Impact of Network Charge Design in an Energy System with Large Penetration of Renewables and High Prosumer Shares
Abstract
:1. Introduction
- Distributed flexibilities can operate for individual profit maximization, depending on the regulatory framework. This oftentimes equals self-consumption maximization; scope of analysis: n = one household;
- Distributed flexibilities can operate (distribution) network-beneficially, reducing peak-coincident network utilization; scope of analysis: n = tens to hundreds of households;
- Distributed flexibilities can operate market beneficially to leverage portfolio effects for optimal RES integration at the wholesale market (system) level; scope of analysis: n = thousands to millions of households.
1.1. Previous Works
1.1.1. General Theory of Network Charge Design and Individual Aspects
- As their primary objective, network charges are the instrument of re-financing network operation and infrastructure to guarantee fixed-cost recovery;
- Moreover, network charges can constitute a steering element for the system-beneficial operation of flexibilities. System-beneficial operation may involve both grid- and market-oriented behaviour, which could coincide, but could also conflict. In other words, network charges should ideally provide an efficient, economic signal to end users in the system.
1.1.2. Analysis of Local Distribution Network Systems with High Distributed Generation
1.1.3. Analysis of System Impacts
1.2. Our Contribution
- Individual stakeholder level: In what way do certain network charge mechanisms contribute to distributive justice, e.g., fair allocation of costs among prosuming and consuming households?
- Distribution network level: In what way can certain network charge mechanisms contribute to steer network-beneficial, i.e., grid-relieving, behaviour?
- Wholesale market level: In what way do local distribution network relief (e.g., reduction of peak-coincident network capacity utilization) and global wholesale market benefits (e.g., optimal RES integration) coincide or conflict?
2. Materials and Methods
- Volumetric network charges
- Peak-coincident network capacity charges; as detailed by [18]

- Operation mode 1: Objective: Maximize prosumer SC. In this case, the battery is operated according to a static, predetermined prosumer heuristic, which ensures a maximum consumption of self-produced electricity;
- Operation mode 2: Objective: Release distribution grid. The battery is, again, operated in order to maximize prosumer SC. In this case, however, SC maximization is implemented as a linear optimization problem with a grid-releasing constraint in order to reduce peak-coincident network capacity utilization;
- Operation mode 3: Objective: Minimize system (wholesale market) costs. In this case, the battery is operated market-beneficially, i.e., the battery reacts fully flexibly to the real-time wholesale market price signal.
2.1. Battery Operation Mode 1: Maximization of Prosumer Self-Consumption
2.1.1. Battery Operation
2.1.2. Network Utilization
- The assumption of a radial distribution network topology;
- The consideration of thermal stress on components only, neglecting other aspects, such as voltage unbalance or the like; see [24], for instance. That is—we only consider the network resistance R, neglecting its reactance X and phases, which seems to be justified by usually high ratios in distribution grids; see [14], for instance.
- The use of prototype (residual) load profiles. That is, rather than aggregating multiple real generated measured profiles, in this study we use one single load profile and one single PV profile as the starting point and account for simultaneity effects in a separate analysis step as described in the following paragraphs. This is a strong simplification—however, for our purposes, we are only interested in the relative change of the maxima of the aggregated residual load resulting from different battery operational modes. This purpose seems to be attainable by our approach.

2.1.3. Network Charges
2.1.4. System Modelling
- Load coverage: This is the fundamental model restriction, guaranteeing that total demand is covered by production for every model hour. Hereby, demand can be covered either directly through power plant production (including variable RES), or indirectly, via discharging of storages (including distributed battery storages). Moreover, electricity transmission between regions is a third contribution to fulfill this restriction;
- System adequacy: This restriction guarantees the security of supply within every model hour in that the total capacity of dispatchable power plants, weighted by their respective operational reliabilities , matches the maximum electric load in the model year. The operational reliabilities for variable RES are assumed to be zero in this paper;
- Investment paths: RES investment paths are provided as model-exogenous input. The rationale behind this restriction is that in this study we are not primarily interested in a global optimization of the energy system including RES investment capacities, but rather analyze different operational modes of distributed flexibilities (batteries) under a given power plant structure.
