Next Article in Journal
Inertia Effects in the Dynamics of Viscous Fingering of Miscible Fluids in Porous Media: Circular Hele-Shaw Cell Configuration
Previous Article in Journal
Calculation Method of Allowable Continuous Current for Direct Burial Laying HVDC Underground Cable
 
 
Font Type:
Arial Georgia Verdana
Font Size:
Aa Aa Aa
Line Spacing:
Column Width:
Background:
Article

Can Lower Carbon Aviation Fuels (LCAF) Really Complement Sustainable Aviation Fuel (SAF) towards EU Aviation Decarbonization?

1
“Galileo Ferraris” Energy Department, Politecnico Di Torino, Corso Duca Degli Abruzzi 24, 10129 Turin, Italy
2
Renewable Energy Consortium for Research and Development (RE-CORD), Viale Kennedy 182, 50038 Scarperia e San Piero, Italy
3
EXERGIA S.A., Energy and Environment Consultants, 10571 Athens, Greece
4
European Commission, Joint Research Centre (JRC), 21027 Ispra, Italy
*
Author to whom correspondence should be addressed.
Energies 2021, 14(19), 6430; https://doi.org/10.3390/en14196430
Submission received: 29 August 2021 / Revised: 28 September 2021 / Accepted: 30 September 2021 / Published: 8 October 2021
(This article belongs to the Section I1: Fuel)

Abstract

:
The present work provides an analysis of the potential impact of fossil-based Low Carbon Aviation Fuels (LCAF) for the European aviation sector, with a time horizon to 2050. LCAF are a crude-derived alternative to kerosene, offering some Green House Gas (GHG) savings, and have been defined by ICAO as eligible fuels for mitigating the environmental impact of aviation. A methodological framework to evaluate the EU technical potential for LCAF production is developed, based on data on crude utilization for jet fuel production in EU refineries, relevant carbon intensity reduction technologies, market prices, and aviation fuel volumes. Two different baselines for fossil-derived kerosene carbon intensity (CI) are considered: a global figure of 89 gCO2e/MJ and an EU-27-specific one of 93.1 gCO2eq/MJ. Three scenarios considering increasing levels of CI reduction are then defined, taking into account the current and potential commercial availability of some of the most relevant carbon intensity reduction technologies. The analysis demonstrates that, even if LCAF could offer GHG saving opportunities, their possible impact, especially when compared to the ambition level set in the most recent European legislative proposals, is very limited in most of the analysed scenarios, with the exception of the most ambitious ones. At 2030, a non-zero technical potential is projected only in the higher CI reduction scenario, ranging between 1.8% and 14.2% of LCAF market share in the EU-27 (equal to 0.6 to 4.75 Mtoe), depending on the considered Baseline for CI. At 2050, almost all considered scenarios project a larger technical potential, ranging between 6.9% and 22.2% for the global Baseline (2.21 to 7.13 Mtoe), and between 1.8% and 16.2% for the EU-27 Baseline (0.58 to 5.2 Mtoe). LCAF additional costs to current production costs are also discussed, given their relevance in large-scale deployment of these technologies, and are projected to range between 39 and 46.8 USD/toe.

1. Introduction

The aviation sector accounted for 3.8% of total CO2 emissions and 13.9% of total GHG emissions from transport in 2017 at EU-level [1]. Even considering that the impacts of COVID-19 have significantly reduced the demand (by −62.1% of available seat kilometers in Europe at 2020 [2]), which therefore also caused corresponding emissions to drop (−56.9% across Europe in 2020 as compared to 2019 [3]), the sector still faces a hard challenge in reaching the GHG emission reduction target and meeting the commitments set under the Paris Agreement.
The 2030 Climate & Energy framework [4] defined specific EU-wide targets to reduce greenhouse gas emissions, increase the share of renewable energy, and improve energy efficiency. The Clean Energy Package [5] provided the policy and regulatory instruments to support the achievement of the targets: beyond 2030, the EU 2050 long-term strategy [6] calls for carbon-neutrality at 2050. In this frame, the European Green Deal [7] represented the ambition of the EU to reduce GHG emissions by −55% by 2030 and set the foundations to achieve net-zero emissions by 2050.
To implement the increased ambition of the −55% target, the European Commission presented the “Fit for 55” package [8] in July 2021, which introduced legislative proposals to revise the entire EU 2030 climate and energy framework. Among others, the newly introduced ReFuel EU aviation legislative proposal [9] defines a progressive set of mandates for the use of alternative fuels in aviation. In particular, the ReFuel EU Regulation sets targets for SAF and synthetic kerosene (e-kerosene), in terms of shares of the final sectoral energy consumption up to 2050, scaling up at the EU level similar approaches already followed by several member states, such as Norway, Sweden, Finland, Spain, France, and the Netherlands, in their NECPs (see [10]).
Further, while RED II [11] set minimum targets for the use of renewables in transport, and in particular 14% RES-in-transport (RES-T) for 2030, its proposed revision within the Fit for 55 package calls for a 13% reduction of carbon intensity of the overall transport fuel mix [12]. The Carbon Intensity of a fuel is defined as the life cycle greenhouse gas emissions per unit of energy, i.e., gCO2eq/MJ, and its reduction target will essentially lead to the deployment of less polluting fuels in the effort to achieve the required total emission reduction.
The EU Emissions Trading System (ETS) [13] is the European cornerstone climate policy instrument that covers ~40% of EU’s GHG emissions. The ETS sets a limit on the overall emissions from the covered industrial sectors, which is reduced each year; within this cap, companies receive for free or buy emission CO2 allowances that they can trade, if they decide to do so. A separate cap applies to the aviation sector, which has been included in this system since 2012: for the whole 2013–2020 period, this is 5% below the average annual level of emissions in 2004–2006. The share of freely allocated allowances accounts for 82% of the total emissions of the sector [14].
Since the introduction of the aviation sector in the EU ETS, the system evolved in terms of scope and compliance aspects. Originally, the EU ETS was applied to flights departing from or arriving in an EU MS (with the exemption of excluded flights that are listed in Annex I of the Directive 2003/87/EC). To support the development of a global measure by the International Civil Aviation Organisation (ICAO) to reduce emissions from aviation, the scope of EU ETS aviation was temporarily limited to intra EEA flights. Once the Resolution on the “Carbon Offsetting and Reduction Scheme for International Aviation” (CORSIA) was adopted in 2016, the EU ETS Directive was amended in 2017 to maintain the limited intra EEA scope until 2023 [15]. Further, within the recent FitFor55 package and the relevant proposal for amendment of the Directive, the limited scope of the aviation EU ETS to intra EEA flights has been retained, and the implementation of CORSIA for extra-European flights has been confirmed [16].
CORSIA is a global offsetting scheme, whereby airlines and other aircraft operators will have to offset any growth in CO2 emissions above 2020 levels. The approach used by CORSIA is based on comparing the total CO2eq emissions for a specific year under consideration against a baseline level of CO2eq emissions: this, before COVID-19, was defined as the average of CO2eq emissions from international aviation covered by the CORSIA for the years 2019 and 2020. In June 2020, it was decided that the baseline year will instead be 2019 only. In the following years, any international aviation CO2eq emissions covered by the CORSIA that exceed the baseline level represent the sector’s offsetting requirements for that year. CORSIA will be implemented in three phases: initially with a voluntary participation of States in the CORSIA programme (pilot phase–2021 to 2023–and first phase 2024 to 2027); then, in the second phase (running from 2027 to 2035), by the participation of all States-except the States exempted from the offsetting requirements.
From 2021 onwards, operators can reduce their CORSIA offsetting requirements by claiming emissions reductions from CORSIA Eligible Fuels.
The Figure 1 resents a classification of aviation fuels on the basis of the definition of CORSIA Eligible Fuels. Beside the Conventional Aviation Fuels (CAF), Alternative Aviation Fuels (AAF) broadly fall under the following categories:
  • CORSIA Sustainable Aviation Fuels (SAF): A renewable or waste-derived aviation fuel that meets the CORSIA Sustainability Criteria;
  • CORSIA Lower Carbon Aviation Fuel (LCAF): A fossil-based aviation fuel that features a smaller carbon footprint than conventional kerosene and meets the CORSIA Sustainability Criteria.
  • Hydrogen and other innovative fuels, that cannot fall under the definitions of SAF and LCAF.
SAF are produced from sustainable resources such as waste oils from a biological origin, agricultural residues, and CO2. On the other hand, some of the possible technologies that may allow the production of LCAF include Carbon Capture, Utilization and Storage (CCUS), the use of renewable energy in oil refineries and/or green hydrogen. Such technologies are collectively mentioned to as Carbon Intensity Reduction Technologies (CIRT) in the frame of this work.
It is noted that both SAF and LCAF also have to meet minimum CORSIA Sustainability Criteria, i.e., ensuring (a) a minimum GHG savings compared to a fossil jet fuel baseline and (b) that eligible fuels should not be made from biomass obtained from land with high carbon stock. A complete set of sustainability criteria for LCAF is under development at ICAO level so to guarantee the environmental integrity of the CORSIA package.
With respect to GHG emissions, CORSIA’s criteria for eligible fuels mandate a life cycle emission reduction of at least 10% as compared to the agreed fossil fuel baseline of 89 g of CO2 equivalent per megajoule (gCO2eq/MJ–also known as Carbon Intensity of the fuel) [17]. The global average fossil fuel GHG emissions intensity associated with the production and use of petroleum-derived aviation fuels is evaluated across the whole life cycle and can be split into five steps, namely, crude extraction, crude transportation, crude refining to jet fuel, jet fuel transportation, and combustion [18].
As far as SAF are concerned, CORSIA’s eligibility criteria with respect to GHG emissions still call for a 10% reduction. However, according to RED II, in order to qualify biofuels as renewable energy sources for aviation, fuels have to achieve an at least 65% reduction in their Carbon Intensity (CI) against the fossil fuel baseline of 94 gCO2eq/MJ.
Within the above aviation sector decarbonization frame, several analyses have been conducted considering technical and economic parameters of alternative fuels for aviation, highlighting the necessity of drop-in solutions such as SAF and synthetic kerosene. Dahal et al. [19] recently reviewed alternative fuels and related propulsion systems with a focus on costs and technical maturity. The alternative fuels considered in the study include bio-jet fuels made through different technological pathways and feedstocks, electro-jet fuels, hydrogen (gaseous and liquefied), liquefied methane, ammonia, but also electricity as energy carrier. Similarly, Gray et al. [20] reviewed several alike energy carriers that can be used for aviation sector decarbonization. Both studies concluded that SAF is the most technically promising renewable aviation fuel in the near term; nonetheless, there are still several barriers associated to their market scale-up in the near to mid-term. These include substantially higher costs compared to the currently used fossil kerosene (which directly affect SAF demand from airlines), as well as the availability of suitable feedstock (which has a detrimental effect on SAF supply).
On the other hand, acknowledging the fact that the entire set of possible and available decarbonization options are needed to achieve a meaningful contribution to EU’s climate targets, and that all major oil companies have announced their climate strategies towards a significantly reduced carbon footprint of their operations and products by 2030 and 2050 [21], fossil-based options such as the Lower Carbon Aviation Fuel (LCAF) constitute an additional option to explore.
The aim of the present study is to provide an analysis of the impact of LCAF possible commercialisation in the European aviation sector, with a time horizon to 2030, and further projections to 2050. The paper addresses the following research goals:
  • To identify the production potential for LCAF technologies and practices, within the European refinery context;
  • To estimate the LCAF additional production costs, as compared to the average EU fossil jet fuel price;
  • To estimate the potential market share of LCAF in the European aviation market context and considering the REDII target, the national supporting mandates, EU-ETS, etc.;
  • To evaluate the expected impacts on the EU market, also considering the development prospects of the European SAF.
The structure of the work is as follows: Section 2 presents the overall methodology adopted for this work, as well as the specific methodology followed for the formulation of scenarios and the evaluation of the EU LCAF technical production capacity potential. It is noted that in the frame of this work, the EU-27 technical potential for LCAF production is defined as the upper-boundary estimate of the LCAF projected production from the EU refineries in a considered timeframe. The technical potential for LCAF production is herein defined as the expected achievable LCAF production given a specific set of assumptions for the technological (i.e., production technologies) and commercial (i.e., available crude feedstocks) characteristics of the aviation fuel production sector in the 2030 and 2050 perspective. Results stemming from the application of the developed methodology on recent relevant data are given in Section 3. First, an overview of the appropriate CIRT and an estimation of their cost in the analyzed time frame is given. The above information is then used to elaborate the scenarios for the evaluation of the LCAF technical potential. Additional costs related to LCAF production are also discussed. Finally, the identified LCAF volumes are compared to the expected SAF volumes. Conclusions are reported in Section 4.

