Sensitivity Based Order Reduction of a Chemical Membrane Degradation Model for Low-Temperature Proton Exchange Membrane Fuel Cells
Abstract
1. Introduction
2. Mathematical Procedures
2.1. Degradation Model Description
2.2. Sensitivity Analysis
3. Results and Discussion
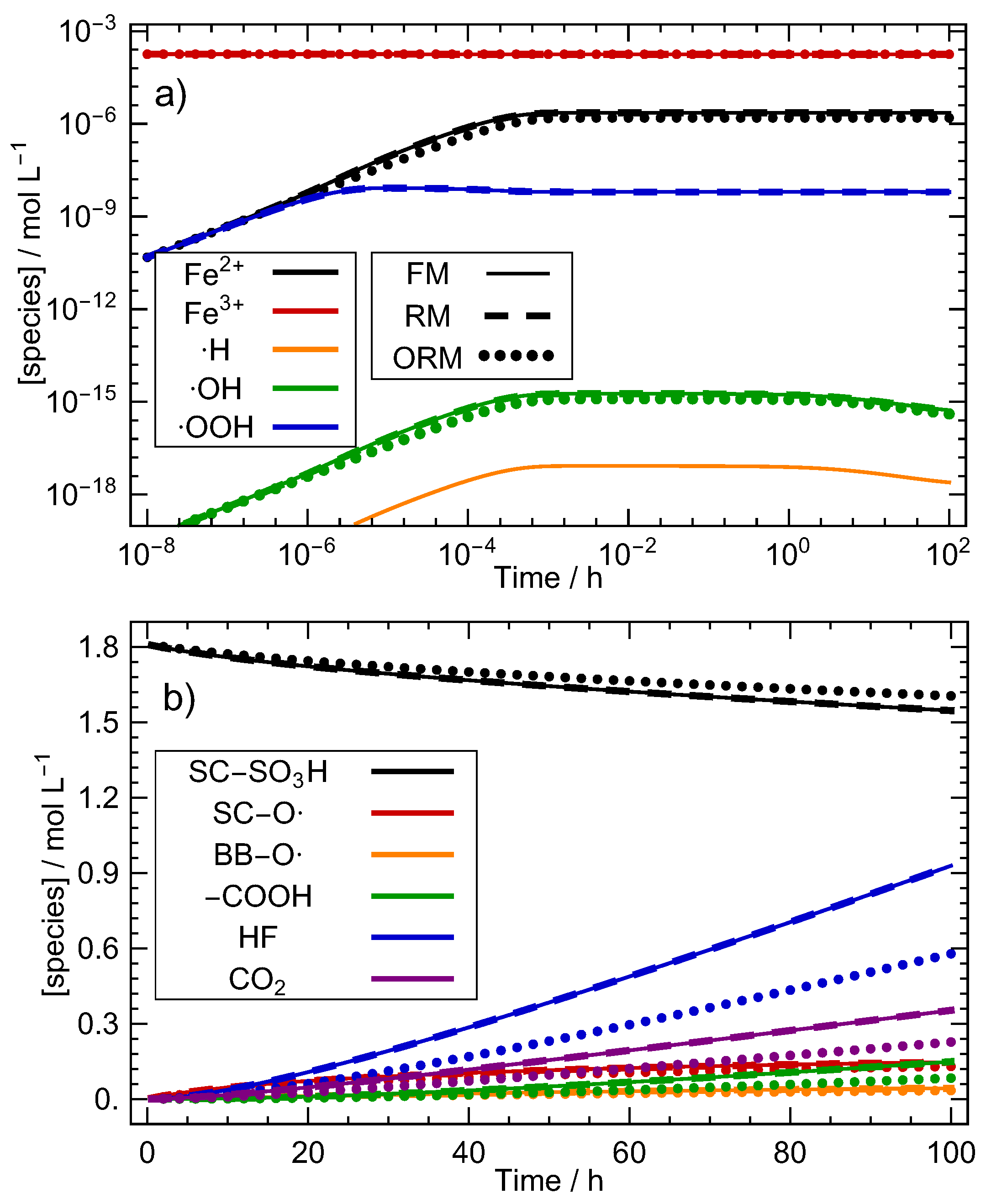
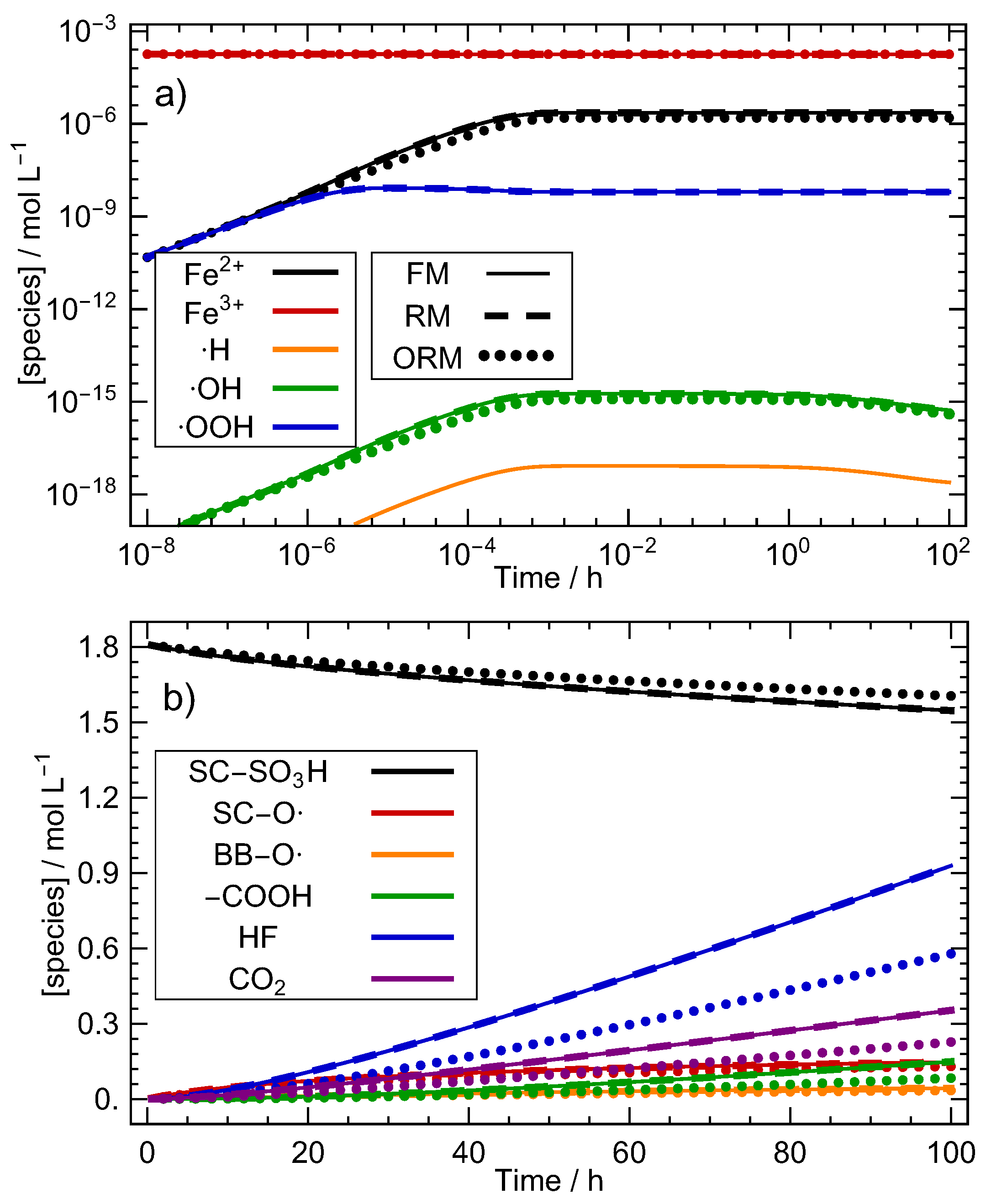
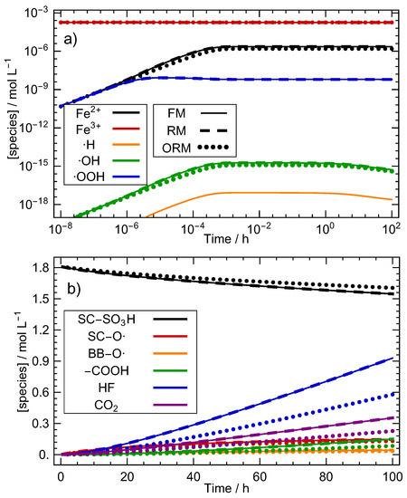
3.1. Model Reduction
3.2. Physicochemical Perspective of the Model Reduction
3.3. Stiffness Analysis of the Reduced Model
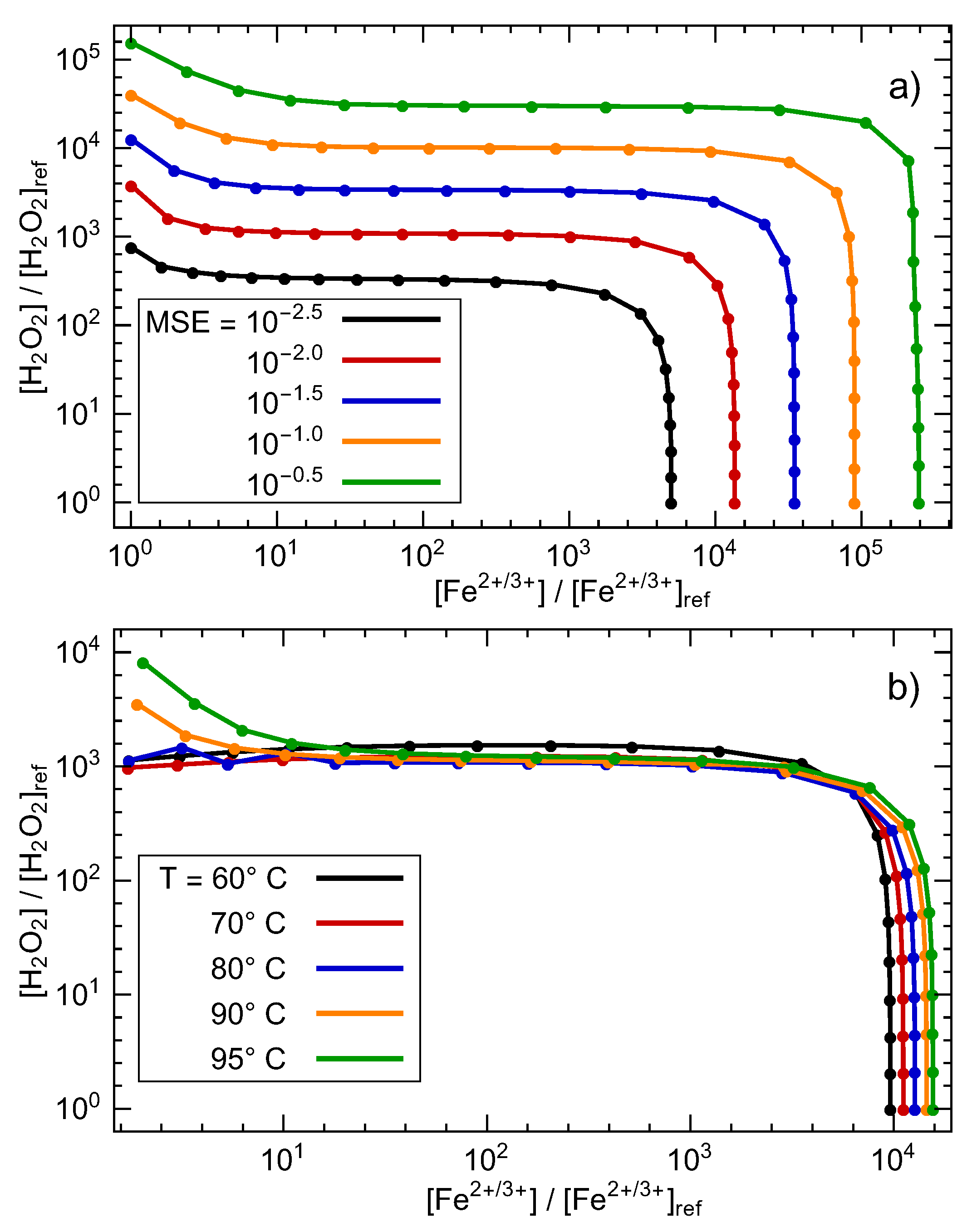
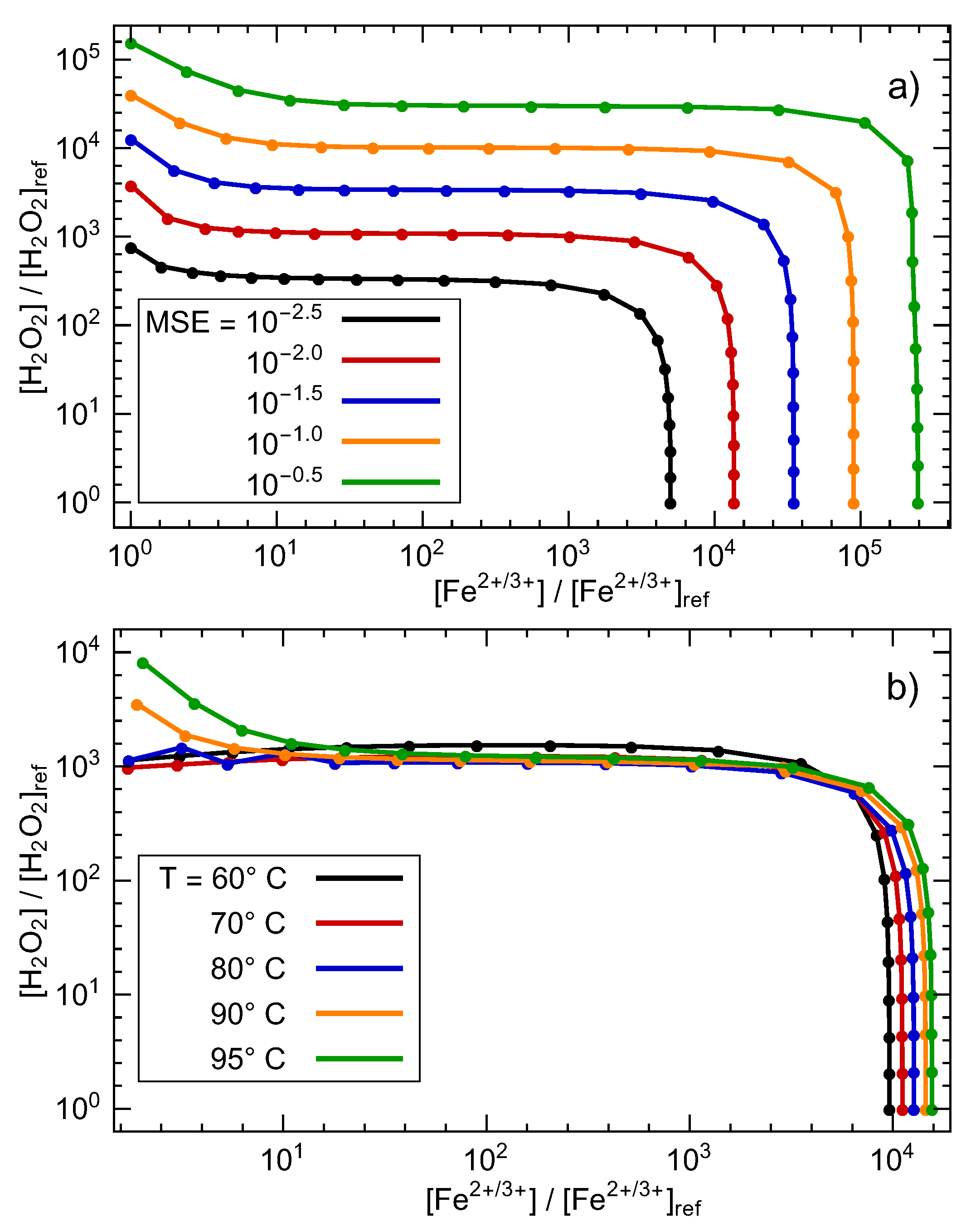
3.4. Range of Validity of Reduced Model
