Improved Virtual Inertia of PMSG-Based Wind Turbines Based on Multi-Objective Model-Predictive Control
Abstract
1. Introduction
- (a)
- Combining the characteristics of the exponential function, the idea of the dynamic weight coefficient is introduced into the cost function. Because of the high degree of accuracy in short-term wind speed forecasting, the dynamic weight coefficient strategy [20] based on wind speed forecasting is proposed, which dynamically adjusts the weight coefficient of the PMSG-based WTs at different wind speeds and different working conditions, changes the output quality requirements for different quantities, and better coordinates the quality requirements for different output quantities under different conditions.
- (b)
- To provide sufficient virtual inertia with a fast response speed, a current–frequency multi-objective optimization control is proposed for PMSG-based WTs based on FCS-MPC. According to the frequency response model, the frequency difference is predicted. The improved control of the system frequency is realized compared to the conventional method. The support capability to the system frequency can be adjusted by changing the weight coefficient of the objectives.
- (c)
- Since the electromagnetic torque is proportional to the shaft torque, the shaft torque can be suppressed by suppressing the electromagnetic torque in the frequency response. The main control method in this paper is to include torque control in the optimization control objective. After increasing the virtual inertia, the shaft oscillation caused by the excessive shaft torque is suppressed by the current–frequency–torque multi-objective MPC and reduces the instantaneous virtual power shock in the virtual inertia compensation link by adjusting the weight coefficient. In addition, the loss on the shaft can be reduced, which is conducive to the stability of the WECS.
2. Mathematical Model Of PMSG
2.1. Model Of PMSG
2.2. Model of Drive Chain
3. Conventional Virtual Inertia Control for PMSG-Based WTs
3.1. Control Structure
3.2. PD Virtual Inertia Control and Problems
4. Optimization Control Strategy Design and Analysis
4.1. FCS-MPC Control and Optimization
4.2. The Structure of Multi-Objective MPC
4.3. The Modes of Multi-Objective MPC