2. Materials and Methods

2.1. Overall Methodology

The work is organized into two distinct but interconnected parts: in the first part, the Well-to-Wake (WtW) jet fuel Carbon Intensity (CI) baselines are assessed, and the appropriate CIRT that can potentially be applied to the oilfields and at EU refineries level to produce LCAF, are identified. Two different baselines are considered in this study for the definition of current jet fuel production CI: a global one, based on the work of ICAO (referred to as Baseline A in the following), and an EU-27 one, due to the particular EU-perspective of the work (referred to as Baseline B). For the determination of the latter, up-to-date information on EU-produced and imported crude volumes, and kerosene production capacities in the EU refineries, are considered.
Once having set the CI baselines, and considering that CORSIA’s LCAF definition requires a 10% GHG reduction, the CI reduction potential of various CIRTs is evaluated. Here, the examined CIRTs refer to the crude extraction at the oilfields (hereinafter referred to as “upstream”) and the crude refining to jet fuel steps. A literature review has been carried out to identify the upper limit of the potential CI reduction and the related cost of the most promising and applicable CIRTs at each of the considered jet fuel production phases, as defined above. Finally, the additional costs related to the production of LCAF are evaluated through a literature survey, as the sum of three different contributions:
  • Costs related to CIRT applied at the oilfield;
  • Costs related to CIRT applied at the refinery level;
  • Costs related to the procurement of crude with a suitably low CI, to be then used as feedstock for LCAF production at the EU refineries; such crudes are usually expected to come with a higher cost than those of the typical EU-utilized crudes.
The second part of the work then focuses on the development of scenarios depicting the possible deployment pathway for all of the above-mentioned CIRT and on the evaluation of the related expected LCAF production technical potential. The analysis considers as well the possible impacts of such expected LCAF production potential on the EU jet fuel market. The methodological details related to this second part of the work are presented in the next section.

2.2. Methodology and Scenarios for the Evaluation of EU Potential LCAF Technical Production Capacity

The methodology developed for the evaluation of the EU technical potential for LCAF production has been applied to several scenarios regarding (a) the applied baseline on the basis of which the required CI reduction to produce an LCAF is considered, and (b) the possible deployment of the various CIRT (upstream and in refineries).
The methodology consists of two main phases: in the first one, the LCAF CI reduction potential is evaluated for each considered CI baseline scenario and is compared with the expected CI reductions related to the projected CIRT deployment and the low-CI crudes use. If the result of the analysis is positive, it is thus actually possible to produce LCAF: a quantitative evaluation of LCAF production technical potential is then performed in the second phase.
Each scenario refers to a specific baseline of the two previously defined; this, in turn, defines the related CI reduction needed to reach the CI threshold for LCAF eligibility, defined as Δ C I N E E D . The scenario also defines the set of deployed CIRTs, with the corresponding CI reduction Δ C I C I R T , calculated as the sum of upstream ( Δ C I U P s ) and refinery Δ C I R E F contributions:
Δ C I C I R T = Δ C I U P S + Δ C I R E F
A comparison against the LCAF CI threshold is made, to evaluate if the average EU crude is suitable for eligible LCAF production. The following condition is set:
Δ C I C I R T   Δ C I N E E D
If this is verified, then the average EU crude feedstock is suitable to produce LCAF. Otherwise, it becomes necessary to use specific, low-CI crude types, that could further reduce the upstream CI by Δ C I C R , calculated as follows:
Δ C I C R = C I C R A V G C I C R X
where C I C R A V G is the CI of the average EU crude feedstock and C I C R X is the highest CI of a crude stream that allows to meet the following condition:
Δ C I C R + Δ C I C I R T   Δ C I N E E D
It results that all other crude types with a CI lower than C I C R X still allow such condition to be met, and thus are appropriate for LCAF production.
Finally, if no specific crude type meets this last condition, no LCAF production capacity is available for that specific scenario. The methodology is summarized in the Figure 2.
As anticipated, for each threshold-compliant scenario, a quantitative evaluation of the LCAF production technical potential is performed. The overall LCAF production technical potential is calculated as the minimum value between the upstream potential and the refineries potential; the calculation is performed at Member State (MS) level, and then results are aggregated at EU-27 level, determining the EU-27 LCAF production technical potential.
The upstream potential is defined here as the maximum amount of LCAF that could be produced using all crude feedstock available and compliant with the required CI reduction levels, as defined in the previous step (crudes with CI equal or lower than C I C R X ). It is obtained by multiplying the volumes of produced or imported suitable crude feedstocks in each EU MS with the share of jet fuel production in the refinery outputs in each EU-27 country. This part of the methodology assumes that only the MS utilizing (i.e., either producing or importing) such crude types could produce LCAF. MS that already produce jet fuels, but do not have access to such crude streams, are thus unable to produce LCAF.
The refineries potential is then defined as the maximum amount of LCAF that could be produced by EU refineries, if no restrictions on suitable feedstock availability are imposed. Such upper, theoretical limit is equal to the produced fossil jet fuel volumes output, estimated at country level. It is also noted that, with respect to the refineries potential calculation, the current refineries’ production profile in terms of share of fossil kerosene production has been maintained for LCAF production as well.
A spreadsheet based tool specific to this work has been developed, to allow for scenarios exploration and quantification of the results.

2.3. Evaluation of Methodologies to Allocate CI Reduction in Refineries

The methodology developed also addresses the CI reduction allocation method for the CIRT applied in refineries, considering both a free-allocation and an energy-based allocation method. These two different allocation methods are applied to each scenario, to evaluate the impact of this relevant methodological assumption. The free-allocation method consists of allocating the CI reductions, as well as the related technology costs, on a causality basis. In practical terms, it assumes that both cost burdens and emission reductions are allocated to the LCAF fraction of the total refinery throughput. This assumption could be justified by the fact that LCAF production is the reason for the deployment and use of CIRTs.
The assumptions related to the free-allocation method do not consider that CCS application essentially targets various different CO2eq sources within the refinery’s boundaries, nor that renewable hydrogen is shared between several different refining processes. Kerosene production is relevant to just some of the sources and some of the processes, thus it should account only for a share of both CI reduction and the corresponding deployment costs of these CIRTs.
As the development of a process-level, energy-based allocation method requires complex refinery modeling, and is out of scope for the present work, a simplified output volume-based analysis has been performed. Here, only a part of the CI reduction related to refinery-side CIRT, as well as the associated costs, is attributed to the jet fuel output, and more precisely, a share equal to the country-level share of jet fuel among the overall refineries’ outputs. As an example, if jet fuel production accounts for 6% of total refineries output for a certain MS, then only 6% of CI reduction related to refinery-side CIRT is attributed to jet fuel and is thus considered for LCAF production potential characterization.

2.4. Timeframe for Methodology Application

The methodology presented has been projected across a timeframe to 2050. Within this timeframe, however, several changes will likely occur, which could impact many of the elements considered in the analysis. Therefore, the model focuses on three main aspects: the evolution of the various considered CIRT in terms of commercial availability, the evolution of EU crude oil demand, and finally the evolution of EU jet fuel demand. In order to gather information on the projected development of each one of them, a literature review has been carried out, specifically looking for volumes and costs forecasts.

3. Results

The outcomes are presented following the methodological steps depicted in Section 2.1. At first, the Well-to-Wake (WtW) jet fuel Carbon Intensity (CI) baselines are assessed (Section 3.1), and the appropriate CIRT that can potentially be applied to the oilfields and at EU refineries level to produce LCAF are identified and described (Section 3.2). Then, a set of scenarios depicting the possible deployment pathway for all the above-mentioned CIRT is defined (Section 3.2.3), and the related expected LCAF production technical potential is reported (Section 3.4). Finally, the incremental cost related to LCAF production is described (Section 3.5), together with the possible impacts of LCAF commercialization on European alternative fuel sector (Section 3.6).

3.1. Global and EU-Based Baseline Calculation of the GHG Intensity of Fossil Kerosene

The baseline calculation of the GHG intensity of fossil kerosene is also important, since it sets the reference CI value on the basis of which the Δ C I N E E D is determined.
Following the ICAO CORSIA current definition for LCAF, a jet fuel can be regarded as such if it can demonstrate at least a 10% reduction in its WtW carbon intensity as compared to the 89 gCO2eq/MJ global baseline established by [17]. Referring to absolute values, the LCAF threshold CI is 80.1 gCO2eq/MJ, meaning that a reduction of 8.9 gCO2eq/MJ as compared to the ICAO fossil jet fuel CI value is needed for the production of an eligible LCAF.
For the determination of a European jet fuel CI baseline (Baseline B) that would represent the actual CI baseline of kerosene utilized (produced or imported) in the EU, five life cycle steps are considered, i.e., (i) crude extraction, (ii) crude transportation, (iii) crude refining to jet fuel, (iv) jet fuel transportation, and (v) combustion. The main difference between Baseline A and Baseline B stems from crude extraction and crude refining steps, which, for the case of latter Baseline, are referred to the European context, while crude transportation, jet fuel transportation, and combustion emission intensity values are taken from [22].
The Baseline B scenario considers the average upstream CI of the crudes that are fed to European refineries and the EU average crude-to-jet fuel refining CI. EU refineries use several crudes originating from all over the world. The average carbon intensity of the crudes supplied to Europe in 2010 has been estimated at 10.0 gCO2eq/MJ [23]. This figure comes as an outcome of the weighted average of the CI of individual crudes that are supplied to EU refineries, and it should be noted that there is a remarkable range of CI values of crudes from different oilfields; crude originating from certain oilfields in Europe feature a relatively low CI (e.g., Forties Crude from UK Arbroath field with 1.7 gCO2eq/MJ, Denmark Crude from Denmark Nini field with 2.4 gCO2eq/MJ, etc.), whereas crudes imported from oilfields in other parts of the world can have a significantly higher CI value (e.g., Nigeria Light Crude from Tapa field with 72.4 gCO2eq/MJ, Brent Blend Crude from UK Murchison field with 29.8 gCO2eq/MJ etc. [23]).
As regards the refinery phase, estimating the CO2eq emissions associated with the production of kerosene is challenging, as it is produced simultaneously with other petroleum products through a combination of interrelated processes and routes (e.g., straight-run, hydro-treatment, conversion). Following a study carried out by CONCAWE [24], that utilizes the specific features of the Linear Programming (LP) technique based on marginal allocation to model refineries, the European average kerosene refining emission intensity has been determined at 6.1 gCO2eq/MJ. However, it should be mentioned that refining crudes to kerosene is a very complex process, and the aforementioned CI for this step should only be regarded as a representative average figure for the European context, noting that individual values range from 5 to 15 gCO2eq/MJ [24] of kerosene, depending on the refinery technology and its products range profile.
Considering the CI figures given above for the crude extraction and the refining phases and, as stated before, assuming the same CI values for the transportation and combustion phases as those indicated by [22] in the global Baseline, the EU-baseline is established at 93.1 gCO2eq/MJ, as reported in Table 1.
This implies that, based on the EU-baseline, a potential LCAF jet fuel has to demonstrate a CI reduction higher than the 8.9 gCO2eq/MJ required under the global-Baseline framework of ICAO, and namely 13 gCO2eq/MJ. This corresponds to a notable 60% higher reduction requirement.

