Effect of Divided Exhaust Period in a High Efficiency TGDI Engine
Abstract
:1. Introduction
2. Prototype Engine Development
2.1. Base Engine
2.2. Divided Exhaust Period System
2.3. Parameter Design of DEP Compoenents
2.3.1. GT Power Model
2.3.2. Turbocharger Matching
2.3.3. Exhaust Cam Profile
2.3.4. Design of Other Components
2.3.5. Detail Design and Prototyping
3. Engine Test
3.1. Test Methodology
3.2. Engine Test Result
3.2.1. Full Load Performance
3.2.2. Part Load Efficiency
3.2.3. Engine Characteristic Maps
3.2.4. Light-Off Time Improvement
4. Discussion on Technical Barriers
5. Conclusions
- GT power simulations were conducted to derive the optimized specifications of the turbocharger, exhaust cam profile, flow control valves, and a high low EGR system. By performing simulations while changing a major parameter of each element, specifications that can satisfy engine performance and fuel economy target could be determined. After the detailed design of DEP components with the optimized parameters, prototype DEP components were fabricated for experimental validation.
- Through engine dynamometer tests, the DEP engine was confirmed to achieve the target performance set for application in electrified vehicle powertrains. The engine reached a maximum thermal efficiency of 42.5% and exhibited a wide sweet spot area, having efficiencies over 40%, which is highly competitive when compared to conventional TGDI engines.
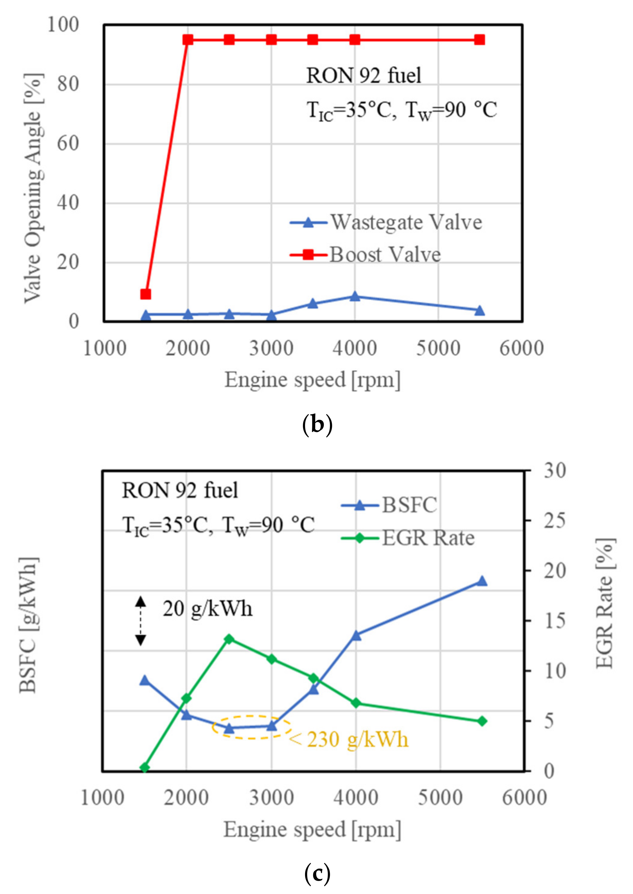
- The improvement in BSFC due to the DEP implementation was approximately 3% at the lowest BSFC point mainly due to reduced pumping loss. In the DEP engine, pumping loss did not increase under high EGR flow conditions, but rather decreased, resulting in positive work. This confirmed the synergy between highly diluted combustion and DEP technology.
- The feasibility of an improved catalyst-heating with DEP was confirmed through engine test under simulated cold-start conditions. Shutting off the exhaust flow in the blow-down port reduced the light-off time, as the exhaust gas bypassed the blow-down path with a higher heat capacity.
Author Contributions
Funding
Acknowledgments
Conflicts of Interest
References
- International Energy Agency. Energy Technology Perspectives 2020: Special Report on Clean Energy Innovation; OECD: Paris, France, 2020; Available online: https://www.oecd-ilibrary.org/energy/energy-technology-perspectives-2020_ab43a9a5-en (accessed on 20 September 2021). [CrossRef]
- Hyundai Motor Company. Road to Sustainability—2020 Sustainability Report. 2020. Available online: https://www.hyundai.com/content/hyundai/ww/data/csr/data/0000000048/attach/english/hmc-2020-sustainability-report-en-v2.pdf (accessed on 20 September 2021).
