Productivity and Biomass Properties of Poplar Clones Managed in Short-Rotation Culture as a Potential Fuelwood Source in Georgia
Abstract
1. Introduction
2. Materials and Methods
2.1. Experimental Location, Soil, and Climatic Condition
2.2. Planting Material and Study Design
2.3. Measurement of Tree Characteristics
2.4. Biomass Properties
2.5. Statistical Analysis
3. Results
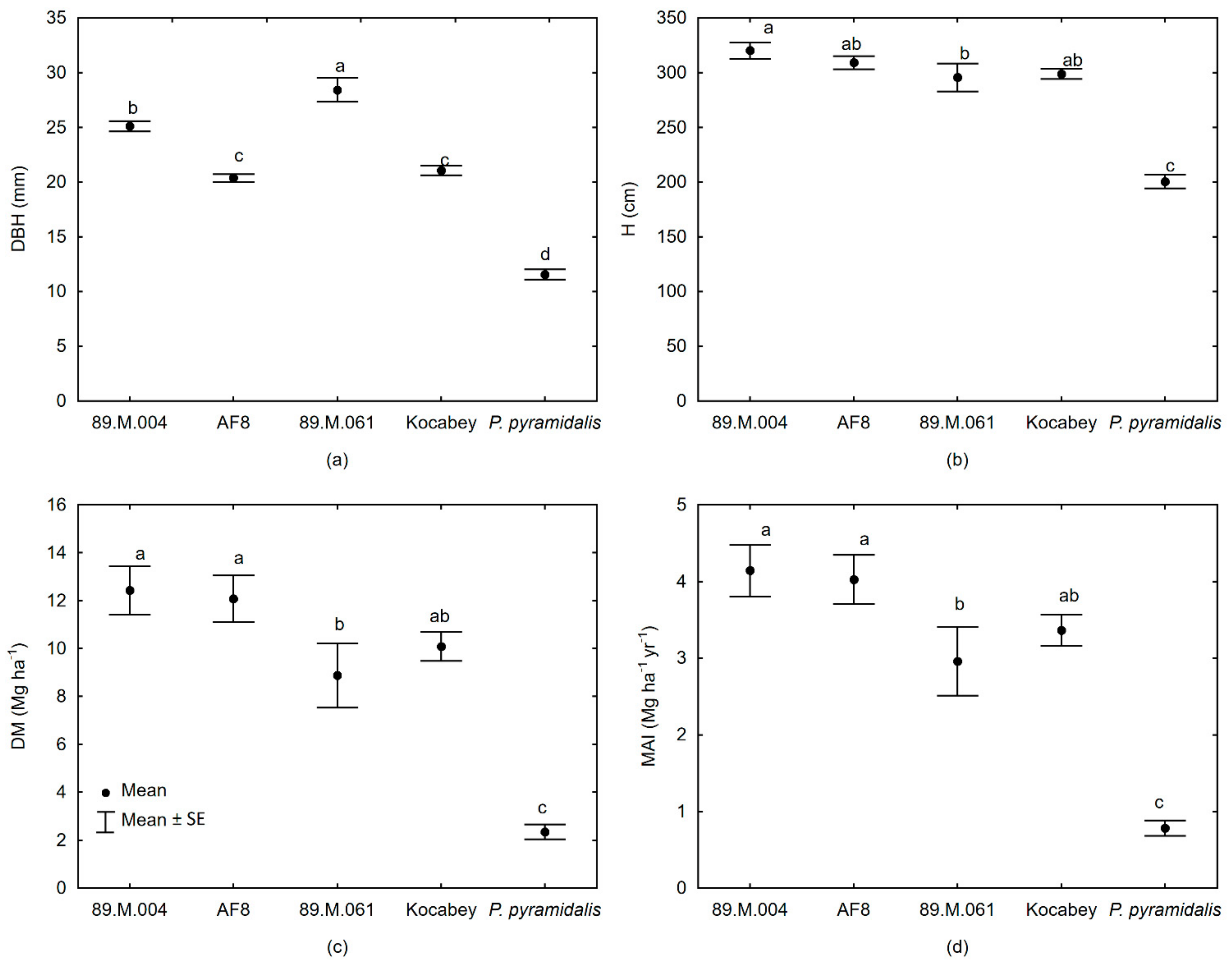
3.1. Survival and Growth Parameters of Clones
3.2. Biomass Properties
3.3. Relationship between Traits
4. Discussion
5. Conclusions
Author Contributions
Funding
Institutional Review Board Statement
Informed Consent Statement
Data Availability Statement
Acknowledgments
Conflicts of Interest
Symbols and Nomenclature
| DM | Dry matter |
| SRWC | Short-rotation woody crop |
| DBH | Diameter at breast height |
| H | Height of steam |
| TSI | Relative self-ignition temperature |
| Ad | Ash content in dry state |
| HHV | Higher heating value |
| LHV | Lower heating value |
| SD | Specific density |
| AD | Absolute density |
| P | Porosity |
| Sw | Wood mass share in steam |
| Sb | Bark mass share in steam |
| LSD | Least significant difference test |
| PCA | Principal component analysis |
| MAI | Mean annual increment |
References
- National Forest Concept for Georgia. 2020. Available online: http://environment.cenn.org/app/uploads/2016/09/CENN-BROCHURE-reduced-ENG.pdf (accessed on 26 February 2021).
- Forest Europe. State of Europe’s Forests 2020; Forest Europe: Bonn, Germany, 2020; p. 394. [Google Scholar]