3.2. Overview of CIRT and Estimation of Their Cost

In this section, the CI Reduction Technologies (CIRT) identified to effectively reduce the CI of jet fuel production are briefly described, aiming at reviewing and consolidating the information related to the estimated CI reduction potential (in terms of gCO2eq/MJ) as well as to the related costs. These CIRTs can be applied both upstream, i.e., from the crude extraction phase and before the crude enters the refinery, as well as within the refinery boundaries, where the transformation of crude into kerosene takes place.
A literature review has been carried out, encompassing also publicly available information from ICAO technical groups. Data are collected and analyzed in order to identify an upper limit of the potential CI reduction and the related cost of the various applicable CIRT at each of the considered kerosene phases defined above. Overall, it is mentioned that the possible CIRT at refineries appear to be defined in a more solid way than those CIRT that are applicable at oilfields. Furthermore, despite the vast available literature, only few works provide detailed information on the related deployment costs.

3.2.1. Upstream CIRT

Concerning the upstream phase, based on [23,25], three appear the most promising CIRT that could be applied and could potentially contribute to deliver a reduction of crude CI, and so to potentially make it suitable for LCAF production. These are (i) use of renewable energy at oilfield, (ii) avoidance of venting and fugitives, and (iii) reduction of flaring of associated gas.
One of the possible ways to implement the use of renewable energy on the oilfield are solar-thermal installations to produce heat or stream for Enhanced Oil Recovery (EOR) processes. In solar EOR, instead of burning natural gas to produce steam, Concentrating Solar Power (CSP) technology is used [26].
Other renewable energy applications for the fossil fuel upstream sector include the use of photovoltaics and wind turbines for electricity generation. These technologies can be used for energy intensive operations in oil and gas fields, such as powering compressors and pumps for transporting oil and gas through gathering pipelines to processing plants, or to generate the electricity and heat needed for on-site operations and living quarters. These activities, however, do not represent an important share of the total upstream emissions of fossil fuels, therefore they do not offer extensive emission reductions.
According to [27,28], using solar electricity in oilfields to cover facility’s electricity demand, could lead to a CI reduction up to 0.36 gCO2eq/MJ, with associated costs in the range of 1.91–4.13 USD/toe. The related abatement cost of one unit of CO2eq emissions lies within the range of 132–290 USD/tCO2eq.
Venting, flaring, and fugitive emissions (VFF) represent an important source of GHG emissions from oil production operations, and thus controlling the occurrence of these events could definitively be an effective solution for CI reduction in oilfields [29,30,31,32].
Masnadi et al. [33] investigated four theoretical GHG mitigation case studies to determine the potential reduction of the CI of crudes via targeted measures for hindering emission from venting, flaring, and fugitives. In the same work, it has been estimated a 10.3 gCO2eq/MJ global average upstream CI, based on 2015 data. Such estimated CI has been used to calculate the CI reduction in the four cases considered, which are described below:
  • Moderate Flaring reduction: a scenario where all global oilfields flaring-oil ratios (FORs) are limited to 65 scf gas flared/bbl oil (about 13.45 Nm3/toe) produced. Such considerations lead to achieving up to 15% reduction of global upstream CI (1.5 gCO2eq/MJ);
  • Extreme Flaring reduction: a scenario where all global oilfields flaring-oil-ratios (FORs) (The flare-oil ratio (FOR, scf/bbl) is defined as volume of gas flared (in scf) over volume of crude oil produced (bbl).) are limited to 20 scf gas flared/bbl oil (about 4.14 Nm3/toe) produced. Such considerations lead to achieving an up to 19% reduction of global upstream CI (1.9 gCO2eq/MJ);
  • Minimal fugitives and venting emissions: a case based on the performance of the Norwegian oil and gas industry, which constitute a proven example in effective management of gas flaring. Such considerations lead to achieving an up to 23% reduction of global upstream CI (2.3 gCO2eq/MJ);
  • Stringent flaring reduction and minimal fugitives and venting emissions: a case, which essentially constitutes the combination of Extreme Flaring reduction and Minimal fugitives and venting emissions cases. Such considerations lead to a potential CI reduction up to 43% of upstream emissions (4.3 gCO2eq/MJ).
The Table 2 presents the potential that is offered by the most promising technologies and measures applicable at the oilfield, which can result in a reduction of crude CI in such a way that it could be suitable for LCAF production. Table 2 also summarises the cost estimations made for the analysis.

3.2.2. Refinery CIRT

Regarding the CI mitigation potential at refinery level, three main technologies could be adopted to deliver sufficient CI reduction levels to make the produced kerosene-type jet fuel suitable as a LCAF. These are (i) Carbon capture and storage (CCS), (ii) Green Hydrogen production and use, and (iii) the use of Heat and power from Renewable Energy Sources at the refinery.
Reliable carbon capture and storage (CCS) is one path towards GHG emission reduction from refineries. Refineries are large CO2 emitters (typically several Mt/a), but this comes from a combination of a number of separate sources. The four largest sources of CO2 in a refinery are (i) process heaters, (ii) utilities, (iii) fluid catalytic cracker (FCC) and (iv) hydrogen production, though a given site may not have all of these units [34].
The effectiveness of the Carbon Capture technology depends on the concentration of CO2 in the flue gas: the higher the CO2 concentration, the higher the effectiveness. In refineries, typical CO2 relative emission contributions at key process can been estimated as follows [35]: CO2 emissions due to H2 production accounts for the 5–20% of the total refinery CO2 emissions, process heaters account for 30–60% of total CO2 (depending on the burnt fuel), utilities (electricity and steam generation) for 20–50%, and FCC for 20–50% of total CO2.
Studies on the potential application of CO2 capture technologies suggest that three concepts (post-combustion capture, pre-combustion capture, and oxyfiring) have been considered by refineries [36], with MEA-based absorption being the reference technology. Oxyfiring involves the use of pure oxygen instead of air in combustion, so that the only combustion products are CO2 and water, rather than CO2, N2, and water. In refineries, burners may be oxyfired, while the operation of fluid catalytic crackers on oxygen is under investigation. Post-combustion capture consists in removing CO2 from flue gas before it is released to atmosphere via the stack. Innovative post-combustion processes, including advanced solvents, solid sorbents, CO2 membranes, represent alternatives to MEA-based absorption. Such technologies can be tailored to the flue gas composition (i.e., by selecting the most appropriate solvent for each specific flue gas composition and compatible with contaminants). In pre-combustion capture, instead, CO2 is removed from fossil fuels before combustion is completed. Based on the relevant IPPC definition, “Pre-combustion capture involves reacting a fuel with oxygen or air and/or steam to give mainly a ‘synthesis gas (syngas)’ or ‘fuel gas’ composed mainly of carbon monoxide and hydrogen”. High temperature pre-combustion separation processes (SEWGS, SER, CLR and high temperature H2 and CO2 membranes) may all be applied.
A linear-programming (LP) model was applied by [27] to estimate the CI reduction potential stemming from CCS applicability. Results showed that CCS can lead to savings of 3.86 gCO2eq/MJ. The estimated CCS cost becomes 0.09 USD/gal crude inputs, while the abatement cost of CCS at the refinery is estimated at 171 USD/tCO2eq.
These figures are estimates for the CI potential of CCS at the refineries; however, it should be noted that the applicability of such technologies is not always feasible at each refinery. For instance, specific conditions need to be met to ensure effective and durable storage of CO2. An additional infrastructure may often be needed to connect the generation facility with the storage site, which may not be available on place. A dedicated CO2 infrastructure may significantly increase the total cost, a cost-component that is difficult to generalize as it depends on each specific case.
Instead of using Steam Methane Reforming (SMR), hydrogen can be produced through electrolysis or other RES-based solutions. If combined with electricity from low-carbon or fully renewable sources, this approaches offer the potential to reduce or eliminate the carbon footprint of hydrogen production [37].
Based on the analysis on the costs and lifecycle impacts of renewable hydrogen use in refineries presented in [38,39], as elaborated in the [27], the use of renewable electricity for electrolysis instead of SMR for use of H2 leads to a reduction of 0.54 gCO2eq/MJ.
Further assuming on the costs of natural gas and RES-electricity, the incremental cost for converting natural gas through SMR to renewable H2 is calculated at 4.45 USD/toe crude input, and the abatement cost of the use of renewable H2 in the refinery is estimated at 190 USD/tCO2eq. However, only a focused assessment of the use of renewable-powered electrolysis of each specific case can lead to conclusions on actual CI reduction potential and associated costs.
Renewable energy sources could be used to generate electricity to run compressors, pumps, circulators, and controllers, as well as to generate heat and steam for the refinery processes. Depending on the geographic location where the refinery is located, several RES can be applicable: Solar CSP, Solar PV, Wind. Available studies in literature investigated the technological and economic feasibility to determine the viability of RES technologies deployment to cover part of the energy requirements of the refinery. Feasibility has been assessed on the basis of the Levelized Cost Of Electricity (LCOE) of the concerned technologies [40].
Following the previous considerations, the carbon intensity reduction potential of specific CIRT that can contribute to the production of LCAF, as well as their related costs, are reported in Table 3. Overall, applicability of the aforementioned most promising technologies at the refinery can lead to a total of 4.4 gCO2eq/MJ reduction.

3.2.3. CIRT Deployment Scenarios

The timeframe and the extent to which the mentioned technologies could be implemented will be defined by various technical and market drivers and conditions. A literature analysis has been carried out to gather information about the expected CIRT deployment pathways. The definition of such trend is fundamental to develop an adequate set of scenarios for the estimation of LCAF technical potential. At oilfield level, no common vision emerged on this matter in the literature (e.g., [21,41]) also due to the fact that oilfields are widely distributed across the world and exhibit significant differences. Several of the major oil companies, together with other stakeholders, committed to reduce their environmental footprint and it can be expected that actions for CO2eq reduction in the extraction phase will be undertaken; anyway, defined roadmaps and timeframes for their deployment are still under discussion [21].
At the refineries level, a study carried out by CONCAWE [34] has identified two possible future scenarios for 2030 and 2050, exploring different deployment rates for CO2eq reduction technologies, the degree of achieved decarbonisation and the associated costs. It can be observed that, according to this report, the wide application of CCS technologies seems not likely to occur before 2050, while low carbon electricity and energy efficiency could be partially deployed starting from 2030 [42]. Another research [43], carried out by DNV, describes how Dutch refineries could reduce their CO2eq emissions in the period up to 2030 and up to 2050, considering technologies such as CCS, electrification, use of blue/green hydrogen and the supply of residual heat and renewable energy. The study projected a rather significant deployment of CCS technologies already by 2030.
Due to the complexity of LCAF production, related to the need of considering oilfield- and refinery-based CIRT and their evolution, as well as the specific low-CI crude types, three CIRT deployment pathway scenarios have been defined and applied to each of the two Baselines.
The LOW scenario presents the lowest level of ambition, with refinery CIRT deployed only at the end of the study period as well as minimal interventions on flaring, venting and fugitives. The MID scenario increases the level of ambition, with refinery-based CIRT partially deployed already on 2030, and fully deployed on 2050. Oilfield-based CIRT start deploying already on 2025, with some RES-based electrification and reach higher levels in 2050. Finally, the HIGH scenario considers an anticipated deployment of the refinery-based CIRT and reaching the maximum level of CI reduction on oilfields at 2050. Currently, in 2021, none of the considered CIRTs is applicable. Table 4 provides a summary of the scenarios considered.