4.3.1. Current–Frequency Double-Objective MPC
4.3.2. Current–Frequency–Torque Multi-Objective MPC
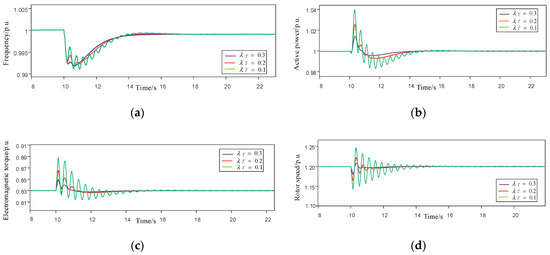
4.4. The Weight Coefficient Selection
4.4.1. Standardization Weight Coefficient Calculation
4.4.2. Weight Coefficient Adaptive Strategy Based on Wind Speed Forecasting
4.5. Steps for Multi-Objective MPC
5. Simulation
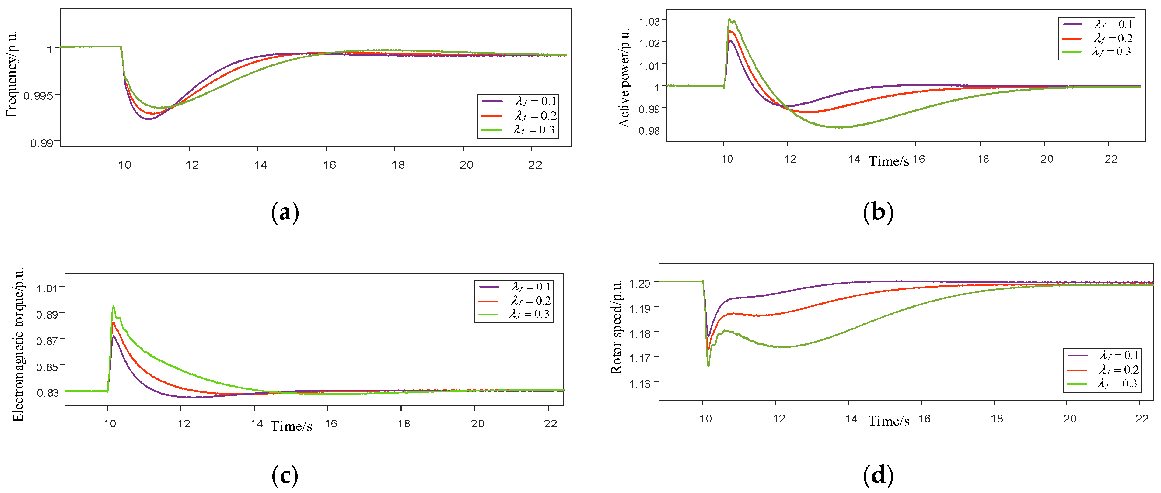
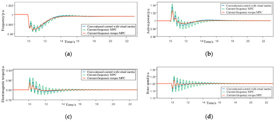
5.1. Simulation for Double-Objective MPC under Disturbance
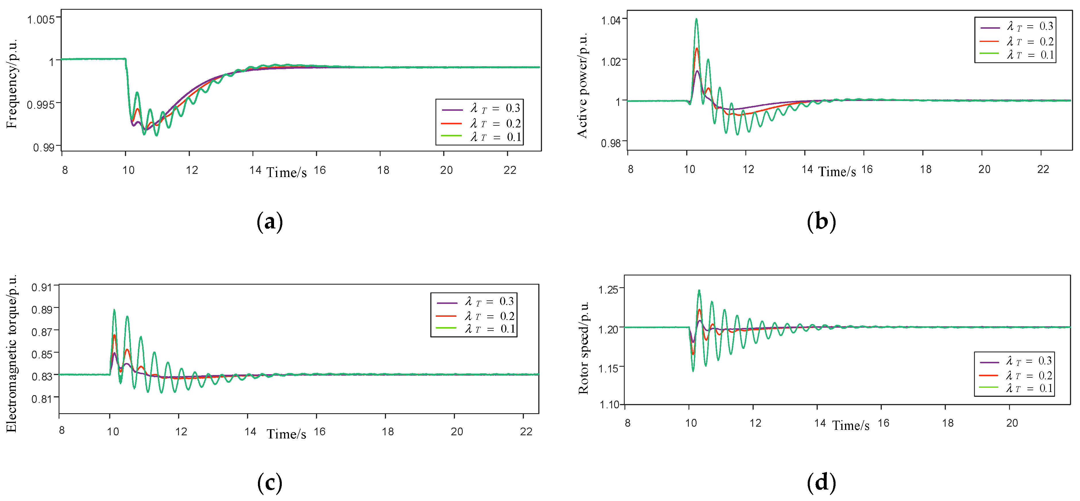
5.2. Simulation for Multi-Objective MPC under the Shafting Oscillation
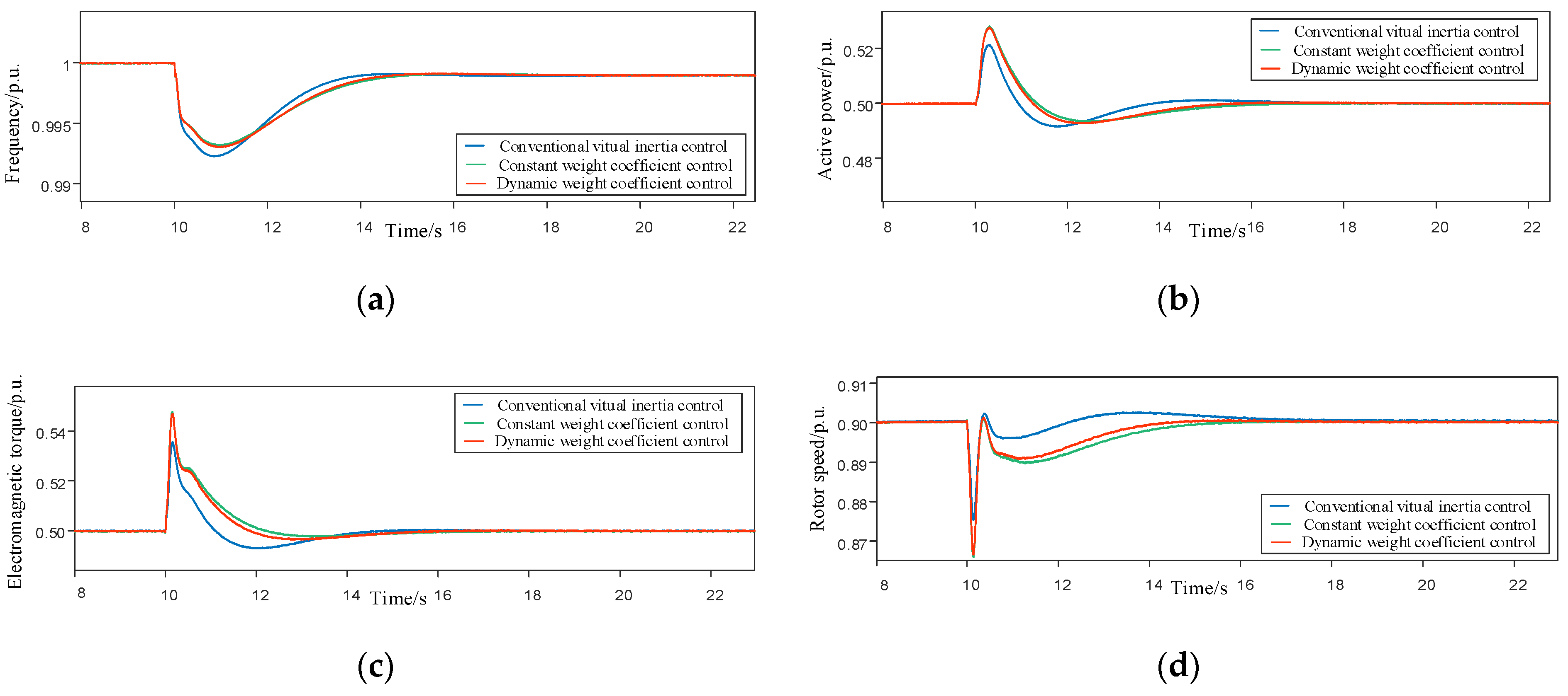
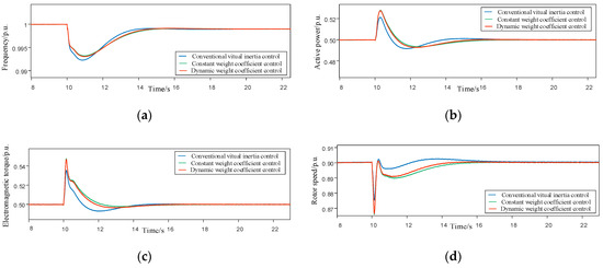
5.3. Simulation for Dynamic Weight Coefficients under Different Wind Speeds
6. Conclusions
Author Contributions
Funding
Conflicts of Interest
Nomenclature
| u, i, ig, | e Stator voltage, Stator current, Grid current, Electromotive force |
| Rs, L | Stator resistance, Equivalent inductance of stator winding |
| ψf, ψ | Permanent magnet flux linkage, Stator flux linkage |
| ωr, ωg, ωe | Rotational speeds of the wind turbine, Rotor angular velocity, Electrical angular velocity |
| p, pn | Differential operator, Pole pairs |
| Ω, θg, θs | Mechanical angular velocity, Grid angle, Torsion angle |
| Ks, Bs | Equivalent stiffness coefficient, Friction coefficient |
| Jr, Jg | Rotary inertia of the wind wheel and the motor |
| fg, fref | Grid frequency, Grid frequency reference |
| fmeas, fdev | Measured grid frequency, Frequency deviation |
| Kd, Kp, Kf | Inertia differential coefficient, Inertia proportional coefficient, Inertia compensation coefficient |
| Pe, PWT, PMPPT | Active power, PMSG input power, MPPT power |
| PVIC, Pdev, Pes | Virtual inertia power, Active power deviation, Steady-state component power |
| Ps, Pf | Standard active power, Calculated active power by wind speed forecasting |
| Tr, Te, M, D | Wind torque, Electromagnetic torque, Mechanical inertia, Mechanical damping |
| iref, fdev,n | Reference value of the steady-state current, Rated value of the frequency deviation |
| Te,n, J | Rated value of the electromagnetic torque, Cost function |
| α, β, γ | Weighting factors |
| λI, λf, λT | Current, torque and frequency proportion after standardized |