- Gigauri, G. Biodiversity of Georgian Forest; Rariteti: Tbilisi, Georgia, 2000; p. 74. [Google Scholar]
- Biodiversity Hotspots. Available online: https://www.conservation.org/priorities/biodiversity-hotspots (accessed on 26 February 2021).
- Margvelashvili, M.; Getiashvili, R. Eliminating the Forest Energy Crisis by Sustainable Use of Biomass; Eastern Partnership Civil Society Forum: Brussels, Belgium, 2016. [Google Scholar]
- Bachilava, M.; Goginashvili, N.; Bertaina, F. Early growth performance of new poplar clones for Georgia. In Proceedings of the 28th European Biomass Conference and Expedition (EUBCE), Paris, France, 6–9 July 2020. [Google Scholar]
- Fernández-García, A.; Rojas, E.; Pérez, M.; Silva, R.; Hernández-Escobedo, Q.; Manzano-Agugliaro, F. A parabolic-trough collector for cleaner industrial process heat. J. Clean. Prod. 2015, 89, 272–285. [Google Scholar] [CrossRef]
- Perea-Moreno, A.J.; Perea-Moreno, M.Á.; Hernandez-Escobedo, Q.; Manzano-Agugliaro, F. Towards forest sustainability in Mediterranean countries using biomass as fuel for heating. J. Clean. Prod. 2017, 156, 624–634. [Google Scholar] [CrossRef]
- Ministry of Agriculture of Georgia. Strategy for Agricultural Development in Georgia 2015–2020; Ministry of Agriculture of Georgia: Tbilisi, Georgia, 2015.
- Energy 2020; Statistics Poland, Enterprises Department Energy and Raw Materials Balances Section: Warsaw, Poland, 2020; p. 26. Available online: https://stat.gov.pl/en/topics/environment-energy/energy/energy-2020,1,8.html (accessed on 20 May 2021).
