The Integrated Component-System Optimization of a Typical Thermal Management System by Combining Empirical and Heat Current Methods
Abstract
1. Introduction
2. The Structure of a Typical Double-Loop Thermal Management System
3. The Integrated Component-System Synergy Model of Heat Transfer
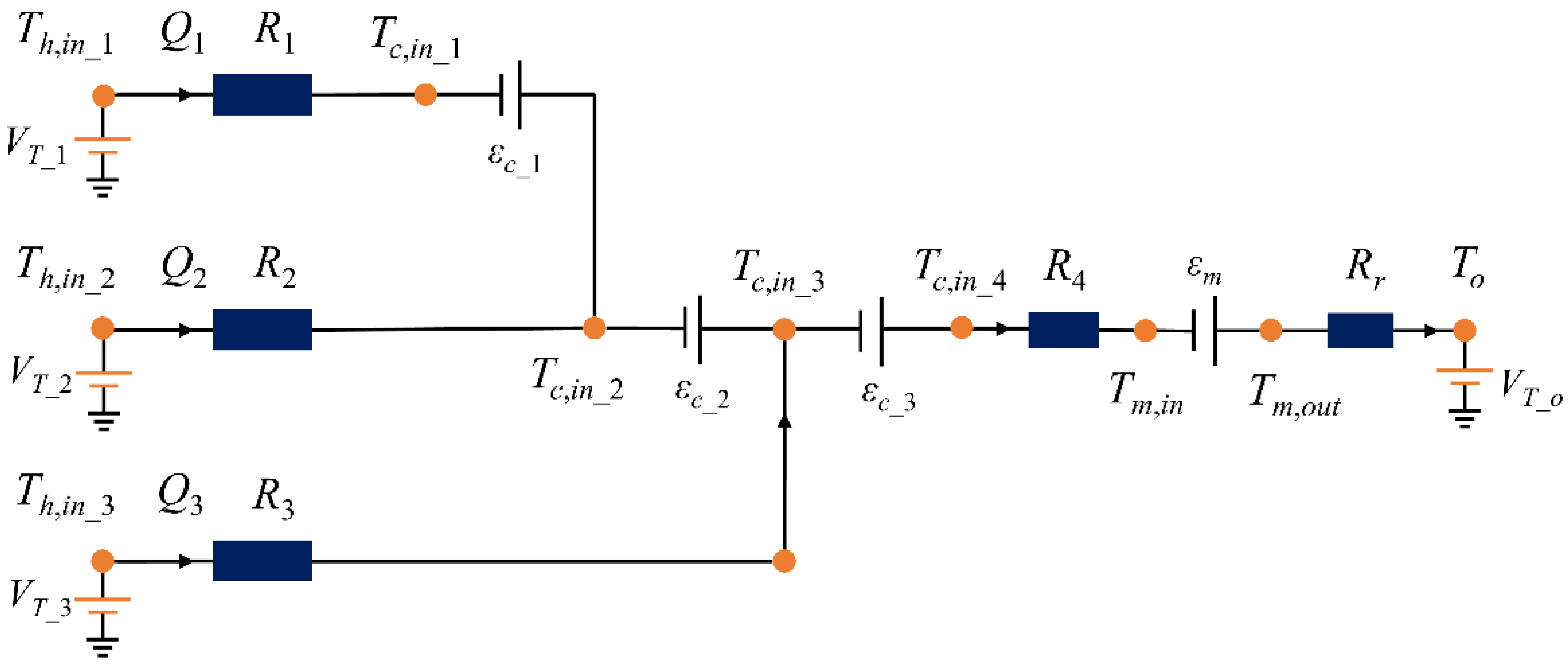
3.1. The Overall Heat Current Layout of the Thermal Management System
3.2. A Cross-Flow Plate-Fin Heat Exchanger (HX1)
3.3. Double-Pipe Counter-Flow Heat Exchangers (HX2, HX3, and HX4)
3.4. A Cooling-Plate Heat Exchanger (HXr)
4. Optimization Model and Process
4.1. Optimization Objective
4.2. Optimization Process
5. Synergy Optimization Results and Discussions
5.1. The Simulation Calculation Cases
5.2. Synergy Optimization Results
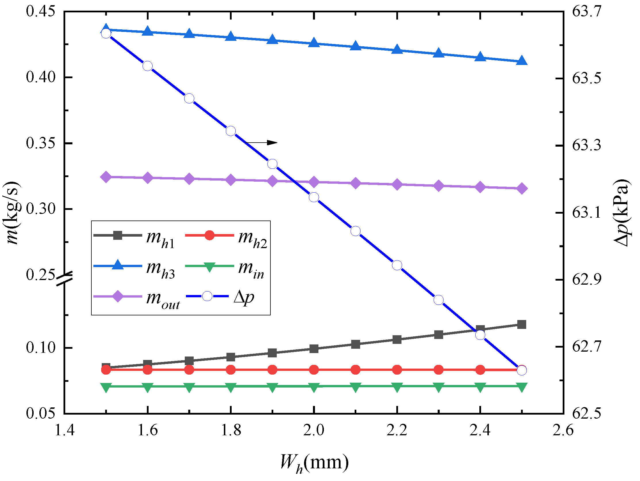
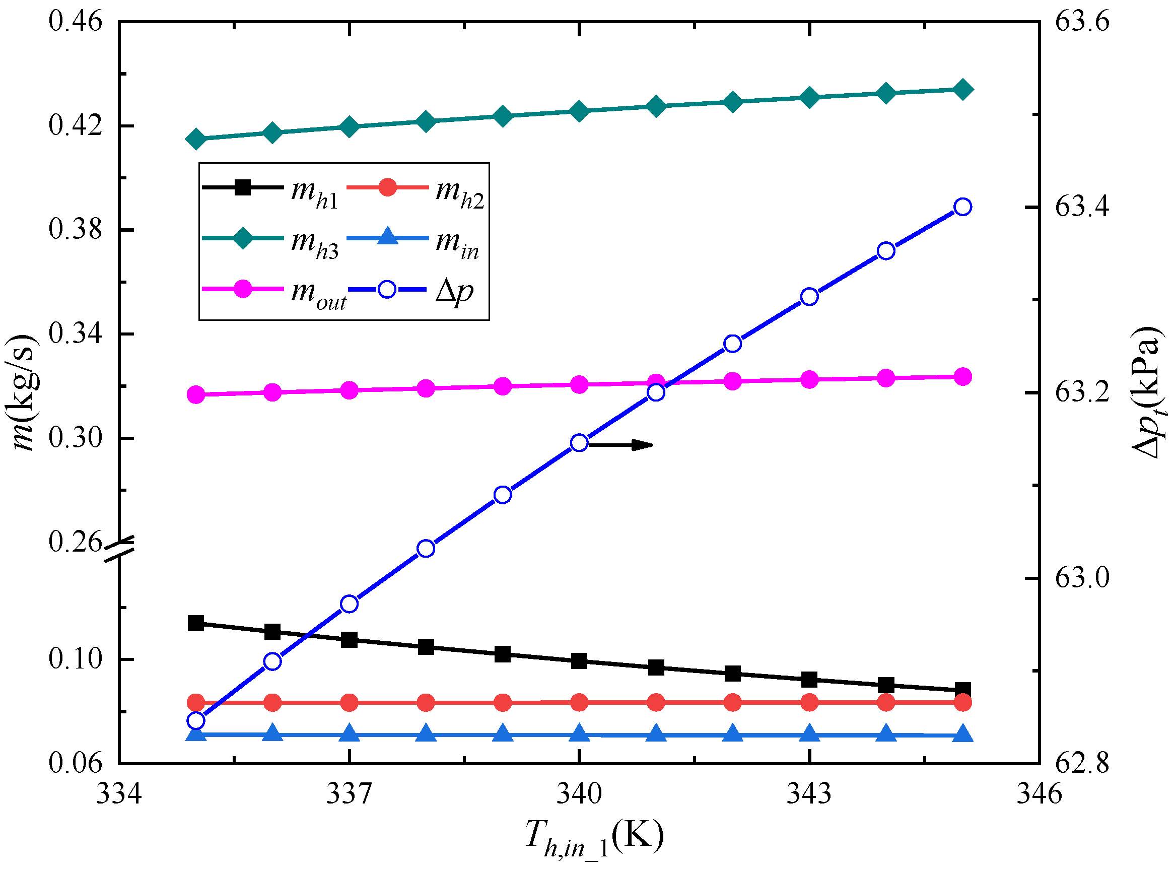
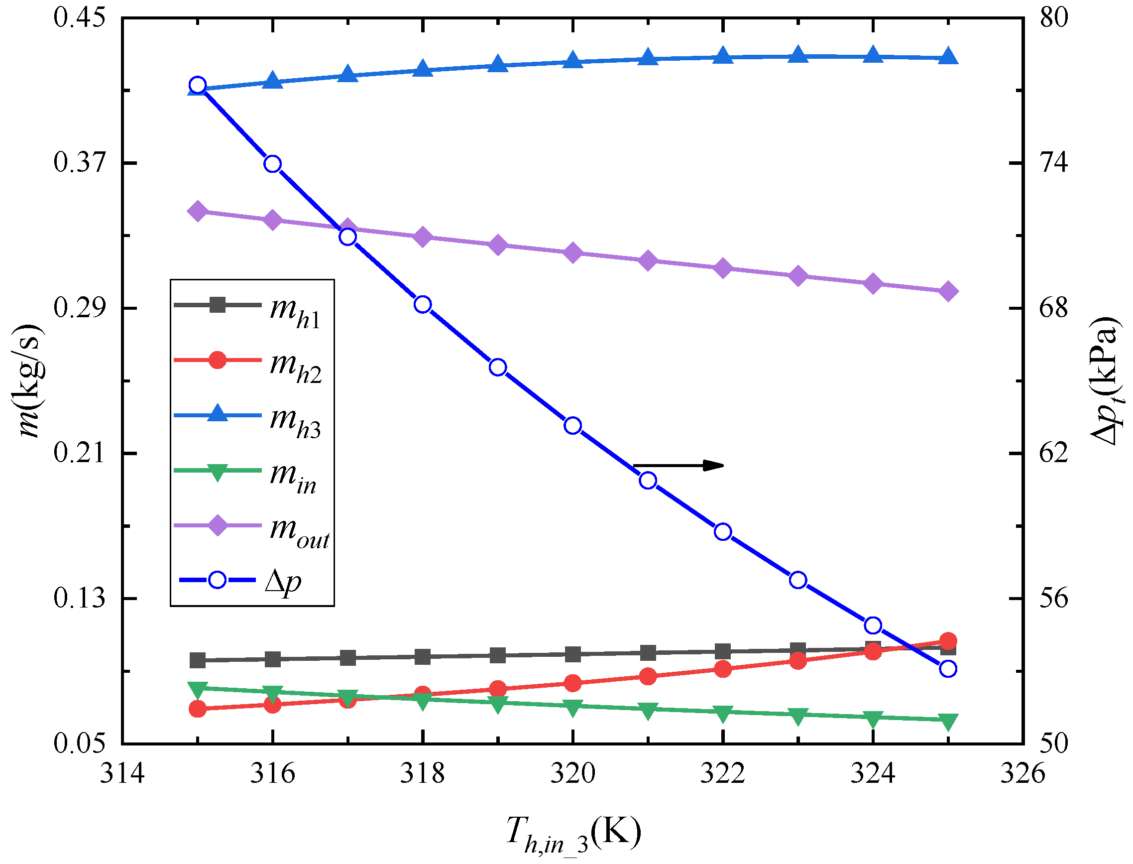
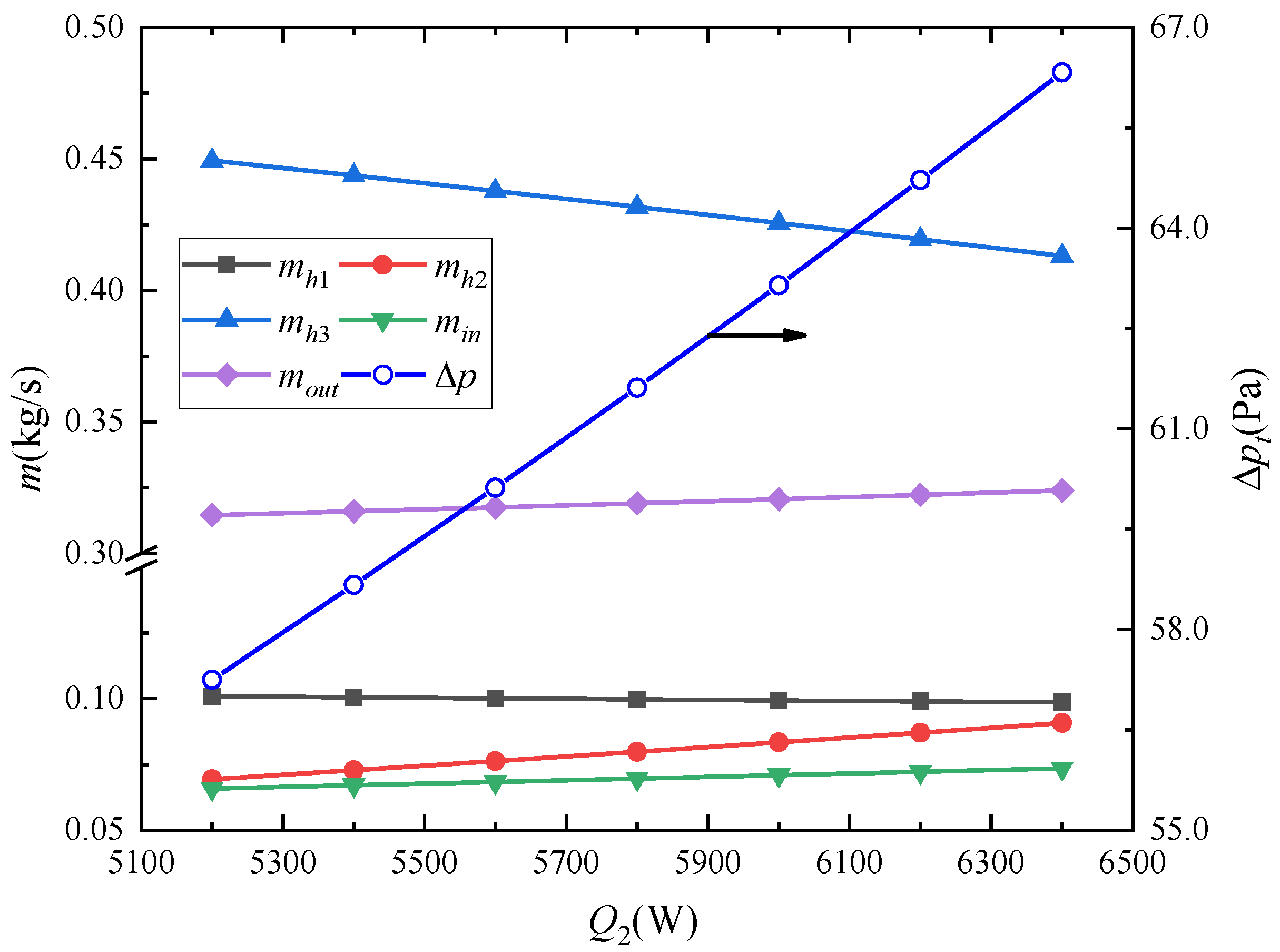
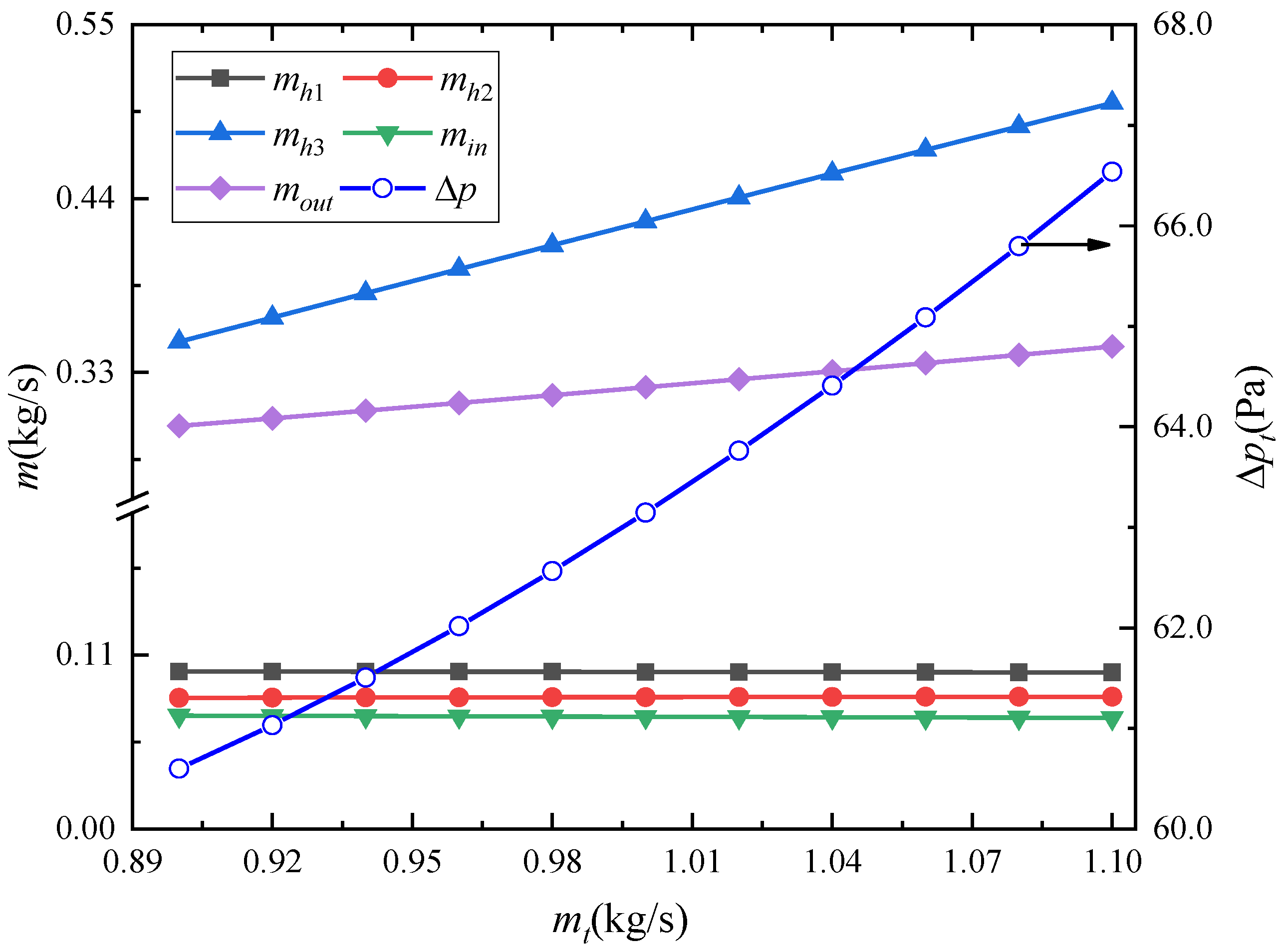
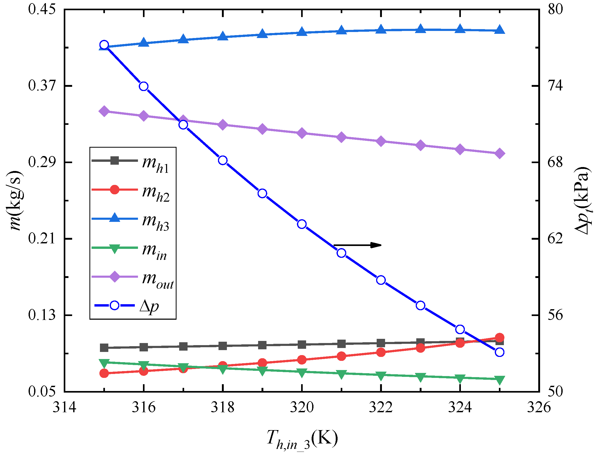
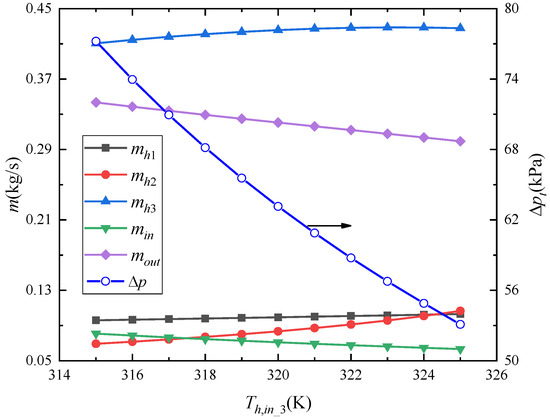
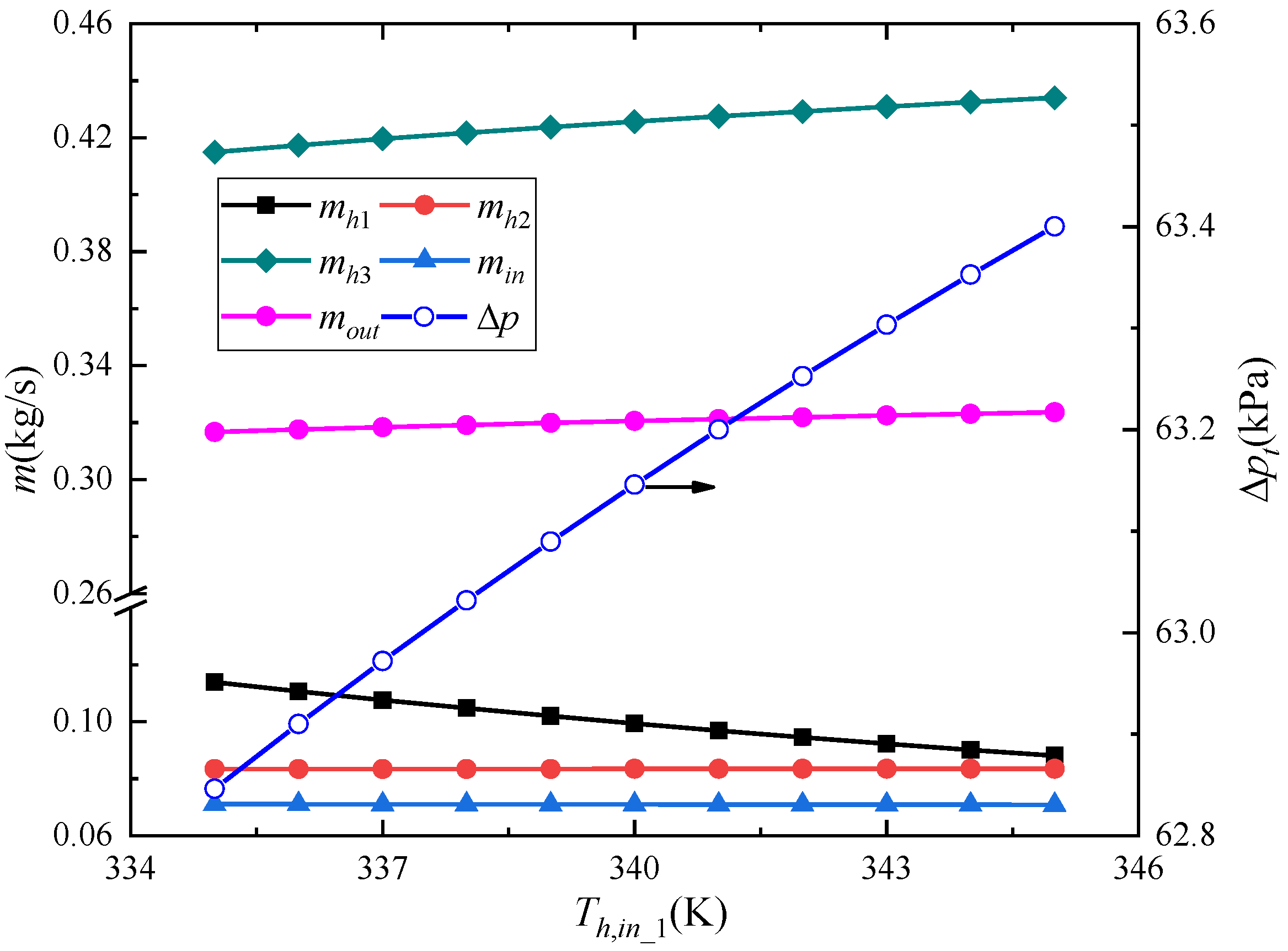
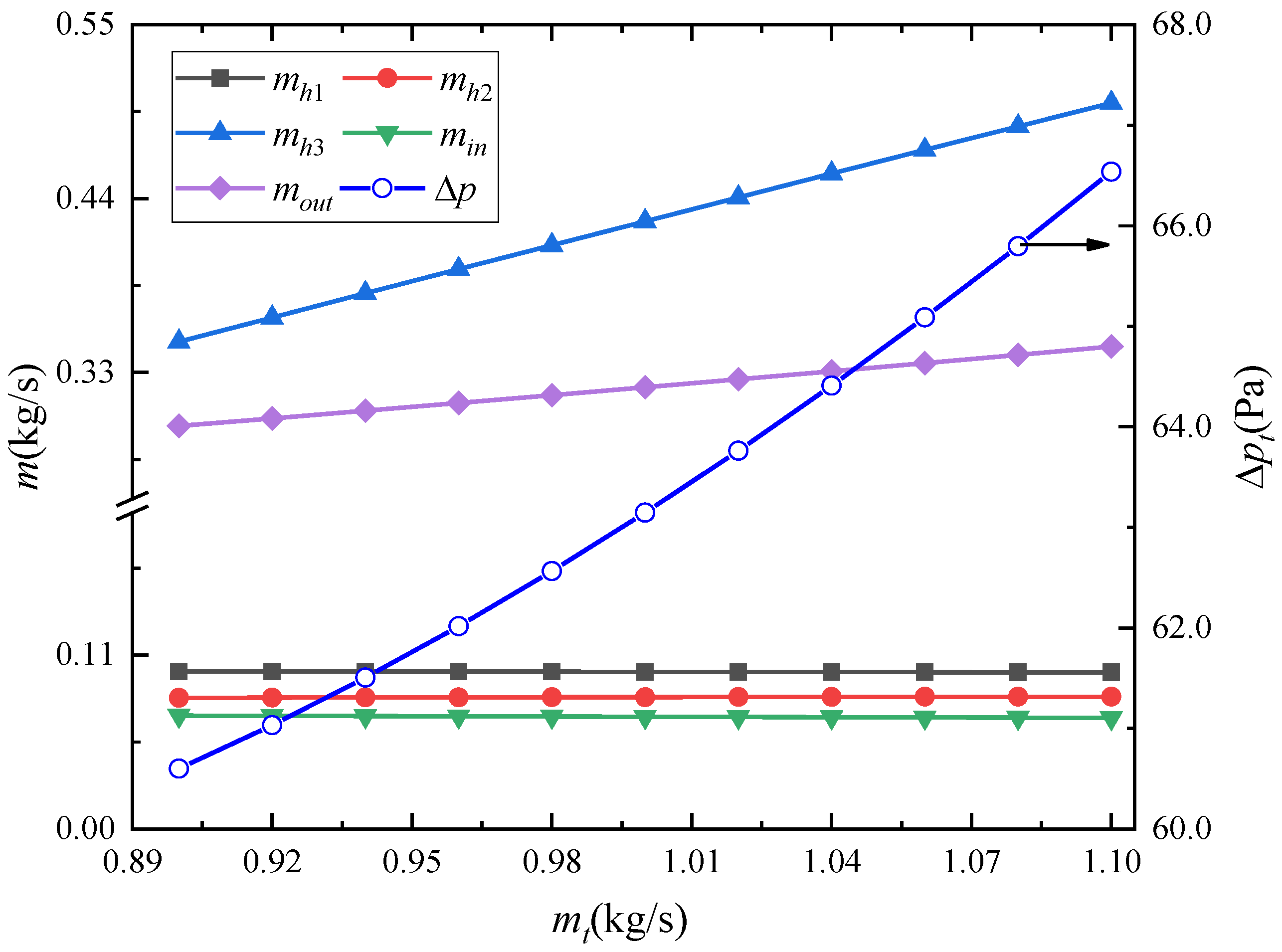
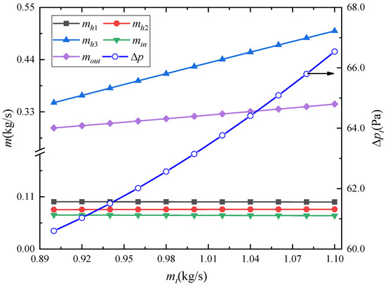
5.3. Parameters Analysis and Discussions
6. Conclusions
Author Contributions
Funding
Acknowledgments
Conflicts of Interest
Correction Statement
Nomenclatures
| A | area, m2 |
| cp | specific heat capacity, J kg−1 K−1 |
| D | hydraulic diameter, m |
| f | friction factor |
| G | heat capacity rate flow, G = mcp, W K−1 |
| H | height, m |
| j | Colburn factor |
| J | Lagrange function |
| K | overall heat transfer coefficient, W m−2 K−1 |
| l | length of a single fin, m |
| L | total length, m |
| m | mass flow rate, kg s−1 |
| M | mass flux velocity, kg m−2 s−1 |
| n | fin frequency, m−1 |
| N | channel number |
| Nu | Nusselt number |
| p | pressure, Pa |
| Pr | Pr number |
| Q | heat flux, W |
