Discovery of Dynamic Two-Phase Flow in Porous Media Using Two-Dimensional Multiphase Lattice Boltzmann Simulation
Abstract
:1. Introduction
2. Numerical Methodology
2.1. Shan–Chen Multiphase Multicomponent Lattice Boltzmann Method
2.2. Data Post-Processing Method
- (1)
- The density on each node needs to be transferred into pressure using an approximated LBM Equation of State (EOS) [68]:where the Pσ is the continuum-scale pressure of each component, which should be separately calculated for each fluid in their domain. Equation (13) is a phase-mixing EOS that is applicable for less fluid compressibility in multicomponent SC-LBM.
- (2)
- The density field is used to calculate the pressure of each fluid phase (Equation (14)), capillary pressure (Equation (15)), the density of each fluid phase in the domain (Equation (16)) and saturation (Equation (17)), such as:where A is the volume occupied by each fluid phase, and since it is a 2D SC-LBM simulation, so the volume A is an area; ρi is the local density on each node i, and Pi is the corresponding local pressure, which can be calculated using Equation (13); Pc is the capillary pressure for the assumed 2D REV-sized domain; σ can be switched between w and n to account for the wetting and non-wetting phase; and S is the saturation. The density threshold for separating the main component of each fluid phase from the interface is defined by half of the initial density, according to previous simulating experiences [52,57,69].
- (3)
- The velocity field is used to calculate the pore velocity and Darcy flux (u and q in Equation (18)):where n is the porosity, and the effective permeability Keff in relative permeability Kr is given by Equation (19), where gravity is neglected in REV domain for simplification:where the pressure gradient () is the pressure difference between boundary pressure and internal fluid pressure over the specimen thickness and the saturated permeability Ksat requires single-phase LBM simulation.
- (4)
- Because the density and velocity nearby solid boundaries and particles are over the reasonable range (depending on initial density selection), it is necessary to filter them out of the effective calculating domain [70]. A marching algorithm, therefore, is written in MATLAB (MathWorks Inc., Natick, MA, USA) to eliminate the nodes around the solid phase in both density and velocity field.
- (5)
- The flow regimes can be analyzed using Capillary number Ca and Reynold number Re:where σL is the surface tension of liquid and deff is the effective hydraulic character length depending on the saturation history (S(t))—here, the geometric mean of the pore size distribution is adopted in this 2D simulation. For simplification and less computational expenses, gravity is neglected in this simulation. Hence, the Bond number is not involved in the analysis of capillary and viscous fingers.
- (6)
- Last but not least, due to the newly proposed Pc-S-anw and S-anw relationships [17], the specific interfacial area anw between the non-wetting and wetting fluid phase is defined using:and the detection of the wetting–non-wetting interface (Ai,nw) is achieved using the isosurface function in MATLAB [69].