- Rosso, L.; Facciotto, G.; Bergante, S.; Vietto, L.; Nervo, G. Selection and testing of Populus alba and Salix spp. as bioenergy feedstock: Preliminary results. Appl. Energy 2013, 102, 87–92. [Google Scholar] [CrossRef]
- Dickmann, D.I. Silviculture and biology of short-rotation woody crops in temperate regions: Then and now. Biomass Bioenerg. 2006, 30, 696–705. [Google Scholar] [CrossRef]
- Griffiths, N.A.; Rau, B.M.; Vaché, K.B.; Starr, G.; Bitew, M.M.; Aubrey, D.P.; Martin, J.A.; Benton, E.; Jackson, C.R. Environmental effects of short-rotation woody crops for bioenergy: What is and isn’t known. GCB Bioenergy 2019, 11, 554–572. [Google Scholar] [CrossRef]
- Niemczyk, M. The effects of cultivar and rotation length (5 vs. 10 years) on biomass production and sustainability of poplar (Populus spp.) bioenergy plantation. GCB Bioenergy 2021, 13, 1–16. [Google Scholar] [CrossRef]
- Njakou Djomo, S.; Ac, A.; Zenone, T.; De Groote, T.; Bergante, S.; Facciotto, G.; Sixto, H.; Ciria Ciria, P.; Weger, J.; Ceulemans, R. Energy performances of intensive and extensive short rotation cropping systems for woody biomass production in the EU. Renew. Sustain. Energy Rev. 2015, 41, 845–854. [Google Scholar] [CrossRef]
- Afas, N.A.; Marron, N.; Van Dongen, S.; Laureysens, I.; Ceulemans, R. Dynamics of biomass production in a poplar coppice culture over three rotations (11 years). Ecol. Manag. 2008, 255, 1883–1891. [Google Scholar] [CrossRef]
- Dillen, S.Y.; Djomo, S.N.; Al Afas, N.; Vanbeveren, S.; Ceulemans, R. Biomass yield and energy balance of a short-rotation poplar coppice with multiple clones on degraded land during 16 years. Biomass Bioenerg. 2013, 56, 157–165. [Google Scholar] [CrossRef]
- Verlinden, M.S.; Broeckx, L.S.; Ceulemans, R. First vs. second rotation of a poplar short rotation coppice: Above-ground biomass productivity and shoot dynamics. Biomass Bioenerg. 2015, 73, 174–185. [Google Scholar] [CrossRef]
- Stolarski, M.J.; Warmiński, K.; Krzyżaniak, M. Energy value of yield and biomass quality of poplar grown in two consecutive 4-year harvest rotations in the north-east of Poland. Energies 2020, 13, 1495. [Google Scholar] [CrossRef]
- Velioğlu, E.; Akgül, S. Poplars and Willows in Turkey: Country Progress Report of the National Poplar Commision. Available online: http://www.fao.org/forestry/44815-024ab7e7e11724649175884915e8150d4.pdf (accessed on 27 February 2021).
- Yan, Y. Integrate carbon dynamic models in analyzing carbon sequestration impact of forest biomass harvest. Sci. Total Environ. 2018, 615, 581–587. [Google Scholar] [CrossRef]
- Zeman, F.S.; Keith, D.W. Carbon neutral hydrocarbons. Philos. Trans. R. Soc. A Math. Phys. Eng. Sci. 2008, 366, 3901–3918. [Google Scholar] [CrossRef] [PubMed]
- Ragauskas, A.J.; Williams, C.K.; Davison, B.H.; Britovsek, G.; Cairney, J.; Eckert, C.A.; Frederick, W.J.; Hallett, J.P.; Leak, D.J.; Liotta, C.L.; et al. The path forward for biofuels and biomaterials. Science 2006, 311, 484–489. [Google Scholar] [CrossRef] [PubMed]
- Jeong, J.S.; García-Moruno, L.; Hernández-Blanco, J.; Sánchez-Ríos, A.; Ramírez-Gómez, Á. Identifying priority areas for rural housing development using the participatory multi-criteria and contingent valuation methods in Alange reservoir area, Central Extremadura (Spain). J. Rural. Stud. 2017, 50, 117–128. [Google Scholar] [CrossRef]
- Oliveira, N.; Forest, S.; Group, M. Poplar short rotation coppice plantations under Mediterranean conditions: The case of Spain. What has been done and what hasn’t ? Forests 2020, 111, 1–43. [Google Scholar]
- Stanton, B.J.; Serapiglia, M.J.; Smart, L.B. The domestication and conservation of Populus and Salix genetic resources. In Poplars and Willows: Trees for Society and the Environment; CABI Publishing: Wallingford, UK, 2014; pp. 124–199. [Google Scholar]