| R | thermal resistance, K W−1 |
| Re | Re number |
| t | thickness, m |
| T | temperature, K |
| V | virtual thermo-motive force |
| W | width, m |
| α | convective heat transfer coefficient, W m−2 K−1 |
| β | dimensionless parameter |
| δ | thickness, mm |
| γ | dimensionless parameter |
| κ | dimensionless parameter |
| λ | thermal conductivity, W K−1 m−1 |
| ρ | density, kg m−3 |
| φ | correction factor |
| θ | Lagrange multiplier |
| ε | additive thermo-motive force, K subscripts |
| a | air |
| c | cold fluid |
| h | hot fluid |
| in | inner, inlet |
| m | intermediate heat exchanger |
| out | outer, outlet |
| r | radiator |
| t | total |
| w | water |
References
- Chainer, T.J.; Schultz, M.D.; Parida, P.R.; Gaynes, M.A. Improving data center energy efficiency with advanced thermal management. IEEE Trans. Compon. Packag. Manuf. Technol. 2017, 7, 1228–1239. [Google Scholar] [CrossRef]
- Tyagi, V.; Pandey, A.; Buddhi, D.; Kothari, R. Thermal performance assessment of encapsulated PCM based thermal management system to reduce peak energy demand in buildings. Energy Build. 2016, 117, 44–52. [Google Scholar] [CrossRef]
- Ye, Y.; Saw, L.H.; Shi, Y.; Tay, A.A. Numerical analyses on optimizing a heat pipe thermal management system for lithium-ion batteries during fast charging. Appl. Therm. Eng. 2015, 86, 281–291. [Google Scholar] [CrossRef]
- Ye, Y.; Shi, Y.; Saw, L.H.; Tay, A.A. Performance assessment and optimization of a heat pipe thermal management system for fast charging lithium ion battery packs. Int. J. Heat Mass Transf. 2016, 92, 893–903. [Google Scholar] [CrossRef]
- Chen, K.; Wu, W.; Yuan, F.; Chen, L.; Wang, S. Cooling efficiency improvement of air-cooled battery thermal management system through designing the flow pattern. Energy 2019, 167, 781–790. [Google Scholar] [CrossRef]
