Omnidirectional WPT and Data Communication for Electric Air Vehicles: Feasibility Study
Abstract
1. Introduction
2. Omnidirectional WPT and Data Communication
2.1. Wireless Charging Concept with Omnidirectional Magnetic Field
2.2. Design for Broadband Communication
3. Current Omnidirectional WPT Prototypes
4. Characterization of Omnidirectional WPT Transceivers via Resonant Inductive Coupling
4.1. Magnetic Fields Distribution Finite Element Simulation
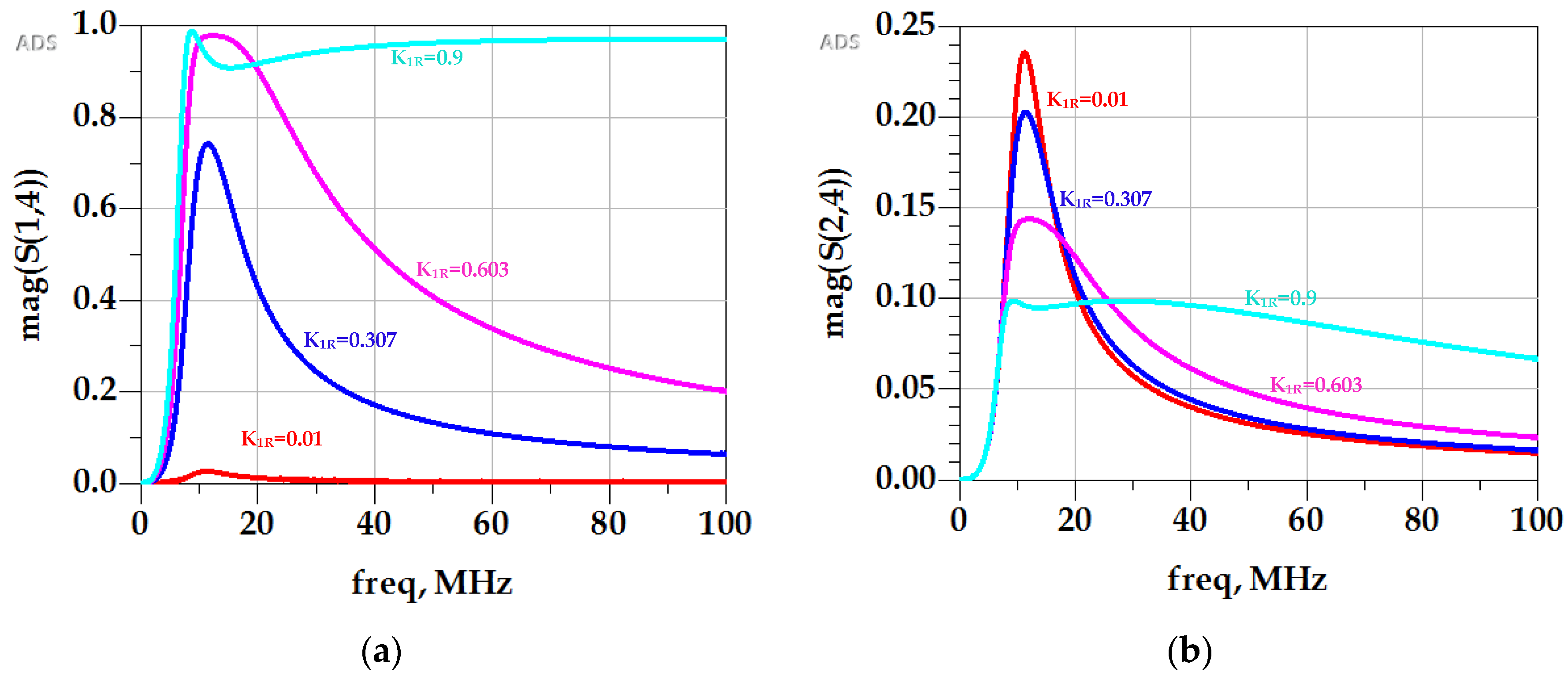
4.2. Dependency on the Coupling Coefficients , , and the Misalignment Angle
4.3. Dependency on the Coupling Coefficients , , and the Misalignment Angle
- -
- , represent the transmission gain between the first transmitter (Tx1) and the receiver (Rx) with the coupling coefficient .
- -
- , represent the transmission gain between the first transmitter (Tx1) and the receiver (Rx) with the coupling coefficient .