2.2. Operation Mode 2
| Algorithm 1. Battery operation mode 2. |
|
2.3. Operation Mode 3
2.4. Consideration of Widespread e-Mobility
3. Results
3.1. Global Perspective: System Effects
3.2. Local Perspective: Network Capacity Utilization
3.3. Individual Perspective: End Customer Effects
3.4. Effects of Widespread e-Mobility
4. Discussion
Author Contributions
Funding
Data Availability Statement
Conflicts of Interest
Abbreviations
| CNC | (Peak-coincident) network capacity charges |
| ETS | Emissions Trading System |
| FCOE | Full costs of electricity |
| GHG | Greenhouse gas |
| LCOE | Levelized cost of electricity |
| PV | Photovoltaic |
| RES | Renewable energy sources |
| SC | Self-consumption |
| VNC | Volumetric network charges |
Appendix A
| Algorithm A1. Battery operation mode 1. |
|
Appendix B
References
- Schick, C.; Klempp, N.; Hufendiek, K. Impact of network charge mechanisms on consumers, prosumers, and the energy system. In Proceedings of the 1st IAEE Online Conference, Online, 7–9 June 2021. [Google Scholar]
- Schick, C.; Klempp, N.; Hufendiek, K. Role and impact of prosumers in a sector-integrated energy system with high renewable shares. IEEE Trans. Power Syst. 2020. [Google Scholar] [CrossRef]
- Orasch, W.; Taus, H.; Auer, H.; Weißensteiner, L.; Sardi, K.; Krommydas, T.; Christ, F.; Heyder, B.; Davidson, S.; Ove, W.; et al. Regulatory Framework for RES-E System Integration in Europe—Description and Analysis of Different European Practices: Promoting Grid-Related Incentives for Large-Scale RES-E Integration into the Different European Electricity Systems; GreenNet-Incentives; European Commission: Brussels, Belgium, 2008. [Google Scholar]
- Pan, J.; Teklu, Y.; Rahman, S.; Jun, K. Review of usage-based transmission cost allocation methods under open access. IEEE Trans. Power Syst. 2000, 15, 1218–1224. [Google Scholar] [CrossRef]
- Soares, T.; Pereira, F.; Morais, H.; Vale, Z. Cost allocation model for distribution networks considering high penetration of distributed energy resources. Electr. Power Syst. Res. 2015, 124, 120–132. [Google Scholar] [CrossRef] [Green Version]
- Rubio-Oderiz, F.J.; Perez-Arriaga, I.J. Marginal pricing of transmission services: A comparative analysis of network cost allocation methods. IEEE Trans. Power Syst. 2000, 15, 448–454. [Google Scholar] [CrossRef] [Green Version]
- Eid, C.; Reneses Guillén, J.; Frías Marín, P.; Hakvoort, R. The economic effect of electricity net-metering with solar PV: Consequences for network cost recovery, cross subsidies and policy objectives. Energy Policy 2014, 75, 244–254. [Google Scholar] [CrossRef]
- Baroche, T.; Pinson, P.; Le Latimier, R.G.; Ahmed, H.B. Exogenous Cost Allocation in Peer-to-Peer Electricity Markets. IEEE Trans. Power Syst. 2019, 34, 2553–2564. [Google Scholar] [CrossRef] [Green Version]
