Wake Width: Discussion of Several Methods How to Estimate It by Using Measured Experimental Data
Abstract
:1. Introduction and Motivation
2. Materials and Methods
3. Discussion of Wake Widths
3.1. Expanding Boundary Layer Approach
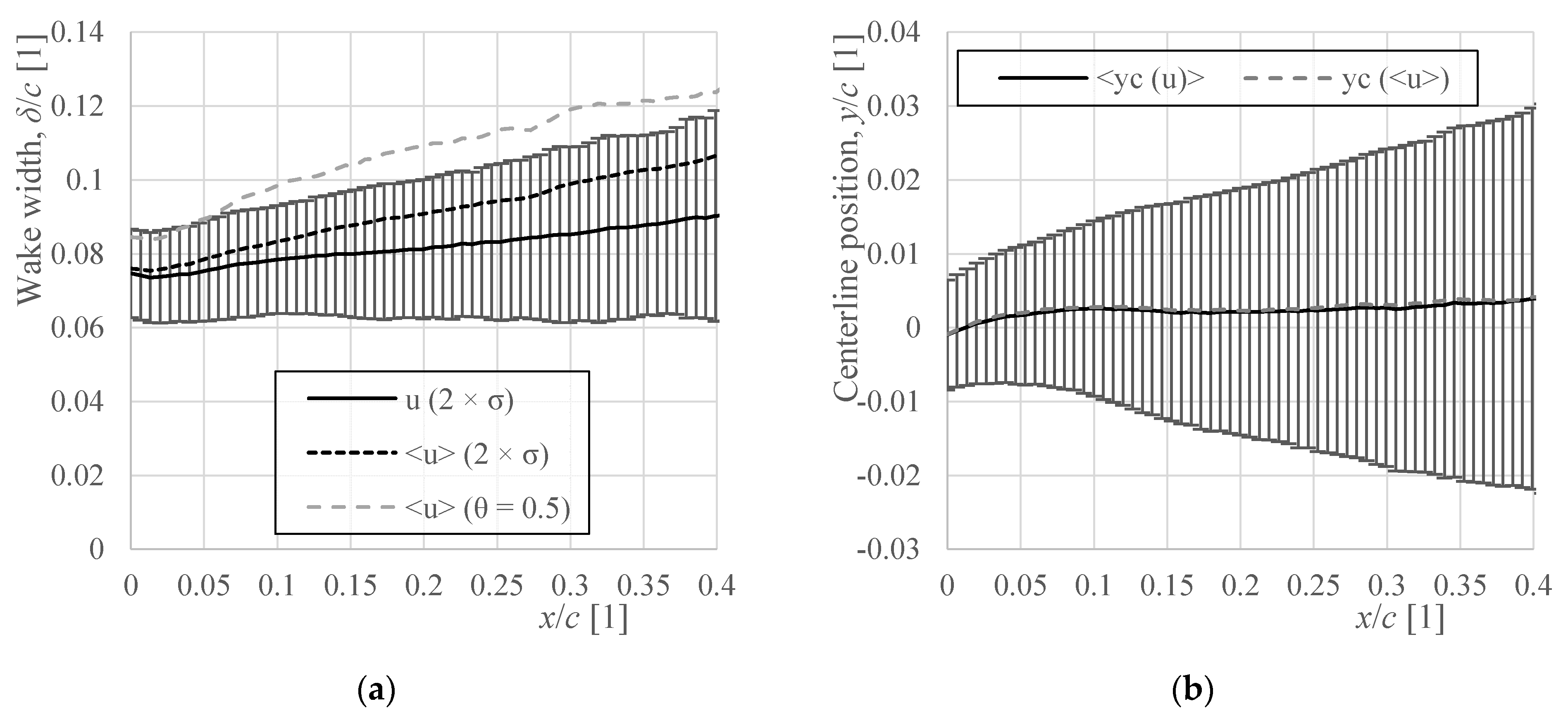
3.2. Threshold of Average Velocity
3.3. Gaussian Fit of Average Velocity Profile
3.4. Statistics of Instantaneous Wakes
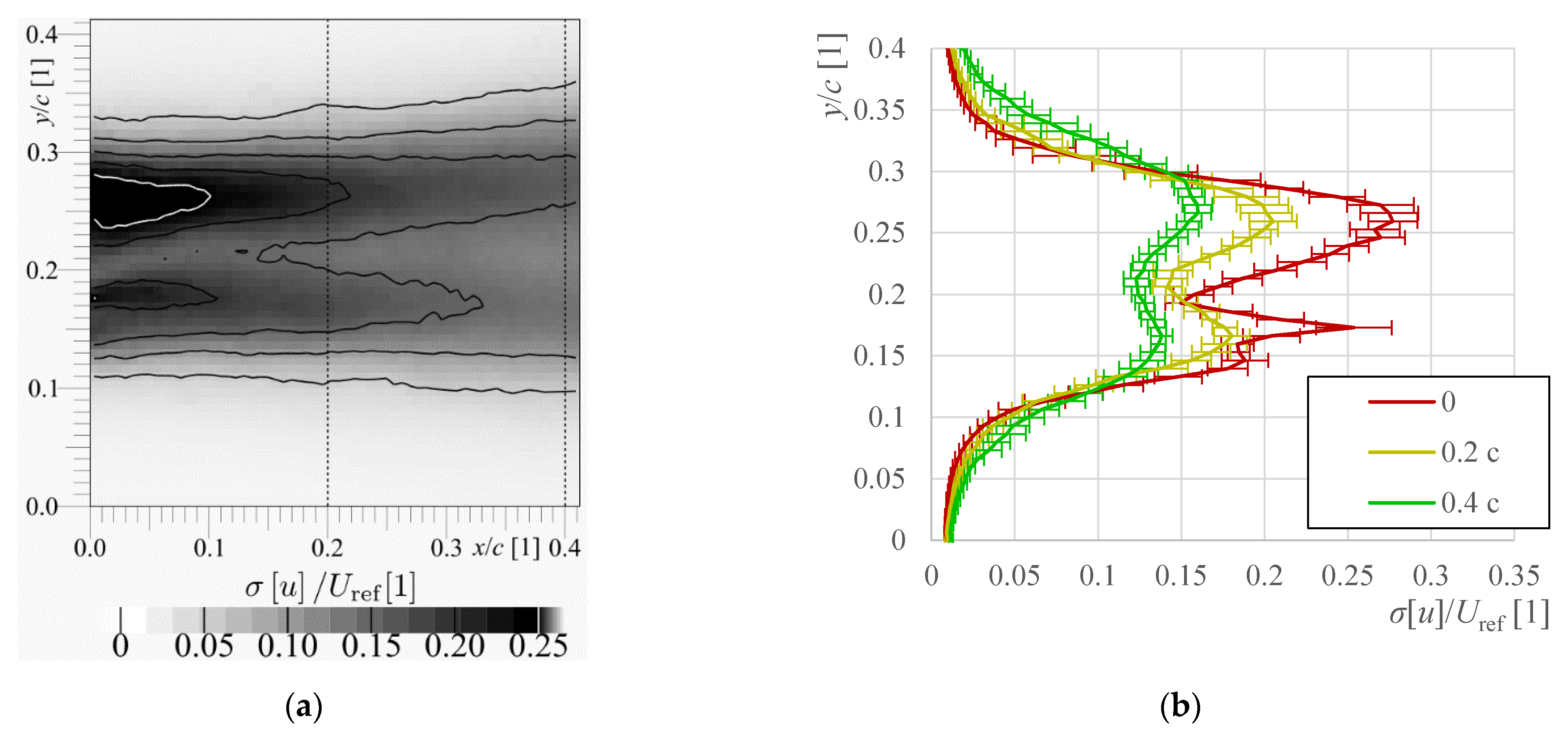
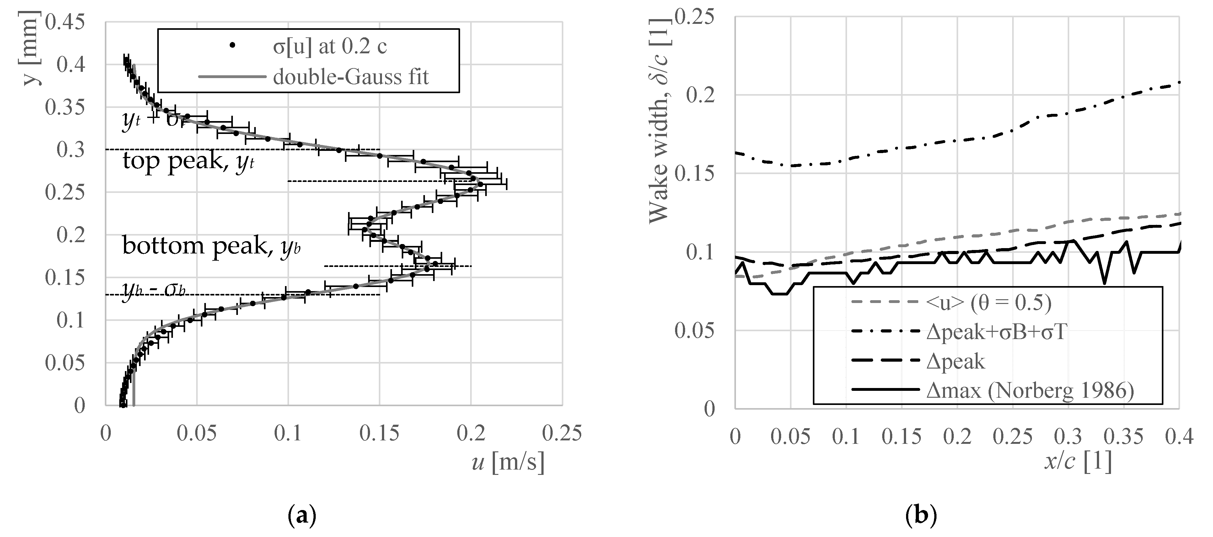
3.5. Standard Deviation of Stream-Wise Velocity
3.6. Flatness—The Fourth Statistical Moment
3.7. Skewness—The Third Statistical Moment
4. The Effect of Reynolds Number
5. Uncertainty
6. Conclusions
Future Work
Author Contributions
Funding
Institutional Review Board Statement
Informed Consent Statement
Data Availability Statement
Acknowledgments
Conflicts of Interest
References
- Williamson, C.H.K. Vortex Dynamics in the Cylinder Wake. Annu. Rev. Fluid Mech. 1996, 28, 477–539. [Google Scholar] [CrossRef]
- Wu, X.; Hu, W.; Huang, Q.; Chen, C.; Chen, Z.; Blaabjerg, F. Optimized Placement of Onshore Wind Farms Considering Topography. Energies 2019, 12, 2944. [Google Scholar] [CrossRef] [Green Version]