3. Simulation Setup
3.1. Simulation Parameters for Fluid Properties
3.2. Two-Dimensional Porous Media and Hydraulic Boundary Conditions
4. Result and Discussion
4.1. Demonstration of SC-LBM Simulation for One-Step In/Outflow
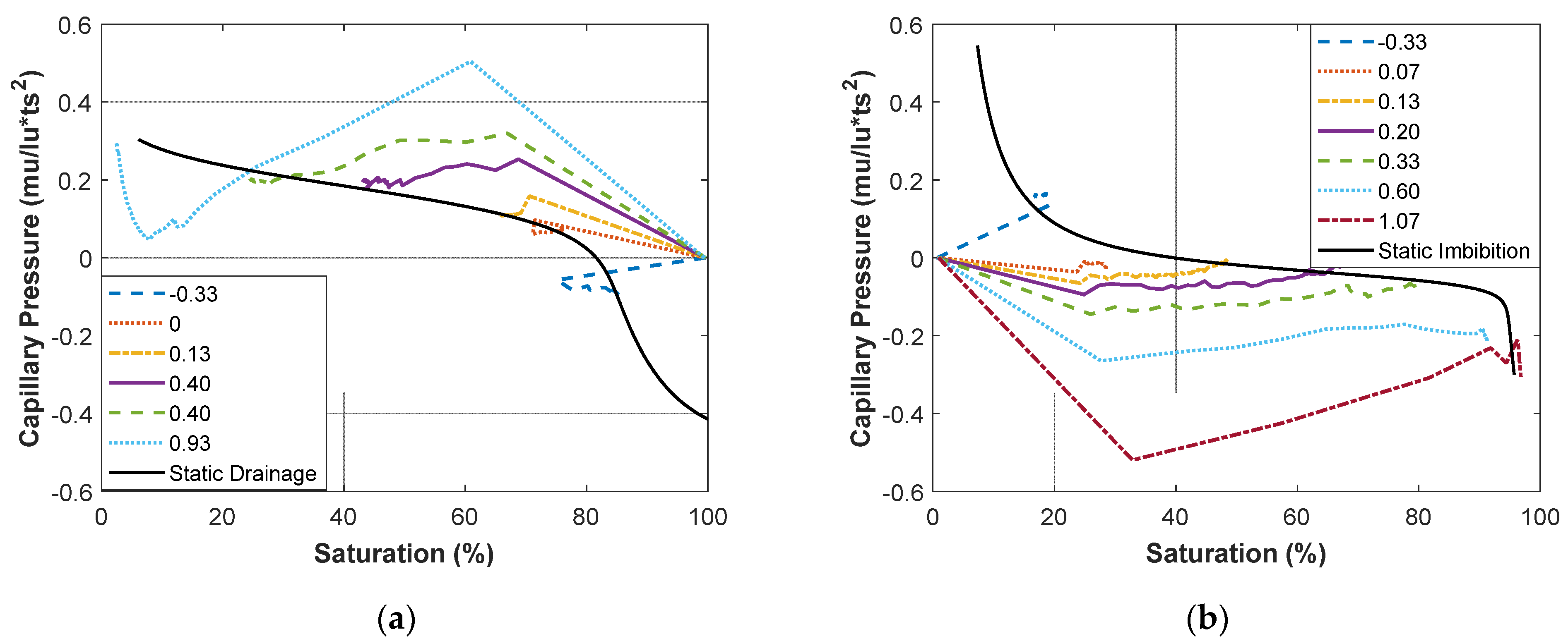
4.2. Comparison of Pc-S Curves between the Static and Transient Condition
4.3. Pc, S, anw Dynamics, and Flow Regimes for Non-Equilibrium Condition
4.4. Discussion on Relative Permeability for Transient Multiphase Flow
5. Conclusions
Author Contributions
Funding
Institutional Review Board Statement
Informed Consent Statement
Data Availability Statement
Acknowledgments
Conflicts of Interest
References
- Bear, J. Dynamics of Fluids in Porous Media; American Elsevier Publishing Company: New York, NY, USA, 1972. [Google Scholar]
- Buckley, S.E.; Leverett, M. Mechanism of fluid displacement in sands. Trans. AIME 1942, 146, 107–116. [Google Scholar] [CrossRef]
- Richards, L.A. Capillary conduction of liquids through porous mediums. J. Appl. Phys. 1931, 1, 318–333. [Google Scholar] [CrossRef]
- Fredlund, D.G.; Rahardjo, H. Soil Mechanics for Unsaturated Soils; John Wiley & Sons: Hoboken, NJ, USA, 1993. [Google Scholar]
- Lu, N.; Likos, W.J. Unsaturated Soil Mechanics; John Wiley & Sons: Hoboken, NJ, USA, 2004. [Google Scholar]
- Khalili, N.; Khabbaz, M. A unique relationship of chi for the determination of the shear strength of unsaturated soils. Geotechnique 1998, 48, 681–687. [Google Scholar] [CrossRef]
- Fredlund, D.G.; Morgenstern, N.R. Stress state variables for unsaturated soils. J. Geotech. Geoenviron. Eng. 1977, 103, 447–466. [Google Scholar]
- Vanapalli, S.; Fredlund, D. Comparison of different procedures to predict unsaturated soil shear strength. Geotech. Spec. Publ. 2000, 195–209. [Google Scholar] [CrossRef] [Green Version]
- Alonso, E.E.; Gens, A.; Josa, A. A constitutive model for partially saturated soils. Géotechnique 1990, 40, 405–430. [Google Scholar] [CrossRef] [Green Version]
- Topp, G.; Klute, A.; Peters, D. Comparison of water content-pressure head data obtained by equilibrium, steady-state, and unsteady-state methods. Soil Sci. Soc. Am. J. 1967, 31, 312–314. [Google Scholar] [CrossRef]
- Smiles, D.; Vachaud, G.; Vauclin, M. A test of the uniqueness of the soil moisture characteristic during transient, nonhysteretic flow of water in a rigid soil. Soil Sci. Soc. Am. J. 1971, 35, 534–539. [Google Scholar] [CrossRef]
- Stauffer, F. Time dependence of the relations between capillary pressure, water content and conductivity during drainage of porous media. In Proceedings of the IAHR Symposium on Scale Effects in Porous Media, Thessaloniki, Greece, 28 August–1 September 1978; pp. 3–35. [Google Scholar]
- Vachaud, G.; Vauclin, M.; Wakil, M. A study of the uniqueness of the soil moisture characteristic during desorption by vertical drainage. Soil Sci. Soc. Am. J. 1972, 36, 531–532. [Google Scholar] [CrossRef]