- -
- , represent the transmission gain between the first transmitter (Tx1) and the receiver (Rx) with the coupling coefficient .
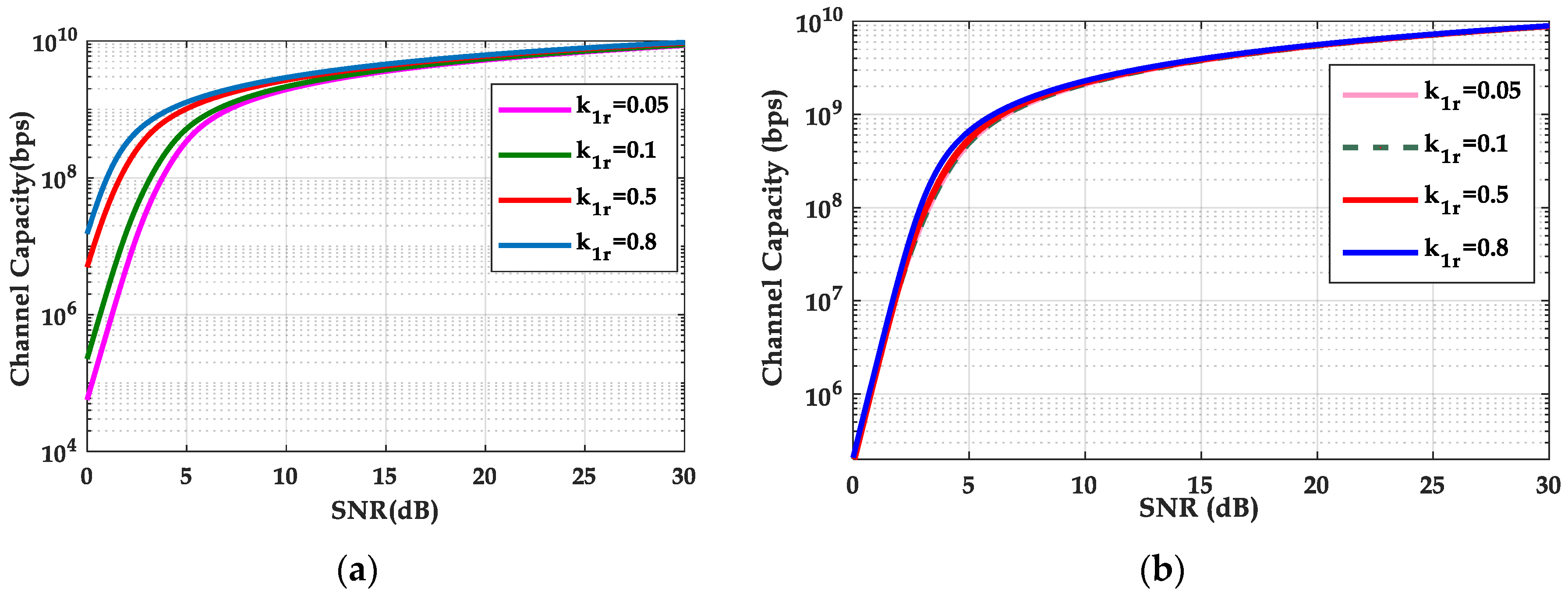
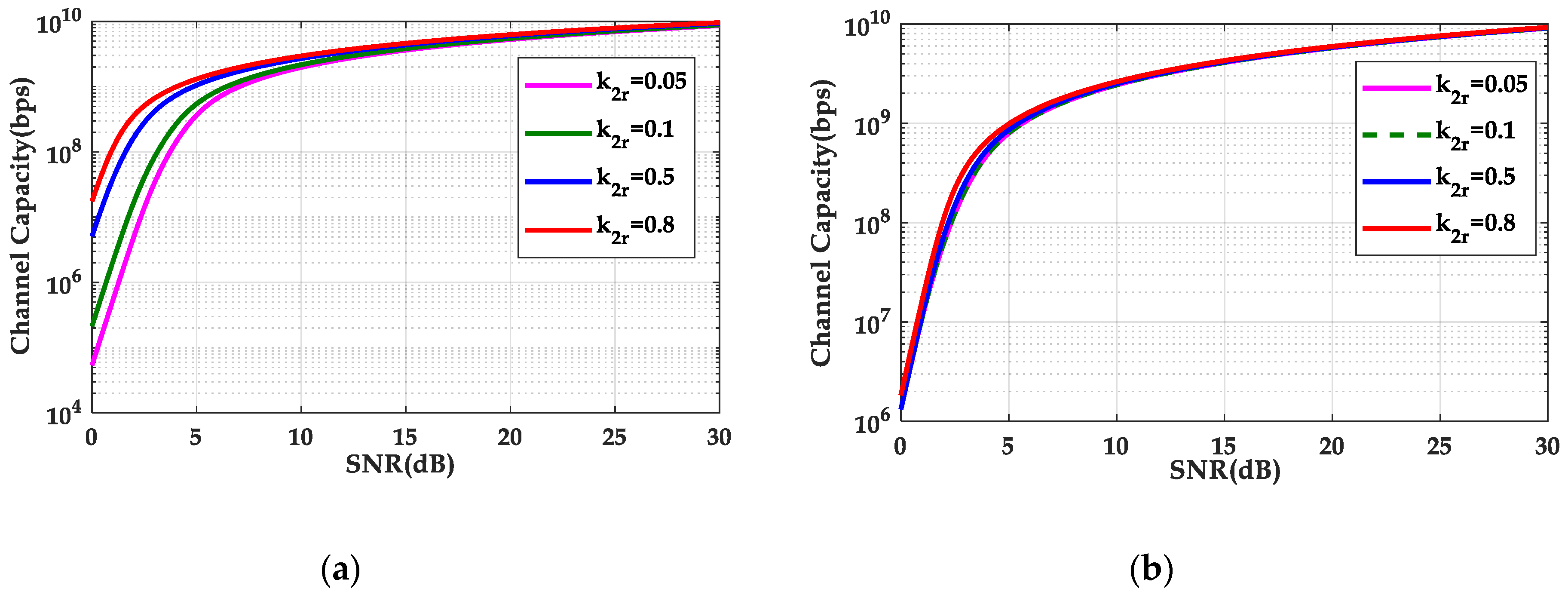
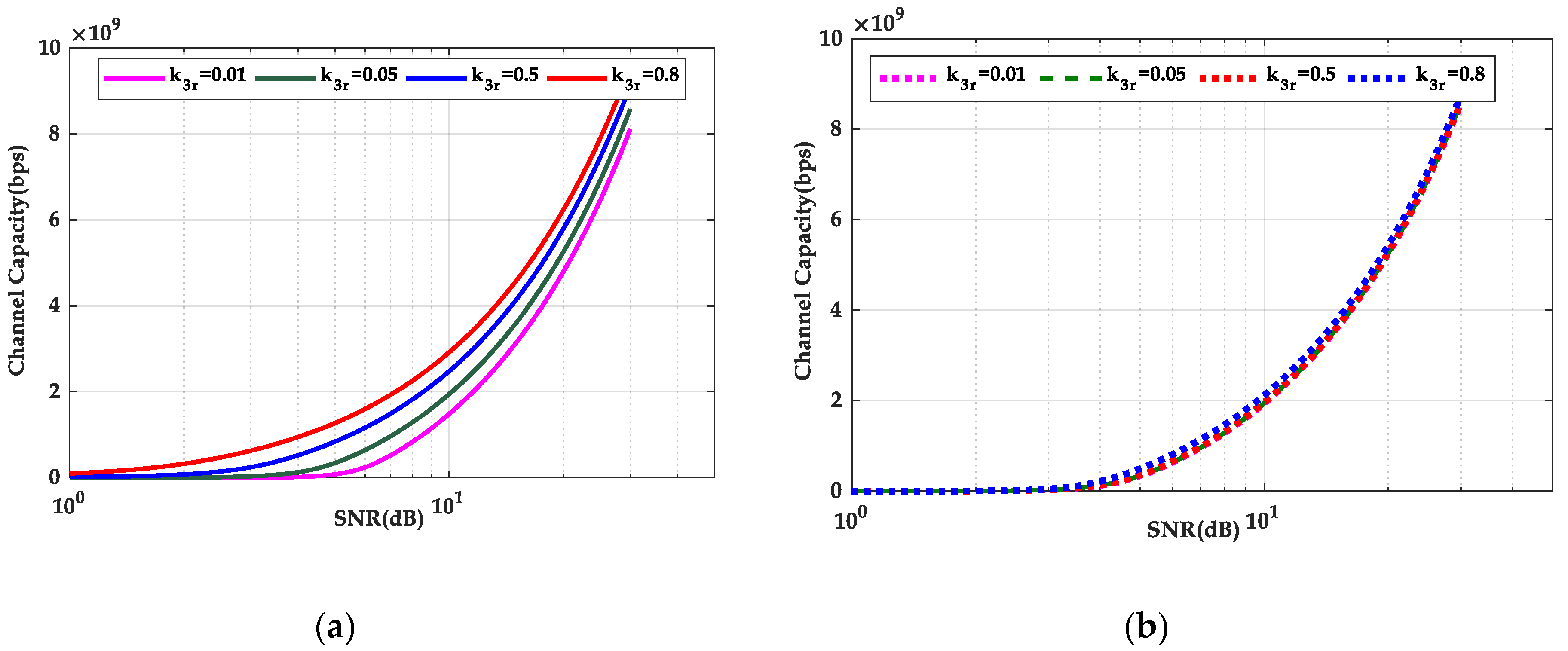
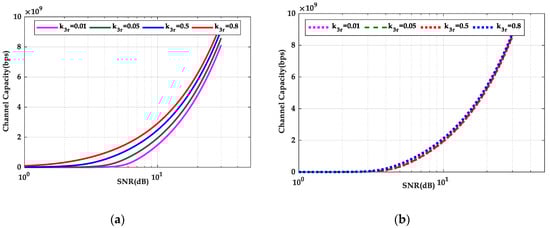
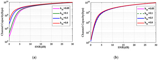
4.4. Channel Capacity Evaluation
5. Conclusions
Author Contributions
Funding
Acknowledgments
Conflicts of Interest
List of Symbols
| Q | Quality factor |
| The mutual inductance | |
| The coupling coefficient | |
| Vacuum permeability | |
| Radius of the coil | |
| Number of turns of the coil | |
| Magnetic field | |
| Channel capacity | |
| Load resistance | |
| Source resistance | |
| Parasitic resistance of the receiver | |
| Capacitance of the receivers | |
| Capacitance of the transmitters | |
| Parasitic resistances | |
| Coupling coefficients between the transmitters and the receiver | |
| Inductance of the transmitters | |
| Inductance of the receivers | |
| Misalignment angle between the transmitters and the receiver | |
| Power efficiency | |
| Operating frequency | |
| Input power | |
| Output power | |
| Nomenclature | |
| ADS | advanced design system |
| AEA | all-electric aircraft |
| BPL | broadband over power line |
| BW | the channel bandwidth |
| CEMD | consumer electronic medical devices |
| EMF | electromagnetic field |
| EMI | electromagnetic interferences |
| EV | electric vehicle |
| PLC | power line communication |
| RX | the receiver |
| SNR | signal to noise ratio |
| TX | the transmitter |
| UAV | unmanned aerial vehicle |
| UEs | user equipment |
| WPT | wireless power transfer |
References
- Melício, R.; Mendes, V.M.F.; Catalão, J.P. Modeling and Simulation of Wind Energy Systems with Matrix and Multilevel Power Converters. IEEE Lat. Am. Trans. 2009, 7, 78–84. [Google Scholar] [CrossRef]
- Seixas, M.; Melicio, R.; Mendes, V.M.F. Fifth harmonic and sag impact with a balancing new strategy for capacitor voltages. Energy Convers. Manag. 2014, 79, 721–730. [Google Scholar] [CrossRef]
- Batista, N.C.; Melicio, R.; Matias, J.C.O.; Catalão, J.P.S. ZigBee standard in the creation of wireless networks for advanced metering infrastructures. In Proceedings of the 16th IEEE Mediterranean Electrotechnical Conference (MELECON), Yasmine Hammamet, Tunisia, 25–28 March 2012; pp. 220–223. [Google Scholar]