- Stanton, B.J.; Neale, D.B.; Li, S. Genetics and Genomics of Populus. In Populus Breeding: From the Classical to the Genomic Approach; Springrer: Berlin/Heidelberg, Germany, 2010; pp. 309–348. ISBN 9781441915412. [Google Scholar]
- Clifton-Brown, J.; Harfouche, A.; Casler, M.D.; Dylan Jones, H.; Macalpine, W.J.; Murphy-Bokern, D.; Smart, L.B.; Adler, A.; Ashman, C.; Awty-Carroll, D.; et al. Breeding progress and preparedness for mass-scale deployment of perennial lignocellulosic biomass crops switchgrass, miscanthus, willow and poplar. GCB Bioenergy 2019, 11, 118–151. [Google Scholar] [CrossRef] [PubMed]
- Niemczyk, M.; Thomas, B.R. Growth parameters and resistance to Sphaerulina musiva-induced canker are more important than wood density for increasing genetic gain from selection of Populus spp. hybrids for northern climates. Ann. Sci. 2020, 77, 1–14. [Google Scholar] [CrossRef]
- Desch, H.E.; Dinwoodie, J.M.; Desch, H.E.; Dinwoodie, J.M. Density of Wood. Timber Struct. Prop. Convers. Use 1996, 77–80. [Google Scholar] [CrossRef]
- Mudryk, K.; Jewiarz, M.; Wróbel, M.; Niemiec, M.; Dyjakon, A. Evaluation of Urban Tree Leaf Biomass-Potential, Physico-Mechanical and Chemical Parameters of Raw Material and Solid Biofuel. Energies. Energies 2021, 14, 818. [Google Scholar] [CrossRef]
- Sabatti, M.; Fabbrini, F.; Harfouche, A.; Beritognolo, I.; Mareschi, L.; Carlini, M.; Paris, P.; Scarascia-Mugnozza, G. Evaluation of biomass production potential and heating value of hybrid poplar genotypes in a short-rotation culture in Italy. Ind. Crop. Prod. 2014, 61, 62–73. [Google Scholar] [CrossRef]
- Niemczyk, M.; Kaliszewski, A.; Jewiarz, M.; Wróbel, M.; Mudryk, K. Productivity and biomass characteristics of selected poplar (Populus spp.) cultivars under the climatic conditions of northern Poland. Biomass Bioenerg. 2018, 111, 46–51. [Google Scholar] [CrossRef]
- Kenney, W.A.; Sennerby-Forsse, L.; Layton, P. A review of biomass quality research relevant to the use of poplar and willow for energy conversion. Biomass 1990, 21, 163–188. [Google Scholar] [CrossRef]
- Chang, C.S. Measuring Density and Porosity of Grain Kernels Using a Gas Pycnometer. Cereal Chem. 1988, 65, 13–15. [Google Scholar]
- Adler, A.; Verwijst, T.; Aronsson, P. Estimation and relevance of bark proportion in a willow stand. Biomass Bioenerg. 2005, 29, 102–113. [Google Scholar] [CrossRef]
- Tharakan, P.J.; Volk, T.A.; Abrahamson, L.P.; White, E.H. Energy feedstock characteristics of willow and hybrid poplar clones at harvest age. Biomass Bioenerg. 2003, 25, 571–580. [Google Scholar] [CrossRef]
- Holt, D.; Murphy, W. Properties of hybrid poplar juvenile wood affected by silvicultural treatments. Wood Sci. 1978, 10, 198–203. [Google Scholar]
- Yanchuk, A.D.; Dancik, B.P.; Micko, M.M. Variation And Heritability Of Wood Density And Fiber Length Of Trembling Aspen In Alberta, Canada. Silvae Genet. 1984, 33, 11–16. [Google Scholar]
- Sennerby-Forsse, L. Clonal variation of wood specific gravity, moisture content, and stem bark percentage in 1-year-old shoots of 20 fast-growing Salix clones. Can. J. Res. 1985, 15, 531–534. [Google Scholar] [CrossRef]
- Mosseler, A.; Zsuffa, L.; Stoehr, M.U.; Kenney, W.A. Variation in biomass production, moisture content, and specific gravity in some North American willows (Salix L.). Can. J. Res. 1988, 18, 1535–1540. [Google Scholar] [CrossRef]
- Fréjaville, T.; Garzón, M.B. The EuMedClim database: Yearly climate data (1901–2014) of 1 km resolution grids for Europe and the Mediterranean Basin. Front. Ecol. Evol. 2018, 6, 1–5. [Google Scholar] [CrossRef]
- Matchavariani, L. The Soils of Geargia; Springer: Berlin/Heidelberg, Germany, 2019; ISBN 9783030185084. [Google Scholar]
- Gambashidze, G. (Research Division of Soil Fertility in the LEPP, Scientific-Research Center of Agriculture, Tbilisi, Georgia). Personal communication, 2018.
