A Study of the Energy Exchange within a Hybrid Energy Storage System and a Comparison of the Capacities, Lifetimes, and Costs of Different Systems
Abstract
:1. Introduction
2. HESS Topology and Control Strategy
2.1. HESS Topology
2.2. HESS Control Strategy
3. Analysis of Oversized Capacity of HESS
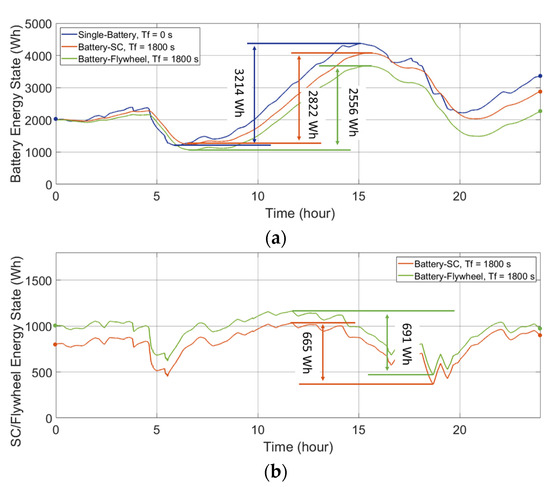
3.1. Analysis Based on a Simulated Model
- The required capacity of the HESS is increased. Some of the capacity is wasted on the energy exchange within the HESS, and thus the HESS needs to be oversized.
- There is a larger energy loss due to the increased power flows in the HESS.
3.2. Experimental Setup
4. Comparison of Single-Battery ESS, Battery-SC HESS, and Battery-Flywheel HESS
4.1. Comparison Analysis
4.2. Battery Lifetime Estimation
4.3. Cost Analysis
- The project costs show similar trends in both the wind-powered system and PV-powered system, where the NMC battery-SC HESS has the highest project cost and the single-LFP battery ESS has the lowest project cost.
- The costs for HESSs that include LFP batteries are visibly lower than those of the corresponding HESSs with NMC batteries.
- Although HESSs are initially more costly, their cost increases relatively slowly compared to the single-battery ESSs due to the extended lifetime of the battery in HESSs.
5. Conclusions
Author Contributions
Funding
Institutional Review Board Statement
Informed Consent Statement
Data Availability Statement
Conflicts of Interest
References
- Shahsavari, A.; Akbari, M. Potential of solar energy in developing countries for reducing energy-related emissions. Renew. Sustain. Energy Rev. 2018, 90, 275–291. [Google Scholar] [CrossRef]
- Sun, C.; Negro, E.; Vezzù, K.; Pagot, G.; Cavinato, G.; Nale, A.; Bang, Y.H.; Di Noto, V. Hybrid inorganic-organic proton-conducting membranes based on SPEEK doped with WO3 nanoparticles for application in vanadium redox flow batteries. Electrochim. Acta 2019, 309, 311–325. [Google Scholar] [CrossRef]
- Molina, M.G. Energy storage and power electronics technologies: A strong combination to empower the transformation to the smart grid. Proc. IEEE 2017, 105, 2191–2219. [Google Scholar] [CrossRef]
- Vazquez, S.; Lukic, S.M.; Galvan, E.; Franquelo, L.G.; Carrasco, J.M. Energy storage systems for transport and grid applications. IEEE Trans. Ind. Electron. 2010, 57, 3881–3895. [Google Scholar] [CrossRef] [Green Version]
- Hou, J.; Yang, M.; Wang, D.; Zhang, J. Fundamentals and challenges of lithium ion batteries at temperatures between −40 and 60 °C. Adv. Energy Mater. 2020, 18, 1904152. [Google Scholar] [CrossRef]
- Zhang, H.; Sun, C. Cost-effective iron-based aqueous redox flow batteries for large-scale energy storage application: A review. J. Power Sources 2021, 493, 229445. [Google Scholar] [CrossRef]
- Pugach, M.; Vyshinsky, V.; Bischi, A. Energy efficiency analysis for a kilo-watt class vanadium redox flow battery system. Appl. Energy 2019, 253, 113533. [Google Scholar] [CrossRef]
