Exploring the Distribution of Traffic Flow for Shared Human and Autonomous Vehicle Roads
Abstract
1. Introduction
- ①
- Analyzed the possible changes in traffic parameters brought by autonomous vehicles;
- ②
- Using collision avoidance theory, the traffic flow models are analyzed respectively and makes assumptions based on the triangular diagram proposed by Newell;
- ③
- A car-following model is established in which the autonomous vehicle can stably follow human-driven vehicles in any scene;
- ④
- Establish a mixed traffic flow analysis model by relaxing the velocity variable;
- ⑤
- Based on the hydrodynamic theory, a mixed traffic flow model with an arbitrary proportion of autonomous vehicles is established.
2. Research Backgrounds
3. Modeling Theoretical Foundation
3.1. Multiple Hydrodynamic Theory
3.2. Model Assumptions
- Autonomous vehicles and human-driven vehicles have the same physical characteristics, such as vehicle length l and free-flow speed;
- Vehicles of the same class travel at the same speed;
- The model is suitable for multiple types of vehicles. The focus of this article is autonomous vehicles and human-driven vehicles;
- Different types of autonomous vehicles have different reaction times, so the vehicles will respond to different car-following behaviors;
- The density of specific vehicles in the system is uniformly distributed.
4. Modeling and Analysis
4.1. Human Driving Traffic Flow Model
4.2. Autonomous Vehicle Traffic Flow Model
4.2.1. Analysis of Following Characteristics of Autonomous Vehicle
4.2.2. Autonomous Vehicle Flow-Density Relationship
