A Hybrid GA–PSO–CNN Model for Ultra-Short-Term Wind Power Forecasting
Abstract
:1. Introduction
2. Methodology
2.1. Brief Introduction to CNN
2.1.1. Convolutional Layer
2.1.2. Pooling Layer
2.1.3. Full Connection Layer
2.1.4. Activation Layer
2.2. GA–PSO Hybrid Algorithm
3. Proposed GA–PSO–CNN Prediction Model
3.1. Coding Scheme
3.2. Selection of Mixed Algorithms
3.3. Initialization Method
3.4. Fitness Function
3.5. Model Process and Framework
4. Experimental Study
4.1. Data Description and Preprocessing
4.2. Time-Order Character
4.3. Performance Testing
4.4. Analysis of Results
5. Conclusions
Author Contributions
Funding
Institutional Review Board Statement
Informed Consent Statement
Data Availability Statement
Conflicts of Interest
References
- Mahmoudan, A.; Samadof, P.; Hosseinzadeh, S.; Garcia, D.A. A multigeneration cascade system using ground-source energy with cold recovery: 3E analyses and multi-objective optimization. Energy 2021, 233, 121185. [Google Scholar] [CrossRef]
- Makkiabadi, M.; Hoseinzadeh, S.; Mohammadi, M.; Nowdeh, S.A.; Bayati, S.; Jafaraghaei, U.; Mirkiai, S.M.; Assad, M.E.H. Energy Feasibility of Hybrid PV/Wind Systems with Electricity Generation Assessment under Iran Environment. Appl. Sol. Energy 2020, 56, 517–525. [Google Scholar] [CrossRef]
- Hoseinzadeh, S.; Ghasemi, M.H.; Heyns, S. Application of hybrid systems in solution of low power generation at hot seasons for micro hydro systems. Renew. Energy 2020, 160, 323–332. [Google Scholar] [CrossRef]
- Hoseinzadeh, S.; Sohani, A.; Heyns, S. Comprehensive analysis of the effect of air injection on the wake development of an airfoil. Ocean Eng. 2021, 220, 108455. [Google Scholar] [CrossRef]
- Petroleum, B. Statistics. 2020. Available online: https://www.bp.com/en/global/corporate/energy-economics/statistical-review-of-world-energy.html (accessed on 17 June 2020).
- Hoseinzadeh, S.; Bahrami, A.; Mirhosseini, S.M.; Sohani, A.; Heyns, S. A detailed experimental airfoil performance investigation using an equipped wind tunnel. Flow Meas. Instrum. 2020, 72, 101717. [Google Scholar] [CrossRef]
- Lv, W.; Ma, J.; Chen, J.; Wu, Y. The development status and bottleneck of wind power industry. Renew. Energy Resour. 2018, 36, 1214–1218. [Google Scholar] [CrossRef]
- Xu, G.; Ye, Z.; Xie, H. The Current State and Future Development of Wind Turbine Technology. Strateg. Study Chin. Acad. Eng. 2018, 20, 44–50. [Google Scholar] [CrossRef]
- Ayodele, T.R.; Jimoh, A.; Munda, J.L.; Agee, J.J.W. Challenges of grid integration of wind power on power system grid integrity: A review. Int. J. Energy Res. 2020, 3, 618–626. [Google Scholar]
- Hou, M. Research status of ultra-short term wind power forecasting. Electron. Technol. Softw. Eng. 2019, 19, 210–212. [Google Scholar]
- Damousis, I.G.; Alexiadis, M.C.; Theocharis, J.B.; Dokopoulos, P.S. A fuzzy model for wind speed prediction and power generation in wind parks using spatial correlation. IEEE Trans. Energy Convers. 2004, 19, 352–361. [Google Scholar] [CrossRef]
- Zhang, W.; Qu, Z.; Zhang, K.; Mao, W.; Ma, Y.; Fan, X. A combined model based on CEEMDAN and modified flower pollination algorithm for wind speed forecasting. Energ. Convers. Manag. 2017, 136, 439–451. [Google Scholar] [CrossRef]
- Li, L.-L.; Zhao, X.; Tseng, M.-L.; Tan, R.R. Short-term wind power forecasting based on support vector machine with improved dragonfly algorithm. J. Clean. Prod. 2020, 242, 118447. [Google Scholar] [CrossRef]
- Yatiyana, E.; Rajakaruna, S.; Ghosh, A. Wind Speed and Direction Forecasting for Wind Power Generation Using ARIMA Model. In Proceedings of the 2017 Australasian Universities Power Engineering Conference (AUPEC), Melbourne, Australia, 19–22 November 2017; Institute of Electrical and Electronics Engineers: Piscataway, NJ, USA; pp. 1–6. [Google Scholar] [CrossRef]
