Abstract
The Weiyuan (WY) and Changning (CN) fields are the largest shale gas fields in the Sichuan Basin. Though the shale gases in both fields are sourced from the Longmaxi Formation, this study found notable differences between them in molecular composition, carbon isotopic composition, and noble gas abundance and isotopic composition. CO2 (av. 0.52%) and N2 (av. 0.94%) were higher in Weiyuan than in Changning by an average of 0.45% and 0.70%, respectively. The δ13C1 (−26.9% to −29.7%) and δ13C2 (−32.0% to −34.9%) ratios in the Changning shale gases were about 8% and 6% heavier than those in Weiyuan, respectively. Both shale gases had similar 3He/4He ratios but different 40Ar/36Ar ratios. These geochemical differences indicated complex geological conditions and shed light on the evolution of the Lonmaxi shale gas in the Sichuan Basin. In this study, we highlight the possible impacts on the geochemical characteristics of gas due to tectonic activity, thermal evolution, and migration. By combining previous gas geochemical data and the geological background of these natural gas fields, we concluded that four factors account for the differences in the Longmaxi Formation shale gas in the Sichuan Basin: a) A different ratio of oil cracking gas and kerogen cracking gas mixed in the closed system at the high over-mature stage. b) The Longmaxi shales in WY and CN have had differential geothermal histories, especially in terms of the effects from the Emeishan Large Igneous Province (LIP), which have led to the discrepancy in evolution of the shales in the two areas. c) The heterogeneity of the Lower Silurian Longmaxi shales is another important factor, according to the noble gas data. d) Although shale gas is generated in closed systems, natural gas loss throughout geological history cannot be avoided, which also accounts for gas geochemical differences. This research offers some useful information regarding the theory of shale gas generation and evolution.
1. Introduction
Shale gas is produced from organic-rich black shale and self-generation and self-storage natural gas, and is continuously accumulated in nano-scale micropores in shale [1]. Shale gas is a thermogenic natural gas generated by organic matter pyrolysis. The shale gas relative elemental abundance patterns and isotopic compositions fluctuate continuously throughout the pyrolysis process due to the fractionation effect [2,3].
Shale gas is produced in a closed system and gas does not easily migrate. As a result, compared with conventional natural gas it has a greater genetic accumulation impact [4,5,6]. Hence, shale gas maintains more of the original information regarding the means of oil and gas generation from source rocks than conventional natural gas does, and its geochemical characteristics could be a reflection of the evolutionary process of closed-system fossil energy production. Natural gas formation theory has focused on the generation and evolution of shale gas, since differences the in geochemical characteristics between conventional natural gas and shale gas were discovered [7,8,9,10,11]. Shale gas geochemical irregularities include (1) the rollover of iso-alkane/normal alkane ratios [12]; (2) the rollover of ethane and propane isotopic compositions [13]; and (3) abnormally light ethane and propane δ13C values and isotope reversals among methane, ethane, and propane [11,12,14,15,16]. Together, these irregularities reflect the complicated history of shale gas generation and the isotopic fractionation associated with it, as well as the in situ “mixing and accumulation” of gases that are generated from different precursors at various thermal maturities [4]. In addition, shale gases from different areas around the world also have many different geochemical characteristics [7,12,17,18,19,20]. Even if these shale gases come from the same area and same strata, variations in molecular composition, carbon isotopic composition, and noble gas abundance and isotopic composition can be found [15,16]. Recently, we found that the gas geochemical characteristics of shale gases from the Longmaxi Formation, Sichuan Basin, China, show several apparent differences between the Weiyuan (WY) and Changning (CN) areas [14,15,16,17,21,22,23]. For instance, there is more CH4 in CN shale gas, and its carbon isotope composition is heavier than that of WY shale gas [14,16,17,21,22,23]. Meanwhile, the He and Ar abundance and isotope composition are higher in WY shale gas than in CN shale gas [15]. Although previous studies have found differential gas geochemical characteristics between WY and CN shale gas, few studies have explained the potential reason for these differences.
We collected and compared the geochemical data from our previous works [14,15,16] and other studies [16,21,22] and combined the geological background and oil/gas generation theory to clarify the causes and mechanics of variations in the geochemical characteristics of shale gas from the Longmaxi Formation, Sichuan Basin, China. These results should increase our understanding of the generation and evolution of shale gas.
2. Geological Background
The Sichuan Basin is a structurally complex, superimposed basin that comprises an area of over 18 × 104 km2. The Sichuan Basin and the surrounding areas contain many gas fields (Figure 1). The two largest shale gas fields in the Sichuan Basin, Weiyuan and Changning, are located on the south and east borders of the basin, respectively. The organic-rich shales of the Wufeng–Longmaxi Formation (Ordovician–Silurian), one of the most important hydrocarbon source rocks in China, are the source of the shale gas generated ftom these two shale fields. The Silurian shales have equivalent vitrinite reflectance (EqVRo, %) values ranging from 2.4% to 3.8% [24,25,26], indicating that they are largely thermally over-mature and in a dry gas generation stage [24,27]. One possible external heat source for the maturation of organic-rich shale is the Emei Large Igneous Province (LIP), located in the southwestern part of the basin [28,29].
Figure 1.
Geological sketch map of the Sichuan Basin, showing the locations of the main gas sampling sites, isolines of Ro values, and shale thickness of the Longmaxi Formation.
The Sichuan Basin is in the transition zone between the Palaeo–Pacific tectonic area and the Tethys–Himalayan tectonic area [30]. The Caledonian, Hercynian, Indosinian, and Yanshanian orogenies and Himalayan movement have all been recorded in the Sichuan Basin (Figure 2). There were two major tectonic evolution stages in the history of the Sichuan Basin: an early cratonic depression during the Palaeozoic era, followed by a foreland basin stage in the Triassic era [30,31,32,33]. This could have generated a large number of faults and unconformity surfaces, leading to diverse hydrocarbon migration and gas preservation [34]. The Lower Silurian Longmaxi Formation experienced deep burial in the Yanshan period, causing gas generation to reach its peak. Subsequent repeated uplift and erosion caused hydrocarbons to migrate out of the formation [35,36].
Figure 2.
Schematic diagram showing the stratigraphy system of the Sichuan Basin, as well as the main tectonic events.