3.3. Low CI Crudes Volumes and Additional Costs

In the previous sections, information was provided on both the CI reduction requirements needed to reach the LCAF threshold and the expected CI reduction levels of the analysed CIRT. From the results reported in Table 2 and Table 3, it emerges that CIRT deployment alone is not sufficient to reach the LCAF CI reduction threshold, set at 8.9 or 13 gCO2eq/MJ, depending on the considered fossil baseline (A -the global- and B -the EU- one respectively). Thus, there is the need to use specific sets of crudes with a CI lower than the considered European average of 10 gCO2eq/MJ, which could bring the required additional CI reduction. In order to define the set of low-CI crudes suitable for LCAF production, specific information was gathered, at a Member State level, about the EU crude feedstock used for refinery processes, by comparing different dataset from [44]. These low-CI crude streams correspond to a 21.1% share of total EU crude import and production.
Moreover, the price range that each country pays for these crude types was investigated and compared to the average price of all crudes, in order to assess eventual related additional costs. Such dataset on low-CI crudes is reported in Table A1 and Table A2 in Appendix A; both referring to 2019 values for the EU-27 MS.
Based on this analysis, the additional cost related to the use of crudes that meet the LCAF CI eligibility threshold, evaluated at EU level, is reported in Figure 3. The additional average cost has been obtained as the sum of the individual crude stream costs, weighted on the crude streams volumes of the individual MS. It can be observed how higher additional costs can be generally expected for lower CI EU crude mixes. Moreover, there are specific CI values for which the resulting additional cost peaks due to the fact that the contribution of expensive crudes becomes more prominent in that mix.
Finally, crude production and demand variation over the evaluated timeframe are expected to directly influence the availability of suitable crude types for LCAF production. Information gathered from a recent IEA Oil analysis [21], reports projections of a declining EU oil demand, with 2030 volumes reduced by 8.5% compared to 2019 levels, and 2050 volumes reduced by 22% compared to 2019 levels. Considering that jet fuel production directly follows the overall demand variation (i.e., demand-driven), and by applying the reduction rates of [21] to the 2019 crude streams volumes for each MS, the production levels forecasts for 2030 and 2050 are calculated and reported in Table A2. This directly influences the LCAF upstream potential, as is discussed later.
Jet fuel production volume forecasts have also been evaluated at EU level, over the considered timeframe, based on recent data considering already the implications of COVID-19 pandemic [21,45]. Jet fuel production can be considered as demand-driven, and its variation has an impact on refinery potential operations, as defined in methodology and upstream potential, through the variation of jet fuel share of refinery output. While global oil demand is reported as slightly increasing, EU jet fuel demand is expected to decline, with 2030 volumes being projected to be reduced by 2.2% compared to 2019 levels, and 2050 volumes to be reduced by 6% compared to 2019 levels.

3.4. Projected LCAF Technical Potential

This section reports the main quantitative findings obtained by applying the developed methodology on the gathered recent data. Results are related to the application of the two allocation methods for the refinery-based CI reductions to the jet fuel output stream, as described in Section 2.3, are discussed and presented below in separate sub-sections.
Regardless of both the CI reductions allocation methods used and the considered baseline scenario, the upstream CI reduction potential, which is related to the availability of crude streams suitable for the production of LCAF as defined in Section 2.2, is found to be by far the limiting factor for the exploitation of the LCAF production technical potential. It ranges between 0 Mtoe and 7.13 Mtoe, while the corresponding refinery CI reduction potential, also defined in Section 2.2, ranges between 32 Mtoe and 34 Mtoe.

3.4.1. LCAF Production Technical Potential Using the Free-Allocation Method

The free-allocation method allows allocating to a single product (e.g., kerosene) the CI reduction obtained through the deployment of appropriate technologies and measures. This maximises the impact that such technologies could bring to the LCAF production potential, as it allows the use of a wider range of crude types and, subsequentially, it enables the operation of more refineries in EU MS under an “LCAF-mode”. Table 5 shows that, under Baseline A, in the HIGH scenario of CIRT deployment, LCAF production could reach 14.2% of total EU-27 jet fuel refinery output (excluding the biofuel share), while in 2050, LCAF technical potential could even reach 22.2%. The more “EU-tailored” Baseline B results into lower projections, especially for 2030, where LCAF are expected to cover, when available, only 1.8% of the total jet fuel refinery output; the corresponding 2050 value of 16.2% is closer to the results obtained when considering the global Baseline A.
Figure 4 shows the EU-27 overall LCAF technical potential both in terms of Mtoe and of the projected % share against the total EU-27 jet fuel demand; it considers the three developed scenarios across the evaluated timeframe, until 2050. Each scenario includes a specific set of CIRT deployment, as defined in Table 4 and explained in Section 3.2.3. Indeed, projections for 2050 are affected by a high level of uncertainty, since most of the technologies are still not in commercially use, and the actual deployment time cannot be clearly defined, despite many commitments taken by several stakeholders.
It can be seen that Baseline B projected LCAF volumes are always lower than those related to Baseline A: this is due to the higher overall reference jet fuel CI defined in Baseline B, that actually restricts the upstream CI reduction potential in terms of limiting the palette of suitable crude types, and thus, LCAF volumes.
Only the HIGH CIRT deployment scenario projects non-zero LCAF volumes in 2030: this is mostly due to the anticipated deployment of CCS in the refineries that this scenario assumes. In the same scenario, a decreasing trend can be observed in the last period, approaching 2050, for Baseline A. This is related to the anticipated deployment of all identified CIRT, which constitute the main assumption of this scenario, leaving just a smaller increase in CI reduction given by the last available CIRT deployment. Such trend is not observed in Baseline B for the HIGH scenario, nor in any of the two baselines for the LOW and MID scenarios; in such cases, the deployment of the various CIRT is slower and mostly pushed toward the end of the period.
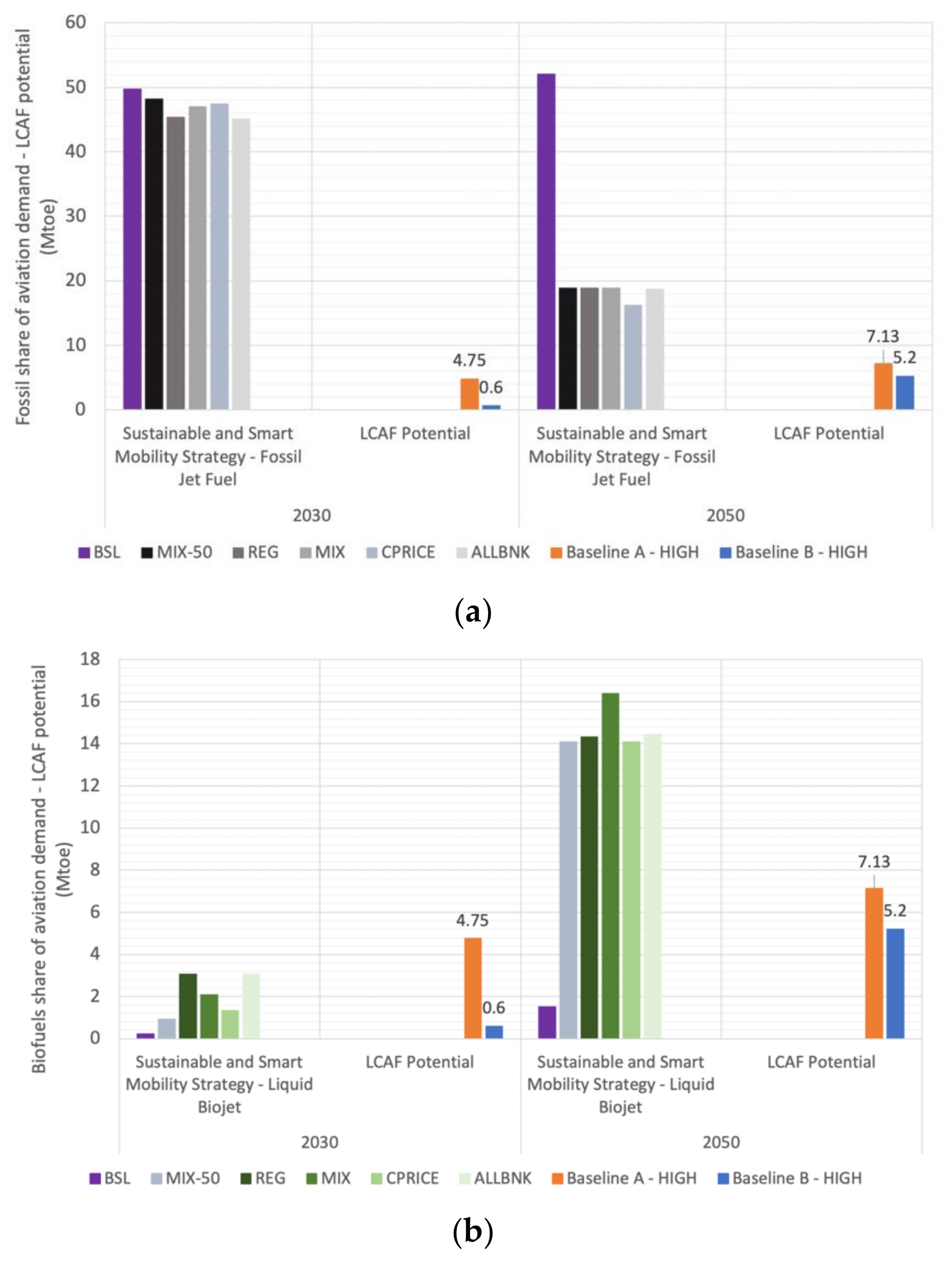
Figure 4 also shows the share of total EU energy demand for aviation (using the forecasted values of around 50 to 55 Mtoe reported in the Sustainable and Smart Mobility Strategy report [45] for 2030 and 2050 respectively) that could be covered by the projected LCAF technical potential. The possible LCAF contribution to the fuel mix proves to be important: in 2030 it ranges between 1% and 10% of the total energy demand for aviation, depending on the considered Baseline. In 2050, its projection ranges between 4% and 14% for Baseline A and between 1% and 10% for Baseline B, depending on the scenario.
Finally, the Figure 5 provides an overview on the number of EU MS that exhibit LCAF technical potential in the various scenarios. At least 10 countries do not show LCAF potential in any of the analysed scenarios, due to the fact that they do not have access to suitable, low CI crude streams. In fact, the number of countries showing LCAF potential grows as the potential of the deployed CIRT is increased, since then the use of higher CI crude streams that are still able to deliver eligible LCAF becomes feasible.

3.4.2. LCAF Technical Potential Using Output Volume-Based Method

Under output volume-based method allocation method, the CI reduction is shared among the various output streams, on a volume basis. Recognizing that the kerosene/jet fuel constitutes a relatively small share of the total refinery output, ranging between 1% and 15% at country level (with an average EU-27 value of 6%), such an allocation method greatly reduces the potential LCAF volumes. It should be pointed out that this method affects only the refinery phase and not the upstream oilfield phase, as already explained. In order to compensate for the negative effect that this allocation method has on the overall CI reduction, crude types with much lower CI have to be used; as shown in Figure 6, such crude types are not widely available, thus in almost all considered scenarios no LCAF technical potential could be identified. In fact, only in the Baseline A, HIGH scenario, year 2050, some LCAF potential is projected in 12 different countries, concurring to a total LCAF potential of 2.2 Mtoe. This results in a three-fold reduction compared to the same scenario developed according to the free-allocation method.