- Díaz-González, F.; Sumper, A.; Gomis-Bellmunt, O.; Villafáfila-Robles, R. A review of energy storage technologies for wind power applications. Renew. Sustain. Energy Rev. 2012, 16, 2154–2171. [Google Scholar] [CrossRef]
- Haruni, A.M.O.; Negnevitsky, M.; Haque, M.E.; Gargoom, A. A novel operation and control strategy for a standalone hybrid renewable power system. IEEE Trans. Sustain. Energy 2013, 2, 402–413. [Google Scholar] [CrossRef]
- Mohamad, F.; Teh, J.; Lai, C.M.; Chen, L.R. Development of energy storage systems for power network reliability: A review. Energies 2018, 11, 2278. [Google Scholar] [CrossRef] [Green Version]
- Kotra, S.; Mishra, M.K. Design and stability analysis of dc microgrid with hybrid energy storage system. IEEE Trans. Sustain. Energy 2019, 10, 1603–1612. [Google Scholar] [CrossRef]
- Lu, X.; Chen, Y.; Fu, M.; Wang, H. Multi-objective optimization-based real-time control strategy for battery/ultracapacitor hybrid energy management systems. IEEE Access 2019, 7, 11640–11650. [Google Scholar] [CrossRef]
- Gee, A.M.; Robinson, F.V.P.; Dunn, R.W. Analysis of battery lifetime extension in a small-scale wind-energy system using supercapacitors. IEEE Trans. Energy Convers. 2013, 28, 24–33. [Google Scholar] [CrossRef]
- Arani, A.A.K.; Gharehpetian, G.B.; Abedi, M. A novel control method based on droop for cooperation of flywheel and battery energy storage systems in islanded microgrids. IEEE Syst. J. 2020, 14, 1080–1087. [Google Scholar] [CrossRef]
- Zimmermann, T.; Keil, P.; Hofmann, M.; Horsche, M.F.; Pichlmaier, S.; Jossen, A. Review of system topologies for hybrid electrical energy storage systems. J. Energy Storage 2016, 8, 78–90. [Google Scholar] [CrossRef]
- Abbey, C.; Strunz, K.; Joos, G. A knowledge-based approach for control of two-level energy storage for wind energy systems. IEEE Trans. Energy Convers. 2009, 24, 539–547. [Google Scholar] [CrossRef]
- Nguyen, C.L.; Lee, H.H. Optimization of wind power dispatch to minimize energy storage system capacity. J. Elect. Eng. Technol. 2014, 9, 1080–1088. [Google Scholar] [CrossRef] [Green Version]
- Jing, W.; Lai, C.H.; Wong, S.; Wong, M. Battery-supercapacitor hybrid energy storage system in standalone DC microgrids: A review. IET Renew. Power Gener. 2017, 11, 461–469. [Google Scholar] [CrossRef]
- Li, W.; Joos, G.; Belanger, J. Real-time simulation of a wind turbine generator coupled with a battery supercapacitor energy storage system. IEEE Trans. Ind. Electron. 2010, 57, 1137–1145. [Google Scholar] [CrossRef]
- Chong, L.W.; Wong, Y.W.; Rajkumar, R.K.; Isa, D. Hybrid energy storage systems and control strategies for stand-alone renewable energy power systems. Renew. Sustain. Energy Rev. 2016, 66, 174–189. [Google Scholar] [CrossRef]
- MATLAB; Version 9.7.0 (R2019b); The MathWorks Inc.: Natick, MA, USA, 2019.
- Real Time Data, Sotavento. Available online: http://www.sotaventogalicia.com/en/real-time-data/historical (accessed on 5 September 2021).
- PV Ladder Statistics. 2020. Available online: https://pvoutput.org/list.jsp?id=14676&sid=19720 (accessed on 5 September 2021).
