adaptation to a high fat content [40,41]. This could be related to a high fat content in the SSW (53.6% DW), and fat requires more time for the anaerobic digestion [40].
However, the long λ might affect the overall anaerobic reactor performance, especially the digestion times such as T90 and Teff (Table 5). T90 is defined as the time required to obtain 90% of Mmax [30]. The T90 calculated in this study was 30.7 and 33 days for SSW at an S/I ratio of 1 and 0.5, respectively. Subtracting T90 with λ as Teff (effective digestion time) for SSW at an S/I ratio of 1 and 0.5 was 20.9 and 24 days, respectively. There was no significant difference for T90 and Teff at different S/I ratios; however, these parameters were moderately higher in SSW than SS. Teff indicated that most CH4 production of SSW requires 20.9–24 days assuming that there is no λ at the beginning of the digestion process. Thus, λ occurrence made the digestion process longer than necessary. A long λ, T90, and Teff might be caused by the high fat and low mineral content in the SSW, which takes more degradation time and inadequate nutrients. In practice, a long λ, T90, and Teff for waste treatment increase the operational cost, which reduces the economic benefit of the systems; therefore, these parameters must be reduced during anaerobic digestion. The codigestion of SSW with other organic matters might be the solution to reduce those parameters during anaerobic digestion.
Interestingly, SS demonstrated a higher Rmax with a rapid degradation of vs. at a minimum λ of 1.5 days and 0.2 days and at an S/I ratio of 0.5 and 1, respectively. These indicated that SS might have a more available, soluble, organic compound for a bacterial community in the digester. Compared to SSW, SS produced less Mmax at both S/I ratios. For instance, the Mmax of SS was only 48.4% of SSW at an S/I ratio of 1. However, SS had lower λ, T90, and Teff which indicated that vs. in SS was easily degradable and soluble. However, SS had low Mmax and SMY compared to SSW (p < 0.05) due to its low vs. content. SS showed a high FS content (32.4% DW) which indicated that it consisted of rich minerals that might benefit the anaerobic digestion process. On the other hand, a low SMY and Mmax might indicate the unviable use of SS as a feedstock in anaerobic digestion. Therefore, the codigestion of SS with SSW might help to achieve a better digestion efficiency by reducing the λ, T90, and Teff, improving CH4 production, and thus becoming a viable option.
3.4. Codigestion of SSW with SS
The codigestion effects of SSW with the SS parameters are shown in Table 6. The codigestion increased Mmax from 289.8 and 453.2 Nml CH4/g VSadded to 405.1 and 672.4 Nml CH4/g VSadded at an S/I ratio of 1 and 0.5, respectively. This was equal to a 22–84% Mmax increase compared to the sole digestion of SS. Moreover, codigestion had no significant effect on T90 and Teff at both S/I ratios. This indicated that SSW codigestion with SS improved digestion efficiency in terms of higher CH4 generation with the help of a greater vs. addition from SSW. The mixing of SSW and SS increased the vs. content due to the high fat content in the SSW, and fat has a higher CH4 production potential than protein and carbohydrates.
Table 6.
Anaerobic digestion parameters from codigestion of SSW with SS. The SSW content in the codigested mixture was 100% (P1), 0% (P2), 67% (P3), 50% (P4), and 33% (P5) on a vs. basis.
Mmax of the codigested substrate at both S/I ratios was significantly lower than that for sole SSW digestion. The Mmax obtained from the codigestion of SSW and SS was 535.1, 482.9, and 405.1 Nml CH4/g VSadded at mixing percentages of 67%, 50%, and 33% of SSW at an S/I ratio of 1, respectively. Meanwhile, at an S/I ratio of 0.5, the Mmax was 672.4, 634.8, and 555.5 Nml CH4/g VSadded for the codigested mixture containing 67%, 50%, and 33% of SSW, respectively. The codigested mixture reduced the Mmax to 7–32% in comparison to the sole digestion of PWS.
Previous studies also revealed a more reduced Mmax during the anaerobic codigestion of slaughter waste with other substrates, compared to sole digestion. Borowski and Kubacki [14] observed that SSW alone had an Mmax value of 839 Nml CH4/g VSadded, while, during the codigestion with sewage sludge at a mixing ratio of 30% and 50% weight per weight (w/w), the Mmax ranged from 472.8 to 608.6 Nml CH4/g VSadded. Rodríguez-Abalde et al. [18] obtained Mmax of 430 Nml CH4/g VSadded in the codigestion of 36% SSW with 67% swine manure (SM). This was lower than that for SSW sole digestion (Mmax of 809 Nml CH4/g VSadded). The reduced Mmax was attributed to the low methane potential in the codigested materials other than SSW.