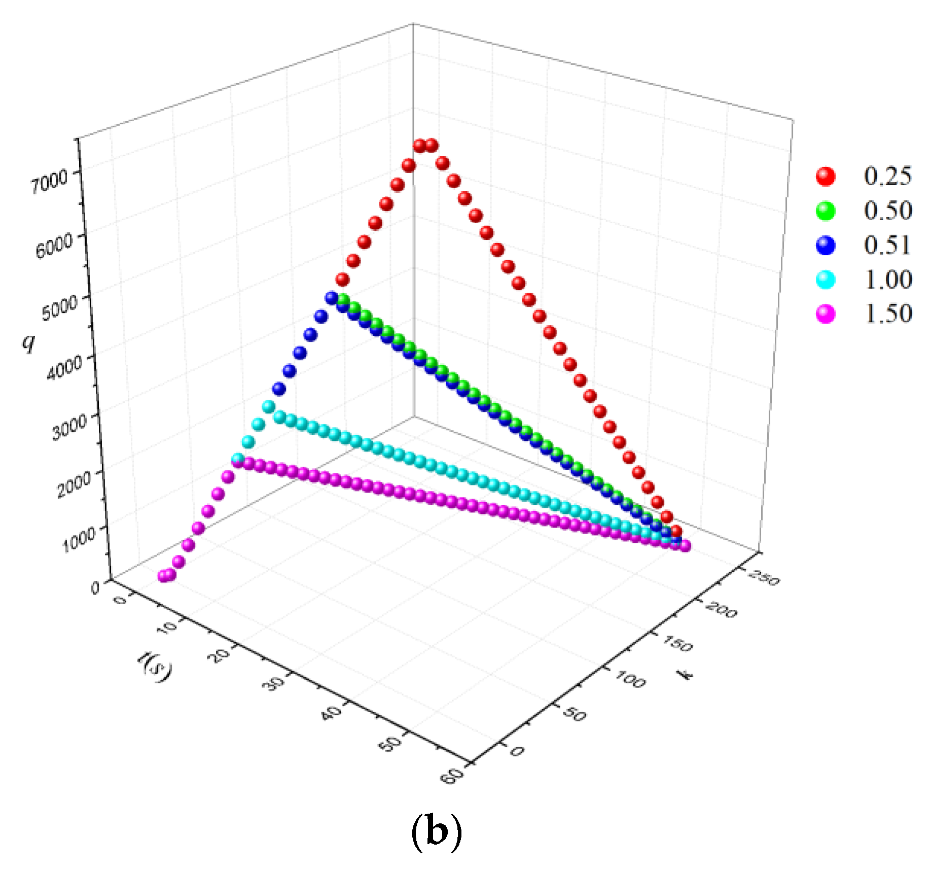
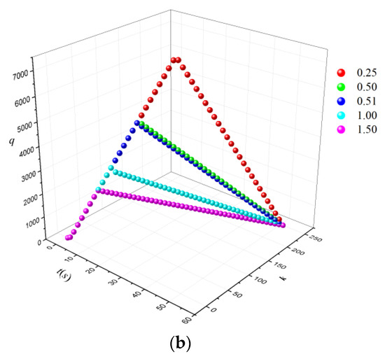
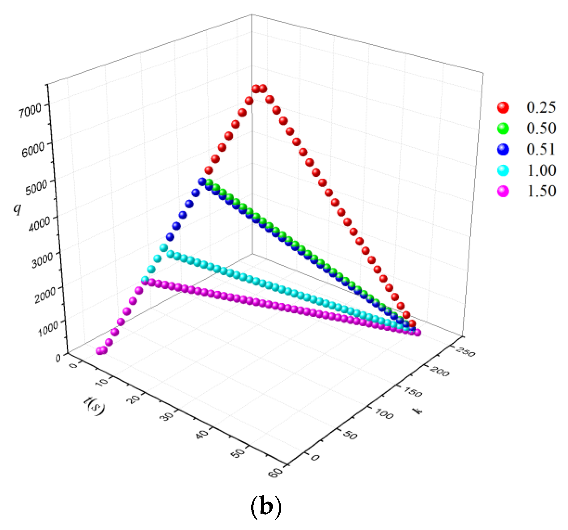
4.2.3. Flow-Density Relationship with Different Reaction Times
4.3. Traffic Flow Analysis Model with Different Proportions
4.4. Traffic Flow Model with Arbitrary Proportion of Autonomous Vehicles
4.4.1. Car-Following Analysis of Any Proportion of Autonomous Vehicles
- ①
- Keep driving at free-flow speed;
- ②
- Decelerate to match the driving state of human-driven vehicles;
- ③
- Keep pace with the speed of human-driven vehicles.
4.4.2. Traffic Flow Model with Different Proportion
5. Experimental Analysis
5.1. Experimental Setting
- The probability of the vehicle choosing different lanes to drive in is equal and the autonomous vehicle is a rational driver, changing lanes or overtaking does not bring better driving conditions. In this scenario, the law of traffic flow change between different lanes is the same, so analyzing one of the lanes is able to reflect the operating regulars;
- Autonomous vehicles drive as the leader or become the leader in the low-density state by changing lanes or overtaking a few times;
- Drive in separate lanes.
5.2. Numerical Results Analysis
5.2.1. I Scenario Analysis
- Free flow state;
- Decelerate to the same speed as the human-driven vehicle;
- Keep pace with the human-driven vehicle.
5.2.2. II Scenario Analysis
- The autonomous vehicle just happens to lead the fleet after entering the system or leads the fleet after a few overtaking or lane changings;
- In a low-density system, it becomes the leader through a few overtaking or lane changes.