The Weiyuan (WY) area extends over 2700 km2 on the southeastern edge of the Leshan–Longnvsi paleo uplift in the southwestern part of the Sichuan Basin (Figure 1) [37]. Silurian strata are present in the southeastern part of the WY area, but are missing from its northwestern part. Silurian Longmaxi Formation shale is characterized as graptolite shale, mainly organic type I with an EqRo range from 1.80% to 2.24% [38,39]. It is primarily found on the southeastern flank of the Weiyuan anticline at a current burial depth of 1600–3200 m. The Changning (CN) area is located southwest of the Changning anticline in a gentle flank zone. The CN has an overall area of nearly 4000 km2 (Figure 1). The CN area is closer to the core zone of Emei Large Igneous Province (LIP) than the WY area (Figure 3). In this area, the Longmaxi shale mainly belongs to type I-II1 organic matter, with a thermal maturity Ro of 2.8% to 3.3% [40,41].
Figure 3.
Schematic map of the Emeishan large igneous province (ELIP) and its thermal effect (Jiang, 2017, modified from Sun et al., 2010). The dashed lines show the boundaries of the inner, intermediate, and outer zones of the ELIP, as defined by He et al. (2003). For the interpretation of the references for color in this figure legend, the reader is referred to the web version of this article. The red column represents the Permian heat flow and the green column represents the present heat flow.
3. Differences in Gas Geochemical Characteristics
3.1. Molecular Composition
With an average content of 98.2%, CH4 dominates the Longmaxi shale gases. The average contents of C2H6 and C2H6 are 0.51% and 0.02%, respectively. Non-hydrocarbon gases are mainly composed of N2 and CO2, with a small amount of He and Ar. H2S has not been detected. The content of methane in Weiyuan (WY) shale gas (av. 97.9%) is slightly lower than that in Changning (CN) shale gas (av. 98.6%), while the contents of CO2 (av. 0.47%) and N2 (av. 0.98%) in the WY area are higher than those in CN area (av. 0.45% and av. 0.70%, respectively).
3.2. Carbon Isotope Composition
As shown in the carbon isotope correlation diagrams in Figure 4 and Figure 5, there were distinct differences in the carbon isotopic distribution characteristics between the WY and CN shale gases. The δ13C1 values of WY Longmaxi shale gas ranged from −34.1% to −37.3%, the δ13C2 values ranged from −37.6% ~ −43.4%, and the δ13C3 values ranged from −33.6% ~ −43.5%. The δ13C1 (−26.8% to −31.3%) and δ13C2 (−32.3% to −34.9%) values of the CN Longmaxi shale gas were heavier by about 8% and 6%, respectively, than those in the WY area (Figure 4). The δ13C3 values ranged from −34.8% to −37.2% in the CN area.
Figure 4.
Carbon isotopic composition of shale gas from the Longmaxi Formation in the Weiyuan and Changning areas, Sichuan Basin, China.
Figure 5.
Variation in δ13C2-δ13C1 as a function of δ13C3-δ13C2 for gases from the Weiyuan (WY) and Changning (CN) areas, showing the isotope distribution patterns among methane, ethane, and propane.
Reversed distribution patterns of carbon isotopic compositions for CH4 to C3H8 were found in the Longmaxi shale gas in both the WY and CN areas. Full reversal distribution patterns of the carbon isotopic composition according to the carbon number were found in most Longmaxi Formation shale gases in these areas—that is, δ13C1 > δ13C2 > δ13C3. However, shale gases from three wells (W202, W201, and W201-H1) in the WY area showed a partial reversal distribution pattern of carbon isotopic composition according to the carbon number—that is, δ13C2 > δ13C1 and δ13C3 < δ13C2 (Figure 5).
3.3. Noble Gases
The Longmaxi formation shale gases in the Sichuan Basin showed regional differences in the abundance and isotopic compositions of noble gases [15]. The abundance and isotopic ratios of He and Ar in the WY shale gas are slightly higher than those in the CN shale gas (Figure 6). The concentrations of 4He and 40Ar ranged from 304.5 to 1286.3 ppm and 473.7 to 734.7 ppm, respectively, in the WY shale gas. The 3He/4He ratio was mainly around 0.02Ra, and the 40Ar/36Ar ratios ranged from 1276.2 to 6640.3 in the WY shale gas, while the concentration of 4He and 40Ar in the CN area varied in a small range from 386.1 to 445.9 ppm and 32.0 to 176.4 ppm, respectively. The 3He/4He ratios were around 0.01Ra, and the 40Ar/36Ar ratios were clustered around 1700 in the CN area. The ratios of 20Ne/22Ne and 21Ne/22Ne of the Longmaxi shale gases showed similar values to those of atmospheric Ne.
Figure 6.
Plots of (a) 3He/4He vs. 40Ar/36Ar and (b) 20Ne/22Ne vs. 40Ar/36Ar of Longmaxi shale gases in the Weiyuan (WY) and Changning (CN) areas, China.
4. Causes of Gas Geochemical Variation
Hydrocarbon gases are ubiquitous products of organic maturation at all stages of burial. During the burial history, complex geological events may occur that could influence their maturity and lead to secondary alteration processes (migration, preservation, and water–rock interactions) that may result in changes in gas geochemical characteristics. The carbon isotope compositions of shale gas are closely related to the thermal alteration of organic matter. The different thermal histories of source rocks could bring about various patterns of carbon isotope composition [42,43,44]. Apart from the effect of temperature, the loss of natural gas during tectonic processes also affects the distribution of the molecular and isotope compositions of shale gas [45,46,47,48,49,50]. Water–organic matter redox reactions are another factor which could reform the gas geochemical characteristics of shale gases [51,52,53,54]. Lastly, the heterogeneity of Longmaxi Formation shale can lead to different concentrations of some molecules/elements in shale gases.
4.1. Mixing of Secondary Cracking Gas
Most shale gases are generated by the thermal degradation of sedimentary organic matter. The origin of this sedimentary organic matter is tightly linked to organic matter diagenetic and thermal alteration [42,43,44]. Although differences in the thermal maturity and/or organic type (marine and terrestrial shale gas) could bring about various δ13C values and carbon isotopic distribution patterns [24], this seems not to be the reason for the differences in gas geochemistry between Weiyuan (WY) and Changning (CN) shale gas, as they have the same conditions in terms of these two factors [21,22,24]. Tissot and Welte [55] found that, in the early thermal evolution stage, gaseous hydrocarbons are formed concurrently with oil from kerogen in source rocks, whereas in the late thermal evolution stage gaseous hydrocarbons are generated by the thermal cracking of both residual kerogen and oil. The produced natural gas becomes progressively drier and isotopically more positive with the improvement in the thermal evolution degree [43,56]. The source rocks of the Longmaxi formation in the WY and CN areas are all in the high to over-maturity stage [24,25,26]. However, according to the tectonic activity history, Longmaxi shale in the WY and CN areas has experienced different processes of temperature change. Therefore, the differences in the molecular and carbon isotopic compositions of shale gas from the Longmaxi Formation between the WY and CN areas could be caused by the different proportions of secondary cracking gas generated by residual kerogen and liquid hydrocarbons.