- Mason, J.A.; Oktawiec, J.; Taylor, M.K.; Hudson, M.R.; Rodriguez, J.; Bachman, J.E.; Gonzalez, M.I.; Cervellino, A.; Guagliardi, A.; Brown, C.M. Methane storage in flexible metal—Organic frameworks with intrinsic thermal management. Nature 2015, 527, 357. [Google Scholar] [CrossRef]
- Lee, S.; Mudawar, I.; Hasan, M.M. Thermal analysis of hybrid single-phase, two-phase and heat pump thermal control system (TCS) for future spacecraft. Appl. Therm. Eng. 2016, 100, 190–214. [Google Scholar] [CrossRef]
- Wang, J.-X.; Li, Y.-Z.; Zhang, H.-S.; Wang, S.-N.; Liang, Y.-H.; Guo, W.; Liu, Y.; Tian, S.-P. A highly self-adaptive cold plate for the single-phase mechanically pumped fluid loop for spacecraft thermal management. Energy Convers. Manag. 2016, 111, 57–66. [Google Scholar] [CrossRef]
- Smith, K.; Wang, C.-Y. Power and thermal characterization of a lithium-ion battery pack for hybrid-electric vehicles. J. Power Sour. 2006, 160, 662–673. [Google Scholar] [CrossRef]
- Chen, H.; Pei, P.; Song, M. Lifetime prediction and the economic lifetime of proton exchange membrane fuel cells. Appl. Energy 2015, 142, 154–163. [Google Scholar] [CrossRef]
- O’hayre, R.; Cha, S.-W.; Prinz, F.B.; Colella, W. Fuel Cell Fundamentals; John Wiley & Sons: Hoboken, NJ, USA, 2016. [Google Scholar]
- Shah, R.K.; Sekulic, D.P. Fundamentals of Heat Exchanger Design; John Wiley & Sons: Hoboken, NJ, USA, 2003. [Google Scholar]
- Jaluria, Y. Design and Optimization of Thermal Systems; CRC Press: Boca Raton, FL, USA, 2007. [Google Scholar]
- Bhutta, M.M.A.; Hayat, N.; Bashir, M.H.; Khan, A.R.; Ahmad, K.N.; Khan, S. CFD applications in various heat exchangers design: A review. Appl. Therm. Eng. 2012, 32, 1–12. [Google Scholar] [CrossRef]
- Kakac, S.; Liu, H.; Pramuanjaroenkij, A. Heat Exchangers: Selection, Rating, and Thermal Design; CRC Press: Boca Raton, FL, USA, 2012. [Google Scholar]