| Ts, α′ | Sampling time, The changed current weight coefficient |
| Udc, S | DC-link voltage, Switch vector |
| d, q | dq-frame rotating coordinate system |
| g | Grid side control variables |
| * | Reference value |
Appendix A
| Rated voltage | 690 V |
| Rated frequency | 50 Hz |
| Load 0 | 2 MW |
| Load 1 | 0.1 MW |
| Rated voltage | 690 V |
| Rated power | 2 MW |
| Rated speed | 1500 rpm |
| Stator phase resistance | 0.00076 Ω |
| Lmd | 0.0005246 H |
| Lmq | 0.0003845 H |
| J | 49.81 kg/m2 |
| Pole pairs | 2 |
| Rated voltage | 690 V | Wind turbine inertia constant | 4.2 s |
| Ts | 2 kHz | The coefficient of friction | 1.6 N·m·s/rad |
| Rated power | 2 MW | Ld | 0.00142 H |
| Sampling time | 10 × 10−6 s | Lq | 0.00275 H |
| Rated wind speed | 15 m/s | Pole pairs | 30 |
| Stator phase resistance | 0.0078 Ω | Rated DC-link voltage | 1100 V |
References
- Blaabjerg, F.; Teodorescu, R.; Liserre, M.; Timbus, A.V. Overview of Control and Grid Synchronization for Distributed Power Generation Systems. IEEE Trans. Ind. Electron. 2006, 53, 1398–1409. [Google Scholar] [CrossRef]
- Chen, Z.; Guerrero, J.M.; Blaabjerg, F. A review of the state of the art of power electronics for wind turbines. IEEE Trans. Power Electron. 2009, 24, 1859–1875. [Google Scholar] [CrossRef]
- Wang, S.; Tomsovic, K. Fast Frequency Support from Wind Turbine Generators with Auxiliary Dynamic Demand Control. IEEE Trans. Power Syst. 2019, 34, 3340–3348. [Google Scholar] [CrossRef]
- Krpan, M.; Kuzle, I. Inertial and primary frequency response model of variable-speed wind turbines. J. Eng. 2017, 2017, 844–848. [Google Scholar] [CrossRef]
- MacDowell, J.; Dutta, S.; Richwine, M.; Achilles, S.; Miller, N. Serving the Future: Advanced Wind Generation Technology Supports Ancillary Services. IEEE Power Energy Mag. 2015, 13, 22–30. [Google Scholar] [CrossRef]
- Huang, L.; Xin, H.; Zhang, L.; Wang, Z.; Wu, K.; Wang, H. Synchronization and Frequency Regulation of DFIG-Based Wind Turbine Generators With Synchronized Control. IEEE Trans. Energy Convers. 2017, 32, 1251–1262. [Google Scholar] [CrossRef]
- Sang, S.; Zhang, C.; Cai, X.; Molinas, M.; Zhang, J.; Rao, F. Control of a Type-IV Wind Turbine With the Capability of Robust Grid-Synchronization and Inertial Response for Weak Grid Stable Operation. IEEE Access 2019, 7, 58553–58569. [Google Scholar] [CrossRef]
