Analysis of Building Parameter Uncertainty in District Heating for Optimal Control of Network Flexibility
Abstract
1. Introduction
1.1. Uncertainties in District Heating Systems
1.2. Robust Control of Energy Systems
1.3. Novelty and Research Questions
- How does the optimal network flexibility activation (i.e., the control strategy) alter when the building parameters are different?
- How sensitive is the network flexibility performance to the applied control strategy (and hence to uncertainty)?
- Does this preliminary study lead to insights for a more robust activation of network flexibility?
2. Case Study: GenkNET
3. Methodology
3.1. Deterministic Optimal Control
3.2. Heat Demand Profiles
3.3. Uncertainty Analysis
3.3.1. Step 1: Optimal Control of Each GenkNET Version
3.3.2. Step 2: Selection of 11 Control Strategies
3.3.3. Step 3: Applying the 11 Control Strategies to All 100 GenkNET Versions
4. Results
4.1. Operational Heat Pump Optimisation
4.1.1. Optimal Control of the 11 Selected Versions
4.1.2. Applying 11 Different Control Strategies to All 100 GenkNET Versions
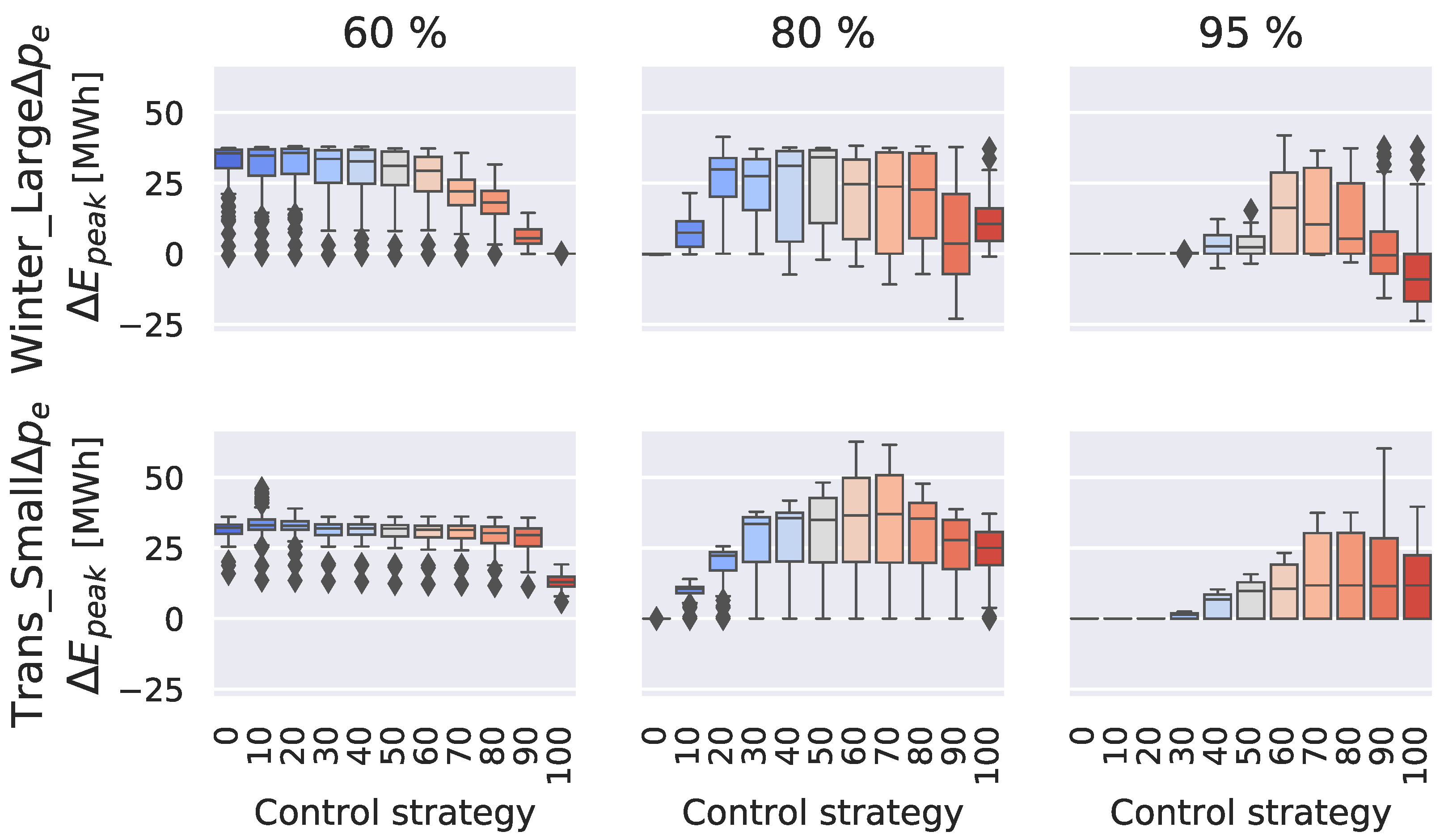
4.2. Peak Shaving Optimisation
4.2.1. Optimal Control of the 11 Selected Versions
4.2.2. Applying 11 Different Control Strategies to All 100 GenkNET Versions
5. Discussion
5.1. How Does the Optimal Network Flexibility Activation Change When the Building Parameters/Heat Demand Magnitude Changes?
5.2. How Does the Network Flexibility Performance Change When the Control Strategy Changes?
5.3. Does This Preliminary Study Lead to Insights for a More Robust Activation of Network Flexibility?
5.4. Remarks
6. Conclusions
Author Contributions
Funding
Acknowledgments
Conflicts of Interest
Abbreviations
| CHP | Combined Heat and Power |
| COP | Coefficient of Performance |
| CV | Coefficient of Variation |
| DH | District Heating |
| DHC | District Heating and Cooling |
| DHW | Domestic Hot Water |
| LDC | Load Duration Curve |
| MPC | Model Predictive Control |
| OCP | Optimal Control Problem |
| R2ES | Renewable and Residual Energy Sources |
| SH | Space Heating |
| TES | Thermal Energy Storage |
Appendix A. Optimal Control Component Models and Settings
Appendix A.1. Pipe Model
Appendix A.2. Substation Model