- Eldeeb, R.; Aute, V.; Radermacher, R. A survey of correlations for heat transfer and pressure drop for evaporation and condensation in plate heat exchangers. Int. J. Refrig. 2016, 65, 12–26. [Google Scholar] [CrossRef]
- Braz Filho, F.A.; Fortes, M.A.; Ribeiro, G.B. Comparison of interfacial heat transfer correlations for high-pressure subcooled boiling flows via CFD two-fluid model. J. Braz. Soc. Mech. Sci. Eng. 2019, 41, 307. [Google Scholar] [CrossRef]
- Huang, S.; Ma, Z.; Cooper, P. Optimal design of vertical ground heat exchangers by using entropy generation minimization method and genetic algorithms. Energy Convers. Manag. 2014, 87, 128–137. [Google Scholar] [CrossRef]
- Ayala, H.V.H.; Keller, P.; de Fátima Morais, M.; Mariani, V.C.; dos Santos Coelho, L.; Rao, R.V. Design of heat exchangers using a novel multiobjective free search differential evolution paradigm. Appl. Therm. Eng. 2016, 94, 170–177. [Google Scholar] [CrossRef]
- Wen, J.; Yang, H.; Tong, X.; Li, K.; Wang, S.; Li, Y. Configuration parameters design and optimization for plate-fin heat exchangers with serrated fin by multi-objective genetic algorithm. Energy Convers. Manag. 2016, 117, 482–489. [Google Scholar] [CrossRef]
- Hamut, H.; Dincer, I.; Naterer, G. Performance assessment of thermal management systems for electric and hybrid electric vehicles. Int. J. Energy Res. 2013, 37, 1–12. [Google Scholar] [CrossRef]
- Cheng, X.; Liang, X. Discussion on the applicability of entropy generation minimization to the analyses and optimizations of thermodynamic processes. Energy Convers Manag. 2013, 73, 121–127. [Google Scholar] [CrossRef]
- Hamut, H.; Dincer, I.; Naterer, G. Exergy analysis of a TMS (thermal management system) for range-extended EVs (electric vehicles). Energy 2012, 46, 117–125. [Google Scholar] [CrossRef]
- Javani, N.; Dincer, I.; Naterer, G.; Yilbas, B. Exergy analysis and optimization of a thermal management system with phase change material for hybrid electric vehicles. Appl. Therm. Eng. 2014, 64, 471–482. [Google Scholar] [CrossRef]