- Gomes, I.; Pousinho, H.; Melíco, R.; Mendes, V. Bidding and Optimization Strategies for Wind-PV Systems in Electricity Markets Assisted by CPS. Energy Procedia 2016, 106, 111–121. [Google Scholar] [CrossRef]
- Rana, M.; Xiang, W.; Wang, E.; Li, X.; Choi, B.J. Internet of Things Infrastructure for Wireless Power Transfer Systems. IEEE Access 2018, 6, 19295–19303. [Google Scholar] [CrossRef]
- Uchida, A.; Matsui, K.; Shimokawa, S.; Oshima, H. Three-dimensional wireless power transfer method to realize efficient charging of IoT devices. Fujitsu Sci. Tech. J. 2017, 53, 51–56. [Google Scholar]
- Li, S.; Mi, C.C. Wireless Power Transfer for Electric Vehicle Applications. IEEE J. Emerg. Sel. Top. Power Electron. 2015, 3, 4–17. [Google Scholar] [CrossRef]
- Goh, S.T.; Zekavat, S.R. All electric aircraft mid-air recharging via wireless power transfer: Battery requirement study. In Proceedings of the 6th IEEE International Conference on Wireless for Space and Extreme Environments (WiSEE), Huntsville, AL, USA, 11–13 December 2018; pp. 212–217. [Google Scholar]
- Bacelar, T.; Madeiras, J.; Melicio, R.; Cardeira, C.; Oliveira, P. On-board implementation and experimental validation of collaborative transportation of loads with multiple UAVs. Aerosp. Sci. Technol. 2020, 107, 106284. [Google Scholar] [CrossRef]
- Simon, M.J.; Langer, C.; Rubin, S.; Komush, D.; Maciuca, D.B. Wireless power transfer for responsive space applications. In Proceedings of the AIAA Space 2009 Conference & Exposition, Pasadena, CA, USA, 14–17 September 2009; pp. 1–11. [Google Scholar]
- Dghais, W.; Alam, M. Wireless Power Transfer and In-Vehicle Networking Integration for Energy-Efficient Electric Vehicles. Mob. Netw. Appl. 2016, 23, 1151–1164. [Google Scholar] [CrossRef]
- Baikova, E.N.; Valtchev, S.S.; Melicio, R.; Pires, V.F.; Krusteva, A.; Gigov, G. Study on electromagnetic emissions from wireless energy transfer. In Proceedings of the IEEE International Power Electronics and Motion Control Conference (PEMC), Varna, Bulgaria, 25–30 September 2016; pp. 492–497. [Google Scholar]
- Baikova, E.N.; Valtchev, S.S.; Melicio, R.; Pires, V.F.; Krusteva, A.; Gigov, G. Wireless power transfer impact on data channel. In Proceedings of the IEEE International Symposium on Power Electronics, Electrical Drives, Automation and Motion (SPEEDAM), Amalfi, Italy, 22–24 June 2016; pp. 853–858. [Google Scholar]