The different effects of tectonic movement in the WY and CN areas could have led to the different burial and thermal histories of Longmaxi shale. During the Triassic to Early Cretaceous era, the WY area underwent strong subsistence and then experienced extensive uplifting and erosion after the Late Cretaceous era. These events resulted in large fluctuations in temperature in the shales [57]. As shown in Figure 7, from the Middle Triassic (70 °C, started to generate oil) to the Late Cretaceous era (210 °C, maximum gas generation), a complete evolution of the hydrocarbon generation stages occurred in the WY Silurian Longmaxi shale, including oil generation, oil cracking to gas, and residual kerogen cracking to gas [57,58]. High temperature ranges from 172 °C to 205 °C were revealed by the homogenous temperature of the fluid inclusions taken from N202 in the CN area [59,60], providing evidence that the CN Silurian Longmaxi shale also went through the complete evolution of the hydrocarbon generation stages. The complex tectonic activities in the Weiyuan and Changning areas will cause source rocks to undergo different evolutionary processes, leading to differences in the shale gas geochemical characteristics. However, this needs to be proven by accurate source rock burial history and other information in each region.
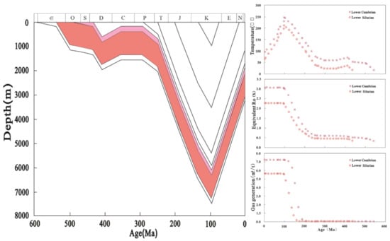
Figure 7.
Plots of the burial history and thermal evolution of the Silurian Longmaxi shales in the Weiyuan area (Well W117). The thermal gradient evolution history was established by the reflectance inversion method: 32 °C/km (>96 Ma), 30 °C/km (96–65 Ma), 27 °C/km (<65 Ma). The thermal evolution histories of Lower Silurian shale were reconstructed by combining the thermal gradient model and their burial histories [57,58].
The Emeishan large igneous province (ELIP) covers an area of about 2.5 × 105 km2 in southwest China. The heat flow in the inner and intermediate zones is abnormally high compared with that in the outer zone, where a decrease in the average heat flow from 76 to 51 mW/m2 has been observed [59]. This provides a differentiated heat source for overlying and underlying strata in different areas. The appearance of pyrobitumen in the Sinian–Cambrian reservoirs is clear evidence of an abrupt hydrothermal fluid event, which might correspond to the Emei mantle plume in the late Permian era [60,61]. WY and CN are in the Emeishan large igneous province region (Figure 3). The thermal evolution of source rocks in the WY and CN areas was strongly affected by the ELIP [62,63,64]. From Figure 3, we can see that the CN area is in the intermediate zone of ELIP, while the WY area is in the outer zone. We can conclude that the CN area received relatively more heat energy than the WY area during the Emeishan mantle plume activity.
The shale gases from the Longmaxi formation in the WY and CN areas are thermogenic gases, which are formed at higher temperatures by the thermal decomposition of higher molecular weight organic matter (kerogen or oil) [27]. It is known that 12C forms slightly weaker chemical bonds in the process of thermal decomposition than 13C, resulting in a “kinetic isotope fractionation” in which the reaction product (gas in this case) is enriched in 12C (isotopically ”lighter”) and the rest of the source material (kerogen or oil) becomes similarly enriched in 13C (isotopically ”heavier”) in a process known as the Rayleigh fractionation effect [27]. As the maturity degree increases, the δ13C1 ratio decreases until it reaches the lightest point, after which it increases [9]. Closed-system kerogen pyrolysis experiments and the study of geologic systems have determined that the secondary cracking of heavier hydrocarbons is a crucial pathway for gas generation [47,65,66,67,68]. Primary gases generated from kerogen and secondary gases cracked by oil and/or gaseous hydrocarbons are the main components of thermogenic shale gases. Shale gas (e.g., CH4, C2H6, and C3H8) generated at different temperatures will have different isotopic compositions due to the Rayleigh fractionation effect. This may be one of the primary causes of the differences in the carbon isotopic composition of Longmaxi shale gases between the WY and CN areas, which experienced different temperature changes throughout their thermal evolution.
4.2. The Loss of Shale Gas
Shale gas aggregates continuously in gas reservoirs and is characterized by relatively short hydrocarbon migration distances [69]. Tectonic movement and preservation conditions are the main drivers of the accumulation and migration of shale gas [33,36]. The Sichuan Basin experienced complex tectonic movements during the evolution from the Craton basin (Palaeozoic) to the foreland basin (Triassic) [33,36]. Silurian Longmaxi shale was affected by the Yanshan, Indo-China, Dongwu, and Yunnan movements after deposition (Figure 2), which generated a large number of faults and unconformity surfaces and resulted in various pathways of hydrocarbon migration and gas loss [33,70,71]. Repeated uplift and erosion and numerous faults destroyed the preservation conditions of Longmaxi shale gas in the WY and CN areas [36,70] and consequently caused shale gas loss. The formation of the Leshan–Longnvsi paleo uplift involved several periods of tectonic movements, from the Tongwan movement to Yanshanian movement [35]; its tectonic evolution has had a greater influence on the formation and distribution of the WY shale gas reservoirs than that of the CN shale gas reservoirs [72,73,74].
During shale gas loss in the geological history, diffusive leakage from reservoirs and source rocks could induce carbon isotope fractionation ranges from 1% to 30% [75], and this loss of fractionation is universal in sedimentary basins [75,76]. Further, the smaller the volume of gas in the accumulation, the more likely any type of secondary fractionation will be significant [77]. Cao et al. [15] and Zhang et al. [16] discovered changes in noble gas abundance and isotopic composition and molecular and carbon isotope variation in the Longmaxi Formation shale gas in the WY and CN areas over the course of 3.5 years. Shale gas production is a kind of artificial diffusion process; the methane carbon isotope composition become slightly heavier, with its content decreasing in WY shale gases, while there are no changes in CN shale gases [16]. The differences between the gas geochemical characteristics in these two areas is due to the lower gas pressure (which means smaller volume) of the Longmaxi reservoir in the WY area [15,16,75,76,77].