3.5. Projected LCAF Incremental Costs

The total additional costs needed in order to produce LCAF volumes are obtained as the sum of three distinct contributions: refinery CIRT and upstream CIRT deployment costs and the additional costs related to the use of low-CI crudes. The overall LCAF additional costs ranges between 44.4 USD/toe and 46.8 USD/toe, with the exception of the Baseline A-LOW-2050 scenario, that presents an additional cost of only 39 USD/toe, due to the limited set of CIRT deployed. Table 6 reports the LCAF costs for all the seven scenarios that feature LCAF potential, when using the free-allocation method. It is noted that, for each scenario, the same assumptions hold for both Baseline A (89 gCO2eq/MJ) and B (93.1 gCO2eq/MJ); then, each baseline directly affects the crudes that are able to deliver eligible LCAF.
The distribution between CIRT and crude types is almost constant across the scenarios, with a difference in the range of only 2–3%. More than two-third of the total additional costs are attributed to the refinery-level CIRT, and especially to CCS technology; crudes selection accounts for around 20% and upstream-level CIRT for the remaining 8%.
The abovementioned considerations refer to the free-allocation method. When the volume-based output method is used, some LCAF is present only in the HIGH scenario for Baseline A at 2050. In fact, as explained in Section 3.4.1, here the CI reduction due to the implementation of refinery-level CIRT is applied to LCAF proportionally to the share of jet fuel output in the refineries of the considered MS. Such proportionality does not only apply to CI reduction, but also to the CIRT deployment costs. Thus, the expected LCAF production costs become significantly lower in this case: the overall additional costs sum up to 13.32 USD/toe, 55.2% of which refers to the additional costs related to securing crudes able to deliver eligible LCAF, while upstream-level CIRT accounts for 27% and refinery level CIRT for the remaining 17.8% respectively. These projections frame a quite different picture than the free-allocation one, both on the overall additional costs, with a three-fold decrease, as well as the cost distribution, that sees the crude-related costs to account for the largest share, and the refinery technologies for the smallest one.
The additional LCAF costs have to be compared with fossil jet fuels prices, which hit the lowest point in the last decade during the COVID-19 pandemic and are gradually recovering, to around 510 USD/toe on the EU market on the first months of 2021 [36,46,47]. Projecting a further recovery to pre-pandemic conditions, a jet fuel price of around 600 USD/toe has been assumed to evaluate the impact of additional LCAF costs. Under such assumptions, the expected price increase remains below 10% when using the free-allocation method, ranging between 6.5% and 7.8% depending on the considered scenario. This result could be partly related to the low cost of the upstream-related CIRT, according to the existing literature [31]. If the output volume-based method is applied, the impact of additional LCAF costs reduces to around 2.2%, since in this case only a share of the CIRT deployment costs could be applied to the LCAF output stream.

3.6. Potential Impacts of LCAF Commercialization on European Alternative Fuel Sector

The estimated potential LCAF volumes have been related to the fuel demand for the transport sector. LCAF potential under the considered scenarios have been compared with the current and forecasted EU market demand for jet fuel, together with the expected Sustainable Aviation Fuels (SAF) volumes, since they are expected to play an important role in the future of aviation.
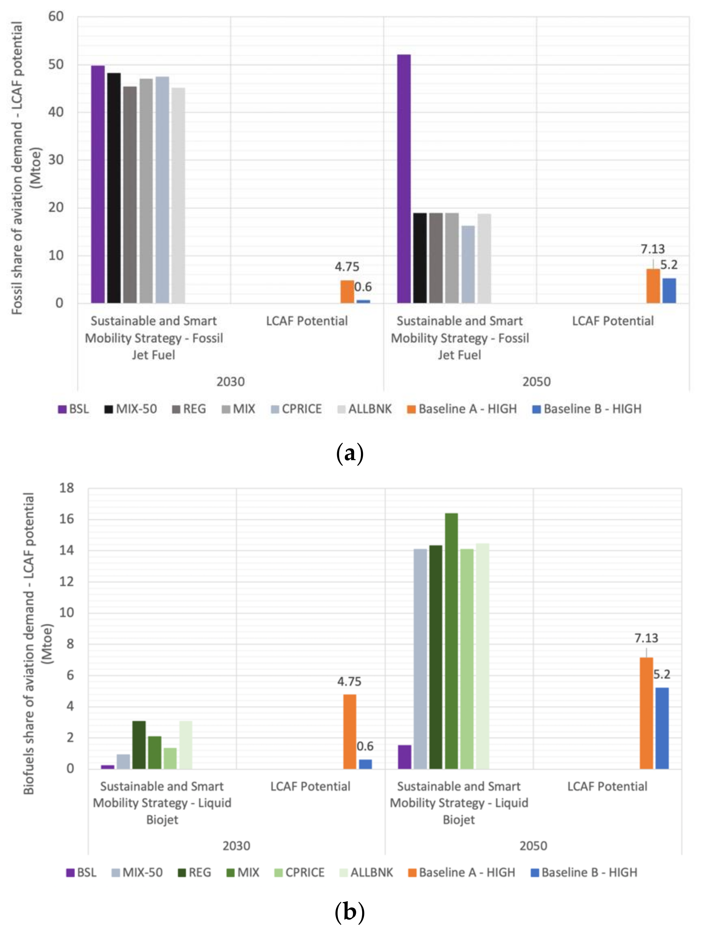
The projections of the Sustainable and Smart Mobility Strategy document [45] regarding aviation total energy demand and related fuel mix, to 2030 and 2050, are used; a brief summary of the assumptions underlying the various depicted scenarios is reported in Appendix B. That document projects an overall demand for aviation fuels remaining stable at around 50 Mtoe, as well as a fossil jet share remaining above 90% across all the policy scenarios considered therein at 2030; liquid aviation biofuels are reported to contribute between 1.9% and 6.2%, or, in absolute terms, 1 Mtoe and 3.1 Mtoe, as shown in Figure 7.
However, the above situation is expected to change at 2050, when fossil jet fuels are projected to account for only 30–35% of the total aviation fuels demand. E-fuels and biofuels such as the Sustainable Aviation Fuels (SAF) are expected to cover the remaining part, with similar shares of around 27% to 32%, corresponding to 14–18 Mtoe. Similar forecasts can be found in various other works, as the meta-analysis of published scenarios prepared in Chiaramonti et al. [48] has shown. The same source also reports some more sustainable scenarios that could be found in literature [49], where the expected bio-jet fuel demand is projected to reach up to 30.8 Mtoe in 2050.
From the previous considerations, it emerges that the expected trends for fossil kerosene production and LCAF diverge over time. However, under such a long-term perspective, and considering the expected overall progress of the fossil fuels industry in terms of its environmental performance, the baseline over which an LCAF will be defined in the period towards 2050 might need to be appropriately re-defined: it is reasonable to expect that some of the above-mentioned technologies and innovations would be widely implemented and therefore would largely define a downwards updated CI baseline for the fossil kerosene fuel.
Focusing on the near term, and according to [45] the LCAF volumes potential in 2030, as derived in this work, is projected to be one order of magnitude smaller than the corresponding fossil jet fuel demand, see Figure 8a. It is noted that the above holds true for all policy scenarios considered in [45]. A similar analysis has been carried out comparing the expected LCAF volumes and the reported liquid biofuels contribution to the total aviation energy demand, as shown in Figure 8b. While the 2030 LCAF potential volumes could be higher than the bio-jet expected volumes, in 2050 the contribution of SAF is expected to be significantly larger than the one from LCAF.

4. Conclusions

The present work provides an analysis of the impact of Low Carbon Aviation Fuel (LCAF) possible commercialization in the European aviation sector, with a time horizon to 2030, and further projections to 2050. A methodological framework to evaluate the EU technical potential for LCAF production has been elaborated on the basis of the most recent available data on relevant technologies costs, market prices, and aviation fuel volumes. Two different baselines for fossil-derived jet fuel carbon intensity (CI) have been considered to capture the actual European context as compared to the global one. The reference jet fuel CI determines the CI reduction that is required to be achieved for a jet fuel to be characterized as an eligible LCAF; this suggests that a reduction of 8.1 gCO2eq/MJ is needed, as compared to the ICAO fossil jet fuel CI value of 89 gCO2eq/MJ (Baseline A; based on the global average crude extraction CI), while a reduction of 13 gCO2eq/MJ is needed, as compared to the baseline of 93.1 gCO2eq/MJ estimated in this work (Baseline B.
A CI reduction can be achieved through the application of appropriate technologies (CIRT) either at the oilfields of crude extraction (e.g., use of renewable energy, avoidance of venting flaring and fugitives), or within the refineries boundaries (e.g., CCS and Green Hydrogen production and use). Three CIRT deployment scenarios of increasing level of CI reduction (LOW-MID-HIGH) have been modeled, as well as the evolution of the examined CIRTs in terms of commercial availability, up to 2050. In the LOW scenario, refinery CIRTs, as well as minimal interventions on flaring, venting and fugitives are deployed only at 2050. In the HIGH scenario the deployment of refinery-based CIRT is anticipated earlier, while the maximum level of CI reduction at oilfields is reached at 2050.
The main findings of the analysis can be summarized as follows:
  • The LCAF CI reduction threshold cannot be reached using crudes with an average crude extraction CI of 9–10 gCO2eq/MJ, which represent a good case for the average EU crude supply. This restricts the upstream CI reduction potential in terms of suitable crude types.
  • The share of total energy demand for aviation that could be covered by the projected LCAF production technical potential is between 1% and 10%, depending on the considered Baseline, at 2030, and is between 4% and 14% for Baseline A, depending on the scenario, and between 1% and 10% for Baseline B, at 2050.
  • The overall LCAF additional costs ranges between 39 USD/toe and 46.8 USD/toe, depending on the CIRT deployment scenario. More than two-third of the total additional costs are accounted to the refinery-level CIRT, and especially to CCS technology.
  • The identified LCAF potential volumes are not expected to saturate the aviation fuel market demand, in spite of the significant expected demand drop for fossil jet fuel in the 2030–2050 period; in 2030, the LCAF potential volumes are projected to be one order of magnitude smaller than the corresponding fossil jet fuel demand.
  • The 2030 LCAF potential volumes could be higher than the bio-jet expected volumes. However, the situation is expected to change again in 2050 where biofuels are expected to grow up to twice the level of the LCAF volumes.
  • The aforementioned results are based on a free-allocation method that assumes that both emission reduction stemming from the applicability of CIRT and the associated cost burdens, are allocated exclusively to the LCAF output and not to the entire refinery production. A simplified output volume-based approach, which could represent a more realistic case for refinery’s operation, shows that the LCAF technical potential exhibits a three-fold reduction as compared to the same scenario under the free-allocation method.
The additional production costs with respect to fossil kerosene are projected to range between 39 and 46.8 USD/toe and the analysis shows that such difference could hamper the diffusion of LCAF, also reducing their actual impact on aviation sector decarbonization.
Based on their definition, LCAF reduce GHG intensity (i.e., gCO2eq/MJ) of aviation fuels, and therefore, LCAF deployment could support the overall aviation sector decarbonisation efforts by substituting fossil jet fuel. However, the analysis of the present work concludes that the expected LCAF volumes to be produced (i.e., the LCAF production technical capacity) and come into the market in the 2030 and 2050 horizon, only constitute a minor part of the total aviation fuel volumes needed to cover the projected demand. Therefore, the contribution of LCAF to absolute quantities of GHG reduction (i.e., tonnes of CO2eq) is reduced, with the exception of the most ambitious scenarios considered for 2050.
Under such a long-term perspective, and considering the expected overall progress of the fossil fuels industry in terms of its environmental performance, the baseline over which an LCAF will be defined in the future period might need to be appropriately re-defined.