- Wana-Etyem, C. Static and Dynamic Water Content-Pressure Head Relations of Porous Media. Ph.D. Thesis, Colorado State University, Fort Collins, CO, USA, 1982. [Google Scholar]
- Hassanizadeh, S.M.; Celia, M.A.; Dahle, H.K. Dynamic effect in the capillary pressure–saturation relationship and its impacts on unsaturated flow. Vadose Zone J. 2002, 1, 38–57. [Google Scholar] [CrossRef]
- Barenblatt, G.I.; Vinnichenko, A. Non-equilibrium seepage of immiscible fluids. Adv. Mech. 1980, 3, 35–50. [Google Scholar]
- Hassanizadeh, S.M.; Gray, W.G. Toward an improved description of the physics of two-phase flow. Adv. Water Resour. 1993, 16, 53–67. [Google Scholar] [CrossRef]
- Kalaydjian, F. A macroscopic description of multiphase flow in porous media involving spacetime evolution of fluid/fluid interface. Transp. Porous Media 1987, 2, 537–552. [Google Scholar] [CrossRef]
- O’Carroll, D.M.; Phelan, T.J.; Abriola, L.M. Exploring dynamic effects in capillary pressure in multistep outflow experiments. Water Resour. Res. 2005, 41. [Google Scholar] [CrossRef] [Green Version]
- Sakaki, T.; O’Carroll, D.M.; Illangasekare, T.H. Direct quantification of dynamic effects in capillary pressure for drainage–wetting cycles. Vadose Zone J. 2010, 9, 424–437. [Google Scholar] [CrossRef]
- O’Carroll, D.M.; Mumford, K.G.; Abriola, L.M.; Gerhard, J.I. Influence of wettability variations on dynamic effects in capillary pressure. Water Resour. Res. 2010, 46. [Google Scholar] [CrossRef] [Green Version]
- Das, D.B.; Mirzaei, M. Dynamic effects in capillary pressure relationships for two-phase flow in porous media: Experiments and numerical analyses. AIChE J. 2012, 58, 3891–3903. [Google Scholar] [CrossRef] [Green Version]
- Abidoye, L.K.; Das, D.B. Scale dependent dynamic capillary pressure effect for two-phase flow in porous media. Adv. Water Resour. 2014, 74, 212–230. [Google Scholar] [CrossRef] [Green Version]
- Hanspal, N.S.; Das, D.B. Dynamic effects on capillary pressure–Saturation relationships for two-phase porous flow: Implications of temperature. AIChE J. 2012, 58, 1951–1965. [Google Scholar] [CrossRef] [Green Version]
- Mirzaei, M.; Das, D.B. Dynamic effects in capillary pressure–saturations relationships for two-phase flow in 3D porous media: Implications of micro-heterogeneities. Chem. Eng. Sci. 2007, 62, 1927–1947. [Google Scholar] [CrossRef] [Green Version]
- Mirzaei, M.; Das, D.B. Experimental investigation of hysteretic dynamic effect in capillary pressure–saturation relationship for two-phase flow in porous media. AIChE J. 2013, 59, 3958–3974. [Google Scholar] [CrossRef] [Green Version]
- Scheuermann, A.; Galindo-Torres, S.; Pedroso, D.; Williams, D.; Li, L. Dynamics of water movements with reversals in unsaturated soils. In Proceedings of the 6th International Conference on Unsaturated Soils, UNSAT 2014, Sydney, Australia, 2–4 July 2014; pp. 1053–1059. [Google Scholar]