- Aasim; Singh, S.N.; Mohapatra, A. Repeated wavelet transform based ARIMA model for very short-term wind speed forecasting. Renew. Energy 2019, 136, 758–768. [Google Scholar] [CrossRef]
- Li, L.; Liu, Y.-Q.; Yang, Y.-P.; Han, S.; Wang, Y.-M. A physical approach of the short-term wind power prediction based on CFD pre-calculated flow fields. J. Hydrodyn. Ser. B 2013, 25, 56–61. [Google Scholar] [CrossRef]
- Cassola, F.; Burlando, M. Wind speed and wind energy forecast through Kalman filtering of Numerical Weather Prediction model output. Appl. Energy 2012, 99, 154–166. [Google Scholar] [CrossRef]
- Wang, Z.; Zhang, J.; Zhang, Y.; Huang, C.; Wang, L. Short-Term Wind Speed Forecasting Based on Information of Neighboring Wind Farms. IEEE Access 2020, 8, 16760–16770. [Google Scholar] [CrossRef]
- Chen, K.; Yu, J. Short-term wind speed prediction using an unscented Kalman filter based state-space support vector regression approach. Appl. Energy 2014, 113, 690–705. [Google Scholar] [CrossRef]
- Milligan, M.; Schwartz, M.N.; Wan, Y.-H. Statistical Wind Power Forecasting for US Wind Farms. In Proceedings of the 17th Conference on Probability and Statistics in the Atmospheric Sciences, 2004/American Meteorological Society Annual Meeting, Seattle, WA, USA, 11–15 January 2004; National Renewable Energy Lab.: Golden, CO, USA, 2004. [Google Scholar]
- Zhang, F.; Li, P.-C.; Gao, L.; Liu, Y.-Q.; Ren, X.-Y. Application of autoregressive dynamic adaptive (ARDA) model in real-time wind power forecasting. Renew. Energy 2021, 169, 129–143. [Google Scholar] [CrossRef]
- Liu, F.; Li, R.; Dreglea, A. Wind Speed and Power Ultra Short-Term Robust Forecasting Based on Takagi–Sugeno Fuzzy Model. Energies 2019, 12, 3551. [Google Scholar] [CrossRef] [Green Version]
- Liu, Z.; Jiang, P.; Zhang, L.; Niu, X. A combined forecasting model for time series: Application to short-term wind speed forecasting. Appl. Energy 2020, 259, 114137. [Google Scholar] [CrossRef]
- Wang, S.; Wu, K.; Zhao, Q.; Wang, S.; Feng, L.; Zheng, Z.; Wang, G. Multienergy Load Forecasting for Regional Integrated Energy Systems Considering Multienergy Coupling of Variation Characteristic Curves. Energy 2021, 9. [Google Scholar] [CrossRef]
- Han, S.; Li, J.; Liu, Y. Tabu search algorithm optimized ANN model for wind power prediction with NWP. Energy Procedia 2011, 12, 733–740. [Google Scholar] [CrossRef] [Green Version]
- Han, S.; Yang, Y.; Liu, Y. The Comparison of BP Network and RBF Network in Wind Power Prediction Application. In Proceedings of the 2007 Second International Conference on Bio-Inspired Computing: Theories and Applications, Zhengzhou, China, 14–17 September 2007; Institute of Electrical and Electronics Engineers: Piscataway, NJ, USA, 2007; pp. 173–176. [Google Scholar] [CrossRef]
- Carolin Mabel, M.; Fernandez, E. Analysis of wind power generation and prediction using ANN: A case study. Renew. Energy 2008, 33, 986–992. [Google Scholar] [CrossRef]
- Wang, J.; Zhang, W.; Li, Y.; Wang, J.; Dang, Z. Forecasting wind speed using empirical mode decomposition and Elman neural network. Appl. Soft. Comput. 2014, 23, 452–459. [Google Scholar] [CrossRef]
- Ramirez-Rosado, I.J.; Fernandez-Jimenez, L.A.; Monteiro, C.; Sousa, J.; Bessa, R. Comparison of two new short-term wind-power forecasting systems. Renew. Energy 2009, 34, 1848–1854. [Google Scholar] [CrossRef]
- Kaoshe, Z.; Zhao, L. Short-term wind power forecasting based on RBF-BP neural network. Renew. Energy 2014, 32, 1346–1351. [Google Scholar] [CrossRef]