Author Contributions

Conceptualization, D.C.; methodology, D.C., G.T., and G.V.; formal analysis, G.T.; investigation, G.T., G.V., and L.T.; data curation, G.T. and L.T.; writing—original draft preparation, G.T., G.V., and L.T.; writing—review and editing, D.C., N.S., and M.P.; visualization, G.T.; supervision, D.C., N.S., and M.P. All authors have read and agreed to the published version of the manuscript.

Funding

This research was funded by the European Commission Joint Research Centre, Reference: JRC/IPR/2020/LVP/1622.

Institutional Review Board Statement

Not applicable.

Informed Consent Statement

Not applicable.

Data Availability Statement

Publicly available datasets were analyzed in this study. This data can be found in the reference duly reported in the material and method section. To this general statement, few CORSIA/FTG internal reports are excluded. The authors of the present study are part of the technical expert group of CORSIA/FTG and therefore have access to internal reports, the information of which has been considered herein; however these reports are going to be published on the ICAO/CORSIA portal once the relevant work is be finalized (https://www.icao.int/environmental-protection/CORSIA/Pages/default.aspx).

Acknowledgments

Authors would like to thank all interviewees and their institutions for their availability and interest in providing their perspective on the subject of LCAF technical potential, and in particular: Marta Yugo, CONCAWE, for the precious insights on kerosene production and the related carbon intensity within the of EU refineries framework; Chris Sims and his team, E4TECH, for the fruitful discussion on the possible “technical levers” for carbon intensity reduction across the LCAF pathway.

Conflicts of Interest

The authors declare no conflict of interest.

Disclaimer

The views expressed are purely those of the authors and may not, under any circumstances, be regarded as an official position of the European Commission.

Abbreviations

CCSCarbon Capture and Storage
CCUSCarbon Capture, Utilization and Storage
CICarbon Intensity
CIRTCarbon Intensity Reduction Technology
CLRChemical Looping Reforming
CORSIACarbon Offsetting and Reduction Scheme for International Aviation
CSPConcentrating Solar Power
EEAEuropean Economic Area
EOREnhanced Oil Recovery
ETSEmissions Trading System
EU European Union
FCCFluid Catalytic Cracker
FOR Flaring-Oil-Ratio
GHGGreenhouse Gases
ICAO International Civil Aviation Organization
IPPCIntergovernmental Panel on Climate Change
LCAFLow Carbon Aviation Fuels
LCOELevelized Cost Of Electricity
LPLinear Programming
MEAMonoethanolamine
MSMember State
NECPsNational Energy and Climate Plans
PVPhotovoltaics
REDRenewable Energy Directive
RESRenewable Energy Sources
SAFSustainable Aviation Fuels
SERSorption Enhanced Reforming
SEWGSSorption Enhanced Water Gas Shift
SMRSteam Methane Reforming
VFFVenting, Flaring, Fugitives
WTWWell-To-Wake

Appendix A

This section provides a set of more detailed data on both input materials used for the analyses and on the related outputs.
Table A1 provides information about those crudes, part of the EU crude mix and used as a feedstock for refinery processes, that feature a CI that is lower than the average value of Baseline B (i.e., lower than 10 gCO2eq/MJ). For each crude type fulfilling the requirement to have a CI lower than the average, the country of origin is indicated, together with the contribution of the specific crude type to the overall crude volume utilized by EU refineries.
Table A1 also reports on the price range that each country pays for each crude type that is being utilized in its refineries. Such information is delivered on the basis of the data provided by the “Registration of Crude Oil Imports and Deliveries in the European Union (EU28)–NTRA-AND EXTRA-EU)” document, prepared by the EC Directorate-General for Energy [44].
Table A1. EU imported or internally produced crude streams, with CI lower than the average, as defined in Baseline B.
Table A1. EU imported or internally produced crude streams, with CI lower than the average, as defined in Baseline B.
Crude Type NameCountry of OriginCrude C.I. [gCO2eq/MJ]% of Total EU CrudePrice Range [USD/toe]
Denmark CrudeDenmark3.22.10%460–517
FortiesUK3.43.50%356–520
EkofiskNorway3.72.00%435–535
GullfaksNorway41.00%442–474
StatfjordNorway4.51.30%394–500
OsebergNorway4.81.30%437–525
Other Norwegian CrudeNorway4.85.80%444–513
Azerbaijan CrudeAzerbaijan5.43.40%466–506
Arab LightSaudi Arabia5.55.10%451–521
Kuwait BlendKuwait60.60%431–444
Brazil CrudeBrazil6.50.80%401–480
Other UK CrudeUK6.73.40%434–519
SouedieSyria7.80.90%Data missing
MayaMexico8.20.90%393–466
Libyan Light (>40°)Libyan Arab Jamahiriya8.34.60%Data missing
Venezuelan Extra Heavy (<17°)Venezuela8.40.40%347–378
Brent BlendUK8.81.30%439–531
Egyptian Medium/Light (30–40°)Egypt8.90.40%448–503
Libyan Heavy (<30° API)Libyan Arab Jamahiriya8.90.30%Data missing
KirkukIraq92.00%Data missing
Other Angolan CrudeAngola9.21.30%467–492
Other Russian Fed. CrudeRussian Federation9.811.10%418–517
Table A2 reports on the volumes of crude feedstock suitable for LCAF production (in terms of CI) and on their related CI; this information is given as a range when more than one crude type is considered. Moreover, Error! Reference source not found. reports on the average crude price paid by the MS, obtained as a weighted average when more than one crude type is considered.
Table A2. Kerosene produced by EU MS and correlation with produced/imported crude types.
Table A2. Kerosene produced by EU MS and correlation with produced/imported crude types.
Country of UseProd. and Imp. Crude Volumes with Suitable CI (2019 values)
[Mtoe]
C.I. Range
[gCO2eq/MJ]
% of Total EU ImportsWeighted Average Crude Price [USD/toe]
Austria1.4553.2–5.40.26%469.29
Belgium8.5603.4–61.52%470.67
Bulgaria0.1695.40.03%475.74
Croatia1.0805.5–5.50.19%473.34
Denmark2.4534.8–6.70.44%453.90
Finland1.1743.2–4.80.21%453.22
France9.6283.7–6.71.71%472.77
Germany18.6673.2–6.73.32%468.38
Greece2.2235.4–5.50.40%465.93
Ireland0.6253.7–4.80.11%463.40
Italy17.8493.4–6.73.17%479.34
Lithuania0.0856.70.02%519.46
Netherlands23.2183.4–6.74.13%458.33
Poland4.8613.4–6.70.86%460.57
Portugal3.1533.7–6.50.56%471.92
Romania0.3745.40.03%506.64
Spain14.9143.4–6.72.65%454.90
Sweden8.3653.2–6.71.49%469.10
Table A3 provides the data reported as an EU-27 aggregate on Section 3.4.1 at country-level detail. In all the analysed scenario and for each considered Baseline Netherlands is the country which shows the higher LCAF deployment potential; when available, it ranges between 0.98 Mtoe and 3.14 Mtoe when considering Baseline A, and between 0.13 Mtoe and 1.76 Mtoe when considering Baseline B. The highest values are obtained at 2050, while at 2030 it is accounted for a potential ranging between 0.13 Mtoe and 1.22 Mtoe. France and Germany are the second more consistent countries, with potential ranging across 0.1 Mtoe and 0.9 Mtoe. Italy is also present, especially in the HIGH scenario, accounting for around 0.6 Mtoe of LCAF potential in both the considered Baselines.
Table A3. LCAF technical potential at Member State level (Mtoe), calculated using free-allocation method.
Table A3. LCAF technical potential at Member State level (Mtoe), calculated using free-allocation method.
Baseline ABaseline B
LOWMIDHIGHLOWMIDHIGH
203020502030205020302050203020502030205020302050
EU-27 TOTAL-2.21-4.564.757.13---0.580.605.20
Austria-0.04-0.130.140.13-----0.13
Belgium-0.14-0.390.410.51---0.040.040.41
Bulgaria---0.010.010.01-----0.01
Croatia---0.060.060.06-----0.06
Cyprus------------
Czechia------------
Denmark-0.03-0.030.030.03-----0.03
Estonia------------
Finland-0.06-0.060.060.06---0.010.010.06
France-0.23-0.620.640.70---0.090.090.63
Germany-0.51-0.670.700.92---0.190.200.70
Greece---0.200.210.20-----0.20
Hungary------------
Ireland------------
Italy-0.03-0.610.630.62---0.010.010.61
Latvia------------
Lithuania-----0.01------
Luxembourg------------
Malta------------
Netherlands-0.98-1.171.223.14---0.130.131.76
Poland-0.03-0.190.200.21---0.010.010.19
Portugal-0.03-0.220.230.31---0.030.030.22
Romania---0.020.020.02-----0.02
Slovakia------------
Slovenia------------
Spain-0.02-0.080.090.10-----0.08
Sweden-0.11-0.110.120.11---0.070.080.11
The Table A4 provides country-level detailed data for the LCAF technical potential calculated using the output volume-based allocation method; under such case, the Netherlands continues to be the country with the highest LCAF potential, with 0.98 Mtoe, followed by Germany with 0.51 Mtoe and France with 0.23 Mtoe.
Table A4. LCAF technical potential at Member State level (Mtoe). Calculated using output volume-based allocation method.
Table A4. LCAF technical potential at Member State level (Mtoe). Calculated using output volume-based allocation method.
Baseline ABaseline B
LOWMIDHIGHLOWMIDHIGH
203020502030205020302050203020502030205020302050
EU-27 TOTAL-----2.21------
Austria-----0.04------
Belgium-----0.14------
Bulgaria------------
Croatia------------
Cyprus------------
Czechia------------
Denmark-----0.03------
Estonia------------
Finland-----0.06------
France-----0.23------
Germany-----0.51------
Greece------------
Hungary------------
Ireland------------
Italy-----0.04------
Latvia------------
Lithuania------------
Luxembourg------------
Malta------------
Netherlands-----0.98------
Poland-----0.03------
Portugal-----0.03------
Romania------------
Slovakia------------
Slovenia------------
Spain-----0.02------
Sweden-----0.11------