- Sit, V.; Poulin-Costello, M. Catalogue of curves for curve fitting. In Biometrics Information; Handbook No 4; Ministry of Forest Research Program, Forest Science Research Branch Ministry of Forests 31 Bastion Square: Victoria, BC, Canada, 1994; p. 110. [Google Scholar]
- Klasnja, B.; Kopitovic, S.; Orlovic, S. Wood and bark of some poplar and willow clones as fuelwood. Biomass Bioenerg. 2002, 23, 427–432. [Google Scholar] [CrossRef]
- Tewari, V.P.; Mariswamy, K.M. Heartwood, sapwood and bark content of teak trees grown in Karnataka, India. J. Res. 2013, 24, 721–725. [Google Scholar] [CrossRef]
- Łapczyńska-Kordon, B.; Krzysztofik, B.; Sobol, Z. Quality of dried cauliflower according to the methods and drying parameters. Biol. Web. Conf. 2018, 10, 02017. [Google Scholar] [CrossRef]
- International Organization for Standardization. EN ISO 14780:2017 Solid Biofuels—Sample Preparation; International Organization for Standardization: Geneva, Switzerland, 2017. [Google Scholar]
- International Organization for Standardization. EN ISO 18122:2015 Solid Biofuels—Determination of Ash Content; International Organization for Standardization: Geneva, Switzerland, 2015. [Google Scholar]
- International Organization for Standardization. EN ISO 18125:2017 Solid Biofuels—Determination of Calorific Value; International Organization for Standardization: Geneva, Switzerland, 2017. [Google Scholar]
- Perea-Moreno, A.J.; Aguilera-Ureña, M.J.; Manzano-Agugliaro, F. Fuel properties of avocado stone. Fuel 2016, 186, 358–364. [Google Scholar] [CrossRef]
- Khan, A.A.; de Jong, W.; Jansens, P.J.; Spliethoff, H. Biomass combustion in fluidized bed boilers: Potential problems and remedies. Fuel Process. Technol. 2009, 90, 21–50. [Google Scholar] [CrossRef]
- European Commission. Council Regulation (EC) No 440/2008 Laying Down Test Methods Pursuant to Regulation (EC) No 1907/2006 of the European Parliament and of the Council on the Registration, Evaluation, Authorisation and Restriction of Chemicals (REACH); European Commission: Brussels, Belgium, 2008; Volume 51, pp. 3–741. [Google Scholar]
- TIBCO Software Inc. Statistica (Data Analysis Software System), version 13; TIBCO Software Inc.: Palo Alto, CA, USA, 2017. [Google Scholar]
- Nassi o Di Nasso, N.; Guidi, W.; Ragaglini, G.; Tozzini, C.; Bonari, E. Biomass production and energy balance of a 12-year-old short-rotation coppice poplar stand under different cutting cycles. GCB Bioenergy 2010, 2, 89–97. [Google Scholar] [CrossRef]
- Manzone, M.; Calvo, A. Energy and CO2 analysis of poplar and maize crops for biomass production in north Italy. Renew. Energy 2016, 86, 675–681. [Google Scholar] [CrossRef]
- Manzone, M.; Airoldi, G.; Balsari, P. Energetic and economic evaluation of a poplar cultivation for the biomass production in Italy. Biomass Bioenerg. 2009, 33, 1258–1264. [Google Scholar] [CrossRef]
- Testa, R.; Di Trapani, A.M.; Foderà, M.; Sgroi, F.; Tudisca, S. Economic evaluation of introduction of poplar as biomass crop in Italy. Renew. Sustain. Energy Rev. 2014, 38, 775–780. [Google Scholar] [CrossRef]