- Xu, L.; Mao, J. Short-Term Wind Power Forecasting Based on Elman Neural Network With Particle Swarm Optimization. In Proceedings of the 2016 Chinese Control and Decision Conference (CCDC), Yinchuan, China, 28–30 May 2016; Institute of Electrical and Electronics Engineers: Piscataway, NJ, USA, 2016; pp. 2678–2681. [Google Scholar] [CrossRef]
- Hong, Y.-Y.; Rioflorido, C.L.P.P. A hybrid deep learning-based neural network for 24-h ahead wind power forecasting. Appl. Energy 2019, 250, 530–539. [Google Scholar] [CrossRef]
- Du, P.; Wang, J.; Yang, W.; Niu, T. Multi-step ahead forecasting in electrical power system using a hybrid forecasting system. Renew. Energy 2018, 122, 533–550. [Google Scholar] [CrossRef]
- Jiang, P.; Yang, H.; Heng, J. A hybrid forecasting system based on fuzzy time series and multi-objective optimization for wind speed forecasting. Appl. Energy 2019, 235, 786–801. [Google Scholar] [CrossRef]
- Li, Y.; Shi, H.; Han, F.; Duan, Z.; Liu, H. Smart wind speed forecasting approach using various boosting algorithms, big multi-step forecasting strategy. Renew. Energy 2019, 135, 540–553. [Google Scholar] [CrossRef]
- Li, Y.; Li, X.; Jia, X.; Ma, R.; Hui, D. Monitoring and Control for Hundreds Megawatt Scale Battery Energy Storage Station Based on Multi-Agent: Methodology and System Design. In Proceedings of the 2018 IEEE International Conference of Safety Produce Informatization (IICSPI), Chongqing, China, 10–12 December 2018; Institute of Electrical and Electronics Engineers: Piscataway, NJ, USA, 2018; pp. 765–769. [Google Scholar] [CrossRef]
- Li, X.; Wang, S. A review on energy management, operation control and application methods for grid battery energy storage systems. CSEE Int. J. Electr. Power 2019, 1–15. [Google Scholar] [CrossRef]
- Solas, M.; Cepeda, N.; Viegas, J.L. Convolutional Neural Network for Short-Term Wind Power Forecasting. In Proceedings of the 2019 IEEE PES Innovative Smart Grid Technologies Europe (ISGT-Europe), Bucharest, Romania, 29 September–2 October 2019; Institute of Electrical and Electronics Engineers: Piscataway, NJ, USA, 2019; pp. 1–5. [Google Scholar] [CrossRef]
- Wang, H.-Z.; Li, G.-Q.; Wang, G.-B.; Peng, J.-C.; Jiang, H.; Liu, Y.-T. Deep learning based ensemble approach for probabilistic wind power forecasting. Appl. Energy 2017, 188, 56–70. [Google Scholar] [CrossRef]
- Liu, T.; Huang, Z.; Tian, L.; Zhu, Y.; Wang, H.; Feng, S. Enhancing Wind Turbine Power Forecast via Convolutional Neural Network. Electronics 2021, 10, 261. [Google Scholar] [CrossRef]
- Ju, Y.; Sun, G.; Chen, Q.; Zhang, M.; Zhu, H.; Rehman, M.U. A Model Combining Convolutional Neural Network and LightGBM Algorithm for Ultra-Short-Term Wind Power Forecasting. IEEE Access 2019, 7, 28309–28318. [Google Scholar] [CrossRef]
- Liu, H.; Mi, X.; Li, Y. Smart deep learning based wind speed prediction model using wavelet packet decomposition, convolutional neural network and convolutional long short term memory network. Energ. Convers. Manag. 2018, 166, 120–131. [Google Scholar] [CrossRef]
- Yildiz, C.; Acikgoz, H.; Korkmaz, D.; Budak, U. An improved residual-based convolutional neural network for very short-term wind power forecasting. Energy Convers. Manag. 2021, 228, 113731. [Google Scholar] [CrossRef]
- Zhang, S.; Chen, Y.; Xiao, J.; Zhang, W.; Feng, R. Hybrid wind speed forecasting model based on multivariate data secondary decomposition approach and deep learning algorithm with attention mechanism. Renew. Energy 2021, 174, 688–704. [Google Scholar] [CrossRef]
- Kuang, H.; Guo, Q.; Li, S.; Zhong, H. Short-Term Wind Power Forecasting Model Based on Multi-Feature Extraction and CNN-LSTM. In Proceedings of the IOP Conference Series: Earth and Environmental Science, Shenzhen, China, 15–17 January 2021; IOP Publishing: Bristol, UK, 2021; Volume 702, p. 012019. [Google Scholar] [CrossRef]