Appendix A.3. Heat Pump Model
Appendix A.4. Base and Peak Plant Model
Appendix A.5. Optimal Control Model Settings
References
- European Commission. Statistical office of the European Union; European Commission: Brussels, Belgium, 2019. [Google Scholar]
- Fleiter, T.; Steinbach, J.; Ragwitz, M. Mapping and Analyses of the Current and Future (2020–2030) Heating/Cooling Fuel Deployment. Available online: https://ec.europa.eu/energy/studies/mapping-and-analyses-current-and-future-2020-2030-heatingcooling-fuel-deployment_en (accessed on 25 November 2020).
- European Commission. An EU Strategy on Heating and Cooling; European Commission: Brussels, Belgium, 2016. [Google Scholar]
- Frederiksen, S.; Werner, S. District Heating and Cooling; Studentlitteratur: Lund, Sweden, 2014. [Google Scholar]
- Connolly, D.; Lund, H.; Mathiesen, B.V.; Werner, S.; Möller, B.; Persson, U.; Boermans, T.; Trier, D.; Østergaard, P.A.; Nielsen, S. Heat Roadmap Europe: Combining district heating with heat savings to decarbonise the EU energy system. Energy Policy 2014, 65, 475–489. [Google Scholar] [CrossRef]
- Vandermeulen, A.; Van Oevelen, T.; van der Heijde, B.; Helsen, L. A simulation-based evaluation of substation models for network flexibility characterisation in district heating networks. Energy 2020, 117650. [Google Scholar] [CrossRef]
- Vandermeulen, A.; van der Heijde, B.; Helsen, L. Controlling district heating and cooling networks to unlock flexibility: A review. Energy 2018, 151, 103–115. [Google Scholar] [CrossRef]
- Giraud, L.; Merabet, M.; Baviere, R.; Vallée, M. Optimal Control of District Heating Systems using Dynamic Simulation and Mixed Integer Linear Programming. In Proceedings of the 12th International Modelica Conference, Prague, Czech Republic, 15–17 May 2017; pp. 141–150. [Google Scholar] [CrossRef]
- Bavière, R.; Vallée, M. Optimal Temperature Control of Large Scale District Heating Networks. Energy Procedia 2018, 149, 69–78. [Google Scholar] [CrossRef]
- Ikonen, E.; Selek, I.; Kovacs, J.; Neuvonen, M.; Szabo, Z.; Bene, J.; Peurasaari, J. Short term optimization of district heating network supply temperatures. In Proceedings of the ENERGYCON 2014—IEEE International Energy Conference, Dubrovnik, Croatia, 13–16 May 2014; pp. 996–1003. [Google Scholar] [CrossRef]