However, the codigestion of SSW and SS had a significant effect on λ, T90, and Teff (Table 6). The anaerobic digestion of sole SSW had the highest λ, T90, and Teff at both S/I ratios. All the codigested mixtures had a significantly lower (p < 0.05) λ, T90, and Teff compared to sole SSW digestion (Table 6). Codigestion shortened the λ from 9 and 9.7 days (sole digestion of SSW) to between 1.2 and 5.7 days (SSW and SS codigestion) at an S/I ratio of 1 and 0.5, respectively. It also shortened the Teff from 20.9 and 24.0 days (SSW sole digestion) to between 13.5 and 15.7 days (SSW and SS codigestion) at an S/I ratio of 1 and 0.5, respectively. T90 was also shortened from 30.7 and 33 days (SSW sole digestion) to 14.9–20.6 days (SSW and SS codigestion) at a S/I ratio of 1 and 0.5, respectively. The improved digestion properties such as λ, T90, and Teff were attributed to the SS characteristics (dissolved OM and micronutrients) than SSW. SS had a high moisture content (95.9% FW), indicating that the vs. and nutrients were mostly present in soluble form. Moreover, Table 7 shows that SS had higher cobalt (Co), iron (Fe), molybdenum (Mo), nickel (Ni), tungsten (W), and zinc (Zn) contents compared to SSW. The last stage of methanogenesis, CH3-CoM formation, was facilitated by the enzyme, methyltransferase. Co and Ni are known cofactors for the enzyme reaction [40,42]. This indicated that an adequate concentration of Co and Ni during anaerobic digestion was necessary. Shorter λ, T90, and Teff indicated that the codigestion of SSW and SS improved anaerobic digestion efficiency in terms of a shorter digestion time from an SSW perspective.
Table 7.
Comparison of the mineral contents of SSW and SS.
Table 7 shows that the SSW only had a Co and Ni content of 0.3 and 2.9 mg/kg, while SS contained 10.4 and 25 mg/kg, respectively. The recommended Co and Ni content for anaerobic digestion was between 0.03 and 35 mg/kg [40]. This indicated that the low Co and Ni content in SSW was still adequate for anaerobic digestion. This was confirmed from the sole digestion of SSW, which showed a high Mmax, Ddeg, and SMY (Table 4 and Table 5). However, a long λ, T90, and Teff observed during the anaerobic digestion of SSW might indicate that both Co and Ni might not be readily available from the start of anaerobic digestion.
Mineral availability is an important factor in anaerobic digestion, and it exists in a soluble (free ions) form, complex form (organic or inorganic), and precipitate form [42,43,44]. A high vs. content of SSW might form a mineral complex with Co and Ni, which makes it unavailable from the start of anaerobic digestion. After the vs. is digested through hydrolysis and acidification processes, the Co and Ni then become available to be utilized by the microorganisms. This might be one cause of the long λ, T90, and Teff observed during the anaerobic digestion of SSW.
On the other hand, SS had low VSs with a higher moisture, Co, and Ni content than SSW, which was attributed to the improved digestion (shorter λ, T90, and Teff) in the codigestion mixture compared to sole SSW digestion. Moreover, the effect of SSW and SS codigestion on other minerals and the anaerobic digestion parameters seems to be an interesting topic for further studies. Substrate codigestion can produce either a synergistic or an antagonistic effect. The antagonistic effect occurred when the experimental Mmax was lower than the simulated Mmax, whereas the synergistic effect occurred when the experimental Mmax was higher than the simulated Mmax [31]. The experimental Mmax of SSW codigestion, with an SS at an S/I ratio of 1 and 0.5, showed an α value of more than 1 indicating that the synergistic effect occurred during the anaerobic codigestion of SSW and SS (Table 8). The combination of the high vs. and fat contents of SSW and highly soluble OM, and Co, and Ni contents of SS were the reason for the synergistic effect. Digestate characteristics are further recommended for a detailed analysis of their possible agricultural reuse, especially regarding heavy metals and microbiological parameters.
Table 8.
Results of the synergistic or antagonistic effect produced by the codigestion of SSW with SS.
4. Conclusions
In this study, we conclude that the SSW and SS have significant biomethane production potential. However, the anaerobic codigestion of SSW and SS improves the λ and Teff, as well as causing a considerable amount of methane production. SSW contributes more organic matter, while SS provides more minerals for the improved digestion. The substrate to inoculums ratio affects methane production, significantly. Experimental and simulated methane yields are correlated. Still, the exact mechanisms of the shorter λ and Teff of SSW codigestion with SS are not clear. Hence, the codigestion effect on mineral availability and anaerobic digestion parameters seems to be an interesting topic for future research.