Therefore, we can conclude that the Longmaxi shale in the WY area has been more affected by the intense tectonic activities, resulting in more shale gas loss over geological history. According to the diffusive fractionation theory [75,77], there should be a heavier δ13C1 ratio in WY shale gases, but just the opposite is true [16,21,22,27]. Some other secondary reactions may have occurred in the Longmaxi shale gas reservoirs, either in WY or CN, leading to the present carbon isotope composition characteristics.
4.3. Water–Rock Interaction
The δ13C1 ratios of shale gases in the CN area range from −26.8% to −31.3%, which is heavier than that of the thermogenic methane from type I and II kerogen (−50% to −30%, [78,79]). Its carbon isotope composition and distribution pattern are similar to those of abiogenic gas (>−30%, [80]). Abiogenic hydrocarbons could be generated by Fischer–Tropsch-type reactions in granitic rocks, whose δ13C1 ratios range from −32% to −20% and δ13C1 > δ13C2+ [81,82]. Tang et al. [83] recognized a new mechanism of shale gas generation: a Fischer–Tropsch-type synthesis of hydrocarbon from CO2 and H2, resulting from the water reforming of residual organic matter in shale.
CHx (organic matter) + 2H2O → CO2 + (2 + x/2) H2,
CO2 + mH2 → xCH4 + yC2H6 + … + zH2O.
The Longmaxi shale in the CN area contains a large amount of formation water, providing the base materials for this methane generation mechanism, which may account for 50% or as much as 80% of the gas in shale, especially in particularly high-producing wells [83]. This also could increase the porosity and permeability of the shales [83]. Therefore, high δ13C1 ratios, the full reversal distribution pattern of the carbon isotopic composition, and high gas pressure may be related to this new mechanism of shale gas generation. However, much more detailed work, including on the temperature and catalyst of the reaction and the matrix pore features, should be undertaken to properly understand this Fischer–Tropsch-type reaction.
4.4. Heterogeneity of Longmaxi Shale
Longmaxi shale has obvious lateral and vertical heterogeneity in its mineral composition, Total Organic Carbon (TOC), porosity, and trace elements [84,85,86,87,88,89]. Figure 6 shows the differences in 4He and 40Ar content between the WY and CN shale gases. The 4He production in the crust is dominated by the α-decay of the 235,238U and 232Th decay chains, and is therefore directly proportional to the concentration of these radioelements in the crust, while the decay of 40K dominates the 40Ar production in the crust, which is thus directly proportional to the K concentrations. The contents of U, Th, and K are varied in Silurian Longmaxi shale [88,89], which may be one reason for the differences in noble gas isotope abundance (4He and 40Ar).
In addition, the 40Ar/36Ar ratio of W201-H1 is extremely high (6640.3), and close to that (7000) of conventional natural gas from the Sinian Dengying Formation reservoirs [15,90]. The two sets of gas reservoirs are in the same area (WY), and this combined with the intense tectonic activities in this area makes it very likely that some deeper conventional natural gas has leaked into the W201-H1 well from the fractures. Due to the low permeability and connectivity of shale rock, these deeper gases remained contained and did not spread to other shale gas wells.
5. Conclusions
There are differences in the molecular and carbon isotopic composition and noble gas abundance and isotopic composition in the Longmaxi shale gas sourced from the Weiyuan (WY) and Changning (CN) areas. This could be accounted for by the intense tectonic activities of the Sichuan Basin and secondary reactions in the shale gas reservoir. Additionally, the differential effect on WY and CN of the complex burial history and Emeishan super mantle plume activities in the Sichuan Basin has resulted in different thermal histories and hydrocarbon generation processes of Longmaxi shale in these two areas. The carbon isotope fractionation effect during the processes of shale gas generation results in different molecular and carbon isotopic compositions in the primary gases generated from kerogen compared with the secondary gases cracked by oil and/or gaseous hydrocarbons. The different partial mixing of primary and secondary gases is a governing factor for the differences in the gas geochemical characteristics between WY and CN. In addition, the different geotectonic movements have caused different fault and fracture systems in the WY and CN Longmaxi shale strata, which have led to various amounts of shale gas loss and consequently carbon isotope fractionation in the gas loss processes. Furthermore, water–rock interactions could enhance the molecular and carbon isotope composition differences, and the heterogeneity of the shale could bring about the different noble gas abundances and isotope compositions.
Author Contributions
Conceptualization, C.C.; funding acquisition, C.C. and Z.L.; investigation, C.C., L.L., Y.L.; methodology, C.C. and L.L.; project administration, C.C.; resources, C.C., L.L., L.D., and J.H.; supervision, C.C., and L.L.; writing—original draft, C.C.; writing—review and editing, C.C. and L.L. All authors have read and agreed to the published version of the manuscript.
Funding
This research was funded by National Natural Science Foundation of China, grant number 41502143, and Key Laboratory Project of Gansu Province, grant number 1309RTSA041.
Conflicts of Interest
The authors declare no conflict of interest.
Data Availability
The shale gas geochemical data used to support the findings of this study are included within the supplementary information file(s). Previously reported shale gas geochemical data were used to support this study, and are available at: https://doi.org/10.1016/j.marpetgeo.2017.01.023, https://doi.org/10.1016/j.marpetgeo.2017.01.022, https://doi.org/10.1016/S1876-3804(16)30092-1, https://doi.org/10.1016/j.petrol.2018.04.030. These prior studies are cited at relevant places within the text as references: [15,16,21,22,27].