- Kolter, J.Z.; Johnson, M.J. Redd: A public data set for energy disaggregation research. In Proceedings of the SustKDD Workshop on Data Mining Applications in Sustainability, San Diego, CA, USA, 21–24 August 2011. [Google Scholar]
- Huber, J.E.; Kolar, J. Applicability of solid-state transformers in today’s and future distribution grids. IEEE Trans. Smart Grid 2019, 10, 317–326. [Google Scholar] [CrossRef]
- Blanes, J.M.; Gutierrez, R.; Garrigos, A.; Lizan, J.L.; Cuadrado, J.M. Electric vehicle battery life extension using ultracapacitors and an FPGA controlled interleaved buck-boost converter. IEEE Trans. Power Electron. 2013, 28, 5940–5948. [Google Scholar] [CrossRef]
- RND Programmable DC Power Supply, Datasheet RND 320-KD3305P. Available online: https://www.elfa.se/Web/Down-loads/_t/ds/RND%-20320-KD3305P_eng_tds.pdf (accessed on 5 September 2021).
- RND Programmable DC Electronic Load, Datasheet RND 320-KEL102. Available online: https://www.elfa.se/Web/Down-loads/_t/ds/RND%-20320-KEL102_eng_tds.pdf (accessed on 5 September 2021).
- RS PRO Lithium Iron Phosphate Battery, Datasheet. Available online: https://docs.rs-online.com/c8bb/0900766b8172be40.pdf (accessed on 5 September 2021).
- RND Radial Super Capacitor, Datasheet RND 150HP-2R7-J248UNJ50. Available online: https://www.elfa.se/Web/Down-loads/_t/ds/RND%-20150HP-2R7-J248UNJ50_eng_tds.pdf (accessed on 5 September 2021).
- IRL2505PBF—MOSFET N, ELFA. Available online: https://www.elfa.se/en/mosfet-60-104-200-to-220-ir-irl2505pbf/p/17137722?q=MOSFET+N&pos=32&origPos=31&origPageSize=50&track=true (accessed on 5 September 2021).
- Mulleriyawage, U.G.; Shen, W.; Hu, C. Battery system selection in dc microgrids for residential applications: An Australian case study. In Proceedings of the 14th IEEE Conference on Industrial Electronics and Applications (ICIEA), Xi’an, China, 19–21 June 2019. [Google Scholar]
- Xu, B.; Oudalov, A.; Ulbig, A.; Andersson, G.; Kirschen, D. Modeling of lithium-ion battery degradation for cell life assessment. IEEE Trans. Smart Grid 2018, 9, 1131–1140. [Google Scholar] [CrossRef]
- Petreus, D.; Moga, D.; Galatus, R.; Munteanu, R. Modeling and sizing of supercapacitors. Adv. Electr. Comput. Eng. 2018, 8, 15–22. [Google Scholar] [CrossRef]
- Amiryar, M.E.; Pullen, K.; Nankoo, D. Development of a high-fidelity model for an electrically driven energy storage flywheel suit-able for small scale residential applications. Appl. Sci. 2018, 8, 453. [Google Scholar] [CrossRef] [Green Version]
- Ecker, M.; Nieto, N.; Käbitz, S.; Schmalstieg, J.; Blanke, H.; Warnecke, A.; Sauer, D. Calendar and cycle life study of Li(NiMnCo)O2-based 18650 lithium-ion batteries. J. Power Sources 2014, 248, 839–851. [Google Scholar] [CrossRef]
- Stroe, D.I.; Knap, V.; Swierczynski, M.; Stroe, A.I.; Teodorescu, R. Operation of a grid-connected lithium-ion battery energy storage system for primary frequency regulation: A battery lifetime perspective. IEEE Trans. Ind. Appl. 2017, 53, 430–438. [Google Scholar] [CrossRef]