- Bochinski, E.; Senst, T.; Sikora, T. Hyper-Parameter Optimization for Convolutional Neural Network Committees Based on Evolutionary Algorithms. In Proceedings of the 2017 IEEE International Conference on Image Processing (ICIP), Beijing, China, 17–20 September 2017; Institute of Electrical and Electronics Engineers: Piscataway, NJ, USA, 2017; pp. 3924–3928. [Google Scholar] [CrossRef] [Green Version]
- Oullette, R.; Browne, M.; Hirasawa, K. Genetic Algorithm Optimization of a Convolutional Neural Network for Autonomous Crack Detection. In Proceedings of the 2004 Congress on Evolutionary Computation, Portland, OR, USA, 19–23 June 2004; Institute of Electrical and Electronics Engineers: Piscataway, NJ, USA, 2004; pp. 516–521. [Google Scholar] [CrossRef]
- Fedorovici, L.-O.; Precup, R.-E.; Dragan, F.; Purcaru, C. Evolutionary Optimization-Based Training of Convolutional Neural Networks for OCR Applications. In Proceedings of the 2013 17th International Conference on System Theory, Control and Computing (ICSTCC), Sinaia, Romania, 11–13 October 2013; Institute of Electrical and Electronics Engineers: Piscataway, NJ, USA, 2013; pp. 207–212. [Google Scholar] [CrossRef]
- Albeahdili, H.M.; Han, T.; Islam, N.E. Hybrid algorithm for the optimization of training convolutional neural network. Int. J. Adv. Comput. Sci. Appl. 2015, 6, 79–85. [Google Scholar]
- Huang, C.-L.; Shih, Y.-C.; Lai, C.-M.; Chung, V.Y.Y.; Zhu, W.-B.; Yeh, W.-C.; He, X. Optimization of a Convolutional Neural Network Using a Hybrid Algorithm. In Proceedings of the 2019 International Joint Conference on Neural Networks (IJCNN), Budapest, Hungary, 14–19 July 2019; Institute of Electrical and Electronics Engineers: Piscataway, NJ, USA, 2019; pp. 1–8. [Google Scholar] [CrossRef]
- Chen, G.; Shan, J.; Li, D.Y.; Wang, C.; Li, C.; Zhou, Z.; Wang, X.; Li, Z.; Hao, J.J. Research on Wind Power Prediction Method Based on Convolutional Neural Network and Genetic Algorithm. In Proceedings of the 2019 IEEE Innovative Smart Grid Technologies-Asia (ISGT Asia), Chengdu, China, 21–24 May 2019; Institute of Electrical and Electronics Engineers: Piscataway, NJ, USA, 2019; pp. 3573–3578. [Google Scholar] [CrossRef]
- Dong, N.; Chang, J.-F.; Wu, A.-G.; Gao, Z.-K. A novel convolutional neural network framework based solar irradiance prediction method. Int. J. Elec. Power 2020, 114, 105411. [Google Scholar] [CrossRef]
- Yang, M.; Wang, S. A Review of Wind Power Forecasting & Prediction. In Proceedings of the 2016 International Conference on Probabilistic Methods Applied to Power Systems (PMAPS), Beijing, China, 16–20 October 2016; Institute of Electrical and Electronics Engineers: Piscataway, NJ, USA, 2016; pp. 1–7. [Google Scholar] [CrossRef]
- Wang, R.; Chen, B.; Liu, B.; Lin, H.; Chen, W. The Application Research of Deep Learning Based Method for Short-term Wind Speed Forecasting. In Proceedings of the 2019 IEEE 4th Advanced Information Technology, Electronic and Automation Control Conference (IAEAC), Chengdu, China, 20–22 December 2019; Institute of Electrical and Electronics Engineers: Piscataway, NJ, USA, 2019; pp. 2378–2381. [Google Scholar] [CrossRef]
- Fan, H.; Zhang, X.; Mei, S.; Zhang, J. A Markov Regime Switching Model for Ultra-Short-Term Wind Power Prediction Based on Toeplitz Inverse Covariance Clustering. Front. Energy Res. 2021, 9, 638797. [Google Scholar] [CrossRef]