Author Contributions
Conceptualization, A.R., S.I.A.S. and H.L.C.; methodology, A.R. and S.I.A.S.; software, A.R.; validation, A.R., S.I.A.S. and A.F.; formal analysis, A.R. and S.I.A.S.; investigation, A.R.; resources, A.R., A.F. and S.I.A.S.; data curation, A.R., A.F. and H.L.C.; writing—original draft preparation, A.R., H.L.C. and A.S.; writing—review and editing, A.R., S.I.A.S., A.F., H.L.C., D.H.A., Y.W.C. and A.S.; visualization, A.R. and A.F.; supervision, H.L.C., D.H.A. and Y.W.C.; project administration, H.L.C., D.H.A. and Y.W.C.; and funding acquisition, H.L.C., D.H.A. and Y.W.C. All authors have read and agreed to the published version of the manuscript.
Funding
This research was funded by Korea Institute of Planning and Evaluation for Technology in Food, Agriculture, Forestry and Fisheries (iPET), project number 116049-3, Ministry of Agriculture, Food, and Rural Affairs, Republic of Korea.
Institutional Review Board Statement
Not applicable.
Informed Consent Statement
Not applicable.
Data Availability Statement
The data presented in this study are available on request from the corresponding author.
Acknowledgments
The authors want to express their gratitude to Seoul National University (SNU) Global Scholarship, SNU Lecture & Research Scholarship, SNU Merit-based Scholarship, and Farmsco Co., Ltd. for the financial support the author received during his doctoral program.
Conflicts of Interest
The authors declare no conflict of interest.
References
- Lee, J.; Koo, T.; Han, G.; Shin, S.G.; Hwang, S. Anaerobic digestion of cattle offal: Protein and lipid-rich substrate degradation and population dynamics of acidogens and methanogens. Bioprocess Biosyst. Eng. 2015, 38, 2349–2360. [Google Scholar] [CrossRef] [PubMed]
- APQA. Animal and Plant Quarantine Agency, Republic of Korea. 2017. Available online: http://www.qia.go.kr/livestock/clean/listTcsjWebAction.do?clear=1 (accessed on 18 August 2017).
- Alvarez, R.; Liden, G. Semi-continuous co-digestion of solid slaughter waste, manure, and fruit and vegetable waste. Renew. Energy 2008, 33, 726–734. [Google Scholar] [CrossRef]
- Cuetos, M.J.; Gómez, X.; Otero, M.; Morán, A. Anaerobic digestion of solid slaughter waste (SHW) at laboratory scale: Influence of co-digestion with the organic fraction of municipal solid waste (OFMSW). Biochem. Eng. J. 2008, 40, 99–106. [Google Scholar] [CrossRef]
- Yoon, Y.-M.; Kim, S.-H.; Shin, K.-S.; Kim, C.-H. Effects of substrate to inoculum ratio on the biochemical methane potential of swinegery slaughter wastes. Asian-Australas. J. Anim. Sci. 2014, 27, 600. [Google Scholar] [CrossRef] [PubMed]
- Nazifa, T.H.; Saady, N.M.C.; Bazan, C.; Zendehboudi, S.; Aftab, A.; Albayati, T.M. Anaerobic digestion of blood from slaughtered livestock: A review. Energies 2021, 14, 5666. [Google Scholar] [CrossRef]
- Suresh, A.; Choi, H. In situ rapid estimation of nutrients and organic matter in swine slurry by a hydrometer. Appl. Eng. Agric. 2012, 28, 935–942. [Google Scholar] [CrossRef]
- Renggaman, A.; Choi, H.L.; Suresh, A. Underground anaerobic digester to solve the energy balance problem in temperate regions: A pilot study. Appl. Eng. Agric. 2015, 31, 643–651. [Google Scholar]
- Suresh, A.; Choi, H.; Oh, D.; Moon, O. Prediction of the nutrients value and biochemical characteristics of swine slurry by measurement of EC–Electrical conductivity. Bioresour. Technol. 2009, 100, 4683–4689. [Google Scholar] [CrossRef]
- Kim, Y.-S.; Yoon, Y.-M.; Kim, C.-H.; Giersdorf, J. Status of biogas technologies and policies in South Korea. Renew. Sustain. Energy Rev. 2012, 16, 3430–3438. [Google Scholar] [CrossRef]
- Møller, H.B.; Nielsen, A.M.; Nakakubo, R.; Olsen, H.J. Process performance of biogas digesters incorporating pre-separated manure. Livest. Sci. 2007, 112, 217–223. [Google Scholar] [CrossRef]