- Benonysson, A.; Bøhm, B.; Ravn, H.F. Operational optimization in a district heating system. Energy Convers. Manag. 1995, 36, 297–314. [Google Scholar] [CrossRef]
- Laakkonen, L.; Korpela, T.; Kaivosoja, J.; Vilkko, M.; Majanne, Y.; Nurmoranta, M. Predictive Supply Temperature Optimization of District Heating Networks Using Delay Distributions. Energy Procedia 2017, 116, 297–309. [Google Scholar] [CrossRef]
- Leśko, M.; Bujalski, W.; Futyma, K. Operational optimization in district heating systems with the use of thermal energy storage. Energy 2018, 165, 902–915. [Google Scholar] [CrossRef]
- Dominković, D.F.; Junker, R.G.; Lindberg, K.B.; Madsen, H. Implementing flexibility into energy planning models: Soft-linking of a high-level energy planning model and a short-term operational model. Appl. Energy 2020, 260, 114292. [Google Scholar] [CrossRef]
- Gu, W.; Wang, J.; Lu, S.; Luo, Z.; Wu, C. Optimal operation for integrated energy system considering thermal inertia of district heating network and buildings. Appl. Energy 2017, 199, 234–246. [Google Scholar] [CrossRef]
- Li, Z.; Wu, W.; Shahidehpour, M. Combined Heat and Power Dispatch Considering Pipeline Energy Storage of District Heating Network. IEEE Trans. Sustain. Energy 2016, 7, 12–22. [Google Scholar] [CrossRef]
- Tian, L.; Xie, Y.; Hu, B.; Liu, X.; Deng, T.; Luo, H.; Li, F. A Deep Peak Regulation Auxiliary Service Bidding Strategy for CHP Units Based on a Risk-Averse Model and District Heating Network Energy Storage. Energies 2019, 12, 3314. [Google Scholar] [CrossRef]
- Kim, S.H. An evaluation of robust controls for passive building thermal mass and mechanical thermal energy storage under uncertainty. Appl. Energy 2013, 111, 602–623. [Google Scholar] [CrossRef]
- Baetens, R.; Saelens, D. Modelling uncertainty in district energy simulations by stochastic residential occupant behaviour. J. Build. Perform. Simul. 2015, 1493, 1–17. [Google Scholar] [CrossRef]
- Strathclyde University. Demand Profile Generator. Available online: http://www.esru.strath.ac.uk/EandE/Web_sites/06-07/Carbon_neutral/tools%20folder/introduction.htm (accessed on 25 November 2020).