- Zhang, Y.; Zhou, S.; Zhang, Z.; Yan, L.; Liu, L. Design of an Ultra-Short-Term Wind Power Forecasting Model Combined with CNN and LSTM Networks. In Recent Developments in Intelligent Computing, Communication and Devices, Proceedings of the International Conference on Intelligent Computing, Communication & Devices (ICCD) 2019, Xi’an, China, 22–24 November 2019; Springer: Singapore, 2021; Volume 1185, pp. 141–145. [Google Scholar] [CrossRef]
- Fan, H.; Zhang, X.; Mei, S.; Chen, K.; Chen, X. M2GSNet: Multi-Modal Multi-Task Graph Spatiotemporal Network for Ultra-Short-Term Wind Farm Cluster Power Prediction. Appl. Sci. 2020, 10, 7915. [Google Scholar] [CrossRef]
- Alkabbani, H.; Ahmadian, A.; Zhu, Q.; Elkamel, A. Machine Learning and Metaheuristic Methods for Renewable Power Forecasting: A Recent Review. Front. Chem. Eng. 2021, 3, 1–21. [Google Scholar] [CrossRef]
- Dong, X.; Qian, L.; Huang, L. Short-Term Load Forecasting in Smart Grid: A Combined CNN and K-Means Clustering Approach. In Proceedings of the 2017 IEEE International Conference on Big Data & Smart Computing, Jeju, Korea, 13–16 February 2017; Institute of Electrical and Electronics Engineers: Piscataway, NJ, USA, 2017; pp. 2375–9356. [Google Scholar] [CrossRef]
- Huang, C.J.; Kuo, P.H. A Deep CNN-LSTM Model for Particulate Matter (PM2.5) Forecasting in Smart Cities. Sensors 2018, 18, 2220. [Google Scholar] [CrossRef] [PubMed] [Green Version]
- Wang, S.; Sun, Y.; Zhai, S.; Hou, D.; Wang, P.; Wu, X. Ultra-Short-Term Wind Power Forecasting Based on Deep Belief Network. In Proceedings of the 2019 Chinese Control Conference (CCC), Guangzhou, China, 27–30 July 2019; Institute of Electrical and Electronics Engineers: Piscataway, NJ, USA, 2019; pp. 7479–7483. [Google Scholar] [CrossRef]
- Goodfellow, I.; Bengio, Y.; Courville, A. Deep Learning; MIT Press: Cambridge, MA, USA, 2016; pp. 326–366. [Google Scholar]
- Yang, R.; Singh, S.K.; Tavakkoli, M.; Amiri, N.; Yang, Y.; Karami, M.A.; Rai, R. CNN-LSTM deep learning architecture for computer vision-based modal frequency detection. Mech. Syst. Signal Process. 2020, 144, 106885. [Google Scholar] [CrossRef]
- Yin, W.; Kann, K.; Yu, M.; Schütze, H. Comparative study of CNN and RNN for natural language processing. arXiv 2017, arXiv:1702.01923. [Google Scholar]
- Kennedy, J.; Eberhart, R. Particle Swarm Optimization. In Proceedings of the ICNN’95-International Conference on Neural Networks, Perth, WA, Australia, 27 November–1 December 1995; Institute of Electrical and Electronics Engineers: Piscataway, NJ, USA, 1995; pp. 1942–1948. [Google Scholar] [CrossRef]
- Trelea, I.C. The particle swarm optimization algorithm: Convergence analysis and parameter selection. Inf. Process. Lett. 2003, 85, 317–325. [Google Scholar] [CrossRef]
- Shi, X.H.; Liang, Y.C.; Lee, H.P.; Lu, C.; Wang, L.M. An improved GA and a novel PSO-GA-based hybrid algorithm. Inf. Process. Lett. 2005, 93, 255–261. [Google Scholar] [CrossRef]
- Shiwei, Y.; Yiming, W.; Kejun, Z. Hybrid Optimization Algorithm Based on Particle Swarm Optimization and Genetic Algorithm. J. Syst. Eng. Electron 2011, 33, 1647–1652. [Google Scholar] [CrossRef]
- Yeh, W.-C. A two-stage discrete particle swarm optimization for the problem of multiple multi-level redundancy allocation in series systems. Expert Syst. Appl. 2009, 36, 9192–9200. [Google Scholar] [CrossRef]
- Yeh, W.-C. An improved simplified swarm optimization. Knowl. Based Syst. 2015, 82, 60–69. [Google Scholar] [CrossRef]
- Willmott, C.J.; Matsuura, K. Advantages of the mean absolute error (MAE) over the root mean square error (RMSE) in assessing average model performance. Clim. Res. 2005, 30, 79–82. [Google Scholar] [CrossRef]
- Frenzel, J.F. Genetic algorithms. IEEE Potentials 1993, 12, 21–24. [Google Scholar] [CrossRef]