- Wukisiewitsch, W.; Danzer, C.; Semper, T. Systematical Development of Sustainable Powertrains for 2030 and Beyond. MTZ Worldw. 2020, 81, 30–37. [Google Scholar] [CrossRef]
- Kaita, K. Diversified Electrification—The Key for Toyota’s Challenge towards a Sustainable Society. In Proceedings of the 40th International Vienna Motor Symposium, Vienna, Austria, 15–17 May 2019. [Google Scholar]
- Uhlmann, T.; Alt, N.; Lückmann, D.; Balazs, A.; Zwar, P.; Müller, A.; Thewes, M.; Frese, J. xHEV Concept Achieving 2030 CO2 Targets. In Proceedings of the 42nd International Vienna Motor Symposium, Vienna, Austria, 29–30 April 2021. [Google Scholar]
- Tsurushima, T. Future Internal Combustion Engine Concept Dedicated to NISSAN e-POWER for Sustainable Mobility. In Proceedings of the 29th Aachen Colloquium Sustainable Mobility, Aachen, Germany, 5–7 October 2020. [Google Scholar]
- Kimura, S. Internal Combustion Engine Challenges for Carbon Neutral. J. Soc. Automot. Eng. Jpn. 2021, 75, 12–20. [Google Scholar]
- Reitz, R.; Ogawa, H.; Payri, R.; Fansler, T.; Kokjohn, S.; Moriyoshi, Y.; Agarwal, A.K.; Arcoumanis, D.; Assanis, D.; Bae, C.; et al. IJER editorial: The future of the internal combustion engine. Int. J. Engine Res. 2020, 21, 3–10. [Google Scholar] [CrossRef] [Green Version]
- Schoeffmann, W.; Howlett, M.; Fuerhapter, A.; Kapus, P. A Modular Gasoline Engine Family for Hybrid Powertrains: Balancing Cost and Efficiency Optimization. SAE Tech. Pap. 2020. [Google Scholar] [CrossRef]
- Leduc, P.; Dubar, B.; Ranini, A.; Monnier, G. Downsizing of gasoline engine: An efficient way to reduce CO2 emissions. Oil Gas Sci. Technol. Rev. IFP. 2003, 58, 115–127. [Google Scholar] [CrossRef]
- Han, D.; Han, S.; Han, B.; Kim, W. Development of 2.0 L Turbocharged DISI Engine for Downsizing Application. SAE Tech. Pap. 2007. [Google Scholar] [CrossRef]
- Szengel, R.; Middendorf, H.; Voeltz, S.; Laumann, A.; Tilchner, L.; Theobald, J.; Etzrodt, T.; Krebs, R. Der TSI-Motor mit 90 kW. MTZ Motortech. 2007, 68, 538–545. [Google Scholar] [CrossRef]
- Davis, S.C.; Boundy, R.G. Transportation Energy Data Book: Edition39. 2021. Available online: https://tedb.ornl.gov/wp-content/uploads/2021/02/TEDB_Ed_39.pdf (accessed on 20 September 2021).
- Oh, H.; Lee, J.; Woo, S.; Park, H. Effect of synergistic engine technologies for 48 V mild hybrid electric vehicles. Energy Convers. Manag. 2021, 244, 114515. [Google Scholar] [CrossRef]
- Ikeya, K.; Takazawa, M.; Yamada, T.; Park, S.; Tagishi, R. Thermal Efficiency Enhancement of a Gasoline Engine. SAE Int. J. Engines 2015, 8, 1579–1586. [Google Scholar] [CrossRef]
- Nakata, K.; Nogawa, S.; Takahashi, D.; Yoshihara, Y.; Kumagai, A.; Suzuki, T. Engine Technologies for Achieving 45% Thermal Efficiency of S.I. Engine. SAE Int. J. Engines 2016, 9, 179–192. [Google Scholar] [CrossRef]
- Lee, B.; Oh, H.; Han, S.; Woo, S. Development of High Efficiency Gasoline Engine with Thermal Efficiency over 42%. SAE Tech Pap. 2017, 1, 2229. [Google Scholar] [CrossRef]
- Möller, C.; Johansson, P.; Grandin, B.; Lindström, F. Divided Exhaust Period—A Gas Exchange System for Turbocharged SI Engines. SAE Tech. Pap. 2005. [Google Scholar] [CrossRef]
- Gundmalm, S.; Cronhjort, A.; Angstrom, H. Divided Exhaust Period: Effects of Changing the Relation between Intake, Blow- Down and Scavenging Valve Area. SAE Int. J. Engines 2013, 6, 739–750. [Google Scholar] [CrossRef]
- Bharath, A.; Reitz, R.; Rutland, C. Divided Exhaust Period Implementation in a Light-Duty Turbocharged Dual-Fuel RCCI Engine for Improved Fuel Economy and Aftertreatment Thermal Management: A Simulation Study. SAE Int. J. Engines 2018, 11, 1251–1272. [Google Scholar] [CrossRef]
- Roth, D.; Keller, P.; Sisson, J. Valve-Event Modulated Boost System. SAE Tech. Pap. 2010. [Google Scholar] [CrossRef]