- Chen, L. Hysteresis and Dynamic Effects in the Relationship between Capillary Pressure, Saturation, and Air-Water Interfacial Area in Porous Media. Ph.D. Thesis, The University of Oklahoma, Norman, OK, USA, 2006. [Google Scholar]
- Diamantopoulos, E.; Durner, W. Dynamic nonequilibrium of water flow in porous media: A review. Vadose Zone J. 2012, 11. [Google Scholar] [CrossRef]
- Yan, G.; Scheuermann, A.; Schlaeger, S.; Bore, T.; Bhuyan, H. Application of Spatial Time Domain Reflectometry for investigating moisture content dynamics in unsaturated sand. In Proceedings of the 11th International Conference on Electromagnetic Wave Interaction with Water and Moist Substances, Florence, Italy, 23–27 May 2016; p. 117. [Google Scholar]
- Yan, G.; Li, Z.; Bore, T.; Galindo-Torres, S.; Schlaeger, S.; Scheuermann, A.; Li, L. An Experimental Platform for Measuring Soil Water Characteristic Curve under Transient Flow Conditions. In Advances in Laboratory Testing and Modelling of Soils and Shales (ATMSS); Springer: Cham, Switzerland, 2017; pp. 231–238. [Google Scholar] [CrossRef]
- Yan, G.; Bore, T.; Galindo-Torres, S.; Scheuermann, A.; Li, Z.; Li, L. Primary imbibition curve measurement using large soil column test. In Proceedings of the 19th International Conference on Soil Mechanics and Geotechnical Engineering, Seoul, Korea, 17–22 September 2017; pp. 1261–1264. [Google Scholar]
- Yan, G.; Li, Z.; Bore, T.; Scheuermann, A.; Galindo-Torres, S.; Li, L. The measurement of primary drainage curve using hanging column and large soil column test. In Proceedings of the GeoOttawa 2017, Ottawa, ON, Canada, 1–4 October 2017. [Google Scholar]
- Yan, G.; Bore, T.; Galindo-Torres, S.; Scheuermann, A.; Li, L.; Schlaeger, S. An investigation of soil water retention behavior using large soil column test and multiphase Lattice Boltzmann simulation. In Proceedings of the 7th International Conference on Unsaturated Soils (UNSAT2018), Hong Kong, China, 3–5 August 2018. [Google Scholar]
- Yan, G.; Bore, T.; Li, Z.; Schlaeger, S.; Scheuermann, A.; Li, L. Application of Spatial Time Domain Reflectometry for Investigating Moisture Content Dynamics in Unsaturated Loamy Sand for Gravitational Drainage. Appl. Sci. 2021, 11, 2994. [Google Scholar] [CrossRef]
- Karadimitriou, N.; Joekar-Niasar, V.; Hassanizadeh, S.; Kleingeld, P.; Pyrak-Nolte, L. A novel deep reactive ion etched (DRIE) glass micro-model for two-phase flow experiments. Lab Chip 2012, 12, 3413–3418. [Google Scholar] [CrossRef] [Green Version]
- Karadimitriou, N.; Hassanizadeh, S. A review of micromodels and their use in two-phase flow studies. Vadose Zone J. 2012, 11. [Google Scholar] [CrossRef]
- Karadimitriou, N.; Musterd, M.; Kleingeld, P.; Kreutzer, M.; Hassanizadeh, S.; Joekar-Niasar, V. On the fabrication of PDMS micromodels by rapid prototyping, and their use in two-phase flow studies. Water Resour. Res. 2013, 49, 2056–2067. [Google Scholar] [CrossRef] [Green Version]