- Kennedy, J.; Eberhart, R.C. A Discrete Binary Version of the Particle Swarm Algorithm. In Proceedings of the 1997 IEEE International Conference on Systems, Man, and Cybernetics, Computational Cybernetics and Simulation, Orlando, FL, USA, 12–15 October 1997; Institute of Electrical and Electronics Engineers: Piscataway, NJ, USA, 1997; Volume5, pp. 4104–4108. [Google Scholar] [CrossRef]










| Feature | Description | Unit |
|---|---|---|
| Wind speed | Measured by a digital anemometer outside the wind farm | m/s |
| Wind direction | The deviation angle between the wind direction and the center line room | ° |
| Temperature | The temperature near the wind farm | K |
| Air pressure | The air pressure near the wind farm | Pa |
| Density at hub height | The Density at hub height measured by a density measuring instrument | kg/m3 |
| Power | Power generation capacity before the 15 min | MW |
| Model | Parameter | Description | Value |
|---|---|---|---|
| Single-CNN | c | The number of convolution layers | 2 |
| k1 k2 | The length of the convolution window | 4/5 | |
| f1 f2 | The convolution kernel number of convolution layers | 5/5 | |
| epochs | The maximum number of iterations in the network | 200 | |
| PSO-CNN | n | The number of particles in a particle swarm | 20 |
| epochs1 | The maximum number of iterations of PSO | 20 | |
| epochs2 | The number of BP runs per iteration | 10 | |
| r | The ratio of BP in each generation of particles | 0.3 | |
| ISSO-CNN | n | The number of particles in a particle swarm | 20 |
| epochs1 | The maximum number of iterations of PSO | 20 | |
| epochs2 | The number of BP runs per iteration | 10 | |
| Cr Cv Cg | The parameters of the iterative formula | 0.35/0.45/0.2 | |
| r | The ratio of BP in each generation of particles | 0.3 | |
| CHACNN | kernel | The interval of convolution kernel size | [2, 6] |
| filters | The interval of filters in the convolution layers | [2, 8] | |
| alpha | The interval of learning rate in the network | [0.05, 2] | |
| epochs1 | The maximum number of iterations of the algorithm | 20 | |
| epochs2 | The interval of maximum BP iterations | [100, 250] | |
| batch | The interval of the batch in the network | [64, 256] | |
| GA-PSO-CNN | n | The number of particles in a particle swarm | 20 |
| epochs1 | The maximum number of iterations of GA-PSO | 20 | |
| epochs2 | The number of BP runs per iteration | 50 | |
| c1 | The number of convolution layers | [1, 2] | |
| k1, k2 | The interval of convolution kernel size | [2, 6] | |
| f1, f2 | The interval of filters in the convolution layers | [2, 8] | |
| weights | The weights of convolutional neural networks | [−1, 1] | |
| bias | The bias of convolutional neural networks | [−1, 1] |
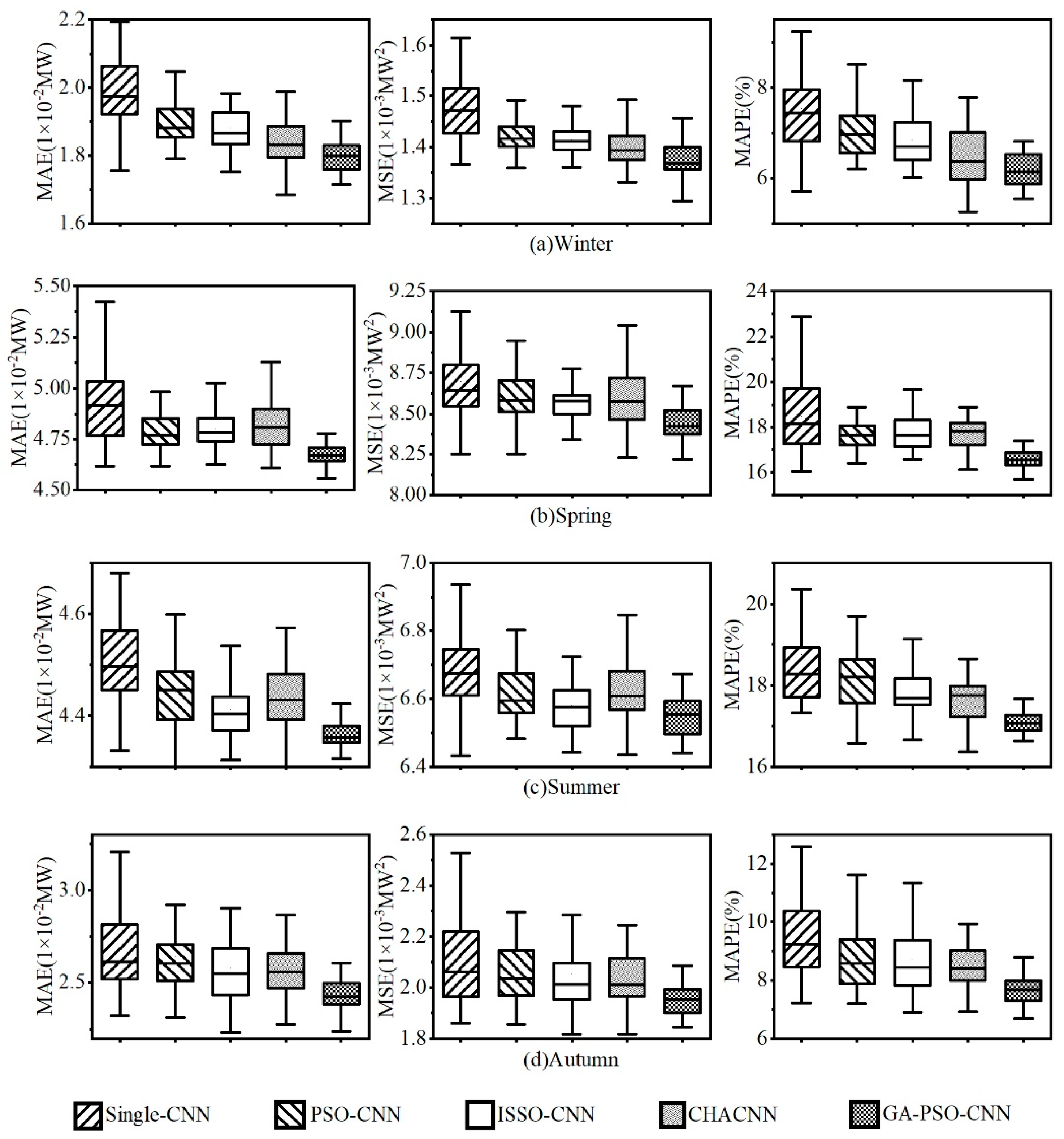
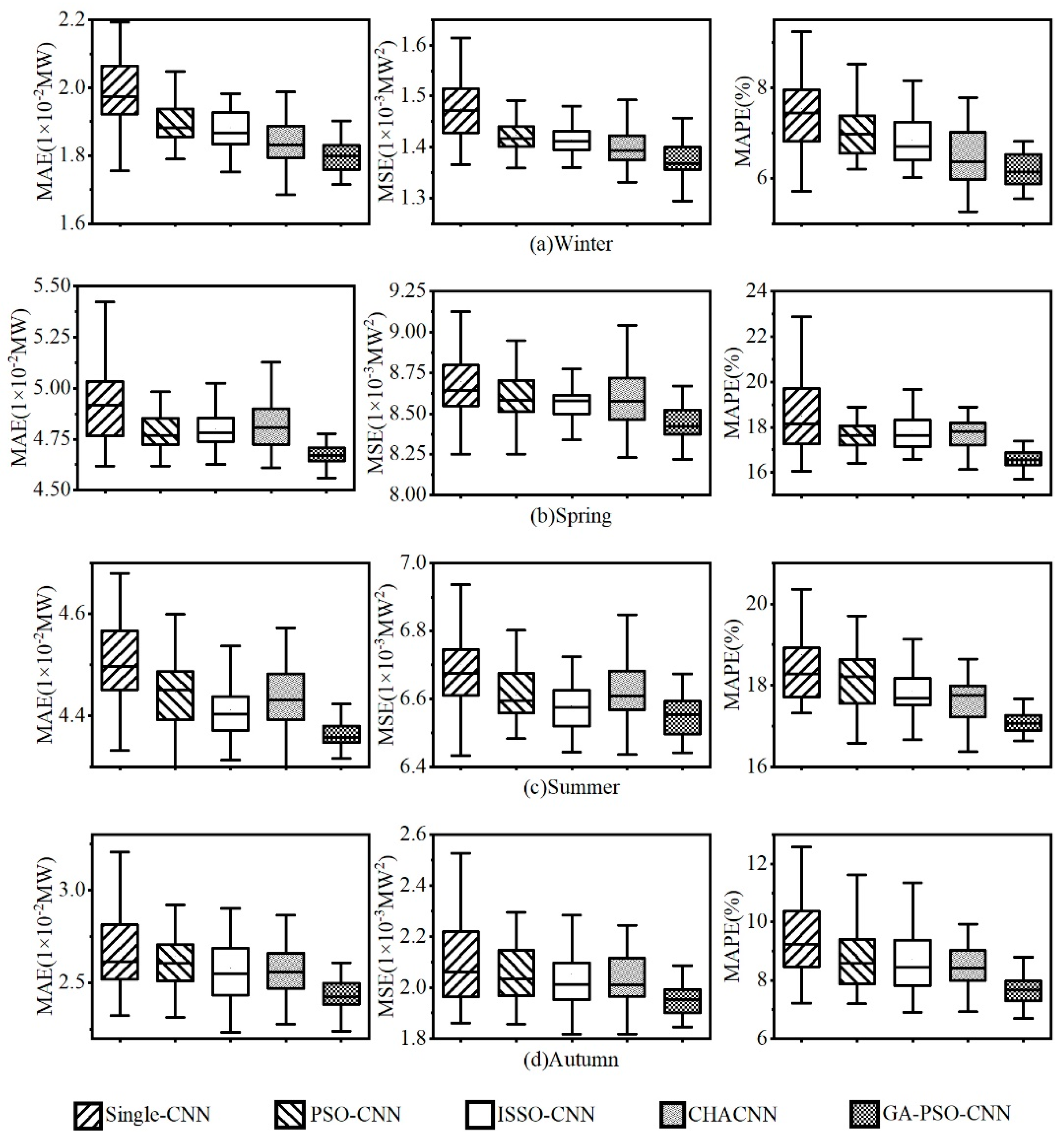
| Season | Error | GA−PSO−CNN | Single−CNN | PSO−CNN | ISSO−CNN | CHACNN |
|---|---|---|---|---|---|---|
| Winter | MAE (MW) | 1.80 × 10−2 | 1.99 × 10−2 (−9.55%) | 1.90 × 10−2 (−5.26%) | 1.88 × 10−2 (−4.26%) | 1.84 × 10−2 (−2.17%) |
| MSE (MW2) | 1.37 × 10−3 | 1.48 × 10−3 (−7.43%) | 1.42 × 10−3 (−3.52%) | 1.41 × 10−3 (−2.84%) | 1.40 × 10−3 (−2.14%) | |
| MAPE (%) | 6.17 | 7.54 (−18.17%) | 7.07 (−12.73%) | 6.84 (−9.80%) | 6.49 (−4.93%) | |
| Spring | MAE (MW) | 4.67 × 10−2 | 4.95 × 10−2 (−5.66%) | 4.79 × 10−2 (−2.51%) | 4.80 × 10−2 (−2.71%) | 4.82 × 10−2 (−3.11%) |
| MSE (MW2) | 8.45 × 10−3 | 8.70 × 10−3 (−2.87%) | 8.60 × 10−3 (−1.74%) | 8.57 × 10−3 (−1.40%) | 8.61 × 10−3 (−1.86%) | |
| MAPE (%) | 16.61 | 18.5 (−10.22%) | 17.72 (−6.26%) | 17.87 (−7.05%) | 17.7 (−6.16%) | |
| Summer | MAE (MW) | 4.36 × 10−2 | 4.54 × 10−2 (−3.96%) | 4.45 × 10−2 (−2.02%) | 4.41 × 10−2 (−1.13%) | 4.43 × 10−2 (−1.58%) |
| MSE (MW2) | 6.55 × 10−3 | 6.70 × 10−3 (−2.24%) | 6.61 × 10−3 (−0.91%) | 6.58 × 10−3 (−0.46%) | 6.64 × 10−3 (−1.36%) | |