- Baikova, E.N.; Valtchev, S.; Melício, R.; Pires, V.M. Electromagnetic Interference from a Wireless Power Transfer System: Experimental Results. Renew. Energy Power Qual. J. 2016, 1, 1020–1024. [Google Scholar] [CrossRef]
- Baikova, E.N.; Romba, L.; Valtchev, S.; Melício, R.; Pires, V.F.; Krusteva, A.; Gigov, G. Electromagnetic field generated by a wireless energy transfer system: Comparison of simulation to measurement. J. Electromagn. Waves Appl. 2018, 32, 554–571. [Google Scholar] [CrossRef]
- Baikova, E.N.; Baikov, A.V.; Valtchev, S.S.; Melicio, R. Frequency Tuning of the resonant wireless energy transfer system. In Proceedings of the IEEE 45th Annual Conference of the Industrial Electronics Society (IECON 2019), Lisbon, Portugal, 14–17 October 2019; pp. 6615–6620. [Google Scholar]
- Romba, L.F.; Valtchev, S.S.; Melicio, R. Improving magnetic coupling for battery charging Proceedings. In Proceedings of the IEEE International Power Electronics and Motion Control Conference (PEMC 2016), Varna, Bulgaria, 25–30 September 2016; pp. 291–297. [Google Scholar]
- Wang, W.; Wang, H.; Li, Q.; Xu, J.; Meng, T.; Zhang, B.; Zhang, Z. Analysis and Compensation of Incomplete Coupling for Omnidirectional Wireless Power Transfer. Energies 2019, 12, 3277. [Google Scholar] [CrossRef]
- Romba, L.F.; Valtchev, S.S.; Melicio, R.; Mudrov, M.V.; Ziuzev, A.M. Electric vehicle battery charger controlled by magnetic core reactor to wireless power transfer system. In Proceedings of the IEEE 17th International Conference on Environment and Electrical Engineering (EEEIC), Milan, Italy, 6–9 June 2017; pp. 1–6. [Google Scholar]
- Romba, L.F.; Valtchev, S.S.; Melicio, R. Single-Phase Wireless Power Transfer System Controlled by Magnetic Core Reactors at Transmitter and Receiver; Technological Innovation for Smart Systems; Springer: Cham, Switzerland, 2017; pp. 419–428. [Google Scholar]
- Romba, L.F.; Baikova, E.N.; Borges, C.; Melicio, R.; Valtchev, S.S. Wireless Battery Charger for EV with Circular or Planar Coils: Comparison; Technological Innovation for Resilient Systems; Springer: Cham, Switzerland, 2018; pp. 214–223. [Google Scholar]