- Nojeng, S.; Hassan, M.Y.; Said, D.M.; Abdullah, M.P.; Hussin, F. Improving the MW-Mile Method Using the Power Factor-Based Approach for Pricing the Transmission Services. IEEE Trans. Power Syst. 2014, 29, 2042–2048. [Google Scholar] [CrossRef]
- Sotkiewicz, P.M.; Vignolo, J.M. Allocation of Fixed Costs in Distribution Networks with Distributed Generation. IEEE Trans. Power Syst. 2006, 21, 639–652. [Google Scholar] [CrossRef]
- De Oliveira-De Jesus, P.M.; Ponce de Leao, M.T.; Yusta, J.M.; Khodr, H.M.; Urdaneta, A.J. Uniform Marginal Pricing for the Remuneration of Distribution Networks. IEEE Trans. Power Syst. 2005, 20, 1302–1310. [Google Scholar] [CrossRef]
- Picciariello, A.; Vergara, C.; Reneses, J.; Frías, P.; Söder, L. Electricity distribution tariffs and distributed generation: Quantifying cross-subsidies from consumers to prosumers. Util. Policy 2015, 37, 23–33. [Google Scholar] [CrossRef] [Green Version]
- Schittekatte, T.; Momber, I.; Meeus, L. Future-proof tariff design: Recovering sunk grid costs in a world where consumers are pushing back. Energy Econ. 2018, 70, 484–498. [Google Scholar] [CrossRef] [Green Version]
- Haque, M.M.; Wolfs, P. A review of high PV penetrations in LV distribution networks: Present status, impacts and mitigation measures. Renew. Sustain. Energy Rev. 2016, 62, 1195–1208. [Google Scholar] [CrossRef]
- Katiraei, F.; Aguero, J. Solar PV Integration Challenges. IEEE Power Energy Mag. 2011, 9, 62–71. [Google Scholar] [CrossRef]
- Nousdilis, A.I.; Papagiannis, G.K.; Christoforidis, G.C. Investigating the impact of decentralized energy storage systems in active low-voltage distribution networks. In Proceedings of the 2017 52nd International Universities Power Engineering Conference (UPEC), Heraklion, Greece, 28–31 August 2017; pp. 1–6. [Google Scholar] [CrossRef]
- Yan, R.; Saha, T.K. Investigation of Voltage Stability for Residential Customers Due to High Photovoltaic Penetrations. IEEE Trans. Power Syst. 2012, 27, 651–662. [Google Scholar] [CrossRef]
- Perez-Arriaga, I.J.; Knittel, C. Utility of the Future: An MIT Energy Initiative Response to an Industry in Transition; MIT Energy Initiative: Cambridge, MA, USA, 2016. [Google Scholar]
- Jasiński, J.; Kozakiewicz, M.; Sołtysik, M. The Effectiveness of Energy Cooperatives Operating on the Capacity Market. Energies 2021, 14, 3226. [Google Scholar] [CrossRef]
- McKenna, R.; Merkel, E.; Fichtner, W. Energy autonomy in residential buildings: A techno-economic model-based analysis of the scale effects. Appl. Energy 2017, 189, 800–815. [Google Scholar] [CrossRef] [Green Version]
- Weinand, J.M.; Scheller, F.; McKenna, R. Reviewing energy system modelling of decentralized energy autonomy. Energy 2020, 203, 117817. [Google Scholar] [CrossRef]