- Rysanek, A.M.; Choudhary, R. DELORES—An open-source tool for stochastic prediction of occupant services demand. J. Build. Perform. Simul. 2015, 8, 97–118. [Google Scholar] [CrossRef]
- Yamaguchi, Y.; Kambayashi, Y.; Okada, T.; Shoda, Y.; Shimoda, Y. Community-Scale Household Activity Modelling Considering Household Heterogeneity Using Japanese Time Use Data. In Proceedings of the Urban Energy Simulation Conference, San Francisco, CA, USA, 6–8 September 2017; pp. 1–6. [Google Scholar]
- Oldewurtel, F. Stochastic Model Predictive Control for Energy Efficient Building Climate Control. Ph.D. Thesis, ETH Zurich, Zurich, Switzerland, 2011. [Google Scholar]
- Reinhart, C.F.; Cerezo Davila, C. Urban building energy modeling—A review of a nascent field. Build. Environ. 2016, 97, 196–202. [Google Scholar] [CrossRef]
- Kavgic, M.; Mavrogianni, A.; Mumovic, D.; Summerfield, A.; Stevanovic, Z.; Djurovic-Petrovic, M. A review of bottom-up building stock models for energy consumption in the residential sector. Build. Environ. 2010, 45, 1683–1697. [Google Scholar] [CrossRef]
- Cuypers, D.; Vandevelde, B.; Van Holm, M.; Verbeke, S. Belgische Woningtypologie: Nationale Brochure over de TABULA Woningtypologie; Technical Report. Mol, Belgium, 2014. Available online: http://episcope.eu/fileadmin/tabula/public/docs/brochure/BE_TABULA_TypologyBrochure_VITO.pdf (accessed on 31 July 2020).
- De Jaeger, I.; Lago, J.; Saelens, D. A probabilistic building characterization method for district energy simulations. Energy Build. 2021, 230, 110566. [Google Scholar] [CrossRef]
- De Coninck, R.; Helsen, L. Practical implementation and evaluation of model predictive control for an office building in Brussels. Energy Build. 2016, 111, 290–298. [Google Scholar] [CrossRef]
- Arnold, M.; Andersson, G. Model Predictive Control of Energy Storage including Uncertain Forecasts. In Proceedings of the Power Systems Computation Conference (PSCC), Stockholm, Sweden, 22–26 August 2011; pp. 24–29. [Google Scholar]
- Bruninx, K.; Patteeuw, D.; Delarue, E.; Helsen, L.; D’Haeseleer, W. Short-term demand response of flexible electric heating systems: The need for integrated simulations. In Proceedings of the IEEE International Conference on the European Energy Market (EEM), Stockholm, Sweden, 27–31 May 2013; pp. 28–30. [Google Scholar] [CrossRef]
- Verrilli, F.; Parisio, A.; Glielmo, L. Stochastic Model Predictive Control for Optimal Energy Management of District Heating Power Plants. In Proceedings of the 2016 IEEE 55th Conference on Decision and Control, Las Vegas, NV, USA, 12–14 December 2016. [Google Scholar]
- Wang, C.; Jiao, B.; Guo, L.; Tian, Z.; Niu, J.; Li, S. Robust scheduling of building energy system under uncertainty. Appl. Energy 2016, 167, 366–376. [Google Scholar] [CrossRef]
- Gao, D.C.; Sun, Y.; Lu, Y. A robust demand response control of commercial buildings for smart grid under load prediction uncertainty. Energy 2015, 93, 275–283. [Google Scholar] [CrossRef]
- Rosenblueth, E. Point estimates for probability moments. Proc. Natl. Acad. Sci. USA 1975, 72, 3812–3814. [Google Scholar] [CrossRef] [PubMed]
- Massrur, H.R.; Niknam, T.; Fotuhi-Firuzabad, M. Investigation of Carrier Demand Response Uncertainty on Energy Flow of Renewable-Based Integrated Electricity-Gas-Heat Systems. IEEE Trans. Ind. Inform. 2018, 14, 5133–5142. [Google Scholar] [CrossRef]
- Kitapbayev, Y.; Moriarty, J.; Mancarella, P. Stochastic control and real options valuation of thermal storage-enabled demand response from flexible district energy systems. Appl. Energy 2015, 137, 823–831. [Google Scholar] [CrossRef]