5.2.3. III Scenario Analysis
6. Conclusions
- (1)
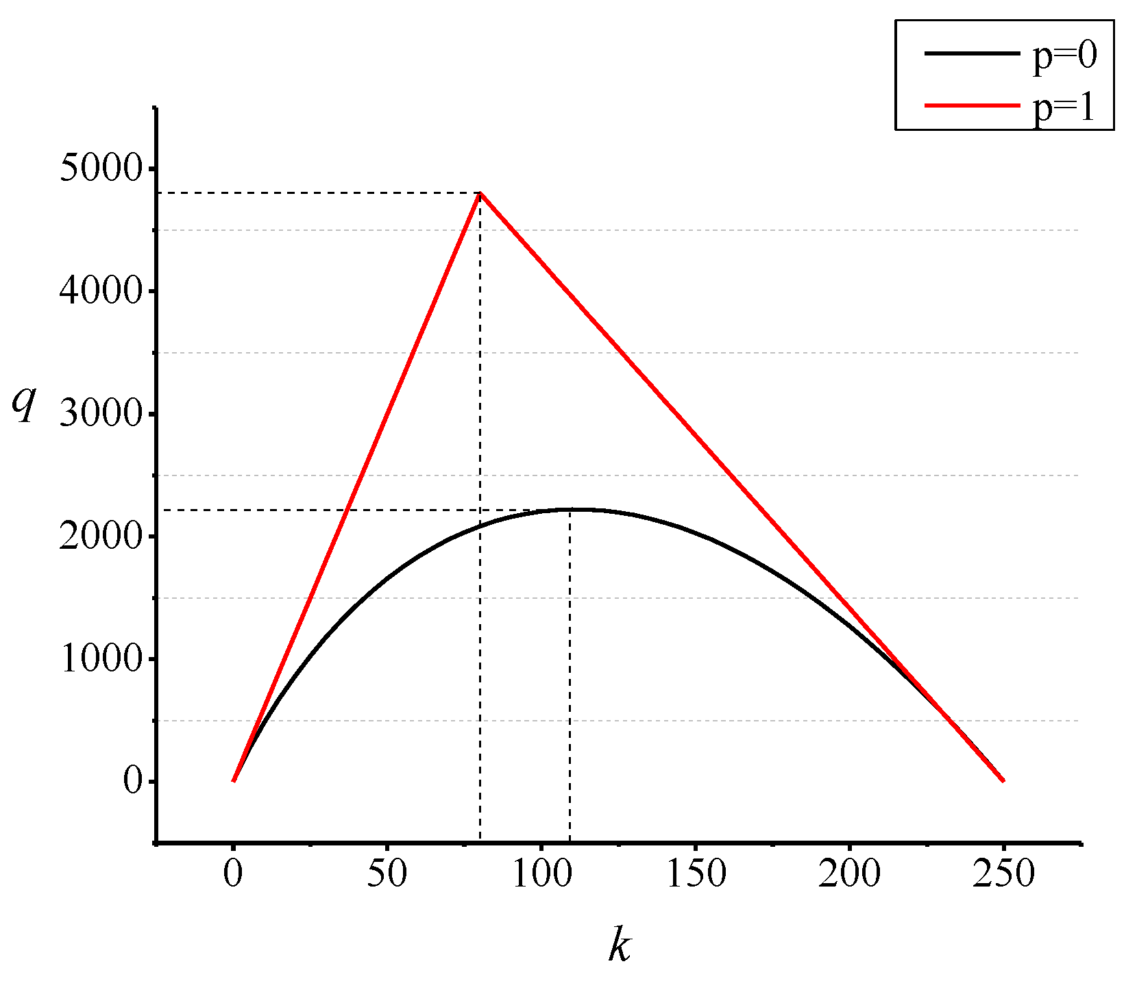
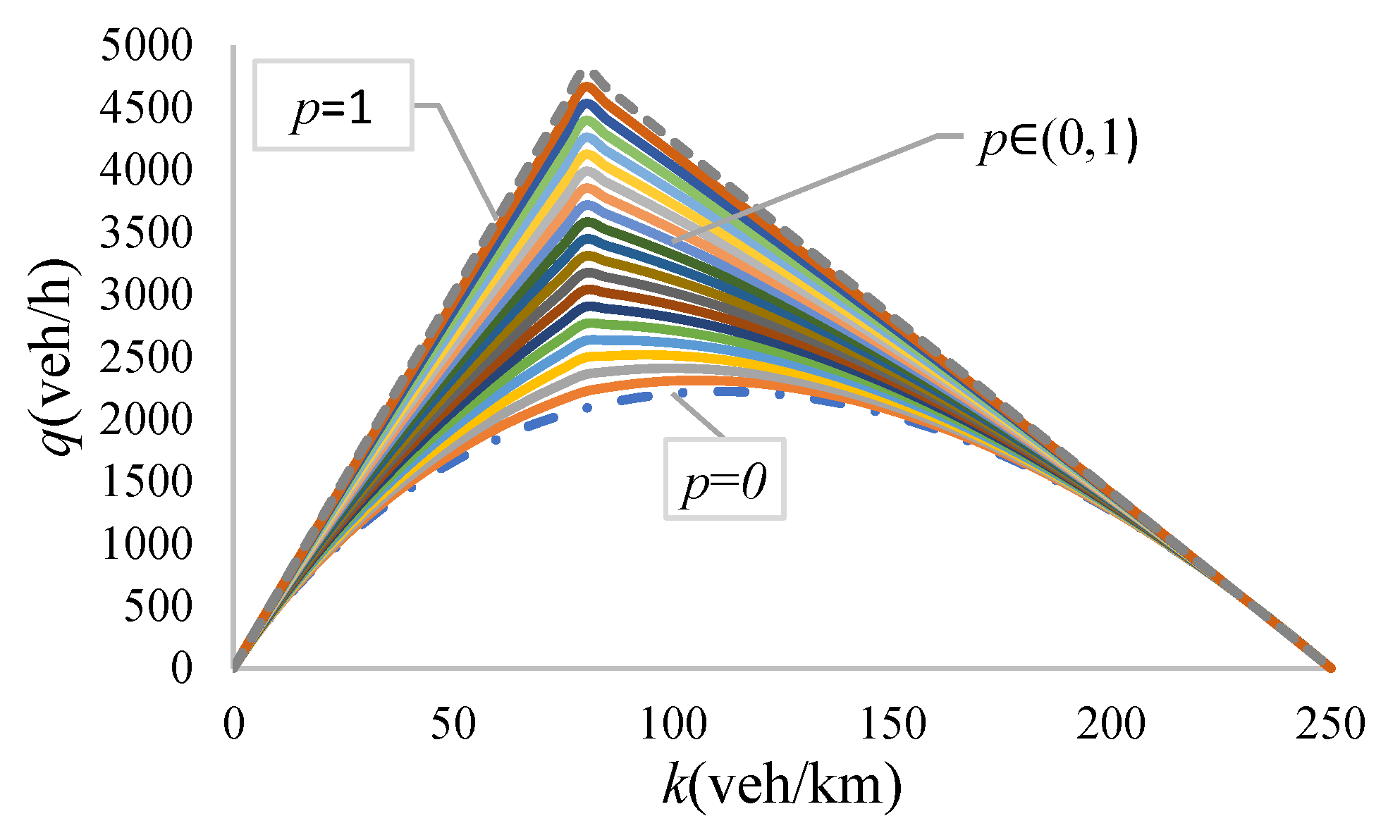
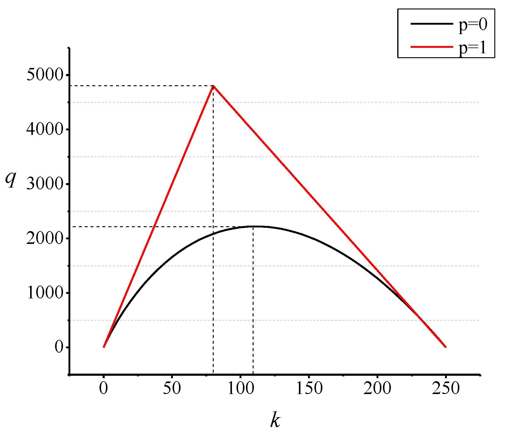
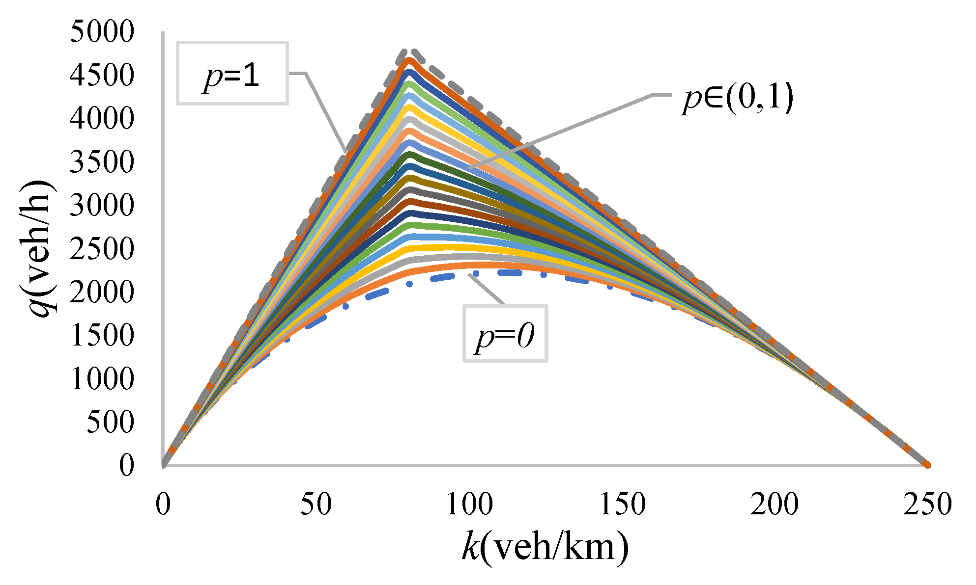
- If p ∊ (0,1), the mixed traffic flow q-k curve is in the region between the q-k curve for fully human and autonomous traffic;
- (2)
- Under different traffic scenarios, the addition of autonomous vehicles has different effects on the traffic system;
- (3)
- The speed-following transformation model not only minimizes the safety distance but also saves road resources while optimizing the stability of transportation systems and could provide a necessary reference for the underlying programming design of autonomous vehicles;
- (4)
- Establish a traffic flow model with arbitrary p of autonomous vehicles;
- (5)
- The reaction time of autonomous vehicles has a decisive influence on traffic flow;
- (6)
- When autonomous vehicles occupy more than a half, split lane driving is the optimal strategy to improve the traffic capacity.
Author Contributions
Funding
Institutional Review Board Statement
Informed Consent Statement
Data Availability Statement
Conflicts of Interest
References
- Levin, M.W.; Boyles, S.D. A multiclass cell transmission model for shared human and autonomous vehicle roads. Transp. Res. Part C Emerg. Technol. 2016, 62, 103–116. [Google Scholar] [CrossRef]