- Karadimitriou, N.; Hassanizadeh, S.; Joekar-Niasar, V.; Kleingeld, P. Micromodel study of two-phase flow under transient conditions: Quantifying effects of specific interfacial area. Water Resour. Res. 2014, 50, 8125–8140. [Google Scholar] [CrossRef] [Green Version]
- Ferrari, A.; Jimenez-Martinez, J.; Borgne, T.L.; Méheust, Y.; Lunati, I. Challenges in modeling unstable two-phase flow experiments in porous micromodels. Water Resour. Res. 2015, 51, 1381–1400. [Google Scholar] [CrossRef] [Green Version]
- Ferrari, A.; Lunati, I. Direct numerical simulations of interface dynamics to link capillary pressure and total surface energy. Adv. Water Resour. 2013, 57, 19–31. [Google Scholar] [CrossRef]
- Ferrari, A. Pore-Scale Modeling of Two-Phase Flow Instabilities in Porous Media. Ph.D. Thesis, University of Turin, Turin, Italy, 2014. [Google Scholar]
- Ferrari, A.; Lunati, I. Inertial effects during irreversible meniscus reconfiguration in angular pores. Adv. Water Resour. 2014, 74, 1–13. [Google Scholar] [CrossRef]
- Helland, J.O.; Friis, H.A.; Jettestuen, E.; Skjæveland, S.M. Footprints of spontaneous fluid redistribution on capillary pressure in porous rock. Geophys. Res. Lett. 2017, 44, 4933–4943. [Google Scholar] [CrossRef] [Green Version]
- Shan, X.; Chen, H. Lattice Boltzmann model for simulating flows with multiple phases and components. Phys. Rev. E 1993, 47, 1815. [Google Scholar] [CrossRef] [Green Version]
- Fan, L.; Fang, H.; Lin, Z. Simulation of contact line dynamics in a two-dimensional capillary tube by the lattice Boltzmann model. Phys. Rev. E 2001, 63, 051603. [Google Scholar] [CrossRef]
- Martys, N.S.; Douglas, J.F. Critical properties and phase separation in lattice Boltzmann fluid mixtures. Phys. Rev. E 2001, 63, 031205. [Google Scholar] [CrossRef] [Green Version]
- Tölke, J. Lattice Boltzmann simulations of binary fluid flow through porous media. Philos. Trans. R. Soc. Lond. A Math. Phys. Eng. Sci. 2002, 360, 535–545. [Google Scholar] [CrossRef]
- Raiskinmäki, P.; Shakib-Manesh, A.; Jäsberg, A.; Koponen, A.; Merikoski, J.; Timonen, J. Lattice-Boltzmann simulation of capillary rise dynamics. J. Stat. Phys. 2002, 107, 143–158. [Google Scholar] [CrossRef]
- Pan, C.; Hilpert, M.; Miller, C. Lattice-Boltzmann simulation of two-phase flow in porous media. Water Resour. Res. 2004, 40. [Google Scholar] [CrossRef]
- Sukop, M. , Thorne, D.T., Jr. Lattice Boltzmann Modeling; Springer: Berlin/Heidelberg, Germany, 2006. [Google Scholar]
- Porter, M.L.; Schaap, M.G.; Wildenschild, D. Lattice-Boltzmann simulations of the capillary pressure–saturation–interfacial area relationship for porous media. Adv. Water Resour. 2009, 32, 1632–1640. [Google Scholar] [CrossRef]
- Gray, W.G.; Hassanizadeh, S.M. Paradoxes and realities in unsaturated flow theory. Water Resour. Res. 1991, 27, 1847–1854. [Google Scholar] [CrossRef]
- Huang, H.; Thorne Jr, D.T.; Schaap, M.G.; Sukop, M.C. Proposed approximation for contact angles in Shan-and-Chen-type multicomponent multiphase lattice Boltzmann models. Phys. Rev. E 2007, 76, 066701. [Google Scholar] [CrossRef] [PubMed] [Green Version]