- Shao, H.; Cai, X.; Zhou, D.; Li, Z.; Zheng, D.; Cao, Y.; Wang, Y.; Rao, F. Equivalent Modeling and Comprehensive Evaluation of Inertia Emulation Control Strategy for DFIG Wind Turbine Generator. IEEE Access 2019, 7, 64798–64811. [Google Scholar] [CrossRef]
- Huang, L.; Xin, H.; Wang, Z.; Wu, K.; Wang, H.; Hu, J.; Lu, C. A Virtual Synchronous Control for Voltage-Source Converters Utilizing Dynamics of DC-Link Capacitor to Realize Self-Synchronization. IEEE J. Emerg. Sel. Top. Power Electron. 2017, 5, 1565–1577. [Google Scholar] [CrossRef]
- Wang, S.; Hu, J.; Yuan, X.; Sun, L. On Inertial Dynamics of Virtual-Synchronous-Controlled DFIG-Based Wind Turbines. IEEE Trans. Energy Convers. 2015, 30, 1691–1702. [Google Scholar] [CrossRef]
- Nasiri, M.; Mobayen, S.; Faridpak, B.; Fekih, A.; Chang, A. Small-Signal Modeling of PMSG-Based Wind Turbine for Low Voltage Ride-Through and Artificial Intelligent Studies. Energies 2020, 13, 6685. [Google Scholar] [CrossRef]
- Wang, Y.; Meng, J.; Zhang, X.; Xu, L. Control of PMSG-Based Wind Turbines for System Inertial Response and Power Oscillation Damping. IEEE Trans. Sustain. Energy 2015, 6, 565–574. [Google Scholar] [CrossRef]
- Attya, A.B.; Ademi, S.; Jovanović, M.; Anaya-Lara, O. Frequency support using doubly fed induction and reluctance wind turbine generators. Int. J. Electron. Power Energy Syst. 2018, 101, 403–414. [Google Scholar] [CrossRef]
- Peng, B.; Zhang, F.; Liang, J.; Ding, L.; Liang, Z.; Wu, Q. Coordinated control strategy for the short-term frequency response of a DFIG-ES system based on wind speed zone classification and fuzzy logic control. Int. J. Electr. Power Energy Syst. 2019, 107, 363–378. [Google Scholar] [CrossRef]
- Ma, J.; Qiu, Y.; Li, Y.; Zhang, W.; Song, Z.; Thorp, J.S. Research on the Impact of DFIG Virtual Inertia Control on Power System Small-Signal Stability Considering the Phase-Locked Loop. IEEE Trans. Power Syst. 2016, 32, 2094–2105. [Google Scholar] [CrossRef]
- Arani, M.F.; Mohamed, A.R.I. Analysis and Damping of Mechanical Resonance of Wind Power Generators Contributing to Frequency Regulation. IEEE Trans. Power Syst. 2016, 32, 3195–3204. [Google Scholar] [CrossRef]