References
- Zou, C.; Dong, D.; Wang, S.; Li, J.; Li, X.; Wang, Y.; Li, D.; Cheng, K. Geological characteristics and resource potential of shale gas in China. Pet. Explor. Dev. 2010, 37, 641–653. [Google Scholar] [CrossRef]
- Campbell, J.H.; Koskinas, G.J.; Gallegos, G.; Gregg, M. Gas evolution during oil shale pyrolysis. 1. Nonisothermal rate measurements. Fuel 1980, 59, 718–726. [Google Scholar] [CrossRef]
- Campbell, J.H.; Gallegos, G.; Gregg, M. Gas evolution during oil shale pyrolysis. 2. Kinetic and stoichiometric analysis. Fuel 1980, 59, 727–732. [Google Scholar] [CrossRef]
- Hao, F.; Zou, H. Cause of shale gas geochemical anomalies and mechanisms for gas enrichment and depletion in high-maturity shales. Mar. Pet. Geol. 2013, 44, 1–12. [Google Scholar] [CrossRef]
- Lorant, F.; Prinzhofer, A.; Behar, F.; Huc, A.-Y. Carbon isotopic and molecular constraints on the formation and the expulsion of thermogenic hydrocarbon gases. Chem. Geol. 1998, 147, 249–264. [Google Scholar] [CrossRef]
- Behar, F.; Vandenbroucke, M.; Teermann, S.; Hatcher, P.; Leblond, C.; Lerat, O. Experimental simulation of gas generation from coals and a marine kerogen. Chem. Geol. 1995, 126, 247–260. [Google Scholar] [CrossRef]
- Tilley, B.; Muehlenbachs, K. Isotope reversals and universal stages and trends of gas maturation in sealed, self-contained petroleum systems. Chem. Geol. 2013, 339, 194–204. [Google Scholar] [CrossRef]
- Xia, X.; Chen, J.; Braun, R.D.; Tang, Y. Isotopic reversals with respect to maturity trends due to mixing of primary and secondary products in source rocks. Chem. Geol. 2013, 339, 205–212. [Google Scholar] [CrossRef]
- Qu, Z.; Sun, J.; Shi, J.; Zhan, Z.; Zou, Y.; Peng, P. Characteristics of stable carbon isotopic composition of shale gas. J. Nat. Gas Geosci. 2016, 1, 147–155. [Google Scholar] [CrossRef]
- Tang, Y.C.; Xia, X.Y. Kinetics and mechanism of shale-gas formation: A quantitative interpretation of gas isotope ‘rollover’ for shale gas formation. In Proceedings of the AAPG Hedberg Conference, Austin, TX, USA, 5–10 December 2010; pp. 5–10. [Google Scholar]
- Gao, L.; Schimmelmann, A.; Tang, Y.; Mastalerz, M. Isotope rollover in shale gas observed in laboratory pyrolysis experiments: Insight to the role of water in thermogenesis of mature gas. Org. Geochem. 2014, 68, 95–106. [Google Scholar] [CrossRef]
- Zumberge, J.; Ferworn, K.; Brown, S. Isotopic reversal (‘rollover’) in shale gases produced from the Mississippian Barnett and Fayetteville formations. Mar. Pet. Geol. 2012, 31, 43–52. [Google Scholar] [CrossRef]
- Ferworn, K.J.; Zumberge, J.; Reed, J.; Brown, S. Gas Character Anomalies Found in Highly Productive Shale Gas Wells. 2008. Available online: http://www.zenzebra.net/quebec/Ferworn_et_al_2008.pdf (accessed on 16 October 2008).
- Cao, C.; Lv, Z.; Li, L.; Du, L. Geochemical characteristics and implications of shale gas from the Longmaxi Formation, Sichuan Basin, China. J. Nat. Gas Geosci. 2016, 1, 131–138. [Google Scholar] [CrossRef]
- Cao, C.; Zhang, M.; Tang, Q.; Yang, Y.; Lv, Z.; Zhang, T.; Chen, C.; Yang, H.; Li, L. Noble gas isotopic variations and geological implication of Longmaxi shale gas in Sichuan Basin, China. Mar. Pet. Geol. 2018, 89, 38–46. [Google Scholar] [CrossRef]
- Zhang, M.; Tang, Q.; Cao, C.; Lv, Z.; Zhang, T.; Zhang, D.; Li, Z.; Du, L. Molecular and carbon isotopic variation in 3.5 years shale gas production from Longmaxi Formation in Sichuan Basin, China. Mar. Pet. Geol. 2018, 89, 27–37. [Google Scholar] [CrossRef]
- Yang, R.; He, S.; Hu, Q.H.; Hu, D.F.; Yi, J.Z. Geochemical characteristics and origin of natural gas from Wufeng-Longmaxi shales of the Fuling gas field, Sichuan Basin (China). Int. J. Coal Geol. 2017, 171, 1–11. [Google Scholar] [CrossRef]
- Jiang, K.; Lin, C.; Zhang, X.; He, W.; Xiao, F. Geochemical characteristics and possible origin of shale gas in the Toolebuc Formation in the northeastern part of the Eromanga Basin, Australia. J. Nat. Gas Sci. Eng. 2018, 57, 68–76. [Google Scholar] [CrossRef]
- Rodriguez, N.D.; Philp, R.P. Geochemical characterization of gases from the Mississippian Barnett Shale, Fort Worth Basin, Texas. AAPG Bull. 2010, 94, 1641–1656. [Google Scholar] [CrossRef]
- Tilley, B.; McLellan, S.; Hiebert, S.; Quartero, B.; Veilleux, B.; Muehlenbachs, K. Gas isotope reversals in fractured gas reservoirs of the western Canadian Foothills: Mature shale gases in disguise. AAPG Bull. 2011, 95, 1399–1422. [Google Scholar] [CrossRef]
- Feng, Z.; Liu, D.; Huang, S.; Wu, W.; Dong, D.; Peng, W.; Han, E. Carbon isotopic composition of shale gas in the Silurian Longmaxi Formation of the Changning area, Sichuan Basin. Pet. Explor. Dev. 2016, 43, 769–777. [Google Scholar] [CrossRef]
- Feng, Z.; Dong, D.; Tian, J.; Qiu, Z.; Wu, W.; Zhang, C. Geochemical characteristics of Longmaxi Formation shale gas in the Weiyuan area, Sichuan Basin, China. J. Pet. Sci. Eng. 2018, 167, 538–548. [Google Scholar] [CrossRef]
- Wei, X.; Guo, T.; Liu, R. Geochemical features and genesis of shale gas in the Jiaoshiba Block of Fuling Shale Gas Field, Chongqing, China. J. Nat. Gas Geosci. 2016, 1, 361–371. [Google Scholar] [CrossRef]
- Dai, J.; Zou, C.; Dong, D.; Ni, Y.; Wu, W.; Gong, D.; Wang, Y.; Huang, S.; Huang, J.; Fang, C.; et al. Geochemical characteristics of marine and terrestrial shale gas in China. Mar. Pet. Geol. 2016, 76, 444–463. [Google Scholar] [CrossRef]
- Zou, C.; Dong, D.; Wang, Y.; Li, X.; Huang, J.; Wang, S.; Guan, Q.; Zhang, C.; Wang, H.; Liu, H.; et al. Shale gas in China: Characteristics, challenges and prospects (I). Pet. Explor. Dev. 2015, 42, 753–767. [Google Scholar] [CrossRef]
- Guo, T. Key geological issues and main controls on accumulation and enrichment of Chinese shale gas. Pet. Explor. Dev. 2016, 43, 349–359. [Google Scholar] [CrossRef]
- Dai, J.; Zou, C.; Liao, S.; Dong, D.; Ni, Y.; Huang, J.; Wu, W.; Gong, D.; Huang, S.; Hu, G. Geochemistry of the extremely high thermal maturity Longmaxi shale gas, southern Sichuan Basin. Org. Geochem. 2014, 74, 3–12. [Google Scholar] [CrossRef]