- Sukop, M.C.; Or, D. Lattice Boltzmann method for modeling liquid-vapor interface configurations in porous media. Water Resour. Res. 2004, 40. [Google Scholar] [CrossRef]
- Vogel, H.-J.; Tölke, J.; Schulz, V.; Krafczyk, M.; Roth, K. Comparison of a lattice-Boltzmann model, a full-morphology model, and a pore network model for determining capillary pressure–saturation relationships. Vadose Zone J. 2005, 4, 380–388. [Google Scholar] [CrossRef]
- Schaap, M.G.; Porter, M.L.; Christensen, B.S.; Wildenschild, D. Comparison of pressure-saturation characteristics derived from computed tomography and lattice Boltzmann simulations. Water Resour. Res. 2007, 43. [Google Scholar] [CrossRef] [Green Version]
- Li, Z.; Galindo-Torres, S.; Yan, G.; Scheuermann, A.; Li, L. Pore-scale simulations of simultaneous steady-state two-phase flow dynamics using a lattice Boltzmann model: Interfacial area, capillary pressure and relative permeability. Transp. Porous Media 2019, 129, 295–320. [Google Scholar] [CrossRef]
- Li, Z.; Galindo-Torres, S.; Yan, G.; Scheuermann, A.; Li, L. A lattice Boltzmann investigation of steady-state fluid distribution, capillary pressure and relative permeability of a porous medium: Effects of fluid and geometrical properties. Adv. Water Resour. 2018, 116, 153–166. [Google Scholar] [CrossRef]
- Galindo-Torres, S.; Scheuermann, A.; Li, L. Boundary effects on the Soil Water Characteristic Curves obtained from lattice Boltzmann simulations. Comput. Geotech. 2016, 71, 136–146. [Google Scholar] [CrossRef]
- Ahrenholz, B.; Tölke, J.; Lehmann, P.; Peters, A.; Kaestner, A.; Krafczyk, M.; Durner, W. Prediction of capillary hysteresis in a porous material using lattice-Boltzmann methods and comparison to experimental data and a morphological pore network model. Adv. Water Resour. 2008, 31, 1151–1173. [Google Scholar] [CrossRef]
- Landry, C.; Karpyn, Z.; Ayala, O. Relative permeability of homogenous-wet and mixed-wet porous media as determined by pore-scale lattice Boltzmann modeling. Water Resour. Res. 2014, 50, 3672–3689. [Google Scholar] [CrossRef] [Green Version]
- Porter, M.L.; Schaap, M.G.; Wildenschild, D. Capillary pressure–saturation curves: Towards simulating dynamic effects with the Lattice-Boltzmann method. In Proceedings of the XVI International Conference on Computational Methods in Water Resources (CMWR), Copenhagen, Denmark, 19–22 June 2006. [Google Scholar]
- Galindo-Torres, S.; Scheuermann, A.; Li, L.; Pedroso, D.; Williams, D. A Lattice Boltzmann model for studying transient effects during imbibition–drainage cycles in unsaturated soils. Comput. Phys. Commun. 2013, 184, 1086–1093. [Google Scholar] [CrossRef]
- Yan, G.; Li, Z.; Bore, T.; Galindo-Torres, S.; Scheuermann, A.; Li, L. Dynamic Effect in Capillary Pressure–Saturation relationship using Lattice Boltzmann Simulation. In Proceedings of the 2nd International Symposium on Asia Urban GeoEngineering, Changsha, China, 24–27 November 2017. [Google Scholar]