- Li, T.; Yuan, Z.; Xu, P.; Zhu, J. Entransy dissipation/loss-based optimization of two-stage organic Rankine cycle (TSORC) with R245fa for geothermal power generation. Sci. China Technol. Sci. 2016, 59, 1524–1536. [Google Scholar] [CrossRef]
- Han, Y.; Wang, D.; Zhang, C.; Zhu, Y. The entransy degeneration and entransy loss equations for the generalized irreversible Carnot engine system. Int. J. Heat Mass Transf. 2017, 106, 895–907. [Google Scholar] [CrossRef]
- Braimakis, K.; Karellas, S. Integrated thermoeconomic optimization of standard and regenerative ORC for different heat source types and capacities. Energy 2017, 121, 570–598. [Google Scholar] [CrossRef]
- Dixit, M.; Arora, A.; Kaushik, S. Thermodynamic and thermoeconomic analyses of two stage hybrid absorption compression refrigeration system. Appl. Therm. Eng. 2017, 113, 120–131. [Google Scholar] [CrossRef]
- Wang, J.-J.; Jing, Y.-Y.; Zhang, C.-F. Optimization of capacity and operation for CCHP system by genetic algorithm. Appl. Energy 2010, 87, 1325–1335. [Google Scholar] [CrossRef]
- Peng, F.; Cui, G. Efficient simultaneous synthesis for heat exchanger network with simulated annealing algorithm. Appl. Therm. Eng. 2015, 78, 136–149. [Google Scholar] [CrossRef]
- Arat, H.; Arslan, O. Optimization of district heating system aided by geothermal heat pump: A novel multistage with multilevel ANN modelling. Appl. Therm. Eng. 2017, 111, 608–623. [Google Scholar] [CrossRef]
- Patel, V.K.; Savsani, V.J.; Tawhid, M.A. Thermal System Optimization: A Population-Based Metaheuristic Approach; Springer: Berlin/Heidelberg, Germany, 2019. [Google Scholar]
- Fiaschi, D.; Manfrida, G.; Russo, L.; Talluri, L. Improvement of waste heat recuperation on an industrial textile dryer: Redesign of heat exchangers network and components. Energy Convers. Manag. 2017, 150, 924–940. [Google Scholar] [CrossRef]