- Romba, L.F.; Valtchev, S.S.; Melicio, R. Three-phase magnetic field system for wireless energy transfer. In Proceedings of the IEEE International Symposium on Power Electronics Electrical Drives, Automation and Motion (SPEEDAM), Capri, Italy, 22–24 June 2016; pp. 73–78. [Google Scholar]
- Barmada, S.; Raugi, M.; Tucci, M. Power line communication integrated in a wireless power transfer system: A feasibility study. In Proceedings of the 18th IEEE International Symposium on Power Line Communications and Its Applications, Glasgow, UK, 30 March–2 April 2014; pp. 116–120. [Google Scholar]
- Barmada, S.; Dionigi, M.; Mezzanotte, P.; Tucci, M. Design and experimental characterization of a combined WPT—PLC system. Wirel. Power Transf. 2017, 4, 160–170. [Google Scholar] [CrossRef]
- Barmada, S.; Raugi, M.; Tucci, M.; Mezzanotte, P.; Dionigi, M. Combining WPT and PLC: A review. In Proceedings of the IEEE 2nd International Forum on Research and Technologies for Society and Industry Leveraging a Better Tomorrow (RTSI), Bologna, Italy, 7–9 September 2017; pp. 1–4. [Google Scholar]
- Zouaoui, S.; Souilem, M.; Dghais, W.; Radwan, A.; Barmada, S.; Tucci, M. Wireless power transfer and data communication cognitive radio through two-coil inductive channel. In Proceedings of the IEEE Global Communications Conference (GLOBECOM), Waikoloa, HI, USA, 9–13 December 2019; pp. 1–6. [Google Scholar]
- Barmada, S.; Tucci, M. Optimization of a magnetically coupled resonators system for power line communication integration. In Proceedings of the IEEE Wireless Power Transfer Conference (WPTC), Boulder, CO, USA, 13–15 May 2015; pp. 1–4. [Google Scholar]
- Barmada, S.; Tucci, M.; Fontana, N.; Dghais, W.; Raugi, M. Design and realization of a multiple accesswireless power transfer system for optimal power line communication data transfer. Energies 2019, 12, 988. [Google Scholar] [CrossRef]
- Houran, M.A.; Yang, X.; Chen, W. Magnetically Coupled Resonance WPT: Review of Compensation Topologies, Resonator Structures with Misalignment, and EMI Diagnostics. Electronics 2018, 7, 296. [Google Scholar] [CrossRef]
- Wang, J.; Hu, M.; Cai, C.; Lin, Z.; Li, L.; Fang, Z. Optimization design of wireless charging system for autonomous robots based on magnetic resonance coupling. AIP Adv. 2018, 8, 055004. [Google Scholar] [CrossRef]