- Toradmal, A.; Kemmler, T.; Thomas, B. Boosting the share of onsite PV-electricity utilization by optimized scheduling of a heat pump using buildings thermal inertia. Appl. Therm. Eng. 2018, 137, 248–258. [Google Scholar] [CrossRef]
- Schulz, M.; Kemmler, T.; Kumm, J.; Hufendiek, K.; Thomas, B. A More Realistic Heat Pump Control Approach by Application of an Integrated Two-Part Control. Energies 2020, 13, 2752. [Google Scholar] [CrossRef]
- Kerber, G. Aufnahmefähigkeit von Niederspannungsverteilnetzen für die Einspeisung aus Photovoltaikkleinanlagen (Capacity of Low Voltage Distribution Networks Due to Power Generation of Small Photovoltaic Power Plants). Ph.D. Thesis, Technische Universität München, München, Germany, 2011. [Google Scholar]
- Rusck, S. The simultaneous demand in distribution network supplying domestic consumers. ASEA J. 1956, 10, 59–61. [Google Scholar]
- Sun, N. Modellgestützte Untersuchung des Elektrizitätsmarktes: Kraftwerkseinsatzplanung und -investitionen (Model-based investigation of the electricity market: Unit commitment and power plant investments). Ph.D. Thesis, Universität Stuttgart, Stuttgart, Germany, 2013. [Google Scholar] [CrossRef]
- Deane, J.P.; Drayton, G.; Gallachóir, B.P.Ó. The impact of sub-hourly modelling in power systems with significant levels of renewable generation. Appl. Energy 2014, 113, 152–158. [Google Scholar] [CrossRef]
- Schulz, M.; Hufendiek, K. Discussing the Actual Impact of Optimizing Cost and GHG Emission Minimal Charging of Electric Vehicles in Distributed Energy Systems. Energies 2021, 14, 786. [Google Scholar] [CrossRef]









| Description | Unit | Value | Source | |
|---|---|---|---|---|
| Variables | ||||
| Feed-in of (surplus) PV production | [kW] | Output | - | |
| Grid load | [kW] | Output | - | |
| Fill level of battery | [kWh] | Output | - | |
| Parameters | ||||
| ResLoad | Prosumer load—PV production | [kW] | Exogenous time series | [22,23] |
| TimeRes | Time resolution of modelling | [h] | 0.25 | Model parameter |
| BattPower | Battery discharging power | [kW] | 3 | Assumption |
| BattCharging | Battery charging power | [kW] | 3 | Assumption |
| BattContent | Maximum battery storage content | [kW] | 6 | Assumption |
| Further data | ||||
| DemandElec | Annual electricity demand | [kWh] | 4000 | Assumption |
| FLH | PV full load hours | [h/a] | 1050 | Assumption |
| N | Number of households | [MN] | 40 | Assumption |
| Description | Unit | Value | Source | |
|---|---|---|---|---|
| Variables | ||||
| Average of (prosumer/consumer) residual load over top 30 highest residual load peaks at network node | [kW] | Output | - | |
| Fixed network charge per customer | [EUR/p.c.] | Output | - | |
| Parameters | ||||
| Specific volumetric network charges | [EUR/MWh] | 50 | Assumption | |
| Specific network capacity charges | [EUR/kW] | 100 | Assumption | |
| Description | Unit | Value | Source | |
|---|---|---|---|---|