- Diehl, M.; Gerhard, J.; Marquardt, W.; Mönnigmann, M. Numerical solution approaches for robust nonlinear optimal control problems. Comput. Chem. Eng. 2008, 32, 1279–1292. [Google Scholar] [CrossRef]
- Lin, J.G.G. On min-norm and min-max methods of multi-objective optimization. Math. Program. 2005, 103, 1–33. [Google Scholar] [CrossRef]
- Rantzer, J. Robust Production Planning for District Heating Networks. Master’s Thesis, Lund University, Lund, Sweden, 2015. [Google Scholar]
- Vandermeulen, A.; van der Heijde, B.; Vanhoudt, D.; Salenbien, R.; Helsen, L. modesto—A Multi-Objective District Energy Systems Toolbox for Optimisation. In Proceedings of the Solar District Heating Conference, Graz, Austria, 11–12 April 2018. [Google Scholar]
- Wang, H.; Lahdelma, R.; Wang, X.; Jiao, W.; Zhu, C.; Zou, P. Analysis of the location for peak heating in CHP based combined district heating systems. Appl. Therm. Eng. 2015, 87, 402–411. [Google Scholar] [CrossRef]
- Basciotti, D.; Judex, F.; Pol, O.; Schmidt, R.R. Sensible heat storage in district heating networks: A novel control strategy using the network as storage. In Proceedings of the 6th International Renewable Energy Storage Conference IRES, Berlin, Germany, 28–30 November 2011. [Google Scholar]
- Vandermeulen, A.; Reynders, G.; van der Heijde, B.; Vanhoudt, D.; Salenbien, R.; Saelens, D.; Helsen, L. Sources of energy flexibility in district heating networks: Building thermal inertia versus thermal energy storage in the network. In Proceedings of the Urban Energy Simulations Conference, Glasgow, UK, 30 November 2018. [Google Scholar]
- Van der Heijde, B.; Vandermeulen, A.; Salenbien, R.; Helsen, L. Integrated Optimal Design and Control of Fourth Generation District Heating Networks with Thermal Energy Storage. Energies 2019, 12, 2766. [Google Scholar] [CrossRef]
- Remmen, P.; Lauster, M.; Mans, M.; Fuchs, M.; Osterhage, T.; Müller, D. TEASER: An open tool for urban energy modelling of building stocks. J. Build. Perform. Simul. 2018, 11, 84–98. [Google Scholar] [CrossRef]
- De Jaeger, I.; Reynders, G.; Ma, Y.; Saelens, D. Impact of building geometry description within district energy simulations. Energy 2018, 158, 1060–1069. [Google Scholar] [CrossRef]
- Baetens, R.; De Coninck, R.; Jorissen, F.; Picard, D.; Helsen, L.; Saelens, D. OpenIDEAS—An Open Framework for Integrated District Energy Simulations. In Proceedings of the BS2015 14th Conference of International Building Performance Simulation Association, Hyderabad, India, 7–9 December 2015; pp. 347–354. [Google Scholar]
- Serrano-Guerrero, X.; Escrivá-Escrivá, G.; Roldán-Blay, C. Statistical methodology to assess changes in the electrical consumption profile of buildings. Energy Build. 2018, 164, 99–108. [Google Scholar] [CrossRef]
- Bünning, F.; Heer, P.; Smith, R.S.; Lygeros, J. Improved day ahead heating demand forecasting by online correction methods. Energy Build. 2020, 211. [Google Scholar] [CrossRef]
- Vandermeulen, A. Quantification and Optimal Control of Network Flexibility in District Heating Systems. Ph.D. Thesis, KU Leuven, Leuven, Belgium, 2020. [Google Scholar]
- Guelpa, E.; Sciacovelli, A.; Verda, V. Thermo-fluid dynamic model of large district heating networks for the analysis of primary energy savings. Energy 2019, 184, 34–44. [Google Scholar] [CrossRef]
- Kudela, L.; Chylek, R.; Pospisil, J. Performant and simple numerical modeling of district heating pipes with heat accumulation. Energies 2019, 12, 633. [Google Scholar] [CrossRef]
- Betancourt Schwarz, M.; Mabrouk, M.T.; Santo Silva, C.; Haurant, P.; Lacarrière, B. Modified finite volumes method for the simulation of dynamic district heating networks. Energy 2019, 182, 954–964. [Google Scholar] [CrossRef]