- Zhu, C.; Xu, M.; Yuan, Y.; Zhao, Y.; Shan, J.; He, Z.; Tian, Y.; Hu, S. Palaeogeothermal response and record of the effusing of Emeishan basalts in the Sichuan basin. Chin. Sci. Bull. 2009, 55, 949–956. [Google Scholar] [CrossRef]
- Xu, Y.G.; Chung, S.-L.; Jahn, B.-M.; Wu, G.Y. Petrologic and geochemical constraints on the petrogenesis of Permian–Triassic Emeishan flood basalts in southwestern China. Lithos 2001, 58, 145–168. [Google Scholar] [CrossRef]
- Liu, S.G.; Deng, B.; Zhong, Y.S.; Ran, B.; Yong, Z.; Sun, W.; Yang, D.Z.; Jiang, L.; Ye, Y. Unique geological features of burial and superimposition of the Lower Paleozoic shale gas across the Sichuan Basin and its periphery. Earth Sci. Front. 2016, 23, 11–28. [Google Scholar] [CrossRef]
- Ma, L.; Chen, H.J.; Gan, K.W. Tectonics and Marine Petroleum Geology in South China; Geology Press: Beijing, China, 2004; pp. 37–41. [Google Scholar]
- Hao, F.; Zou, H.; Lu, Y. Mechanisms of shale gas storage: Implications for shale gas exploration in China. AAPG Bull. 2013, 97, 1325–1346. [Google Scholar] [CrossRef]
- Xu, H.; Zhou, W.; Cao, Q.; Xiao, C.; Zhou, Q.; Zhang, H.; Zhang, Y. Differential fluid migration behaviour and tectonic movement in Lower Silurian and Lower Cambrian shale gas systems in China using isotope geochemistry. Mar. Pet. Geol. 2018, 89, 47–57. [Google Scholar] [CrossRef]
- Liu, S.G.; Qin, C.; Sun, W.; Wang, G.Z.; Xu, G.S.; Zhang, Z.J.; Zhang, Z.J. The coupling formation process of four centers of hydrocarbon in Sinian Dengying Formation of Sichuan Basin. Acta Petrol. Sin. 2012, 28, 879–888. [Google Scholar]
- Xu, H.; Wei, G.; Jia, C.; Yang, W.; Zhou, T.; Xie, W.; Li, C.; Luo, B. Tectonic evolution of the Leshan-Longnüsi paleo-uplift and its control on gas accumulation in the Sinian strata. Pet. Explor. Dev. 2012, 39, 436–446. [Google Scholar] [CrossRef]
- Feng, W.P.; Wang, F.Y.; Guan, J.; Zhou, J.X.; Wei, F.B.; Dong, W.J.; Xu, Y.F. Geologic structure controls on initial productions of lower Silurian Longmaxi shale in south China. Mar. Pet. Geol. 2018, 91, 163–178. [Google Scholar] [CrossRef]
- Zhai, G.M.; Gao, W.L.; Song, J.G.; An, Z.X.; Cheng, K.M.; Dai, J.X.; Guan, D.S.; Liu, F.H.; Li, J.C.; Qiu, Y.N.; et al. Petroleum Geology of China—Volume 10, Oil and Gas Zone in Sichuan Basin; Petroleum Industry Press: Beijing, China, 1989; pp. 389–424. [Google Scholar]
- Wang, S.Q.; Chen, G.S.; Dong, D.Z.; Yang, G.; Lv, Z.G.; Xu, H.Y.; Huang, Y.B. Accumulation conditions and exploitation prospect of shale gas in the Lower Paleozoic Sichaun Basin. Nat. Gas Ind. 2009, 29, 51–58. [Google Scholar] [CrossRef]
- Huang, J.L.; Zou, C.N.; Li, J.Z.; Dong, D.Z.; Wang, S.J.; Wang, S.Q.; Wang, Y.M.; Li, D.H. Shale gas accumulation conditions and favorable zones of Silurian Longmaxi Formation in south Sichuan Basin. China J. China Coal Soc. 2012, 37, 782–787. [Google Scholar]
- Dong, D.; Gao, S.; Huang, J.; Guan, Q.; Wang, S.; Wang, Y. Discussion on the exploration & development prospect of shale gas in the Sichuan Basin. Nat. Gas Ind. B 2015, 2, 9–23. [Google Scholar] [CrossRef]
- Gao, B. Geochemical characteristics of shale gas from lower Silurian Longmaxi formation in the Sichuan Basin and its geological significance. J. Nat. Gas Geosci. 2015, 26, 1173–1182. [Google Scholar] [CrossRef]
- Schoell, M. The hydrogen and carbon isotopic composition of methane from natural gases of various origins. Geochim. Cosmochim. Acta 1980, 44, 649–661. [Google Scholar] [CrossRef]
- Schoell, M. Genetic Characterization of Natural Gases. AAPG Bull. 1983, 67, 2225–2238. [Google Scholar] [CrossRef]
- Tissot, B.P.; Pelet, R.; Ungerer, P. Thermal history of sedimentary basins, maturation indices, and kinetics of oil and gas generation. AAPG Bull. 1987, 71, 1445–1466. [Google Scholar] [CrossRef]
- Wang, X.F.; Li, X.F.; Wang, X.Z.; Shi, B.G.; Luo, X.R.; Zhang, L.X.; Lei, Y.H.; Jiang, C.F.; Meng, Q. Carbon isotopic fractionation by desorption of shale gases. Mar. Pet. Geol. 2015, 60, 79–86. [Google Scholar] [CrossRef]
- Hill, R.J.; Zhang, E.; Katz, B.J.; Tang, Y. Modeling of gas generation from the Barnett Shale, Fort Worth Basin, Texas. AAPG Bull. 2007, 91, 501–521. [Google Scholar] [CrossRef]
- Prinzhofer, A.A.; Huc, A.Y. Genetic and post-genetic molecular and isotopic fractionations in natural gases. Chem. Geol. 1995, 126, 281–290. [Google Scholar] [CrossRef]
- Tang, Y.; Perry, J.; Jenden, P.; Schoell, M. Mathematical modeling of stable carbon isotope ratios in natural gases. Geochim. Cosmochim. Acta 2000, 64, 2673–2687. [Google Scholar] [CrossRef]
- Cramer, B.; Faber, E.; Gerling, P.; Krooss, B.M. Reaction Kinetics of Stable Carbon Isotopes in Natural GasInsights from Dry, Open System Pyrolysis Experiments. Energy Fuels 2001, 15, 517–532. [Google Scholar] [CrossRef]
- Zou, Y.-R.; Wang, L.; Shuai, Y.; Peng, P. EasyDelta: A spreadsheet for kinetic modeling of the stable carbon isotope composition of natural gases. Comput. Geosci. 2005, 31, 811–819. [Google Scholar] [CrossRef]
- Lewan, M. Experiments on the role of water in petroleum formation. Geochim. Cosmochim. Acta 1997, 61, 3691–3723. [Google Scholar] [CrossRef]
- Burruss, R.; Laughrey, C. Carbon and hydrogen isotopic reversals in deep basin gas: Evidence for limits to the stability of hydrocarbons. Org. Geochem. 2010, 41, 1285–1296. [Google Scholar] [CrossRef]
- Cheng, B.; Xu, J.B.; Qian, D.; Liao, Z.W.; Wang, Y.P.; Faboya, O.L.; Li, S.D.; Liu, J.Z.; Peng, P.A. Methane cracking within shale rocks: A new explanation for carbon isotope reversal of shale. Mar. Pet. Geol. 2020, 121, 104591. [Google Scholar] [CrossRef]
- Price, L.C. Chapter H—A Possible Deep-Basin High-Rank Gas Machine via Water Organic-Matter Redox Reactions. In U.S. Geological Survey Digital Data Series DDS-67; Version 1.00.; Dyman, T.S., Kuuskraa, V.A., Eds.; U.S. Department of the Interior: Washington, DC, USA; U.S. Geological Survey: Reston, VA, USA, 2001; pp. 1–29. Available online: http://pubs.usgs.gov/dds/dds-067/CHH.pdf (accessed on 16 January 2001).