- Lighthill, M.H.; Whithman, G.B. On kinematic waves II. A theory of traffic flow on long crowded roads. Proc. R. Soc. Lond. Ser. A. Math. Phys. Sci. 1955, 229, 317–334. [Google Scholar]
- Richards, P.I. Shock Waves on the Highway. Oper. Res. 1956, 4, 42–51. [Google Scholar] [CrossRef]
- Wong, G.C.K.; Wong, S.C. A Multi-Class Traffic Flow Model—An Extension of LWR. Transp. Res. Part A Policy Pract. 2002, 36, 827–841. [Google Scholar] [CrossRef]
- Brackstone, M.; McDonald, M. Car-following: A historical review. Transp. Res. Part F Traffic Psychol. Behav. 1999, 2, 181–196. [Google Scholar] [CrossRef]
- Gartner, N.H.; Messer, C.J.; Rathi, A.K. Revised Monograph on Traffic Flow Theory: A State-of-the-Art Report; National Transportation Library: Washington, DC, USA, 2001. [Google Scholar]
- Newell, G. A simplified car-following theory: A lower order model. Transp. Res. Part. B Methodol. 2002, 36, 195–205. [Google Scholar] [CrossRef]
- Kometani, E.; Sasaki, T. Dynamic Behaviour of Traffic with a Nonlinear Spacing-Speed Relationship. In Proceedings of the Symposium on Theory of Traffic Flow, Research Laboratories, General Motors, Warren, MI, USA, 7–8 December 1959; pp. 105–119. [Google Scholar]