| MAPE (%) | 17.1 | 18.75 (−8.80%) | 18.23 (−6.20%) | 17.85 (−4.20%) | 17.68 (−3.28%) | |
| Autumn | MAE (MW) | 2.44 × 10−2 | 2.67 × 10−2 (−8.61%) | 2.64 × 10−2 (−7.58%) | 2.58 × 10−2 (−5.43%) | 2.53 × 10−2 (−3.56%) |
| MSE (MW2) | 1.96 × 10−3 | 2.13 × 10−3 (−7.98%) | 2.08 × 10−3 (−5.77%) | 2.05 × 10−3 (−4.39%) | 2.04 × 10−3 (−3.92%) | |
| MAPE (%) | 7.7 | 9.54 (−19.29%) | 8.89 (−13.39%) | 8.71 (−11.60%) | 8.53 (−9.73%) | |
| Average | MAE (MW) | 3.32 × 10−2 | 3.54 × 10−2 (−6.21%) | 3.45 × 10−2 (−3.77%) | 3.42 × 10−2 (−2.92%) | 3.41 × 10−2 (−2.64%) |
| MSE (MW2) | 4.58 × 10−3 | 4.75 × 10−3 (−3.58%) | 4.68 × 10−3 (−2.14%) | 4.65 × 10−3 (−1.51%) | 4.67 × 10−3 (−1.93%) | |
| MAPE (%) | 11.9 | 13.58 (−12.37%) | 12.98 (−8.32%) | 12.82 (−7.18%) | 12.6 (−5.56%) |
| Time | Error | GA-PSO-CNN | Single-CNN | PSO-CNN | ISSO-CNN | CHACNN |
|---|---|---|---|---|---|---|
| Daytime (8:00–22:00) | MAE (MW) | 1.77 × 10−2 | 2.16 × 10−2 (−18.06%) | 1.91 × 10−2 (−7.33%) | 1.92 × 10−2 (−7.81%) | 1.85 × 10−2 (−4.32%) |
| MSE (MW2) | 1.54 × 10−3 | 1.65 × 10−3 (−6.67%) | 1.58 × 10−3 (−2.53%) | 1.63 × 10−3 (−5.52%) | 1.60 × 10−3 (−3.75%) | |
| MAPE (%) | 6.23 | 9.91 (−37.13%) | 7.39 (−15.70%) | 7.32 (−14.89%) | 6.79 (−8.25%) | |
| Nighttime (22:00–8:00 next day) | MAE (MW) | 1.69 × 10−2 | 1.97 × 10−2 (−14.21%) | 1.80 × 10−2 (−6.11%) | 1.79 × 10−2 (−5.59%) | 1.71 × 10−2 (−1.17%) |
| MSE (MW2) | 1.05 × 10−3 | 1.18 × 10−3 (−11.02%) | 1.09 × 10−3 (−3.67%) | 1.07 × 10−3 (−1.87%) | 1.12 × 10−3 (−6.25%) | |
| MAPE (%) | 4.89 | 6.99 (−30.04%) | 5.51 (−11.25%) | 5.58 (−12.37%) | 4.84 (+2.30%) |
| Season | Type of Weather | Error | GA-PSO-CNN | Single-CNN | PSO-CNN | ISSO-CNN | CHACNN |
|---|---|---|---|---|---|---|---|
| Winter | Sunny (day 1) | MAE (MW) | 1.05 × 10−2 | 1.18 × 10−2 (−11.02%) | 1.11 × 10−2 (−5.41%) | 1.17 × 10−2 (−10.26%) | 1.18 × 10−2 (−11.02%) |
| MSE (MW2) | 3.70 × 10−4 | 4.28 × 10−4 (−13.55%) | 4.29 × 10−4 (−13.75%) | 4.12 × 10−4 (−10.19%) | 4.24 × 10−4 (−12.74%) | ||
| MAPE (%) | 1.49 | 1.63 (−8.59%) | 1.54 (−3.25%) | 1.59 (−6.29%) | 1.63 (−8.59%) | ||
| Cloudy (day 2) | MAE (MW) | 1.13 × 10−2 | 1.52 × 10−2 (−25.66%) | 1.34 × 10−2 (−15.67%) | 1.42 × 10−2 (−20.42%) | 1.18 × 10−2 (−4.24%) | |
| MSE (MW2) | 4.60 × 10−4 | 5.56 × 10−4 (−17.27%) | 5.47 × 10−4 (−15.90%) | 4.75 × 10−4 (−3.16%) | 4.67 × 10−4 (−1.50%) | ||
| MAPE (%) | 4.03 | 6.36 (−36.64%) | 5.39 (−25.23%) | 5.60 (−28.04%) | 3.89 (+3.60%) | ||
| Rainy (day 3) | MAE (MW) | 1.30 × 10−2 | 1.50 × 10−2 (−13.33%) | 1.45 × 10−2 (−10.34%) | 1.36 × 10−2 (−4.41%) | 1.42 × 10−2 (−8.45%) | |
| MSE (MW2) | 4.30 × 10−4 | 4.48 × 10−4 (−4.02%) | 4.58 × 10−4 (−6.11%) | 4.26 × 10−4 (+0.94%) | 4.82 × 10−4 (−10.79%) | ||
| MAPE (%) | 7.12 | 9.21 (−22.69%) | 9.00 (−20.89%) | 7.39 (−3.65%) | 7.63 (−6.68%) | ||
| Spring | Sunny (day 4) | MAE (MW) | 2.84 × 10−2 | 3.52 × 10−2 (−19.32%) | 3.31 × 10−2 (−14.20%) | 3.05 × 10−2 (−6.89%) | 3.15 × 10−2 (−9.84%) |
| MSE (MW2) | 2.65 × 10−3 | 3.42 × 10−3 (−22.51%) | 3.08 × 10−3 (−13.96%) | 3.17 × 10−3 (−16.40%) | 3.24 × 10−3 (−18.21%) | ||
| MAPE (%) | 8.04 | 11.30 (−28.85%) | 9.03 (−10.96%) | 8.58 (−6.29%) | 9.35 (−14.01%) | ||
| Cloudy (day 5) | MAE (MW) | 4.63 × 10−2 | 5.16 × 10−2 (−10.27%) | 5.05 × 10−2 (−8.32%) | 5.07 × 10−2 (−8.68%) | 4.77 × 10−2 (−2.94%) | |
| MSE (MW2) | 4.68 × 10−3 | 5.93 × 10−3 (−21.08%) | 5.70 × 10−3 (−17.89%) | 5.55 × 10−3 (−15.68%) | 4.99 × 10−3 (−6.21%) | ||
| MAPE (%) | 11.78 | 13.26 (−11.16%) | 12.66 (−6.95%) | 12.90 (−8.68%) | 12.63 (−6.73%) | ||
| Rainy (day 6) | MAE(MW) | 8.74 × 10−2 | 8.90 × 10−2 (−1.80%) | 8.77 × 10−2 (−0.34%) | 8.46 × 10−2 (+3.31%) | 8.54 × 10−2 (+2.34%) | |