- Borsche, R.; Eimer, M.; Siedow, N. A local time stepping method for thermal energy transport in district heating networks. Appl. Math. Comput. 2019, 353, 215–229. [Google Scholar] [CrossRef]
- Rein, M.; Mohring, J.; Damm, T.; Klar, A. Optimal control of district heating networks using a reduced order model. arXiv 2019, arXiv:1907.05255. [Google Scholar] [CrossRef]
- Sartor, K.; Thomas, D.; Dewallef, P. A comparative study for simulating heat transport in large district heating networks. Int. J. Heat Technol. 2018, 36, 301–308. [Google Scholar] [CrossRef]
- Wang, Y.; You, S.; Zhang, H.; Zheng, X.; Zheng, W.; Miao, Q.; Lu, G. Thermal transient prediction of district heating pipeline: Optimal selection of the time and spatial steps for fast and accurate calculation. Appl. Energy 2017, 206, 900–910. [Google Scholar] [CrossRef]
- Vivian, J.; Monsalvete Alvarez de Uribarri, P.; Eicker, U.; Zarrella, A. The effect of discretization on the accuracy of two district heating network models based on finite-difference methods. In Proceedings of the 16th International Symposium on District Heating an Cooling, Hamburg, Germany, 9–12 September 2018; pp. 1–10. [Google Scholar]
- Bennonysson, A. Dynamic Modelling and Operation Optimization of District Heating Systems. Ph.D. Thesis, Technical University of Denmark, Lyngby, Denmark, 1991. [Google Scholar]
- Van der Heijde, B.; Fuchs, M.; Ribas Tugores, C.; Schweiger, G.; Sartor, K.; Basciotti, D.; Müller, D.; Nytsch-geusen, C.; Wetter, M.; Helsen, L. Dynamic equation-based thermo-hydraulic pipe model for district heating and cooling systems. Energy Convers. Manag. 2017, 151, 158–169. [Google Scholar] [CrossRef]
- European Standard. NBN EN 13941:2019 District Heating Pipes. Design and Installation of Thermal Insulated Bonded Single and Twin Pipe Systems for Directly Buried Hot Water Networks; NBN: Brussels, Belgium, 2019. [Google Scholar]
- Wächter, A.; Biegler, L.T. On the implementation of an interior-point filter line-search algorithm for large-scale nonlinear programming. Math. Program. 2006, 106, 25–57. [Google Scholar] [CrossRef]












| Heat Demand | Winter | Trans(itional) |
|---|---|---|
| El. Price | ||
| Small | 16/01 | 29/03 |
| Large | 14/01 | 17/11 |
| Neg(ative) | 16/02 | 16/03 |
Publisher’s Note: MDPI stays neutral with regard to jurisdictional claims in published maps and institutional affiliations. |
© 2020 by the authors. Licensee MDPI, Basel, Switzerland. This article is an open access article distributed under the terms and conditions of the Creative Commons Attribution (CC BY) license (http://creativecommons.org/licenses/by/4.0/).
Share and Cite
Vandermeulen, A.; De Jaeger, I.; Van Oevelen, T.; Saelens, D.; Helsen, L. Analysis of Building Parameter Uncertainty in District Heating for Optimal Control of Network Flexibility. Energies 2020, 13, 6220. https://doi.org/10.3390/en13236220
Vandermeulen A, De Jaeger I, Van Oevelen T, Saelens D, Helsen L. Analysis of Building Parameter Uncertainty in District Heating for Optimal Control of Network Flexibility. Energies. 2020; 13(23):6220. https://doi.org/10.3390/en13236220
Chicago/Turabian StyleVandermeulen, Annelies, Ina De Jaeger, Tijs Van Oevelen, Dirk Saelens, and Lieve Helsen. 2020. "Analysis of Building Parameter Uncertainty in District Heating for Optimal Control of Network Flexibility" Energies 13, no. 23: 6220. https://doi.org/10.3390/en13236220
APA StyleVandermeulen, A., De Jaeger, I., Van Oevelen, T., Saelens, D., & Helsen, L. (2020). Analysis of Building Parameter Uncertainty in District Heating for Optimal Control of Network Flexibility. Energies, 13(23), 6220. https://doi.org/10.3390/en13236220