- Arani, M.F.; Mohamed, A.R.I. Analysis and Mitigation of Undesirable Impacts of Implementing Frequency Support Controllers in Wind Power Generation. IEEE Trans. Energy Convers. 2016, 31, 174–186. [Google Scholar] [CrossRef]
- Zhao, H.; Wu, Q.; Guo, Q.; Sun, H.; Xue, Y. Optimal active power control of a wind farm equipped with energy storage system based on distributed model predictive control. IET Gener. Transm. Distrib. 2016, 10, 669–677. [Google Scholar] [CrossRef]
- Wang, H.; Yang, J.; Ma, Y.; Xing, Z.; Zhe, C. Model predictive control of PMSG-based wind turbines for frequency regulation in an isolated grid. IEEE Trans. Ind. Appl. 2017, 56, 1536–1541. [Google Scholar] [CrossRef]
- Hackl, C.M.; Larcher, F.; Dötlinger, A.; Kennel, R.M. Is multiple-objective model-predictive control “optimal”? In Proceedings of the 2013 IEEE International Symposium on Sensorless Control for Electrical Drives and Predictive Control of Electrical Drives and Power Electronics (SLED/PRECEDE), Munich, Germany, 17–19 October 2013; pp. 1–8. [Google Scholar]
- Zhang, Y.; Xu, D.; Liu, J.; Gao, S.; Xu, W. Performance Improvement of Model-Predictive Current Control of Permanent Magnet Synchronous Motor Drives. IEEE Trans. Ind. Appl. 2017, 53, 3683–3695. [Google Scholar] [CrossRef]
- Vazquez, S.; Rodriguez, J.; Rivera, M.; Franquelo, L.G.; Norambuena, M. Model Predictive Control for Power Converters and Drives: Advances and Trends. IEEE Trans. Ind. Electron. 2017, 64, 935–947. [Google Scholar] [CrossRef]
- Mishra, R.; Saha, T.K. Performance Analysis of Model Predictive Technique Based Combined Control for PMSG-Based Distributed Generation Unit. IEEE Trans. Ind. Electron. 2020, 67, 8991–9000. [Google Scholar] [CrossRef]
- Gao, X.; Abdelrahem, M.; Hackl, C.M.; Zhang, Z.; Kennel, R. Direct Predictive Speed Control With a Sliding Manifold Term for PMSM Drives. IEEE J. Emerg. Sel. Top. Power Electron. 2019, 8, 1258–1267. [Google Scholar] [CrossRef]
- Chen, J.; Gong, C. On Optimizing the Aerodynamic Load Acting on the Turbine Shaft of PMSG-Based Direct-Drive Wind Energy Conversion System. IEEE Trans. Ind. Electron. 2014, 61, 4022–4031. [Google Scholar] [CrossRef]
- Geng, H.; Xu, D. Stability Analysis and Improvements for Variable-Speed Multipole Permanent Magnet Synchronous Generator-Based Wind Energy Conversion System. IEEE Trans. Sustain. Energy 2011, 2, 459–467. [Google Scholar] [CrossRef]