- Newell, G. A simplified theory of kinematic waves in highway traffic, part I: General theory. Transp. Res. Part B Methodol. 1993, 27, 281–287. [Google Scholar] [CrossRef]
- Yperman, I.; Logghe, S.; Immers, B. The Link Transmission Model: An Efficient Implementation of the Kinematic Wave Theory in Traffic Networks. In Proceedings of the 10th EWGT Meeting, Poznan, Poland, 13–16 September 2005. [Google Scholar]
- Le Vine, S.; Zolfaghari, A.; Polak, J. Autonomous cars: The tension between occupant experience and intersection capacity. Transp. Res. Part C Emerg. Technol. 2015, 52, 1–14. [Google Scholar] [CrossRef]
- Yu, Y.; Liu, S.; Jin, P.J.; Luo, X.; Wang, M. Multi-Player Dynamic Game-Based Automatic Lane-Changing Decision Model Un-der Mixed Autonomous Vehicle and Human-Driven Vehicle Environment. Transp. Res. Rec. 2020, 2674, 165–183. [Google Scholar] [CrossRef]
- Wu, W.; Sun, R.; Ni, A.; Liang, Z.; Jia, H. Simulation and evaluation of speed and lane-changing advisory of CAVS at work zones in heterogeneous traffic flow. Int. J. Mod. Phys. B 2020, 34, 1–21. [Google Scholar] [CrossRef]
- An, S.; Xu, L.; Qian, L.; Chen, G.; Luo, H.; Li, F. Car-following model for autonomous vehicles and mixed traffic flow analysis based on discrete following interval. Phys. A Stat. Mech. Appl. 2020, 560, 125246. [Google Scholar] [CrossRef]