- Ghezehei, S.B.; Nichols, E.G.; Maier, C.A.; Hazel, D.W. Adaptability of populus to physiography and growing conditions in the southeastern USA. Forests 2019, 10, 118. [Google Scholar] [CrossRef]
- Ghezehei, S.B.; Shifflett, S.D.; Hazel, D.W.; Nichols, E.G. SRWC bioenergy productivity and economic feasibility on marginal lands. J. Environ.Manag. 2015, 160, 57–66. [Google Scholar] [CrossRef] [PubMed]
- Ghezehei, S.B.; Wright, J.; Zalesny, R.S.; Nichols, E.G.; Hazel, D.W. Matching site-suitable poplars to rotation length for optimized productivity. Ecol. Manag. 2020, 457, 117670. [Google Scholar] [CrossRef]
- Dillen, S.; Vanbeveren, S.; Al Afas, N.; Laureysens, I.; Croes, S.; Ceulemans, R. Biomass production in a 15-year-old poplar short-rotation coppice culture in Belgium. Asp. Appl. Biol. 2011, 112, 99–106. [Google Scholar]
- Vanbeveren, S.P.P.; Ceulemans, R. Genotypic differences in biomass production during three rotations of short-rotation coppice. Biomass Bioenerg. 2018, 119, 198–205. [Google Scholar] [CrossRef]
- Paris, P.; Mareschi, L.; Sabatti, M.; Pisanelli, A.; Ecosse, A.; Nardin, F.; Scarascia-Mugnozza, G. Comparing hybrid Populus clones for SRF across northern Italy after two biennial rotations: Survival, growth and yield. Biomass Bioenerg. 2011, 35, 1524–1532. [Google Scholar] [CrossRef]
- Lafortezza, R.; Chen, J.; Sanesi, G.; Crow, T.R. Patterns and Processes in Forest Landscapes Multiple; Springer: Berlin/Heidelberg, Germany, 2008; ISBN 9781402085031. [Google Scholar]
- FAO. A framework for land valuation. In FAO Soil Bulletin 32; FAO: Rome, Italy, 1976. [Google Scholar]
- Guidi, W.; Piccioni, E.; Ginanni, M.; Bonari, E. Bark content estimation in poplar (Populus deltoides L.) short-rotation coppice in Central Italy. Biomass Bioenerg. 2008, 32, 518–524. [Google Scholar] [CrossRef]
- Sannigrahi, P.; Ragauskas, A.J.; Tuskan, G.A. Poplar as a feedstock for biofuels: A review of compositional characteristics. Biofuels Bioprod. Biorefining 2010, 4, 209–226. [Google Scholar] [CrossRef]
- Brown, R.C.; Brown, T.R. Biorenewable Resources Engineering New Products from Agriculture, 2nd ed.; Wiley Blackwell: Hoboken, NJ, USA, 2004; Volume 33, ISBN 9781118524954. [Google Scholar]
- Callejón-Ferre, A.J.; Carreño-Sánchez, J.; Suárez-Medina, F.J.; Pérez-Alonso, J.; Velázquez-Martí, B. Prediction models for higher heating value based on the structural analysis of the biomass of plant remains from the greenhouses of Almería (Spain). Fuel 2014, 116, 377–387. [Google Scholar] [CrossRef]
- Álvarez, A.; Pizarro, C.; García, R.; Bueno, J.L. Spanish biofuels heating value estimation based on structural analysis. Ind. Crop. Prod. 2015, 77, 983–991. [Google Scholar] [CrossRef]
- International Organization for Standardization. EN ISO 17225-1:2014 Solid Biofuels—Fuel Specifications and Classes—Part 1: General Requirements; International Organization for Standardization: Geneva, Switzerland, 2014. [Google Scholar]