- Castellucci, S.; Cocchi, S.; Allegrini, E.; Vecchione, L. Anaerobic digestion and co-digestion of slaughterhouse wastes. J. Agric. Eng. 2013, 44, s2. [Google Scholar] [CrossRef]
- Mainardis, M.; Cabbai, V.; Zannier, G.; Visintini, D.; Goi, D. Characterization and BMP tests of liquid substrates for high-rate anaerobic digestion. Chem. Biochem. Eng. Q. 2017, 31, 509–518. [Google Scholar] [CrossRef]
- Borowski, S.; Kubacki, P. Co-digestion of swine slaughter waste with sewage sludge. Waste Manag. 2015, 40, 119–126. [Google Scholar] [CrossRef]
- Mata-Alvarez, J.; Dosta, J.; Macé, S.; Astals, S. Codigestion of solid wastes: A review of its uses and perspectives including modeling. Crit. Rev. Biotechnol. 2011, 31, 99–111. [Google Scholar] [CrossRef]
- Pagés-Díaz, J.; Westman, J.; Taherzadeh, M.J.; Pereda-Reyes, I.; Horváth, I.S. Semi-continuous co-digestion of solid cattle slaughter wastes with other waste streams: Interactions within the mixtures and methanogenic community structure. Chem. Eng. J. 2015, 273, 28–36. [Google Scholar] [CrossRef]
- Mata-Alvarez, J.; Dosta, J.; Romero-Güiza, M.; Fonoll, X.; Peces, M.; Astals, S. A critical review on anaerobic co-digestion achievements between 2010 and 2013. Renew. Sustain. Energy Rev. 2014, 36, 412–427. [Google Scholar] [CrossRef]
- Rodríguez-Abalde, Á.; Flotats, X.; Fernández, B. Optimization of the anaerobic co-digestion of pasteurized slaughter waste, swine slurry and glycerine. Waste Manag. 2017, 61, 521–528. [Google Scholar] [CrossRef] [Green Version]
- Fernández-Cegrí, V.; De la Rubia, M.Á.; Raposo, F.; Borja, R. Effect of hydrothermal pretreatment of sunflower oil cake on biomethane potential focusing on fibre composition. Bioresour. Technol. 2012, 123, 424–429. [Google Scholar] [CrossRef]
- APHA. Standard Methods for the Examination of Water & Wastewater, 21st ed.; American Public Health Association: Washington, DC, USA, 2005. [Google Scholar]
- Choi, H.L.; Sudiarto, S.I.A.; Renggaman, A. Prediction of livestock manure and mixture higher heating value based on fundamental analysis. Fuel 2014, 116, 772–780. [Google Scholar] [CrossRef]
- Himanshu, H.; Voelklein, M.A.; Murphy, J.D.; Grant, J.; O’Kiely, P. Factors controlling headspace pressure in a manual manometric BMP method can be used to produce a methane output comparable to AMPTS. Bioresour. Technol. 2017, 238, 633–642. [Google Scholar] [CrossRef]
- Valero, D.; Montes, J.A.; Rico, J.L.; Rico, C. Influence of headspace pressure on methane production in Biochemical Methane Potential (BMP) tests. Waste Manag. 2016, 48, 193–198. [Google Scholar] [CrossRef] [Green Version]
- Symons, G.; Buswell, A. The methane fermentation of carbohydrates. J. Am. Chem. Soc. 1933, 55, 2028–2036. [Google Scholar] [CrossRef]
- Boyle, W. Energy recovery from sanitary landfills-A review. In Microbial Energy Conversion; Elsevier: Amsterdam, The Netherlands, 1977; pp. 119–138. [Google Scholar] [CrossRef]
- Moukazis, I.; Pellera, F.-M.; Gidarakos, E. Slaughter by-products treatment using anaerobic digestion. Waste Manag. 2018, 71, 652–662. [Google Scholar] [CrossRef]
- Pellera, F.-M.; Gidarakos, E. Effect of substrate to inoculum ratio and inoculum type on the biochemical methane potential of solid agroindustrial waste. J. Environ. Chem. Eng. 2016, 4, 3217–3229. [Google Scholar] [CrossRef]
- Rao, M.; Singh, S.; Singh, A.; Sodha, M. Bioenergy conversion studies of the organic fraction of MSW: Assessment of ultimate bioenergy production potential of municipal garbage. Appl. Energy 2000, 66, 75–87. [Google Scholar] [CrossRef]
- Zhang, W.; Wei, Q.; Wu, S.; Qi, D.; Li, W.; Zuo, Z.; Dong, R. Batch anaerobic co-digestion of swine manure with dewatered sewage sludge under mesophilic conditions. Appl. Energy 2014, 128, 175–183. [Google Scholar] [CrossRef]