| MSE (MW2) | 1.92 × 10−2 | 2.17 × 10−2 (−11.52%) | 2.01 × 10−2 (−4.48%) | 1.99 × 10−2 (−3.52%) | 1.97 × 10−2 (−2.54%) | ||
| MAPE (%) | 19.09 | 21.69 (−11.99%) | 21.10 (−9.53%) | 20.52 (−6.97%) | 19.48 (−2.00%) | ||
| Summer | Sunny (day 7) | MAE (MW) | 4.33 × 10−2 | 4.88 × 10−2 (−11.27%) | 4.71 × 10−2 (−8.07%) | 4.66 × 10−2 (−7.08%) | 4.81 × 10−2 (−9.98%) |
| MSE (MW2) | 4.21 × 10−3 | 5.37 × 10−3 (−21.60%) | 4.95 × 10−3 (−14.95%) | 5.17 × 10−3 (−18.57%) | 4.83 × 10−3 (−12.84%) | ||
| MAPE (%) | 6.28 | 7.51 (−16.38%) | 6.73 (−6.69%) | 6.64 (−5.42%) | 6.61 (−4.99%) | ||
| Cloudy (day 8) | MAE (MW) | 4.01 × 10−2 | 5.45 × 10−2 (−26.42%) | 4.80 × 10−2 (−16.46%) | 5.02 × 10−2 (−20.12%) | 5.11 × 10−2 (−21.53%) | |
| MSE (MW2) | 7.80 × 10−3 | 1.30 × 10−2 (−40.00%) | 1.08 × 10−2 (−27.78%) | 1.14 × 10−2 (−31.58%) | 9.17 × 10−3 (−14.94%) | ||
| MAPE (%) | 12.04 | 17.57 (−31.47%) | 16.07 (−25.08%) | 15.68 (−23.21%) | 14.19 (−15.15%) | ||
| Rainy (day 9) | MAE (MW) | 5.52 × 10−2 | 6.21 × 10−2 (−11.11%) | 5.69 × 10−2 (−2.99%) | 5.83 × 10−2 (−5.32%) | 5.70 × 10−2 (−3.16%) | |
| MSE (MW2) | 6.59 × 10−3 | 7.04 × 10−3 (−6.39%) | 6.83 × 10−3 (−3.51%) | 6.79 × 10−3 (−2.95%) | 6.72 × 10−3 (−1.93%) | ||
| MAPE (%) | 22.53 | 24.69 (−8.75%) | 23.12 (−2.55%) | 23.64 (−4.70%) | 22.01 (+2.36%) | ||
| Autumn | Sunny (day 10) | MAE (MW) | 2.65 × 10−2 | 3.95 × 10−2 (−32.91%) | 3.30 × 10−2 (−19.70%) | 3.89 × 10−2 (−31.88%) | 3.51 × 10−2 (−24.50%) |
| MSE (MW2) | 4.04 × 10−3 | 6.24 × 10−3 (−35.26%) | 5.11 × 10−3 (−20.94%) | 5.55 × 10−3 (−27.21%) | 5.06 × 10−3 (−20.16%) | ||
| MAPE (%) | 3.66 | 5.84 (−37.33%) | 4.51 (−18.85%) | 5.22 (−29.89%) | 4.62 (−20.78%) | ||
| Cloudy (day 11) | MAE (MW) | 2.11 × 10−2 | 2.37 × 10−2 (−10.97%) | 2.21 × 10−2 (−4.52%) | 2.27 × 10−2 (−7.05%) | 2.20 × 10−2 (−4.09%) | |
| MSE (MW2) | 7.89 × 10−4 | 1.19 × 10−3 (−33.70%) | 9.94 × 10−4 (−20.62%) | 1.02 × 10−3 (−22.65%) | 8.79 × 10−4 (−10.24%) | ||
| MAPE (%) | 6.31 | 7.21 (−12.48%) | 6.81 (−7.34%) | 6.56 (−3.81%) | 6.75 (−6.52%) | ||
| Rainy (day 12) | MAE (MW) | 4.56 × 10−2 | 5.28 × 10−2 (−13.64%) | 4.91 × 10−2 (−7.13%) | 4.64 × 10−2 (−1.72%) | 4.63 × 10−2 (−1.51%) | |
| MSE (MW2) | 7.31 × 10−3 | 9.88 × 10−3 (−26.01%) | 9.21 × 10−3 (−20.63%) | 8.48 × 10−3 (−13.80%) | 8.05 × 10−3 (−9.19%) | ||
| MAPE (%) | 12.62 | 14.69 (−14.09%) | 13.28 (−4.97%) | 12.27 (+2.85%) | 13.04 (−3.22%) |
| Hyperparameter | Average | The Value of Manual Tuning | Reduced Proportion |
|---|---|---|---|
| kernel_size1 | 3.8 | 4 | 5% |
| filters1 | 4.56 | 5 | 8.8% |
| kernel_size2 | 4.08 | 5 | 18.4% |
| filters2 | 4.52 | 5 | 9.6% |
Publisher’s Note: MDPI stays neutral with regard to jurisdictional claims in published maps and institutional affiliations. |
© 2021 by the authors. Licensee MDPI, Basel, Switzerland. This article is an open access article distributed under the terms and conditions of the Creative Commons Attribution (CC BY) license (https://creativecommons.org/licenses/by/4.0/).
Share and Cite
Liu, J.; Shi, Q.; Han, R.; Yang, J. A Hybrid GA–PSO–CNN Model for Ultra-Short-Term Wind Power Forecasting. Energies 2021, 14, 6500. https://doi.org/10.3390/en14206500
Liu J, Shi Q, Han R, Yang J. A Hybrid GA–PSO–CNN Model for Ultra-Short-Term Wind Power Forecasting. Energies. 2021; 14(20):6500. https://doi.org/10.3390/en14206500
Chicago/Turabian StyleLiu, Jie, Quan Shi, Ruilian Han, and Juan Yang. 2021. "A Hybrid GA–PSO–CNN Model for Ultra-Short-Term Wind Power Forecasting" Energies 14, no. 20: 6500. https://doi.org/10.3390/en14206500
APA StyleLiu, J., Shi, Q., Han, R., & Yang, J. (2021). A Hybrid GA–PSO–CNN Model for Ultra-Short-Term Wind Power Forecasting. Energies, 14(20), 6500. https://doi.org/10.3390/en14206500