- Dzurenda, L.; Banski, A.; Dzurenda, M. Energetic properties of green wood chips from Salix Viminalis grown on plantations. Sci. Agric. Bohem. 2014, 2014, 44–49. [Google Scholar] [CrossRef]
- Nosek, R.; Holubcik, M.; Jandacka, J. The impact of bark content of wood biomass on biofuel properties. BioResources 2016, 11, 44–53. [Google Scholar] [CrossRef]
- Hytönen, J.; Nurmi, J. Heating value and ash content of intensively managed stands. Wood Res. 2015, 60, 71–82. [Google Scholar]
- Filbakk, T.; Jirjis, R.; Nurmi, J.; Høibø, O. The effect of bark content on quality parameters of Scots pine (Pinus sylvestris L.) pellets. Biomass Bioenerg. 2011, 35, 3342–3349. [Google Scholar] [CrossRef]
- Karbowniczak, A.; Hamerska, J.; Wróbel, M.; Jewiarz, M.; Nęcka, K. Evaluation of selected species of woody plants in terms of suitability for energy production. In Renewable Energy Sources: Engineering, Technology, Innovation; Springer: Berlin/Heidelberg, Germany, 2018; pp. 735–742. [Google Scholar]
- Anderson, H.W.; Zsuffa, L. Genetically improved hardwoods as a potential energy source in Ontario. In Energy Developments: New Forms, Renewables, Conservation; Elsevier: Amsterdam, The Netherlands, 1984; pp. 211–214. [Google Scholar]
- Öhman, M.; Boman, C.; Hedman, H.; Nordin, A.; Boström, D. Slagging tendencies of wood pellet ash during combustion in residential pellet burners. Biomass Bioenerg. 2004, 27, 585–596. [Google Scholar] [CrossRef]




| Climatic Variable (Unit) | Value |
|---|---|
| Annual mean temperature (°C) | 11.89 |
| Mean diurnal temperature range (°C) | 11.02 |
| Maximal temperature of the warmest month (°C) | 29.59 |
| Minimal temperature of the coldest month (°C) | −4.50 |
| Annual precipitation (mm) | 632.45 |
| Precipitation of the wettest month (mm) | 101.03 |
| Precipitation of the driest month (mm) | 22.84 |
| Winter mean temperature (December, January, February; °C) | 1.11 |
| Summer mean temperature (June, July, August; °C) | 22.46 |
| Winter precipitation (December, January, February; mm) | 81.65 |
| Summer precipitation (June, July, August; mm) | 195.19 |
| Annual potential evapotranspiration (mm) | 1048.41 |
| Annual water balance (precipitation minus potential evapotranspiration; mm) | −410.81 |
| Minimal monthly water balance (mm) | −117.15 |
| Maximal monthly water balance (mm) | 21.73 |
| Name | Source | Parentage | Sex |
|---|---|---|---|
| 89.M.061 | PFGFTRI | P. deltoides × P. deltoides | ♀ |
| 89.M.004 | PFGFTRI | P. deltoides × P. deltoides | ♀ |
| Kocabey (TR—77/10) | PFGFTRI | P. nigra L. | ♀ |
| AF8 | Alasia Company | P. generosa 103-86 × P. trichocarpa PEE | ♀ |
| P. pyramidalis (control) | Georgia | P. pyramidalis | ♀ |
| Parameter | Standard/Method | Equipment | Required Repeatability | Reached Repeatability | Standard Deviation |
|---|---|---|---|---|---|
| SD | quasi-fluid method | Pycnometer GeoPyc 1360 | Not defined | - | 0.02 |
| AD | gas method using helium | Pycnometer AccuPyc II 1340 | Not defined | - | 0.03 |
| Ad | EN ISO 18122 | muffle furnace Czylok FCF 7SM | A < 1%—0.1% absolute A > 1%—10% relative | Max. 0.06% Max. 2.2% | |