- Liu, D.; Chen, Q.; He, K.-L.; Chen, X. An integrated system-level and component-level optimization of heat transfer systems based on the heat current method. Int. J. Heat Mass Transf. 2019, 131, 623–632. [Google Scholar] [CrossRef]
- Hao, J.; Ge, W.; Chen, Q.; He, K.; Luo, H.; Zhou, G. Power Flow Method-Based Integrated Modeling and Optimization for Building Heat Transport and Gas Refrigeration System. J. Energy Eng. 2018, 144, 04018060. [Google Scholar] [CrossRef]
- Do, K.H.; Choi, B.-I.; Han, Y.-S.; Kim, T. Experimental investigation on the pressure drop and heat transfer characteristics of a recuperator with offset strip fins for a micro gas turbine. Int. J. Heat Mass Transf. 2016, 103, 457–467. [Google Scholar] [CrossRef]
- Zarea, H.; Kashkooli, F.M.; Mehryan, A.M.; Saffarian, M.R.; Beherghani, E.N. Optimal design of plate-fin heat exchangers by a Bees Algorithm. Appl. Therm. Eng. 2014, 69, 267–277. [Google Scholar] [CrossRef]
- Yousefi, M.; Enayatifar, R.; Darus, A. Optimal design of plate-fin heat exchangers by a hybrid evolutionary algorithm. Int. Commun. Heat Mass Transf. 2012, 39, 258–263. [Google Scholar] [CrossRef]
- Guo, Z.; Zhu, H.; Liang, X. Entransy—A physical quantity describing heat transfer ability. Int. J. Heat Mass Transf. 2007, 50, 2545–2556. [Google Scholar] [CrossRef]
- Chen, Q. Entransy dissipation-based thermal resistance method for heat exchanger performance design and optimization. Int. J. Heat Mass Transf. 2013, 60, 156–162. [Google Scholar] [CrossRef]
- Chen, Q.; Hao, J.; Fu, R.; Wang, Y.; Zhao, S.; Zhao, T. Entransy-based power flow method for analysis and optimization of thermal systems. J. Eng. Thermophys. 2017, 38, 1–8. [Google Scholar]