- Yang, H.; An, S. Robustness evaluation for multi-subnet composited complex network of urban public transport. Alex. Eng. J. 2021, 60, 2065–2074. [Google Scholar] [CrossRef]
- Daganzo, C.F. The cell transmission model: A dynamic representation of highway traffic consistent with the hydrodynamic theory. Transp. Res. Part B Methodol. 1994, 28, 269–287. [Google Scholar] [CrossRef]
- Daganzo, C.F. The cell transmission model, part II: Network traffic. Transp. Res. Part B Methodol. 1995, 29, 79–93. [Google Scholar] [CrossRef]
- Daganzo, C.F. A finite difference approximation of the kinematic wave model of traffic flow. Transp. Res. Part B Methodol. 1995, 29, 261–276. [Google Scholar] [CrossRef]
- Blumberg, M.; Bar-Gera, H. Consistent node arrival order in dynamic network loading models. Transp. Res. Part B Methodol. 2009, 43, 285–300. [Google Scholar] [CrossRef]
- Leutzbach, W. Introduction to the Theory of Traffic Flow; Springer: Berlin/Heidelberg, Germany, 1972. [Google Scholar]
- Bose, A.; Ioannou, P. Mixed manual/semi-automated traffic: A macroscopic analysis. Transp. Res. Part C Emerg. Technol. 2003, 11, 439–462. [Google Scholar] [CrossRef]
- Testing and Measuring Emissions: Dynamometer Driving Cycles; US Environmental Protection Agency: Ann Arbor, MI, USA, 2014. Available online: http://www.epa.gov/nvfel/testing/ (accessed on 4 June 2014).