- Abdulrahman, M.; Wood, D. Wind Farm Layout Upgrade Optimization. Energies 2019, 12, 2465. [Google Scholar] [CrossRef] [Green Version]
- von Kármán, T. Über den Mechanismus den Widerstands, den ein bewegter Korper in einer Flussigkeit erfahrt. Göttinger Nachr. Math. Phys. 1911, Kl., 509–517. [Google Scholar]
- Strouhal, V. Über eine besondere Art der Tonerregung. Ann. Phys. 1878, 241, 216–251. [Google Scholar] [CrossRef] [Green Version]
- Williamson, C.H.K. Three-dimensional transition in the near wake of a cylinder. Bull. Am. Phys. Soc. 1987, 32, 2098. [Google Scholar]
- Williamson, C.H.K. Three-dimensional wake transition. J. Fluid Mech. 2006, 328, 345–407. [Google Scholar] [CrossRef]
- Roshko, A. On the wake and drag of bluff bodies. J. Aeronaut. Sci. 1955, 22, 124. [Google Scholar] [CrossRef]
- Roshko, A. Experiments on the flow past a circular cylinder at very high Reynolds number. J. Fluid Mech. 1961, 10, 345–356. [Google Scholar] [CrossRef] [Green Version]
- Roshko, A. Trsansition in incompressible near-wakes. Phys. Fluids 1967, 10, 181–183. [Google Scholar] [CrossRef] [Green Version]