| Variables | ||||
| Momentary power supply from battery | [kW] | Output | - | |
| Momentary battery charging | [kW] | Output | - | |
| Parameters | ||||
| Momentary prosumer electricity demand | [kW] | Given load profile | [22,23] | |
| Momentary PV production | [kW] | From PV profile | [23] | |
| Peak PV capacity | [kW] | 6 | Assumption | |
| Battery charging efficiency | [%] | 100 | Assumption | |
| Battery discharging efficiency | [%] | 100 | Assumption | |
| Op. Mode 1 | Op. Mode 2 | Op. Mode 3 | ||
|---|---|---|---|---|
| Max SC | Grid-Oriented | Market-Oriented | ||
| 25% prosumer penetration ratio | ||||
| Total system costs | [MN EUR/a] | 45,645 | 45,653 | 45,345 |
| [% of op. mode 1] | 100.0% | 100.0% | 99.3% | |
| Annual CO2 emissions | [million t] | 5016 | 5015 | 4264 |
| [% of op. mode 1] | 100.0% | 100.0% | 85.0% | |
| 50% prosumer penetration ratio | ||||
| Total system costs | [MN EUR/a] | 47,204 | 47,202 | 46,808 |
| [% of op. mode 1] | 100.0% | 100.0% | 99.2% | |
| Annual CO2 emissions | [million t] | 3025 | 3013 | 2326 |
| [% of op. mode 1] | 100.0% | 99.6% | 76.9% | |
| 75% prosumer penetration ratio | ||||
| Total system costs | [MN EUR/a] | 49,429 | 49,401 | 49,196 |
| [% of op. mode 1] | 100.0% | 99.9% | 99.5% | |
| Annual CO2 emissions | [million t] | 2308 | 2290 | 1791 |
| [% of op. mode 1] | 100.0% | 99.2% | 77.6% | |
| Op. Mode 1 | Op. Mode 2 | Op. Mode 3 | ||
|---|---|---|---|---|
| Max SC | Grid-Oriented | Market-Oriented | ||
| 25% prosumer penetration ratio | ||||
| Maximum peak coincident residual load | [kW] | 1.64 | 1.56 | 2.05 |
| Average of top 30 residual load peaks | [kW] | 1.52 | 1.46 | 1.85 |
| …thereof grid load share | [%] | 0% | 0% | 0% |
| …thereof feed-in share | [%] | 100% | 100% | 100% |
| 50% prosumer penetration ratio | ||||
| Maximum peak coincident residual load | [kW] | 1.87 | 1.71 | 2.13 |
| Average of top-30 residual load peaks | [kW] | 1.73 | 1.57 | 1.95 |
| …thereof grid load share | [%] | 97% | 100% | 50% |
| …thereof feed-in share | [%] | 3% | 0% | 50% |
| 75% prosumer penetration ratio | ||||
| Maximum peak coincident residual load | [kW] | 2.87 | 2.17 | 2.28 |
| Average of top-30 residual load peaks | [kW] | 2.72 | 2.11 | 2.15 |
| …thereof grid load share | [%] | 100% | 100% | 90% |
| …thereof feed-in share | [%] | 0% | 0% | 10% |
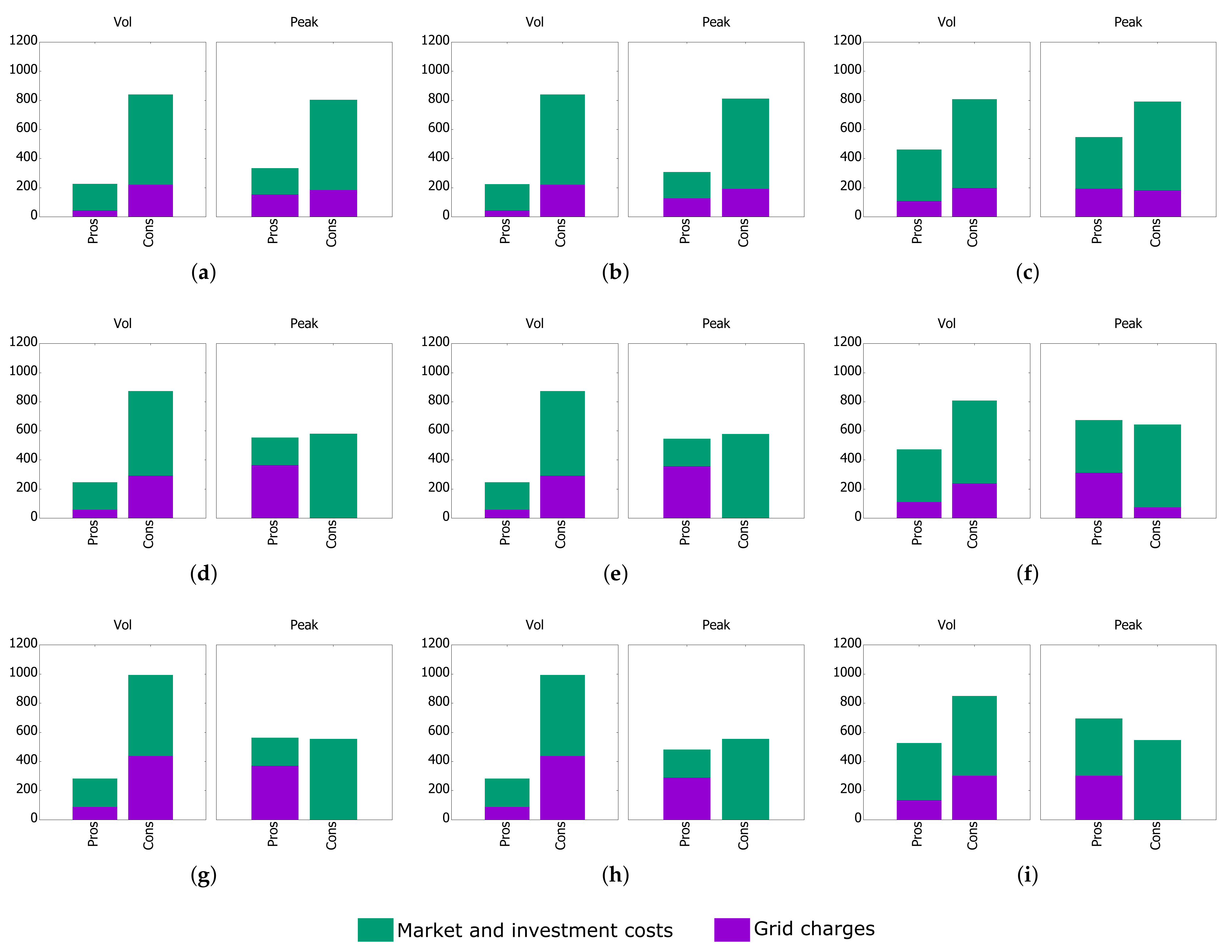
| VNC | Op. Mode 1 | Op. Mode 2 | Op. Mode 3 | |
|---|---|---|---|---|
| Max SC | Grid-Oriented | Market-Oriented | ||
| 25% prosumer penetration ratio | ||||
| FCOE prosumer | [EUR/a] | 225 | 225 | 460 |
| …thereof grid charges | [EUR/a] | 45 | 45 | 109 |
| FCOE consumer | [EUR/a] | 839 | 839 | 807 |
| …thereof grid charges | [EUR/a] | 221 | 221 | 200 |
| FCOE consumer/FCOE prosumer | [%] | 373% | 373% | 175% |
| 50% prosumer penetration ratio | ||||