- Chen, Q.; Hao, J.; Zhao, T. An alternative energy flow model for analysis and optimization of heat transfer systems. Int. J. Heat Mass Transf. 2017, 108, 712–720. [Google Scholar] [CrossRef]
- Hao, J.; Chen, Q.; Ren, J.; Zhang, M.; Ai, J. An experimental study on the fin geometry optimization of a plate-fin heat exchanger based on the heat current model. Appl. Therm. Eng. 2019, 154, 111–119. [Google Scholar] [CrossRef]
- Zhang, M.-Q.; Chen, Q.; Shao, W.; Chen, X.; Hao, J.-H. An integral identification method of characteristic parameters and optimization of parallel connection heat transfer systems based on the power flow method. Appl. Therm. Eng. 2018, 143, 1057–1067. [Google Scholar] [CrossRef]
- Hao, J.-H.; Chen, Q.; Li, X.; Zhang, M.-Q.; Yuan, F. A new modeling and analysis method of the indirect evaporative heat exchanger based on the heat current perspective. Appl. Therm. Eng. 2019, 163, 114331. [Google Scholar] [CrossRef]
- Hao, J.-H.; Ge, Z.-H.; Chen, Q.; Li, X.; Du, X.-Z. The coupled process-component modeling and optimization for heat exchanger of supercritical CO2 with property variation based on heat current method. Appl. Therm. Eng. 2019, 168, 114833. [Google Scholar] [CrossRef]
- Hao, J.-H.; Li, X.; Chen, Q. A General Thermal Resistance with Correction Factor for Heat Exchanger Design and Analysis Based on Power Flow Method; International Heat Transfer Conference Digital Library; Begel House Inc.: Los Angeles, CA, USA, 2018. [Google Scholar]
- Patel, V.; Savsani, V. Optimization of a plate-fin heat exchanger design through an improved multi-objective teaching-learning based optimization (MO-ITLBO) algorithm. Chem. Eng. Res. Des. 2014, 92, 2371–2382. [Google Scholar] [CrossRef]
- Manglik, R.M.; Bergles, A.E. Heat transfer and pressure drop correlations for the rectangular offset strip fin compact heat exchanger. Exp. Therm. Fluid Sci. 1995, 10, 171–180. [Google Scholar] [CrossRef]