- Feng, J.; Li, Q.; Lee, F.C. Omnidirectional wireless power transfer for portable devices. In Proceedings of the IEEE Applied Power Electronics Conference and Exposition (APEC), Tampa, FL, USA, 26–30 March 2017; pp. 1675–1681. [Google Scholar]
- Yan, Z.; Song, B.; Zhang, Y.; Zhang, K.H.; Mao, Z.; Hu, Y. A Rotation-Free Wireless Power Transfer System with Stable Output Power and Efficiency for Autonomous Underwater Vehicles. IEEE Trans. Power Electron. 2019, 34, 4005–4008. [Google Scholar] [CrossRef]
- Zhang, B.; Zhang, B.; Xiao, W.; Qiu, D.; Chen, Y.; Guan, J. Omnidirectional Wireless Power Transfer System Based on Rotary Transmitting Coil for Household Appliances. Energies 2018, 11, 878. [Google Scholar] [CrossRef]
- Lin, D.; Zhang, C.; Hui, S.Y.R. Two- and three-dimensional omnidirectional wireless power transfer. IEEE Trans. Power Electron. 2014, 29, 4470–4474. [Google Scholar] [CrossRef]
- Lin, D.; Zhang, C.; Hui, S.Y.R. Mathematical analysis of omnidirectional wireless power transfer part-I: Two-dimensional systems. IEEE Trans. Power Electron. 2016, 32, 625–633. [Google Scholar] [CrossRef]
- Narayanamoorthi, R.; Juliet, A.V. IoT-enabled home cage with three dimensional resonant wireless power and data transfer scheme for freely moving animal. IEEE Sens. J. 2018, 18, 8154–8161. [Google Scholar] [CrossRef]
- Huang, Y.; Zhang, C.; Hui, S.Y.R. Mathematic Analysis of Omnidirectional Wireless Power Transfer—Part-II Three-Dimensional Systems. IEEE Trans. Power Electron. 2016, 32, 613–624. [Google Scholar] [CrossRef]
- Feng, J.; Li, Q.; Lee, F.C. Coil and circuit design of omnidirectional wireless power transfer system for portable device application. In Proceedings of the IEEE Energy Conversion Congress and Exposition (ECCE), Portland, OR, USA, 23–27 September 2018; pp. 914–920. [Google Scholar]
- He, Z.; Wang, Y.; Ding, L.; Nie, X. Research on three-dimensional omnidirectional wireless power transfer system for subsea operation. In Proceedings of the IEEE Oceans 2017 Aberdeen Conference and Workshop, Aberdeen, UK, 19–22 June 2017; pp. 1–5. [Google Scholar]
- Power Line Communication-an Overview (pdf), ScienceDirect Topics. Available online: https://www.sciencedirect.com/topics/engineering/power-line-communication/pdf (accessed on 30 March 2020).