- Wang, J.; Purewal, J.; Liu, P.; Hicks-Garner, J.; Soukazian, S.; Sherman, E. Degradation of lithium ion batteries employing graphite negatives and nickel–cobalt–manganese oxide + spinel manganese oxide positives: Part 1, aging mechanisms and life estimation. J. Power Sources 2014, 269, 937–948. [Google Scholar] [CrossRef]
- Stroe, D.I.; Swierczynski, M.; Stan, A.I.; Teodorescu, R.; Andreasen, S.J. Accelerated lifetime testing methodology for lifetime estimation of lithium-ion batteries used in augmented wind power plants. IEEE Trans. Ind. Appl. 2014, 50, 4006–4017. [Google Scholar] [CrossRef]
- Zakeri, B.; Syri, S. Electrical energy storage systems: A comparative life cycle cost analysis. Renew. Sustain. Energy Rev. 2014, 42, 569–596. [Google Scholar] [CrossRef]
- Chemali, E.; Preindl, M.; Malysz, P.; Emadi, A. Electrochemical and electrostatic energy storage and management systems for electric drive vehicles: State-of-the-art review and future trends. IEEE J. Emerg. Sel. Top. Power Electron. 2016, 4, 1117–1134. [Google Scholar] [CrossRef]
- Ralon, P.; Taylor, M.; Ilas, A.; Diaz-Bone, H.; Kairies, K. Electricity Storage and Renewables: Costs and Markets to 2030; International Renewable Energy Agency: Abu Dhabi, United Arab Emirates, 2017. [Google Scholar]
- CARMEN, Marktübersicht Batteriespeicher. 2020. Available online: https://www.carmen-ev.de/service/marktueberblick/marktueber-sicht-batteriespeicher (accessed on 5 September 2021).
- Robyns, B.; Francois, B.; Delille, G.; Saudemont, C. Energy Storage in Electric Power Grids; ISTE-Wiley: London, UK, 2015; pp. 17–52. [Google Scholar]
- Herrera, V.I.; Gaztanaga, H.; Milo, A.; de Ibarra, A.S.; Etxeberria-Otadui, I.; Nieva, T. Optimal energy management and sizing of a battery-supercapacitor-based light rail vehicle with a multiobjective approach. IEEE Trans. Ind. Appl. 2016, 52, 3367–3377. [Google Scholar] [CrossRef]























| ESS/HESS (Tf = 1800 s) | Loss in Converters | Cycle Loss of ESDs | Self-Discharge Loss of ESDs | Total Loss in ESS/HESS | |
|---|---|---|---|---|---|
| Wind-powered | Single-battery ESS | 514 Wh | 68 Wh | 47Wh | 629 Wh |
| Battery-SC HESS | 671 Wh | 107 Wh | 116 Wh | 894 Wh | |
| Battery-flywheel HESS | 717 Wh | 142 Wh | 727 Wh | 1586 Wh | |
| PV-powered | Single-battery ESS | 538 Wh | 72 Wh | 49 Wh | 659 Wh |
| Battery-SC HESS | 793 Wh | 158 Wh | 97 Wh | 1048 Wh | |
| Battery-flywheel HESS | 765 Wh | 152 Wh | 823 Wh | 1740 Wh | |
| ESS/HESS | Battery ΔE | SC ΔE | Total ΔE | Increase | Loss in Converters | ESD Cycle Loss | ESD Self-Discharge Loss | Total Loss |
|---|---|---|---|---|---|---|---|---|
| Single-battery | 3214 Wh | - | 3214 Wh | - | 514 Wh | 68 Wh | 47 Wh | 629 Wh |
| HESS (Tf = 1800 s) | 2822 Wh | 665 Wh | 3487 Wh | 9% | 671 Wh | 107 Wh | 116 Wh | 894 Wh |
| HESS (Tf = 3600 s) | 2638 Wh | 1017 Wh | 3655 Wh | 14% | 783 Wh | 139 Wh | 125 Wh | 1047 Wh |
| Devices | Specifications |
|---|---|
| RES power emulator | Programmable power supply: RND 320-KD3305P [27] |
| Load power emulator | Programmable DC electronic load: RND 320-KEL102 [28] |
| Battery cell | 12.8 V/7.5 Ah ×2 cells, 192 Wh, RS PRO Lithium Iron Phosphate Battery [29] |