| FCOE prosumer | [EUR/a] | 247 | 247 | 474 |
| …thereof grid charges | [EUR/a] | 60 | 60 | 113 |
| FCOE consumer | [EUR/a] | 873 | 872 | 808 |
| …thereof grid charges | [EUR/a] | 294 | 294 | 241 |
| FCOE consumer/FCOE prosumer | [%] | 354% | 353% | 171% |
| 75% prosumer penetration ratio | ||||
| FCOE prosumer | [EUR/a] | 281 | 281 | 526 |
| …thereof grid charges | [EUR/a] | 90 | 90 | 135 |
| FCOE consumer | [EUR/a] | 993 | 995 | 850 |
| …thereof grid charges | [EUR/a] | 439 | 439 | 303 |
| FCOE consumer/FCOE prosumer | [%] | 353% | 354% | 161% |
| CNC | Op. Mode 1 | Op. Mode 2 | Op. Mode 3 | |
|---|---|---|---|---|
| Max SC | Grid-Oriented | Market-Oriented | ||
| 25% prosumer penetration ratio | ||||
| FCOE prosumer | [EUR/a] | 334 | 308 | 546 |
| …thereof grid charges | [EUR/a] | 154 | 128 | 194 |
| FCOE consumer | [EUR/a] | 802 | 811 | 789 |
| …thereof grid charges | [EUR/a] | 185 | 193 | 183 |
| FCOE consumer/FCOE prosumer | [%] | 240% | 263% | 145% |
| 50% prosumer penetration ratio | ||||
| FCOE prosumer | [EUR/a] | 553 | 546 | 674 |
| …thereof grid charges | [EUR/a] | 366 | 359 | 314 |
| FCOE consumer | [EUR/a] | 579 | 578 | 643 |
| …thereof grid charges | [EUR/a] | 0 | 0 | 77 |
| FCOE consumer/FCOE prosumer | [%] | 105% | 106% | 95% |
| 75% prosumer penetration ratio | ||||
| FCOE prosumer | [EUR/a] | 563 | 481 | 694 |
| …thereof grid charges | [EUR/a] | 372 | 290 | 303 |
| FCOE consumer | [EUR/a] | 554 | 555 | 547 |
| …thereof grid charges | [EUR/a] | 0 | 0 | 0 |
| FCOE consumer/FCOE prosumer | [%] | 98% | 116% | 79% |
Publisher’s Note: MDPI stays neutral with regard to jurisdictional claims in published maps and institutional affiliations. |
© 2021 by the authors. Licensee MDPI, Basel, Switzerland. This article is an open access article distributed under the terms and conditions of the Creative Commons Attribution (CC BY) license (https://creativecommons.org/licenses/by/4.0/).
Share and Cite
Schick, C.; Klempp, N.; Hufendiek, K. Impact of Network Charge Design in an Energy System with Large Penetration of Renewables and High Prosumer Shares. Energies 2021, 14, 6872. https://doi.org/10.3390/en14216872
Schick C, Klempp N, Hufendiek K. Impact of Network Charge Design in an Energy System with Large Penetration of Renewables and High Prosumer Shares. Energies. 2021; 14(21):6872. https://doi.org/10.3390/en14216872
Chicago/Turabian StyleSchick, Christoph, Nikolai Klempp, and Kai Hufendiek. 2021. "Impact of Network Charge Design in an Energy System with Large Penetration of Renewables and High Prosumer Shares" Energies 14, no. 21: 6872. https://doi.org/10.3390/en14216872
APA StyleSchick, C., Klempp, N., & Hufendiek, K. (2021). Impact of Network Charge Design in an Energy System with Large Penetration of Renewables and High Prosumer Shares. Energies, 14(21), 6872. https://doi.org/10.3390/en14216872