- Huang, X.; Qiang, H.; Huang, Z.; Sun, Y.; Li, J. The interaction research of smart grid and EV based wireless charging. In Proceedings of the IEEE Vehicle Power and Propulsion Conference (VPPC), Beijing, China, 15–18 October 2013; pp. 354–358. [Google Scholar]
- Pinomaa, A.; Ahola, J.; Kosonen, A.; Nuutinen, P. Homeplug green PHY for the LVDC PLC concept: Applicability study. In Proceedings of the IEEE International Symposium on Power Line Communications and Its Applications (ISPLC), Austin, TX, USA, 29 March–1 April 2015; pp. 205–210. [Google Scholar]
- Zhang, C.; Huang, Y.; Hui, S.Y. Basic Control Principles of Omni-Directional Wireless Power Transfer. IEEE Trans. Power Electron. 2015, 31, 1. [Google Scholar] [CrossRef]
- Aydin, E.; Kosesoy, Y.; Yildiriz, E.; Aydemir, M.T. Comparison of hexagonal and square coils for use in wireless charging of electric vehicle battery. In Proceedings of the IEEE International Symposium on Electronics and Telecommunications (ISETC), Timisoara, Romania, 8–9 November 2018; pp. 1–4. [Google Scholar]

















| Parameters | Values |
|---|---|
| , |
| Tx1-Rx | Tx2-Rx/Tx3-Rx | |||
|---|---|---|---|---|
Publisher’s Note: MDPI stays neutral with regard to jurisdictional claims in published maps and institutional affiliations. |
© 2020 by the authors. Licensee MDPI, Basel, Switzerland. This article is an open access article distributed under the terms and conditions of the Creative Commons Attribution (CC BY) license (http://creativecommons.org/licenses/by/4.0/).
Share and Cite
Zouaoui, S.; Dghais, W.; Melicio, R.; Belgacem, H. Omnidirectional WPT and Data Communication for Electric Air Vehicles: Feasibility Study. Energies 2020, 13, 6480. https://doi.org/10.3390/en13246480
Zouaoui S, Dghais W, Melicio R, Belgacem H. Omnidirectional WPT and Data Communication for Electric Air Vehicles: Feasibility Study. Energies. 2020; 13(24):6480. https://doi.org/10.3390/en13246480
Chicago/Turabian StyleZouaoui, Safa, Wael Dghais, Rui Melicio, and Hamdi Belgacem. 2020. "Omnidirectional WPT and Data Communication for Electric Air Vehicles: Feasibility Study" Energies 13, no. 24: 6480. https://doi.org/10.3390/en13246480
APA StyleZouaoui, S., Dghais, W., Melicio, R., & Belgacem, H. (2020). Omnidirectional WPT and Data Communication for Electric Air Vehicles: Feasibility Study. Energies, 13(24), 6480. https://doi.org/10.3390/en13246480