- Bergman, T.L.; Incropera, F.P.; DeWitt, D.P.; Lavine, A.S. Fundamentals of Heat and Mass Transfer; John Wiley & Sons: Hoboken, NJ, USA, 2011. [Google Scholar]












| Cold-Water Side | Value (mm) | Hot-Air Side | Value (mm) |
|---|---|---|---|
| Width (Wc) | 3 | Width (Wh) | 2 |
| Height (Hc) | 3 | Height (Hh) | 9 |
| Length (lc) | 3 | Length (lh) | 4 |
| Thickness (tc) | 0.1 | Thickness (th) | 0.15 |
| Tc,in_1 (K) | Tc,in_2 (K) | Tc,in_3 (K) | Tc,in_4 (K) | Tm,in (K) | Tm,out (K) |
|---|---|---|---|---|---|
| 277.05 | 290.62 | 310.98 | 317.77 | 277.02 | 282.76 |
Publisher’s Note: MDPI stays neutral with regard to jurisdictional claims in published maps and institutional affiliations. |
© 2020 by the authors. Licensee MDPI, Basel, Switzerland. This article is an open access article distributed under the terms and conditions of the Creative Commons Attribution (CC BY) license (http://creativecommons.org/licenses/by/4.0/).
Share and Cite
Hao, J.; Zhang, Y.; Xiong, N. The Integrated Component-System Optimization of a Typical Thermal Management System by Combining Empirical and Heat Current Methods. Energies 2020, 13, 6347. https://doi.org/10.3390/en13236347
Hao J, Zhang Y, Xiong N. The Integrated Component-System Optimization of a Typical Thermal Management System by Combining Empirical and Heat Current Methods. Energies. 2020; 13(23):6347. https://doi.org/10.3390/en13236347
Chicago/Turabian StyleHao, Junhong, Youjun Zhang, and Nian Xiong. 2020. "The Integrated Component-System Optimization of a Typical Thermal Management System by Combining Empirical and Heat Current Methods" Energies 13, no. 23: 6347. https://doi.org/10.3390/en13236347
APA StyleHao, J., Zhang, Y., & Xiong, N. (2020). The Integrated Component-System Optimization of a Typical Thermal Management System by Combining Empirical and Heat Current Methods. Energies, 13(23), 6347. https://doi.org/10.3390/en13236347