| Supercapacitor cell | 2400 F/2.7 V ×12 cells, 24 Wh, RND Radial Super Capacitor [30] |
| DC/DC converter | Switching frequency: 62.5 kHz, C = 1000 µF, L = 174 µH, MOSFET: IRL2505PBF-MOSFET N [31] |
| Parameters | Value | Unit | Source |
|---|---|---|---|
| c_bat_NMC | 495 | €/kWh | [40,41,42,43] |
| c_bat_LFP | 420 | €/kWh | [40,41,42,43] |
| cins_bat | 200 | € | Assumption |
| c_SC | 10,000 | €/kWh | [44] |
| cins_SC | 200 | € | Assumption |
| c_fly | 2815 | €/kWh | [40] |
| cins_fly | 1000 | € | Assumption |
| c_con | 150 | €/kW | [45] |
| ESS Combination | Battery Lifetime | Lifetime Extension | Initial Cost | Total Cost | Cost Increase | |
|---|---|---|---|---|---|---|
| Wind-powered | Single-NMC battery | 725 days/2.0 years | - | 2836 € | 31,072 € | - |
| NMC battery-SC HESS | 853 days/2.3 years | 18% | 13,317 € | 31,746 € | 674 € | |
| NMC battery-flywheel HESS | 868 days/2.4 years | 20% | 7318 € | 26,681 € | −4391 € | |
| Single-LFP battery | 1581 days/4.3 years | - | 2550 € | 12,157 € | - | |
| LFP battery-SC HESS | 2027 days/5.6 years | 28% | 13,084 € | 19,582 € | 7425 € | |
| LFP battery-flywheel HESS | 2092 days/5.7 years | 32% | 7073 € | 13,905 € | 1748 € | |
| PV-powered | Single-NMC battery | 751 days/2.1 years | - | 3605 € | 40,763 € | - |
| NMC battery-SC HESS | 904 days/2.5 years | 20% | 18,019 € | 44,037 € | 3274 € | |
| NMC battery-flywheel HESS | 928 days/2.5 years | 24% | 9257 € | 35,028 € | −5735 € | |
| Single-LFP battery | 1628 days/4.5 years | - | 3205 € | 16,419 € | - | |
| LFP battery-SC HESS | 2124 days/5.8 years | 30% | 17,690 € | 26,891 € | 10,472 € | |
| LFP battery-flywheel HESS | 2215 days/6.1 years | 36% | 8843 € | 16,573 € | 154 € | |
Publisher’s Note: MDPI stays neutral with regard to jurisdictional claims in published maps and institutional affiliations. |
© 2021 by the authors. Licensee MDPI, Basel, Switzerland. This article is an open access article distributed under the terms and conditions of the Creative Commons Attribution (CC BY) license (https://creativecommons.org/licenses/by/4.0/).
Share and Cite
Jiao, Y.; Månsson, D. A Study of the Energy Exchange within a Hybrid Energy Storage System and a Comparison of the Capacities, Lifetimes, and Costs of Different Systems. Energies 2021, 14, 7045. https://doi.org/10.3390/en14217045
Jiao Y, Månsson D. A Study of the Energy Exchange within a Hybrid Energy Storage System and a Comparison of the Capacities, Lifetimes, and Costs of Different Systems. Energies. 2021; 14(21):7045. https://doi.org/10.3390/en14217045
Chicago/Turabian StyleJiao, Yang, and Daniel Månsson. 2021. "A Study of the Energy Exchange within a Hybrid Energy Storage System and a Comparison of the Capacities, Lifetimes, and Costs of Different Systems" Energies 14, no. 21: 7045. https://doi.org/10.3390/en14217045
APA StyleJiao, Y., & Månsson, D. (2021). A Study of the Energy Exchange within a Hybrid Energy Storage System and a Comparison of the Capacities, Lifetimes, and Costs of Different Systems. Energies, 14(21), 7045. https://doi.org/10.3390/en14217045