Appendix B

This section summarizes in Table A5 the main assumptions used to define the five scenarios projected in the Sustainable and Smart Mobility Strategy [45], as reported in the commission staff working document. Specific focus is given to the aviation-related assumptions.
Table A5. Description of the assumptions underlying the Sustainable and Smart Mobility Strategy scenarios.
Table A5. Description of the assumptions underlying the Sustainable and Smart Mobility Strategy scenarios.
ScenarioBaselineREGMIX/MIX-SOCPRICEALLBNK
Brief descriptionAchieving the current 2030 EU targetsNo extension of ETS scope to buildings and road transport, but extension of ETS to intra-EU maritime navigationExtension of ETS scope to buildings, road transport and intra-EU maritime navigation but also keeping road transport and buildings in ESRExtension of ETS scope to buildings, road transport and intra-EU maritime navigation; buildings and road transport are taken out of the ESRMost ambitious scenario for GHG reductions
Achievement of EE 32.5% target; Achievement of 32% RES targetHigh ambition increase of EE and RES policies. There is no carbon price applied in buildings and road transportMedium/low ambition increase of EE and RES policies in non-ETS because RES and EE legislation is revised to contribute to higher GHG target. Additionally, a carbon price is also applied in buildings and road transportCarbon pricing as the principal instrument to reduce C02 emissions, no intensification ofEE or RES policies, some intensification of policies related to transport C02Applies the GHG target on a broader scope including all international aviation and international maritime navigation
Target scopeEU-27
AviationIntra + Extra EU aviation is includedIntra EU aviation and navigation includedIntra + Extra EU aviation and navigation included
Achieved reduction (including net LULUCF sink) Around 55%At least 50% and Around 55%Around 55%Around 55%
ASSUMED POLICIES
Carbon pricing (stylized, for international aviation and maritime navigation may represent also other instruments than EU ETS such as taxation or CORSIA for aviation)
Aviation-Intra EUYes
Aviation-Extra EUYesYes: mixture 50/50 carbon pricing (reflecting inclusion in the ETS, or taxation, or CORSIA) and carbon value (reflecting operational and technical measures); total equal to EU ETS carbon priceYes
EE in Transport (see details in the section below)As currently legislated+ proposed revision of the Eurovignette DirectiveHigh Ambition increaseMedium/low Ambition increaseLow Ambition increaseAs in MIX
RES policies overall ambitionStylised (32% RES)High Ambition increaseMedium/low Ambition increaseHigh Ambition increaseMedium Ambition increase
RES in transport and policies impacting transport fuel contentStylised (32% RES)High ambition increase of fuel policies (Renewable and low carbon fuels mandate, including ReFuelEU aviation and FuelEU maritime initiatives)Medium/low ambition increase of fuel policies (Renewable and low carbon fuels mandate, including ReFuelEU aviation and FuelEU maritime initiatives) Low ambition increase of fuel policies (reflecting ReFuelEU aviation and FuelEU maritime initiatives)Very high ambition increase of fuel policies (reflecting ReFuelEU aviation and FuelEU maritime initiatives)
Additional non-C02 policies (represented by carbon value)NoMedium Ambition IncreaseHigh Ambition increase