- Sadeghi, H.; Mani, M. The unsteady turbulent wake measurements behind an oscillating airfoil. Turbul. Heat Mass Transf. 2009, 6, 9. [Google Scholar] [CrossRef]
- Davary, A. Wake structure and similar behavior of wake profiles downstream of a plunging airfoil. Chin. J. Aeronaut. 2017, 30. [Google Scholar] [CrossRef]
- Liu, X.; Jawahar, K.H.; Azarpeyvand, M.; Theunissen, R. Wake Development of Airfoils with Serrated Trailing Edges. In Proceedings of the 22nd AIAA/CEAS Aeroacoustics Conference, Lyon, France, 30 May–1 June 2016; p. 2817. [Google Scholar] [CrossRef] [Green Version]
- Terra, W.; Sciacchitano, A.; Scarano, F. Drag analysis from PIV data in speed sports. Procedia Engineer. 2016, 147, 50–55. [Google Scholar] [CrossRef] [Green Version]
- Hah, C.; Lakshminarayana, B. Measurement and prediction of mean velocity and turbulence structure in the near wake of an airfoil. J. Fluid Mech. 1982, 115, 251–282. [Google Scholar] [CrossRef]
- Kunze, C. Acoustic and Velocity Measurements in the Flow Past an Airfoil Trailing Edge. Master Thesis, University of Notre Dame, South Bend, IN, USA, 2004. Available online: https://curate.nd.edu/show/02870v85085 (accessed on 29 July 2021).