- Tissot, P.B.P.; Welte, P.D.H. Petroleum Formation and Occurrence, 2nd ed.; Springer: Berlin, Germany, 1984. [Google Scholar]
- Rooney, M.A.; Claypool, G.E.; Chung, H.M. Modeling thermogenic gas generation using carbon isotope ratios of natural gas hydrocarbons. Chem. Geol. 1995, 126, 219–232. [Google Scholar] [CrossRef]
- Zhou, Q.; Xiao, X.; Tian, H.; Pan, L. Modeling free gas content of the Lower Paleozoic shales in the Weiyuan area of the Sichuan Basin, China. Mar. Pet. Geol. 2014, 56, 87–96. [Google Scholar] [CrossRef]
- Xiao, X.M.; Tian, H.; Liu, D.H.; Liu, Z.F. Evaluation of Deep Burial Source Rocks and Their Natural Gas Potentials in Sichuan Basin. In Annual Report of State Major Research Program of China (Project No. 2011ZX05008-002-40), Internal Report; Guangzhou Institute of Geochemistry of Chinese Academy of Sciences: Guangzhou, China, 2012; pp. 1–68. [Google Scholar]
- Jiang, Q.; Qiu, N.; Zhu, C. Heat flow study of the Emeishan large igneous province region: Implications for the geodynamics of the Emeishan mantle plume. Tectonophysics 2018, 11–27. [Google Scholar] [CrossRef]
- Xu, Y.G.; He, B.; Huang, X.L.; Luo, Z.Y.; Zhu, D.; Ma, J.L.; Shao, H. Late Permian Emeishan Flood Basalts in Southwestern China. Earth Sci. Front. 2007, 14, 1–9. [Google Scholar] [CrossRef]
- Yang, C.; Ni, Z.-Y.; Li, M.; Wang, T.; Chen, Z.; Hong, H.; Tian, X. Pyrobitumen in South China: Organic petrology, chemical composition and geological significance. Int. J. Coal Geol. 2018, 188, 51–63. [Google Scholar] [CrossRef]
- Zhu, C.-Q.; Tian, Y.-T.; Xu, M.; Rao, S.; Yuan, Y.-S.; Zhao, Y.-Q.; Hu, S.-B. The Effect of Emeishan Supper Mantle Plume on the Thermal Evolution of Hydrocarbon Source Rocks in the Sichuan Basin. Chin. J. Geophys. 2010, 53, 83–91. [Google Scholar] [CrossRef]
- Wu, X.; Dai, J.; Liao, F.; Huang, S. Origin and source of CO2 in natural gas from the eastern Sichuan Basin. Sci. China Earth Sci. 2013, 56, 1308–1317. [Google Scholar] [CrossRef]
- Feng, Z.Q.; Hao, F.; Zhou, S.; Wu, W.; Tian, J.; Xie, C.; Cai, Y. Pore characteristics and methane adsorption capacity of different lithofacies of the Wufeng formation-Longmaxi formation shales, Southern Sichuan Basin. Energ. Fuel. 2020, 34, 8046–8062. [Google Scholar] [CrossRef]
- Arneth, J.-D.; Matzigkeit, U. Variations in the carbon isotope composition and production yield of various pyrolysis products under open and closed system conditions. Org. Geochem. 1986, 10, 1067–1071. [Google Scholar] [CrossRef]
- Horsfield, B.; Schenk, H.; Mills, N.; Welte, D. An investigation of the in-reservoir conversion of oil to gas: Compositional and kinetic findings from closed-system programmed-temperature pyrolysis. Org. Geochem. 1992, 19, 191–204. [Google Scholar] [CrossRef]
- Berner, U.; Faber, E.; Scheeder, G.; Panten, D. Primary cracking of algal and landplant kerogens: Kinetic models of isotope variations in methane, ethane and propane. Chem. Geol. 1995, 126, 233–245. [Google Scholar] [CrossRef]
- Chen, Y.X.; Tian, C.T.; Li, K.N.; Cui, X.Y.; Wu, Y.Q.; Xia, Y.Q. Influence of thermal maturity on carbon isotopic composition of individual aromatic hyrocarbons during anhydrous closed-system pyrolysis. Fuel 2016, 186, 466–475. [Google Scholar] [CrossRef]
- Curtis, J.B. Fractured shale-gas systems. AAPG Bull. 2002, 86, 1921–1938. [Google Scholar] [CrossRef]
- Wei, S.L.; He, S.; Pan, Z.J.; Guo, X.W.; Yang, R.; Dong, T.; Yang, W.; Gao, J. Models of shale gas storage capacity during burial and uplift: Application to Wufeng-Longmaxi shales in the Fuling shale gas field. Mar. Pet. Geol. 2019, 109, 233–244. [Google Scholar] [CrossRef]
- Huang, H.Y.; He, D.F.; Li, Y.Q.; Li, J.; Zhang, L. Silurian tectonic-sedimentary setting and basin evolution in the Sichuan area, southwest China: Implications for palaeogeographic reconstructions. Mar. Pet. Geol. 2018, 92, 403–423. [Google Scholar] [CrossRef]
- Jiang, H.; Wang, Z.C.; Du, H.Y.; Zhang, C.M.; Wang, R.J.; Zou, N.N.; Wang, T.S.; Gu, Z.D.; Li, Y.X. Tectonic evolution of the Leshan-Longnvsi paleo-uplift and reservoir formation of Neoproterozoic Sinian gas. Nat. Gas Geosci. 2014, 25, 192–200. [Google Scholar] [CrossRef]
- Zhang, B.; Xiao, D.; Wang, X.; Zhao, L.; Luo, S.; Yang, X. Sedimentary characteristics and distribution patterns of grain shoals in the Lower Cambrian Longwangmiao Formation, southern Sichuan Basin, SW China. Arab. J. Geosci. 2018, 11, 135. [Google Scholar] [CrossRef]