References

  1. European Commission (EC). Reducing Emissions from Aviation. Available online: https://ec.europa.eu/clima/policies/transport/aviation_en (accessed on 3 October 2021).
  2. IATA. 2020 Worst Year in History for Air Travel Demand. Available online: https://www.iata.org/en/pressroom/pr/2021-02-03-02/ (accessed on 3 October 2021).
  3. EUROCONTROL. EUROCONTROL Data Snapshot #2 on CO2 Emissions from Flights in 2020. 2021. Available online: https://www.eurocontrol.int/publication/eurocontrol-data-snapshot-co2-emissions-flights-2020 (accessed on 3 October 2021).
  4. European Commission (EC). 2030 Climate & Energy Framework. Available online: https://ec.europa.eu/clima/policies/strategies/2030_en (accessed on 3 October 2021).
  5. European Commission (EC). Clean Energy for all Europeans Package. Available online: https://ec.europa.eu/energy/topics/energy-strategy/clean-energy-all-europeans_en (accessed on 3 October 2021).
  6. European Commission (EC). 2050 Long-Term Strategy. Available online: https://ec.europa.eu/clima/policies/strategies/2050_en (accessed on 3 October 2021).
  7. European Commission (EC). A European Green Deal, Striving to be the First Climate-Neutral Continent. Available online: https://ec.europa.eu/info/strategy/priorities-2019-2024/european-green-deal_en (accessed on 3 October 2021).
  8. European Commission. European Green Deal: Commission proposes transformation of EU economy and society to meet climate ambitions. Eur. Comm. 2021. Available online: https://ec.europa.eu/commission/presscorner/detail/en/IP_21_3541 (accessed on 3 October 2021).
  9. European Commission. ReFuelEU Aviation—Sustainable Aviation Fuels. 2021, Volume 0205. Available online: https://ec.europa.eu/info/sites/default/files/refueleu_aviation_-_sustainable_aviation_fuels.pdf (accessed on 3 October 2021).
  10. European Commission (EC). National Energy and Climate Plans (NECPs). Available online: https://ec.europa.eu/energy/topics/energy-strategy/national-energy-climate-plans_en#final-necps (accessed on 3 October 2021).
  11. European Parliament Directive (EU) 2018/2001 of the European Parliament and of the Council on the promotion of the use of energy from renewable sources. Off. J. Eur. Union 2018, 2018, 82–209.
  12. European Commission. Proposal for a DIRECTIVE OF THE EUROPEAN PARLIAMENT AND OF THE COUNCIL Amending Directive (EU) 2018/2001 of the European Parliament and of the Council, Regulation (EU) 2018/1999 of the European Parliament and of the Council and Directive 98/70/EC of the E. 2021. Available online: https://eur-lex.europa.eu/legal-content/EN/TXT/?uri=CELEX:52021PC0557 (accessed on 3 October 2021).
  13. EUR-Lex. Greenhouse Gas Emission Allowance Trading System. Available online: https://eur-lex.europa.eu/legal-content/EN/TXT/?uri=LEGISSUM%3Al28012 (accessed on 3 October 2021).
  14. European Commission (EC). Free Allocation. Available online: https://ec.europa.eu/clima/policies/ets/allowances_en (accessed on 3 October 2021).
  15. European Union Regulation (EU). 2017/2392 of the European Parliament and of the Council of 13 December 2017 amending Directive 2003/87/EC to continue current limitations of scope for aviation activities and to prepare to implement a global market-based measure from 2021. Off. J. Eur. Union 2017, 60, 7–14. [Google Scholar]
  16. European Commission. Aviation and the EU ETS. Available online: https://ec.europa.eu/clima/policies/eu-climate-action/delivering/aviation_en (accessed on 3 October 2021).
  17. IATA. An Airline Handbook on CORSIA; 2018; pp. 1–54. Available online: https://www.iata.org/contentassets/fb745460050c48089597a3ef1b9fe7a8/corsia-handbook.pdf (accessed on 3 October 2021).
  18. Prussi, M.; Lee, U.; Wang, M.; Malina, R.; Valin, H.; Taheripour, F.; Velarde, C.; Staples, M.D.; Lonza, L.; Hileman, J.I. CORSIA: The first internationally adopted approach to calculate life-cycle GHG emissions for aviation fuels. Renew. Sustain. Energy Rev. 2021, 150, 111398. [Google Scholar] [CrossRef]
  19. Dahal, K.; Brynolf, S.; Xisto, C.; Hansson, J.; Grahn, M.; Grönstedt, T.; Lehtveer, M. Techno-economic review of alternative fuels and propulsion systems for the aviation sector. Renew. Sustain. Energy Rev. 2021, 151, 111564. [Google Scholar] [CrossRef]
  20. Gray, N.; McDonagh, S.; O’Shea, R.; Smyth, B.; Murphy, J.D. Decarbonising ships, planes and trucks: An analysis of suitable low-carbon fuels for the maritime, aviation and haulage sectors. Adv. Appl. Energy 2021, 1, 100008. [Google Scholar] [CrossRef]
  21. IEA. Oil 2021, Analysis and Forecast to 2026. 2021. Available online: https://www.iea.org/reports/oil-2021 (accessed on 3 October 2021).
  22. FTG technical report. CORSIA Lower Carbon, 2020; 1–7.
  23. Malins, C.; Galarza, S.; Baral, A.; Brandt, A.; El-Houjeiri, H.; Howorth, G.; Grabiel, T.; Kodjak, D. Upstream Emissions of Fossil Fuel Feedstocks for Transport Fuels Consumed in the European Union. Int. Counc. Clean Transp. 2014, 510. Available online: https://theicct.org/publications/upstream-emissions-fossil-fuel-feedstocks-consumed-european-union (accessed on 3 October 2021).
  24. Calzado, C.F.; De Vuyst, K.; De Meerleer, W.; Gardzinski, W.; Huesken, S.; Lopez, A.I.; Kawula, J.; Lambert, G.; Ludger, M.; Mirabella, W.; et al. Estimating the Marginal CO2 Footprints of Refinery Products, Brussels. 2017. Available online: https://www.concawe.eu/wp-content/uploads/2017/04/Rpt_17-1-1.pdf (accessed on 3 October 2021).
  25. Goumas, T.; Ntrenogianni, K.; Stefanou, I. Options for Reduction of Upstream Emissions from Oil Production: Significance, Implementation and Consequences. 2016. Technical report prepared by EXERGIA for Verband der Deutschen Biokraftstoffindustrie e. V. Available online: http://www.biokraftstoffverband.de/index.php/stellungnahmen.html?file=tl_files/download/Stellungnahmen_und_Studien/27-04-16%20study%20exergia%20UER-measures.pdf (accessed on 3 October 2021).
  26. Jenkins, P.; Elmnifi, M.; Younis, A.; Emhamed, A.; Amrayid, N.; Alshilmany, M.; Alsaker, M. Enhanced Oil Recovery by Using Solar Energy: Case Study. J. Power Energy Eng. 2019, 7, 57–67. [Google Scholar] [CrossRef] [Green Version]
  27. Prof, P.I.; Barrett, S. Project 001 ( F ) Alternative Jet Fuel Supply Chain Analysis Massachusetts Institute of Technology. Mass. Inst. Technol. Proj. 2021, 1, 22. [Google Scholar]
  28. FTG technical report. Potential LCAF technologies and practices. 2020.
  29. U.S. Department of Energy. Office of Oil and Natural Gas Natural Gas Flaring and Venting: State and Federal Regulatory Overview, Trends, and Impacts. U.S. Dep. Energy 2019, 72. Available online: https://www.energy.gov/sites/prod/files/2019/08/f65/NaturalGasFlaringandVentingReport.pdf (accessed on 3 October 2021).
  30. Pieprzyk, B.; Rojas Hilje, P. Flaring and Venting of Associated Gas Current Developments and Impacts of Marginal Oil. Assoc. Ger. Biofuel Ind. (VDB); Era- Energy Res. Archit. 2015. Available online: https://www.nvdb.org/getattachment/e904684f-189b-449d-acc0-5db1bf4dd3c7/20160101-Study-Flaring-and-venting-of-associated-p.aspx (accessed on 5 March 2021).
  31. ICCT (2014). Reduction of Upstream Greenhouse Gas Emissions from Flaring and Venting. Authors: Chris Malins, Stephanie Searle, Anil Baral, Sebastian Galarza, Haifeng Wang, Gary Howorth. Washington D.C.: The International Council on Clean Transportation. Available online: https://ec.europa.eu/clima/sites/clima/files/transport/fuel/docs/studies_ghg_venting_flaring_en.pdf (accessed on 3 October 2021).
  32. Blomen, E.; Gardiner, A. Methane from Fugitive Emissions, The Netherlands. 2009. Available online: https://www.osti.gov/etdeweb/biblio/21280083 (accessed on 3 October 2021).
  33. Masnadi, M.S.; El-Houjeiri, H.M.; Schunack, D.; Li, Y.; Englander, J.G.; Badahdah, A.; Monfort, J.C.; Anderson, J.E.; Wallington, T.J.; Bergerson, J.A.; et al. Global carbon intensity of crude oil production. Science 2018, 361, 851–853. [Google Scholar] [CrossRef] [PubMed]
  34. Gudde, N.; Larivé, J.-F.; Yugo, M. CO2 Reduction Technologies, Brussels. 2019. Available online: https://www.concawe.eu/wp-content/uploads/Rpt_19-8.pdf (accessed on 3 October 2021).
  35. Bains, P.; Psarras, P.; Wilcox, J. CO2 capture from the industry sector. Prog. Energy Combust. Sci. 2017, 63, 146–172. [Google Scholar] [CrossRef]
  36. Romano, M.C.; Anantharaman, R.; Arasto, A.; Ozcan, D.C.; Ahn, H.; Dijkstra, J.W.; Carbo, M.; Boavida, D. Application of advanced technologies for CO2 capture from industrial sources. Energy Procedia 2013, 37, 7176–7185. [Google Scholar] [CrossRef] [Green Version]
  37. Kakoulaki, G.; Kougias, I.; Taylor, N.; Dolci, F.; Moya, J.; Jäger-Waldau, A. Green hydrogen in Europe—A regional assessment: Substituting existing production with electrolysis powered by renewables. Energy Convers. Manag. 2021, 228, 113649. [Google Scholar] [CrossRef]
  38. Abdul-Manan, A.F.N.; Arfaj, A.; Babiker, H. Oil refining in a CO2 constrained world: Effects of carbon pricing on refineries globally. Energy 2017, 121, 264–275. [Google Scholar] [CrossRef]
  39. Sun, P.; Elgowainy, A. Updates of Hydrogen Production from SMR Process in GREET. Technical report. 2019, p. 7. Available online: https://greet.es.anl.gov/publication-smr_h2_2019 (accessed on 3 October 2021).
  40. Alnifro, M.; Taqvi, S.T.; Ahmad, M.S.; Bensaida, K.; Elkamel, A. Optimal Renewable Energy Integration into Refinery with CO2 Emissions Consideration: An Economic Feasibility Study. IOP Conf. Ser. Earth Environ. Sci. 2017, 83, 012018. [Google Scholar] [CrossRef] [Green Version]
  41. Smith, J.; Osborne-Saponja, A. The Race to Net Zero: Decarbonization Commitments in the Oil & Gas Industry. 2020. Available online: https://www.sustainalytics.com/esg-research/resource/investors-esg-blog/the-race-to-net-zero-decarbonization-commitments-in-the-oil-gas-industry (accessed on 3 October 2021).
  42. Belghazi, A.; Cohen, A.; De Decker, P.; Mazaira, D.; Pope, M.; Gotteberg, B.T.; Vagstad, B.; De Vuyst, K.; Beddoes, C.; Gudde, N.; et al. Low Carbon Pathways—CO2 efficiency in the EU Refining System. 2030/2050. 2018, 27–38. Available online: https://www.concawe.eu/wp-content/uploads/2018/04/Rpt_18-7.pdf (accessed on 3 October 2021). [CrossRef]
  43. Römgens, B.; Dams, M. CO2 Reductie Roadmap van de Nederlandse raffinaderijen. Technical Report. 2018, pp. 1–44. Available online: https://vnpi.nl/wp-content/uploads/2018/11/Eindrapport-VNPI-CO2-reductie-roadmap-Nederlandse-raffinaderijen.pdf (accessed on 3 October 2021).
  44. European Commission (EC). EU Crude Oil Imports and Supply Cost. 2020. Available online: https://ec.europa.eu/energy/data-analysis/eu-crude-oil-imports_en (accessed on 1 February 2021).
  45. European Commission (EC). Sustainable and Smart Mobility Strategy—Putting European Transport On Track for the Future. 2020. Available online: https://eur-lex.europa.eu/legal-content/IT/ALL/?uri=CELEX%3A52020SC0331 (accessed on 3 October 2021).
  46. IATA. Jet Fuel Price Monitor. Available online: https://www.iata.org/en/publications/economics/fuel-monitor/ (accessed on 1 March 2021).
  47. Index Mundi. Commodities Price—Jet Fuel. Available online: https://www.indexmundi.com/commodities/?commodity=jet-fuel&months=120 (accessed on 1 March 2021).
  48. Chiaramonti, D.; Talluri, G.; Scarlat, N.; Prussi, M. The challenge of forecasting the role of biofuel in EU transport decarbonisation at 2050: A meta-analysis review of published scenarios. Renew. Sustain. Energy Rev. 2021, 139, 110715. [Google Scholar] [CrossRef]
  49. Baker, P.; Chartier, O.; Haffner, R.; Heidecke, L.; van Hussen, K.; Meindert, L.; Oberč, B.P.; Ryszka, K.; Capros, P.; De Vita, A.; et al. Research and Innovation Perspective of the Mid- and Long-Term Potential for Advanced Biofuels in Europe; Publications Office of the European Union: Luxembourg, 2017; Available online: https://www.bioliq.de/downloads/FinalReport-2017-EN.pdf (accessed on 3 October 2021).
Figure 1. Aviation fuels classification on the basis of the CORSIA Eligible Fuels (adopted from the ICAO CORSIA website).
Figure 1. Aviation fuels classification on the basis of the CORSIA Eligible Fuels (adopted from the ICAO CORSIA website).
Energies 14 06430 g001
Figure 2. Flowchart describing the methodology adopted to evaluate the compliance of a specific scenario with LCAF CI threshold.
Figure 2. Flowchart describing the methodology adopted to evaluate the compliance of a specific scenario with LCAF CI threshold.
Energies 14 06430 g002
Figure 3. Average additional cost of low-CI crude selection compared to EU average crude cost.
Figure 3. Average additional cost of low-CI crude selection compared to EU average crude cost.
Energies 14 06430 g003
Figure 4. LCAF technical potential at EU-27 level and corresponding share of total energy demand for aviation. Calculated using free-allocation method.
Figure 4. LCAF technical potential at EU-27 level and corresponding share of total energy demand for aviation. Calculated using free-allocation method.
Energies 14 06430 g004
Figure 5. MS exhibiting LCAF potential. Calculated using free-allocation method.
Figure 5. MS exhibiting LCAF potential. Calculated using free-allocation method.
Energies 14 06430 g005
Figure 6. LCAF technical potential at EU-27 level and corresponding share of total energy demand for aviation. Calculated using output volume-based allocation method.
Figure 6. LCAF technical potential at EU-27 level and corresponding share of total energy demand for aviation. Calculated using output volume-based allocation method.
Energies 14 06430 g006
Figure 7. Aviation projected fuel mix for the policy scenarios considered in the Sustainable and Smart Mobility Strategy [45]. Figure has been elaborated by the authors based on data from [45].
Figure 7. Aviation projected fuel mix for the policy scenarios considered in the Sustainable and Smart Mobility Strategy [45]. Figure has been elaborated by the authors based on data from [45].
Energies 14 06430 g007
Figure 8. Comparison of EU-27 LCAF technical potential with (a) projected Fossil Jet Fuel demand, as determined in the present work, and (b) with projected Liquid Bio-Jet Fuel demand as reported in the Sustainable and Smart Mobility Strategy [45]. Figure has been elaborated by the authors based on the present results and data from [45].
Figure 8. Comparison of EU-27 LCAF technical potential with (a) projected Fossil Jet Fuel demand, as determined in the present work, and (b) with projected Liquid Bio-Jet Fuel demand as reported in the Sustainable and Smart Mobility Strategy [45]. Figure has been elaborated by the authors based on the present results and data from [45].
Energies 14 06430 g008
Table 1. Break-down of the EU CI baseline of fossil kerosene (Baseline B).
Table 1. Break-down of the EU CI baseline of fossil kerosene (Baseline B).
Life Cycle StepAverage CI [gCO2eq/MJ]Reported Range [gCO2eq/MJ]
Crude extraction103.2–23.3
Crude transportation2-
Crude refining to jet fuel6.15–15
Jet fuel transportation1-
Combustion74-
Total93.185.2–115.3
Table 2. Oilfield LCAF technologies and practices.
Table 2. Oilfield LCAF technologies and practices.
LCAF
Technologies and Practices
Reductions in CI
[gCO2eq/MJ]
Changes in Cost
[USD/toe]
Abatement Cost
[USD/tCO2eq]
Renewable energy use at oilfield (Solar electricity)0.35–0.361.91–4.13132–290
Moderate flaring reduction policy1.52.32 × 10−43.23
Extreme flaring reduction policy1.92.93 × 10−44.1
Minimal fugitives and venting emissions2.30.5715.91
Table 3. Refinery LCAF technologies and practices.
Table 3. Refinery LCAF technologies and practices.
LCAF TechnologiesReductions in CI
[gCO2eq/MJ]
Changes in Cost
[USD/toe]
Abatement Cost
[USD/tCO2eq]
CC in the refinery3.8628.60171
Hydrogen from renewable sources in the refinery0.544.45190
Table 4. Summary of the CIRT applied in the considered scenarios across the evaluated timeframe.
Table 4. Summary of the CIRT applied in the considered scenarios across the evaluated timeframe.
CIRT Deployment Scenario20302050
LOWUpstreamRES electricityRES electricity + minimal VFF interventions
RefineryN.A.CCS
MIDUpstreamRES electricity + minimal VFF interventionsRES electricity + intermediate VFF interventions
RefineryH2H2 + CCS
HIGHUpstreamRES electricity + intermediate VFF interventionsRES electricity + maximal VFF interventions
RefineryH2 + CCSH2 + CCS
Table 5. Projected share of LCAF in total EU-27 jet fuel refinery output for the analyzed scenarios.
Table 5. Projected share of LCAF in total EU-27 jet fuel refinery output for the analyzed scenarios.
YearBaseline ABaseline B
CIRT Deployment Scenario
LOWMIDHIGHLOWMIDHIGH
2030--14.2%--1.8%
20506.9%14.2%22.2%-1.8%16.2%
Table 6. LCAF projected costs for the seven scenarios exhibiting LCAF potential, when using the free-allocation method (USD/toe).
Table 6. LCAF projected costs for the seven scenarios exhibiting LCAF potential, when using the free-allocation method (USD/toe).
Year20302050
BaselineABAB
ScenarioHIGHHIGHLOWMIDHIGHMIDHIGH
Total LCAF Add. Costs46.845.239.046.845.345.244.4
CIRT-Refinery33.133.128.633.133.133.133.1
CIRT-Upstream3.63.63.03.63.63.63.6
Crude type (EU-27 Avg.)10.28.67.310.28.78.67.7
Publisher’s Note: MDPI stays neutral with regard to jurisdictional claims in published maps and institutional affiliations.

Share and Cite

MDPI and ACS Style

Chiaramonti, D.; Talluri, G.; Vourliotakis, G.; Testa, L.; Prussi, M.; Scarlat, N. Can Lower Carbon Aviation Fuels (LCAF) Really Complement Sustainable Aviation Fuel (SAF) towards EU Aviation Decarbonization? Energies 2021, 14, 6430. https://doi.org/10.3390/en14196430

AMA Style

Chiaramonti D, Talluri G, Vourliotakis G, Testa L, Prussi M, Scarlat N. Can Lower Carbon Aviation Fuels (LCAF) Really Complement Sustainable Aviation Fuel (SAF) towards EU Aviation Decarbonization? Energies. 2021; 14(19):6430. https://doi.org/10.3390/en14196430

Chicago/Turabian Style

Chiaramonti, David, Giacomo Talluri, George Vourliotakis, Lorenzo Testa, Matteo Prussi, and Nicolae Scarlat. 2021. "Can Lower Carbon Aviation Fuels (LCAF) Really Complement Sustainable Aviation Fuel (SAF) towards EU Aviation Decarbonization?" Energies 14, no. 19: 6430. https://doi.org/10.3390/en14196430

APA Style

Chiaramonti, D., Talluri, G., Vourliotakis, G., Testa, L., Prussi, M., & Scarlat, N. (2021). Can Lower Carbon Aviation Fuels (LCAF) Really Complement Sustainable Aviation Fuel (SAF) towards EU Aviation Decarbonization? Energies, 14(19), 6430. https://doi.org/10.3390/en14196430

Note that from the first issue of 2016, this journal uses article numbers instead of page numbers. See further details here.

Article Metrics

Back to TopTop