- Tang, M.; Zhan, H.; Ma, H.; Lu, S. Upscaling of dynamic capillary pressure of two-phase flow in sandstone. Water Resour. Res. 2019, 55, 426–443. [Google Scholar] [CrossRef] [Green Version]
- Cao, Y.; Tang, M.; Zhang, Q.; Tang, J.; Lu, S. Dynamic capillary pressure analysis of tight sandstone based on digital rock model. Capillarity 2020, 3, 28–35. [Google Scholar] [CrossRef]
- Sukop, M.C.; Thorne, D.T., Jr. Lattice Boltzmann Modeling—An Introduction for Geoscientists and Engineers; Springer: Berlin/Heidelberg, Germany, 2007. [Google Scholar]
- Galindo-Torres, S.; Scheuermann, A.; Pedroso, D.; Li, L. Effect of boundary conditions on measured water retention behavior within soils. In Proceedings of the AGU Fall Meeting Abstracts, San Francisco, CA, USA, 9–13 December 2013; p. 1516. [Google Scholar]
- Pooley, C.; Furtado, K. Eliminating spurious velocities in the free-energy lattice Boltzmann method. Phys. Rev. E 2008, 77, 046702. [Google Scholar] [CrossRef] [Green Version]
- Rabbani, A.; Jamshidi, S.; Salehi, S. An automated simple algorithm for realistic pore network extraction from micro-tomography Images. J. Pet. Sci. Eng. 2014, 123, 164–171. [Google Scholar] [CrossRef]
- Zou, Q.; He, X. On pressure and velocity boundary conditions for the lattice Boltzmann BGK model. Phys. Fluids 1997, 9, 1591–1598. [Google Scholar] [CrossRef] [Green Version]
- ASTM D6836-02. Test Methods for Determination of the Soil Water Characteristic Curve for Desorption Using a Hanging Column, Pressure Extractor, Chilled Mirror Hygrometer, and/or Centrifuge; American Society for Testing and Materials (ASTM) International: West Conshohocken, PA, USA, 2008. [Google Scholar]
- Sheng, P.; Zhou, M. Immiscible-fluid displacement: Contact-line dynamics and the velocity-dependent capillary pressure. Phys. Rev. A 1992, 45, 5694. [Google Scholar] [CrossRef] [Green Version]
- Hassanizadeh, S.M.; Gray, W.G. Thermodynamic basis of capillary pressure in porous media. Water Resour. Res. 1993, 29, 3389–3405. [Google Scholar] [CrossRef] [Green Version]
- Klute, A.; Gardner, W. Tensiometer Response Time. Soil Sci. 1962, 93, 204–207. [Google Scholar] [CrossRef]
- Fredlund, D.G.; Xing, A. Equations for the soil-water characteristic curve. Can. Geotech. J. 1994, 31, 521–532. [Google Scholar] [CrossRef]
- Zhou, A.-N.; Sheng, D.; Carter, J. Modelling the effect of initial density on soil-water characteristic curves. Geotechnique 2012, 62, 669–680. [Google Scholar] [CrossRef] [Green Version]
- Joekar-Niasar, V.; Hassanizadeh, S.M. Uniqueness of specific interfacial area–capillary pressure–saturation relationship under non-equilibrium conditions in two-phase porous media flow. Transp. Porous Media 2012, 94, 465–486. [Google Scholar] [CrossRef] [Green Version]
- Joekar Niasar, V.; Hassanizadeh, S.; Dahle, H. Non-equilibrium effects in capillarity and interfacial area in two-phase flow: Dynamic pore-network modelling. J. Fluid Mech. 2010, 655, 38–71. [Google Scholar] [CrossRef]