- Kafle, G.K.; Kim, S.H. Anaerobic treatment of apple waste with swine manure for biogas production: Batch and continuous operation. Appl. Energy 2013, 103, 61–72. [Google Scholar] [CrossRef]
- Nielfa, A.; Cano, R.; Fdz-Polanco, M. Theoretical methane production generated by the co-digestion of organic fraction municipal solid waste and biological sludge. Biotechnol. Rep. 2015, 5, 14–21. [Google Scholar] [CrossRef] [PubMed] [Green Version]
- Hejnfelt, A.; Angelidaki, I. Anaerobic digestion of slaughter by-products. Biomass Bioenergy 2009, 33, 1046–1054. [Google Scholar] [CrossRef]
- Ware, A.; Power, N. What is the effect of mandatory pasteurisation on the biogas transformation of solid slaughter wastes? Waste Manag. 2016, 48, 503–512. [Google Scholar] [CrossRef] [Green Version]
- Nhuchhen, D.R.; Salam, P.A. Estimation of higher heating value of biomass from proximate analysis: A new approach. Fuel 2012, 99, 55–63. [Google Scholar] [CrossRef]
- Yin, C.Y. Prediction of higher heating values of biomass from proximate and ultimate analyses. Fuel 2011, 90, 1128–1132. [Google Scholar] [CrossRef] [Green Version]
- Lijó, L.; González-García, S.; Bacenetti, J.; Moreira, M.T. The environmental effect of substituting energy crops for food waste as feedstock for biogas production. Energy 2017, 137, 1130–1143. [Google Scholar] [CrossRef]
- Chae, K.; Jang, A.; Yim, S.; Kim, I.S. The effects of digestion temperature and temperature shock on the biogas yields from the mesophilic anaerobic digestion of swine manure. Bioresour. Technol. 2008, 99, 1–6. [Google Scholar] [CrossRef]
- Neves, L.; Oliveira, R.; Alves, M. Influence of inoculum activity on the bio-methanization of a kitchen waste under different waste/inoculum ratios. Process Biochem. 2004, 39, 2019–2024. [Google Scholar] [CrossRef] [Green Version]
- Xie, S.; Lawlor, P.G.; Frost, J.P.; Hu, Z.; Zhan, X. Effect of swine manure to grass silage ratio on methane production in batch anaerobic co-digestion of concentrated swine manure and grass silage. Bioresour. Technol. 2011, 102, 5728–5733. [Google Scholar] [CrossRef]
- Guo, J.; Peng, Y.; Ni, B.-J.; Han, X.; Fan, L.; Yuan, Z. Dissecting microbial community structure and methane-producing pathways of a full-scale anaerobic reactor digesting activated sludge from wastewater treatment by metagenomic sequencing. Microb. Cell Factories 2015, 14, 33. [Google Scholar] [CrossRef] [Green Version]
- Silvestre, G.; Rodríguez-Abalde, A.; Fernández, B.; Flotats, X.; Bonmatí, A. Biomass adaptation over anaerobic co-digestion of sewage sludge and trapped grease waste. Bioresour. Technol. 2011, 102, 6830–6836. [Google Scholar] [CrossRef]
- Choong, Y.Y.; Norli, I.; Abdullah, A.Z.; Yhaya, M.F. Impacts of trace element supplementation on the performance of anaerobic digestion process: A critical review. Bioresour. Technol. 2016, 209, 369–379. [Google Scholar] [CrossRef]
- Romero-Güiza, M.; Vila, J.; Mata-Alvarez, J.; Chimenos, J.; Astals, S. The role of additives on anaerobic digestion: A review. Renew. Sustain. Energy Rev. 2016, 58, 1486–1499. [Google Scholar] [CrossRef]
- Ortner, M.; Rameder, M.; Rachbauer, L.; Bochmann, G.; Fuchs, W. Bioavailability of essential trace elements and their impact on anaerobic digestion of slaughter waste. Biochem. Eng. J. 2015, 99, 107–113. [Google Scholar] [CrossRef]
Publisher’s Note: MDPI stays neutral with regard to jurisdictional claims in published maps and institutional affiliations. |
© 2021 by the authors. Licensee MDPI, Basel, Switzerland. This article is an open access article distributed under the terms and conditions of the Creative Commons Attribution (CC BY) license (https://creativecommons.org/licenses/by/4.0/).