- Huang, H.; Ju, P.; Jin, Y.; Yuan, X.; Qin, C.; Pan, X.; Zang, X. Generic System Frequency Response Model for Power Grids with Different Generations. IEEE Access 2020, 8, 14314–14321. [Google Scholar] [CrossRef]
- Nguyen, N.; Mitra, J. Reliability of Power System with High Wind Penetration under Frequency Stability Constraint. IEEE Trans. Power Syst. 2018, 33, 985–994. [Google Scholar] [CrossRef]
- Zhang, Y.; Jin, J.; Huang, L. Model-Free Predictive Current Control of PMSM Drives Based on Extended State Observer Using Ultra-Local Model. IEEE Trans. Ind. Electron. 2020, 68, 993–1003. [Google Scholar] [CrossRef]
- Wang, F.; He, L. FPGA-Based Predictive Speed Control for PMSM System Using Integral Sliding-Mode Disturbance Observer. IEEE Trans. Ind. Electron. 2021, 68, 972–981. [Google Scholar] [CrossRef]
- Preindl, M.; Bolognani, S. Model Predictive Direct Speed Control with Finite Control Set of PMSM Drive Systems. IEEE Trans. Power Electron. 2013, 28, 1007–1015. [Google Scholar] [CrossRef]
- Ravanji, M.H.; Canizares, C.A.; Parniani, M. Modeling and Control of Variable Speed Wind Turbine Generators for Frequency Regulation. IEEE Trans. Sustain. Energy 2019, 11, 916–927. [Google Scholar] [CrossRef]
- Kouro, S.; Cortes, P.; Vargas, R.; Ammann, U.; Rodriguez, J. Model Predictive Control—A Simple and Powerful Method to Control Power Converters. IEEE Trans. Ind. Electron. 2008, 56, 1826–1838. [Google Scholar] [CrossRef]
- Vargas, R.; Ammann, U.; Hudoffsky, B.; Rodriguez, J.; Wheeler, P. Predictive Torque Control of an Induction Machine Fed by a Matrix Converter With Reactive Input Power Control. IEEE Trans. Power Electron. 2010, 25, 1426–1438. [Google Scholar] [CrossRef]
- Zhang, C.-Y.; Chen, C.L.P.; Gan, M.; Chen, L. Predictive Deep Boltzmann Machine for Multiperiod Wind Speed Forecasting. IEEE Trans. Sustain. Energy 2015, 6, 1416–1425. [Google Scholar] [CrossRef]
- Khodayar, M.; Kaynak, O.; Khodayar, M.E. Rough Deep Neural Architecture for Short-Term Wind Speed Forecasting. IEEE Trans. Ind. Inform. 2017, 13, 2770–2779. [Google Scholar] [CrossRef]