- Roth, D.; Becker, M. Valve-Event Modulated Boost System: Fuel Consumption and Performance with Scavenge-Sourced EGR. SAE Int. J. Engines 2012, 5, 538–546. [Google Scholar] [CrossRef]
- Roth, D.; Chen, W.; Ciaravino, J. Divided-Exhaust Turbocharger System with Boost-Valve. SAE Tech. Pap. 2018. [Google Scholar] [CrossRef]
- Hu, B.; Akehurst, S.; Brace, C.; Copeland, C.; Turner, J. 1-D Simulation Study of Divided Exhaust Period for a Highly Downsized Turbocharged SI Engine—Scavenge Valve Optimization. SAE Int. J. Engines 2014, 7, 1443–1452. [Google Scholar] [CrossRef]
- Hu, B.; Brace, C.; Akehurst, S.; Copeland, C.; Turner, J. Simulation Study of Divided Exhaust Period for a Regulated Two-stage Downsized SI Engine. SAE Tech. Pap. 2014. [Google Scholar] [CrossRef]
- Gundmalm, S.; Cronhjort, A.; Angstrom, H. Divided Exhaust Period on Heavy-Duty Diesel Engines. In Proceedings of the THIESEL 2012 Conference on Thermo- and Fluid Dynamic Processes in Direct Injection Engines, Valencia, Spain, 11–14 September 2012. [Google Scholar]
- Kuhlbach, K.; Mehring, J.; Borrmann, D.; Friedfeldt, R. Cylinder head with integrated exhaust manifold for downsizing concepts. MTZ Worldw. 2009, 70, 12–17. [Google Scholar] [CrossRef]
- Son, J.; Lee, S.; Han, B.; Kim, W. A Correlation between Re-Defined Design Parameters and Flow Coefficients of SI Engine Intake Ports. SAE Trans. 2004, 113, 750–757. [Google Scholar] [CrossRef]



















| Items | Specifications |
|---|---|
| Displacement | Prototype 2.0L |
| Number of cylinders | I4 |
| Bore | 79 mm |
| Stroke | 102 mm |
| Compression ratio | 13:1 |
| Valvetrain | DOHC, dual hydraulic CVVT |
| Fuel injection | Lateral-mounted GDI |
| Turbocharger | Twin scroll, electronic wastegate actuated |
| Maximum Power | 200 PS |
| Maximum thermal efficiency | 41% |
| Ignition system | Twin spark plug with high energy coil (120 mJ) |
| Lubricant | SAE 5w30 |
| Intake cam timing | IVO: 10 CA ATDC (at 0.15 mm lift), IVC: 90 CA ABDC (at 0.05 mm lift) |
| Exhaust cam timing | EVO: 37 CA BBDC (at 0.15 mm lift), EVC: 1 CA ATDC (at 0.05 mm lift) |
| Items | Target |
|---|---|
| Maximum power | 200 PS |
| Rated rpm | 5500 rpm |
| Maximum BMEP | 18 bar |
| LET engine speed | 1500 rpm |
| Maximum thermal efficiency | 43% |
| Intake cam phasing | 0–70 CA advance |
| Exhaust cam phasing | 0–50 CA retard |
| Ignition timing | MBT or knock limit |
| EGR | 0–30% |
| Lambda | 0.85 - 1 |
| Injection timing (1st) | 320–250 CA BTDC |
| Injection pressure | 80–200 bar |
| Number of injection | up to 2 (double injection) |
| Engine load (BMEP) | 2–18 bar |
| Engine speed | 1000–5500 rpm |
| Coolant temperature | 90 °C |
| Number of test point | ~3000 |
Publisher’s Note: MDPI stays neutral with regard to jurisdictional claims in published maps and institutional affiliations. |
© 2021 by the authors. Licensee MDPI, Basel, Switzerland. This article is an open access article distributed under the terms and conditions of the Creative Commons Attribution (CC BY) license (https://creativecommons.org/licenses/by/4.0/).
Share and Cite
Oh, H.; Jung, D.; Son, J.; Woo, S.; Roth, D.; Song, J.; Kweon, Y.; Hwang, J. Effect of Divided Exhaust Period in a High Efficiency TGDI Engine. Energies 2021, 14, 6343. https://doi.org/10.3390/en14196343
Oh H, Jung D, Son J, Woo S, Roth D, Song J, Kweon Y, Hwang J. Effect of Divided Exhaust Period in a High Efficiency TGDI Engine. Energies. 2021; 14(19):6343. https://doi.org/10.3390/en14196343
Chicago/Turabian StyleOh, Heechang, Dongwon Jung, Jinwook Son, Soohyung Woo, David Roth, Jerry Song, Youngmyung Kweon, and Joonsik Hwang. 2021. "Effect of Divided Exhaust Period in a High Efficiency TGDI Engine" Energies 14, no. 19: 6343. https://doi.org/10.3390/en14196343
APA StyleOh, H., Jung, D., Son, J., Woo, S., Roth, D., Song, J., Kweon, Y., & Hwang, J. (2021). Effect of Divided Exhaust Period in a High Efficiency TGDI Engine. Energies, 14(19), 6343. https://doi.org/10.3390/en14196343