- Solís-Gallego, I.; Meana-Fernandez, A.; Oro, J.; Díaz, K.M.A.; Velarde-Suarez, S. Turbulence Structure around an Asymmetric High-Lift Airfoil for Different Incidence Angles. J. Appl. Fluid Mech. 2017, 10, 1013–1027. [Google Scholar] [CrossRef]
- Tropea, C.; Yarin, A.; Foss, J.F. Springer Handbook of Experimental Fluid Mechanics; Springer: Berlin/Heidelberg, Germany, 2006. [Google Scholar]
- Kopecký, V. Laserová Anemometrie v Mechanice Tekutin; Tribun: Liberec, Czech Republic, 2008; ISBN 978-80-7399-357-3. [Google Scholar]
- Inkinen, S.; Hakkarainen, M.; Albertsson, A.; Södergøard, A. From lactic acid to poly(lactic acid) (pla): Characterization and analysis of pla and its precursors. Biomacromolecules 2011, 12, 523–532. [Google Scholar] [CrossRef] [PubMed]
- Duda, D. How Manufacturing Inaccuracies Affect Vortices in an Airfoil Wake. Proc. Top. Probl. Fluid Mech. 2021, 48–55. [Google Scholar] [CrossRef]
- Bém, J.; Duda, D.; Kovařík, J.; Yanovych, V.; Uruba, V. Visualization of Secondary Flow in a Corner of a Channel. AIP Conf. Proc. 2019, 2189, 020003. [Google Scholar] [CrossRef]
- Duda, D.; Bém, J.; Yanovych, V.; Pavlíček, P.; Uruba, V. Secondary flow of second kind in a short channel observed by PIV. Eur J. Mech B-Fluid 2020, 79, 444–453. [Google Scholar] [CrossRef]
- Terra, W.; Sciacchitano, A.; Scarano, F. Aerodynamic drag of a transiting sphere by large-scale tomographic-PIV. Exp. Fluids 2017, 58, 83. [Google Scholar] [CrossRef] [Green Version]
- Ragni, D.; van Oudheusden, B.W.; Scarano, F. Non-intrusive aerodynamic loads analysis of an aircraft propeller blade. Exp. Fluids 2011, 51, 361–371. [Google Scholar] [CrossRef] [Green Version]
- Gunasekaran, S.; Altman, A. Far Wake and Its Relation to Aerodynamic Efficiency. Energies 2021, 14, 3641. [Google Scholar] [CrossRef]
- Barthelmie, R.J.; Frandsen, S.T.; Rethore, P.E.; Mechali, M.; Pryor, S.C.; Jensen, L.; Sørensen, P. Modelling and measurements of offshore wakes. In Proceedings of the Conference OWEMES, Civitavecchia, Italy, 20–22 April 2006; pp. 45–53. Available online: https://www.researchgate.net/publication/241698692 (accessed on 29 July 2021).