- He, Y.; Qin, Y.; Lei, X.; Feng, N. A study on short-term power load probability density forecasting considering wind power effects. Int. J. Electr. Power Energy Syst. 2019, 113, 502–514. [Google Scholar] [CrossRef]
- Xie, W.; Wang, X.; Wang, F.; Xu, W.; Kennel, R.; Gerling, D. Dynamic Loss Minimization of Finite Control Set-Model Predictive Torque Control for Electric Drive System. IEEE Trans. Power Electron. 2016, 31, 849–860. [Google Scholar] [CrossRef]
- Zhao, J.; Lyu, X.; Fu, Y.; Hu, X.; Li, F. Coordinated Microgrid Frequency Regulation Based on DFIG Variable Coefficient Using Virtual Inertia and Primary Frequency Control. IEEE Trans. Energy Convers. 2016, 31, 833–845. [Google Scholar] [CrossRef]
- Hossam, H.M.; Abdel-Raheem, Y.; Essam, E.M. Variable step size P&O MPPT algorithm for optimal power extraction of multi-phase PMSG based wind generation system. Int. J. Electron. Power Energy Syst. 2019, 108, 218–231. [Google Scholar]
- Khatib, A.R.; Appannagari, M.; Manson, S.; Goodall, S. Load Modeling Assumptions: What is Accurate Enough? IEEE Trans. Ind. Appl. 2016, 52, 3611–3619. [Google Scholar] [CrossRef]












Publisher’s Note: MDPI stays neutral with regard to jurisdictional claims in published maps and institutional affiliations. |
© 2021 by the authors. Licensee MDPI, Basel, Switzerland. This article is an open access article distributed under the terms and conditions of the Creative Commons Attribution (CC BY) license (https://creativecommons.org/licenses/by/4.0/).
Share and Cite
Qin, S.; Chang, Y.; Xie, Z.; Li, S. Improved Virtual Inertia of PMSG-Based Wind Turbines Based on Multi-Objective Model-Predictive Control. Energies 2021, 14, 3612. https://doi.org/10.3390/en14123612
Qin S, Chang Y, Xie Z, Li S. Improved Virtual Inertia of PMSG-Based Wind Turbines Based on Multi-Objective Model-Predictive Control. Energies. 2021; 14(12):3612. https://doi.org/10.3390/en14123612
Chicago/Turabian StyleQin, Shiyao, Yuyang Chang, Zhen Xie, and Shaolin Li. 2021. "Improved Virtual Inertia of PMSG-Based Wind Turbines Based on Multi-Objective Model-Predictive Control" Energies 14, no. 12: 3612. https://doi.org/10.3390/en14123612
APA StyleQin, S., Chang, Y., Xie, Z., & Li, S. (2021). Improved Virtual Inertia of PMSG-Based Wind Turbines Based on Multi-Objective Model-Predictive Control. Energies, 14(12), 3612. https://doi.org/10.3390/en14123612