- Darcy, H.; Bazin, H. Recherches Hydrauliques: Recherches Expérimentales Sur L’éCoulement de L’Eau Dans Les Canaux Découverts. 1Ère Partie; Dunod: Paris, France, 1865; Volume 1. [Google Scholar]
- ASTM D7664-10. Standard Test Methods for Measurement of Hydraulic Conductivity of Unsaturated Soils; American Society for Testing and Materials (ASTM) International: West Conshohocken, PA, USA, 2010. [Google Scholar]
- Brooks, R.H. Hydraulic Properties of Porous Media; Colorado State University: Fort Collins, CO, USA, 1964. [Google Scholar]
- Mualem, Y. A new model for predicting the hydraulic conductivity of unsaturated porous media. Water Resour. Res. 1976, 12, 513–522. [Google Scholar] [CrossRef] [Green Version]
- Fredlund, D.; Xing, A.; Huang, S. Predicting the permeability function for unsaturated soils using the soil-water characteristic curve. Can. Geotech. J. 1994, 31, 533–546. [Google Scholar] [CrossRef]












| Parameters | Values |
|---|---|
| Initial ρw, ρn | 2.0 mu/lu3 |
| νw,vn | 0.16 lu2/ts |
| Density variation | 2.15 ± 0.08 mu/lu3 |
| Δx | 1.0 lu |
| Δt | 1.0 ts |
| Gr | 1.0 |
| Gs,w, Gs,n | −0.5, 0.5 |
| Total time steps Tf | 5.0 × 105 ts |
| Setup Settings | Value |
|---|---|
| Domain size (lx = ly) | 500 lu |
| Grain number | 95 |
| Porosity (n) | 44 ± 1% |
| Mean grain size | 39 ± 12 lu |
| Mean pore size | 140 ± 64 lu |
| Geometric mean pore size | 135 lu |
| Ksat | 3.44 ± 0.13 lu2 |
Publisher’s Note: MDPI stays neutral with regard to jurisdictional claims in published maps and institutional affiliations. |
© 2021 by the authors. Licensee MDPI, Basel, Switzerland. This article is an open access article distributed under the terms and conditions of the Creative Commons Attribution (CC BY) license (https://creativecommons.org/licenses/by/4.0/).
Share and Cite
Yan, G.; Li, Z.; Bore, T.; Torres, S.A.G.; Scheuermann, A.; Li, L. Discovery of Dynamic Two-Phase Flow in Porous Media Using Two-Dimensional Multiphase Lattice Boltzmann Simulation. Energies 2021, 14, 4044. https://doi.org/10.3390/en14134044
Yan G, Li Z, Bore T, Torres SAG, Scheuermann A, Li L. Discovery of Dynamic Two-Phase Flow in Porous Media Using Two-Dimensional Multiphase Lattice Boltzmann Simulation. Energies. 2021; 14(13):4044. https://doi.org/10.3390/en14134044
Chicago/Turabian StyleYan, Guanxi, Zi Li, Thierry Bore, Sergio Andres Galindo Torres, Alexander Scheuermann, and Ling Li. 2021. "Discovery of Dynamic Two-Phase Flow in Porous Media Using Two-Dimensional Multiphase Lattice Boltzmann Simulation" Energies 14, no. 13: 4044. https://doi.org/10.3390/en14134044
APA StyleYan, G., Li, Z., Bore, T., Torres, S. A. G., Scheuermann, A., & Li, L. (2021). Discovery of Dynamic Two-Phase Flow in Porous Media Using Two-Dimensional Multiphase Lattice Boltzmann Simulation. Energies, 14(13), 4044. https://doi.org/10.3390/en14134044