| HV | EN ISO 18125 | calorimeter IKA C6000 | 120 J g−1 | Max. 98 J g−1 | |
| TSI | Commission Regulation (EC) No. 440/2008 | laboratory oven Czylok FCF 2R/TZ-BM | Not defined | - | 3.2 |
| Clone | Sw (%) | Sb (%) | Ad (%) | HHV (J g−1) | LHV (J g−1) | TSI (°C) | SD (kg m−3) |
|---|---|---|---|---|---|---|---|
| 89.M.004 | 71.8 | 28.2 | 3.1 | 18,997 | 17,708 | 238 | 507 |
| 89.M.061 | 75.1 | 24.9 | 3.7 | 19,050 | 17,758 | 232 | 481 |
| AF8 | 74.4 | 25.6 | 2.6 | 19,103 | 17,849 | 245 | 588 |
| Kocabey | 76.7 | 23.3 | 3.1 | 18,985 | 17,716 | 244 | 522 |
| P. pyramidalis | 62.3 | 37.7 | 4.5 | 18,922 | 17,642 | 236 | 572 |
| Height (cm) | DBH (mm) | Survival (%) | Sb (%) | Ad (%) | LHV (J g−1) | TSI (°C) | |
|---|---|---|---|---|---|---|---|
| DBH (mm) | 0.82 | 1.00 | −0.39 | −0.77 | −0.42 | 0.45 | −0.22 |
| Survival (%) | 0.17 | −0.39 | 1.00 | −0.20 | −0.63 | 0.29 | 0.98 |
| Sb (%) | −0.88 | −0.77 | −0.20 | 1.00 | 0.73 | −0.66 | −0.36 |
| Ad (%) | −0.86 | −0.42 | −0.63 | 0.73 | 1.00 | −0.72 | −0.76 |
| LHV (J g−1) | 0.66 | 0.45 | 0.29 | −0.66 | −0.72 | 1.00 | 0.44 |
| TSI (°C) | 0.34 | −0.22 | 0.98 | −0.36 | −0.76 | 0.44 | 1.00 |
| SD (kg m−3) | −0.42 | −0.79 | 0.63 | 0.45 | −0.08 | 0.17 | 0.56 |
| Trait | PC1 | PC2 |
|---|---|---|
| Height | 0.93 | −0.29 |
| DBH | 0.64 | −0.77 |
| Survival | 0.44 | 0.86 |
| Sb | −0.91 | 0.28 |
| Ad | −0.95 | −0.24 |
| LHV | 0.79 | 0.10 |
| TSI | 0.60 | 0.77 |
| SD | −0.15 | 0.92 |
Publisher’s Note: MDPI stays neutral with regard to jurisdictional claims in published maps and institutional affiliations. |
© 2021 by the authors. Licensee MDPI, Basel, Switzerland. This article is an open access article distributed under the terms and conditions of the Creative Commons Attribution (CC BY) license (https://creativecommons.org/licenses/by/4.0/).
Share and Cite
Niemczyk, M.; Bachilava, M.; Wróbel, M.; Jewiarz, M.; Kavtaradze, G.; Goginashvili, N. Productivity and Biomass Properties of Poplar Clones Managed in Short-Rotation Culture as a Potential Fuelwood Source in Georgia. Energies 2021, 14, 3016. https://doi.org/10.3390/en14113016
Niemczyk M, Bachilava M, Wróbel M, Jewiarz M, Kavtaradze G, Goginashvili N. Productivity and Biomass Properties of Poplar Clones Managed in Short-Rotation Culture as a Potential Fuelwood Source in Georgia. Energies. 2021; 14(11):3016. https://doi.org/10.3390/en14113016
Chicago/Turabian StyleNiemczyk, Marzena, Margalita Bachilava, Marek Wróbel, Marcin Jewiarz, Giorgi Kavtaradze, and Nani Goginashvili. 2021. "Productivity and Biomass Properties of Poplar Clones Managed in Short-Rotation Culture as a Potential Fuelwood Source in Georgia" Energies 14, no. 11: 3016. https://doi.org/10.3390/en14113016
APA StyleNiemczyk, M., Bachilava, M., Wróbel, M., Jewiarz, M., Kavtaradze, G., & Goginashvili, N. (2021). Productivity and Biomass Properties of Poplar Clones Managed in Short-Rotation Culture as a Potential Fuelwood Source in Georgia. Energies, 14(11), 3016. https://doi.org/10.3390/en14113016