- Zhang, J.; Zhao, M.; Liu, H.; Xu, X. Networked characteristics of the urban rail transit networks. Phys. A Stat. Mech. Its Appl. 2013, 392, 1538–1546. [Google Scholar] [CrossRef]














| Acceleration | Deceleration | |
|---|---|---|
| Light rail transit | 1.34 m/s2 | −1.34 m/s2 |
| High-speed rail | 0.58 m/s2 | −0.54 m/s2 |
| Urban Dynamometer Driving Schedule | 1.5 m/s2 | −1.5 m/s2 |
| Highway Economy Test Driving Schedule | 1.4 m/s2 | −1.5 m/s2 |
| w (%) | 0 | 5 | 10 | 15 | 20 | 25 | …… | 80 | 85 | 90 | 95 | 100 |
| h (%) | 100 | 95 | 90 | 85 | 80 | 75 | …… | 20 | 15 | 10 | 5 | 0 |
| tb (s) | 0 | 1 | 2 | 3 | 3 | 4 | 5 |
|---|---|---|---|---|---|---|---|
| t | 12.10 | 10.98 | 10.03 | 9.21 | 9.00 | 8.51 | 7.90 |
| a | 0.68 | 0.78 | 0.93 | 1.15 | 1.18 | 1.52 | 2.28 |
| t (s) | p = 20 | p = 40 | p = 50 | p = 60 | p = 70 | p = 80 | p = 90 | p = 100 |
|---|---|---|---|---|---|---|---|---|
| 2.00 | 504.00 | 528.00 | 540.00 | 552.00 | 564.00 | 576.00 | 588.00 | 600.00 |
| 3.00 | 723.64 | 767.73 | 789.77 | 811.82 | 833.86 | 855.91 | 877.95 | 900.00 |
| 4.00 | 911.48 | 962.37 | 987.81 | 1013.26 | 1038.70 | 1064.15 | 1089.59 | 1200.00 |
| 5.00 | 1078.05 | 1130.44 | 1156.63 | 1182.82 | 1209.02 | 1235.21 | 1261.41 | 1500.00 |
| 48.00 | 290.94 | 290.94 | 290.94 | 290.94 | 290.94 | 290.94 | 290.94 | 282.35 |
| 49.00 | 147.74 | 147.74 | 147.74 | 147.74 | 147.74 | 147.74 | 147.74 | 141.18 |
| 50.00 | 0.00 | 0.00 | 0.00 | 0.00 | 0.00 | 0.00 | 0.00 | 0.00 |
| p = 0 | p = 10 | p = 30 | p = 40 | p = 50 | p = 60 | p = 70 | p = 80 | p = 90 | p = 95 |
|---|---|---|---|---|---|---|---|---|---|
| 679.55 | 701.59 | 745.68 | 767.73 | 789.77 | 811.82 | 833.86 | 855.91 | 877.95 | 888.98 |
| 679.546 | 701.591 | 745.682 | 767.728 | 789.773 | 811.818 | 833.864 | 855.909 | 877.955 | 888.977 |
Publisher’s Note: MDPI stays neutral with regard to jurisdictional claims in published maps and institutional affiliations. |
© 2021 by the authors. Licensee MDPI, Basel, Switzerland. This article is an open access article distributed under the terms and conditions of the Creative Commons Attribution (CC BY) license (https://creativecommons.org/licenses/by/4.0/).
Share and Cite
Li, H.; Wang, J.; Bai, G.; Hu, X. Exploring the Distribution of Traffic Flow for Shared Human and Autonomous Vehicle Roads. Energies 2021, 14, 3425. https://doi.org/10.3390/en14123425
Li H, Wang J, Bai G, Hu X. Exploring the Distribution of Traffic Flow for Shared Human and Autonomous Vehicle Roads. Energies. 2021; 14(12):3425. https://doi.org/10.3390/en14123425
Chicago/Turabian StyleLi, Huanping, Jian Wang, Guopeng Bai, and Xiaowei Hu. 2021. "Exploring the Distribution of Traffic Flow for Shared Human and Autonomous Vehicle Roads" Energies 14, no. 12: 3425. https://doi.org/10.3390/en14123425
APA StyleLi, H., Wang, J., Bai, G., & Hu, X. (2021). Exploring the Distribution of Traffic Flow for Shared Human and Autonomous Vehicle Roads. Energies, 14(12), 3425. https://doi.org/10.3390/en14123425