- Wei, L.; Haiyong, Y.; Wangshui, H.; Geng, Y.; Xuan, X.; Li, W.; Yi, H.; Hu, W.; Xiong, X. Tectonic evolution of Caledonian Palaeohigh in the Sichuan Basin and its relationship with hydrocarbon accumulation. Nat. Gas Ind. B 2014, 1, 58–65. [Google Scholar] [CrossRef]
- Prinzhofer, A. Pernaton, Éric Isotopically light methane in natural gas: Bacterial imprint or diffusive fractionation? Chem. Geol. 1997, 142, 193–200. [Google Scholar] [CrossRef]
- Ballentine, C.J.; O’Nions, R.; Coleman, M. A Magnus opus: Helium, neon, and argon isotopes in a North Sea oilfield. Geochim. Cosmochim. Acta 1996, 60, 831–849. [Google Scholar] [CrossRef]
- Fuex, A. Experimental evidence against an appreciable isotopic fractionation of methane during migration. Phys. Chem. Earth 1980, 12, 725–732. [Google Scholar] [CrossRef]
- Bernard, B.B.; Brooks, J.M.; Sackett, W.M. Light hydrocarbons in recent Texas continental shelf and slope sediments. J. Geophys. Res. Space Phys. 1978, 83, 4053–4061. [Google Scholar] [CrossRef]
- Whiticar, M.J. A geochemial perspective of natural gas and atmospheric methane. Org. Geochem. 1990, 16, 531–547. [Google Scholar] [CrossRef]
- Zhang, X.; Guan, R.-F.; Wu, D.-Q.; Chan, K.Y. Enzyme immobilization on amino-functionalized mesostructured cellular foam surfaces, characterization and catalytic properties. J. Mol. Catal. B Enzym. 2005, 33, 43–50. [Google Scholar] [CrossRef]
- Salvi, S.; Williams-Jones, A.E. Fischer-Tropsch synthesis of hydrocarbons during sub-solidus alteration of the Strange Lake peralkaline granite, Quebec/Labrador, Canada. Geochim. Cosmochim. Acta 1997, 61, 83–99. [Google Scholar] [CrossRef]
- Potter, J.; Salvi, S.; Longstaffe, F.J. Abiogenic hydrocarbon isotopic signatures in granitic rocks: Identifying pathways of formation. Lithos 2013, 114–124. [Google Scholar] [CrossRef]
- Tang, Y.C.; Xia, X.Y. Quantitative Assessment of Shale Gas Potential Based on Its Special Generation and Accumulation Processes. In Proceedings of the AAPG Annual Convention and Exhibition, Houston, TX, USA, 10–13 April 2011; Available online: http://www.searchanddiscovery.com/pdfz/documents/2011/40819tang/ndx_tang.pdf.html (accessed on 31 October 2011).
- Chen, S.; Zhu, Y.; Wang, H.; Liu, H.; Wei, W.; Fang, J. Shale gas reservoir characterisation: A typical case in the southern Sichuan Basin of China. Energy 2011, 36, 6609–6616. [Google Scholar] [CrossRef]
- Chen, L.; Lu, Y.; Jiang, S.; Li, J.; Guo, T.; Luo, C. Heterogeneity of the Lower Silurian Longmaxi marine shale in the southeast Sichuan Basin of China. Mar. Pet. Geol. 2015, 65, 232–246. [Google Scholar] [CrossRef]
- Tang, X.; Jiang, Z.; Li, Z.; Gao, Z.; Bai, Y.; Zhao, S.; Feng, J. The effect of the variation in material composition on the heterogeneous pore structure of high-maturity shale of the Silurian Longmaxi formation in the southeastern Sichuan Basin, China. J. Nat. Gas Sci. Eng. 2015, 23, 464–473. [Google Scholar] [CrossRef]
- Tuo, J.; Wu, C.; Zhang, M. Organic matter properties and shale gas potential of Paleozoic shales in Sichuan Basin, China. J. Nat. Gas Sci. Eng. 2016, 28, 434–446. [Google Scholar] [CrossRef]
- Yan, D.; Wang, H.; Fu, Q.; Chen, Z.; He, J.; Gao, Z. Geochemical characteristics in the Longmaxi Formation (Early Silurian) of South China: Implications for organic matter accumulation. Mar. Pet. Geol. 2015, 65, 290–301. [Google Scholar] [CrossRef]
- Li, Y.F.; Shao, D.Y.; Lv, H.G.; Zhang, Y.; Zhang, X.L.; Zhang, T.W. A relationship between elemental geochemical characteristics and organic matter enrichment in marine shale of Wufeng Formation-Longmaxi Formation, Sichuan Basin. Acta Pet. Sin. 2015, 36, 1470–1483. [Google Scholar] [CrossRef]
- Yang, M.-X.; Qu, X.; Liu, F.-L.; Zheng, G.-J. HCA520, a novel tumor associated antigen, involved in cell proliferation and apoptosis. Chin. J. Cancer Res. 2003, 15, 282–285. [Google Scholar] [CrossRef]
Publisher’s Note: MDPI stays neutral with regard to jurisdictional claims in published maps and institutional affiliations. |
© 2020 by the authors. Licensee MDPI, Basel, Switzerland. This article is an open access article distributed under the terms and conditions of the Creative Commons Attribution (CC BY) license (http://creativecommons.org/licenses/by/4.0/).