- Frisch, U. Turbulence: The Legacy of A. N. Kolmogorov; Cambridge University Press: Cambridge, UK, 1995; ISBN 0-521-45713-0. [Google Scholar]
- Blondel, F.; Cathelain, M.; Joulin, P.A.; Bozonnet, P. An adaptation of the super-Gaussian wake model for yawed wind turbines. J. Phys. Conf. Ser. 2020, 1618, 062031. [Google Scholar] [CrossRef]
- Eames, I.; Jonsson, C.; Johnson, P.B. The growth of a cylinder wake in turbulent flow. J. Turbul. 2011, 12, N39. [Google Scholar] [CrossRef]
- Norberg, C. Interaction between freestream turbulence and vortex shedding for a single tube in cross-flow. J. Wind. Eng. Ind. Aerodyn. 1986, 23, 501–514. [Google Scholar] [CrossRef]
- Cao, Y.; Tamura, T. Aerodynamic characteristics of a rounded-corner square cylinder in shear flow at subcritical and supercritical Reynolds numbers. J. Fluid Struct. 2018, 82, 473–491. [Google Scholar] [CrossRef]
- Skrbek, L.; Schmoranzer, D.; Midlik, Š.; Sreenivasan, K.R. Phenomenology of quantum turbulence in superfluid helium. Proc. Natl. Acad. Sci. USA 2021, 118, 16. [Google Scholar] [CrossRef]
- La Mantia, M.; Duda, D.; Rotter, M.; Skrbek, L. Lagrangian velocity distributions in thermal counterflow of superfluid 4He. In Proceedings of the EPJ Web of Conferences, Experimental Fluid Mechanics 2012, Hradec Králové, Czech Republic, 21–23 November 2012; p. 01005. [Google Scholar] [CrossRef]
- La Mantia, M.; Švančara, P.; Duda, D.; Skrbek, L. Small-scale universality of particle dynamics in quantum turbulence. Phys. Rev. B 2016, 94, 18. [Google Scholar] [CrossRef]
- Duda, D.; La Mantia, M.; Skrbek, L. Streaming flow due to a quartz tuning fork oscillating in normal and superfluid He 4. Phys. Rev. B 2017, 96, 024519. [Google Scholar] [CrossRef]
- Mariotti, A.; Buresti, G. Experimental investigation on the influence of boundary layer thickness on the base pressure and near-wake flow features of an axisymmetric blunt-based body. Exp. Fluids 2013, 54, 1612. [Google Scholar] [CrossRef]
- Du, W.; Zhao, Y.; He, Y.; Liu, Y. Design, analysis and test of a model turbine blade for a wave basin test of floating wind turbines. Renew. Ener. 2016, 97, 414–421. [Google Scholar] [CrossRef]
- Sciacchitano, A. Uncertainty quantification in particle image velocimetry. Meas. Sci. Technol. 2019, 30, 092001. [Google Scholar] [CrossRef] [Green Version]
- Sciacchitano, A.; Wieneke, B. PIV Uncertainty propagation. Meas. Sci. Technol. 2016, 27, 084006. [Google Scholar] [CrossRef] [Green Version]
- Schottler, J.; Bartl, J.; Mühle, F.; Sætran, L.; Peinke, J.; Hölling, M. Wind tunnel experiments on wind turbine wakes in yaw: Redefining the wake width. Wind. Energ. Sci. 2018, 3, 257–273. [Google Scholar] [CrossRef] [Green Version]
















| Method | Advantages | Disadvantages |
|---|---|---|
| Threshold |
|
|
| Fitting |
|
|
| Moment of u | Advantages | Disadvantages |
|---|---|---|
| Average |
|
|
| Standard deviation |
|
|
| Skewness |
|
|
| Flatness |
|
|
Publisher’s Note: MDPI stays neutral with regard to jurisdictional claims in published maps and institutional affiliations. |
© 2021 by the authors. Licensee MDPI, Basel, Switzerland. This article is an open access article distributed under the terms and conditions of the Creative Commons Attribution (CC BY) license (https://creativecommons.org/licenses/by/4.0/).
Share and Cite
Duda, D.; Uruba, V.; Yanovych, V. Wake Width: Discussion of Several Methods How to Estimate It by Using Measured Experimental Data. Energies 2021, 14, 4712. https://doi.org/10.3390/en14154712
Duda D, Uruba V, Yanovych V. Wake Width: Discussion of Several Methods How to Estimate It by Using Measured Experimental Data. Energies. 2021; 14(15):4712. https://doi.org/10.3390/en14154712
Chicago/Turabian StyleDuda, Daniel, Václav Uruba, and Vitalii Yanovych. 2021. "Wake Width: Discussion of Several Methods How to Estimate It by Using Measured Experimental Data" Energies 14, no. 15: 4712. https://doi.org/10.3390/en14154712
APA StyleDuda, D., Uruba, V., & Yanovych, V. (2021). Wake Width: Discussion of Several Methods How to Estimate It by Using Measured Experimental Data. Energies, 14(15), 4712. https://doi.org/10.3390/en14154712