4. Conclusions
Author Contributions
Funding
Conflicts of Interest
References
- Thomas, C. Fuel cell and battery electric vehicles compared. Int. J. Hydrog. Energy 2009, 34, 6005–6020. [Google Scholar] [CrossRef]
- Jahnke, T.; Futter, G.; Latz, A.; Malkow, T.; Papakonstantinou, G.; Tsotridis, G.; Schott, P.; Gérard, M.; Quinaud, M.; Quiroga, M.; et al. Performance and degradation of Proton Exchange Membrane Fuel Cells: State of the art in modeling from atomistic to system scale. J. Power Sources 2016, 304, 207–233. [Google Scholar] [CrossRef]
- Kregar, A.; Tavčar, G.; Kravos, A.; Katrašnik, T. Predictive system-level modeling framework for transient operation and cathode platinum degradation of high temperature proton exchange membrane fuel cells. Appl. Energy 2020, 263, 114547. [Google Scholar] [CrossRef]
- Frühwirt, P.; Kregar, A.; Törring, J.T.; Katrašnik, T.; Gescheidt, G. Holistic approach to chemical degradation of Nafion membranes in fuel cells: Modeling and predictions. Phys. Chem. Chem. Phys. 2020, 22, 5647–5666. [Google Scholar] [CrossRef] [PubMed]
- Fenton, H.J.H. LXXIII.—Oxidation of tartaric acid in presence of iron. J. Chem. Soc. Trans. 1894, 65, 899–910. [Google Scholar] [CrossRef]
- Ruppert, G.; Bauer, R.; Heisler, G. The photo-Fenton reaction—an effective photochemical wastewater treatment process. J. Photochem. Photobiol. A Chem. 1993, 73, 75–78. [Google Scholar] [CrossRef]
- Pozio, A.; Silva, R.; De Francesco, M.; Giorgi, L. Nafion degradation in PEFCs from end plate iron contamination. Electrochim. Acta 2003, 48, 1543–1549. [Google Scholar] [CrossRef]
- Dainton, F.S.; Rowbottom, J. The primary radical yield in water. Trans. Faraday Soc. 1953, 49, 1160–1173. [Google Scholar] [CrossRef]
- Rigg, T.; Taylor, W.; Weiss, J. The Rate Constant of the Reaction between Hydrogen Peroxide and Ferrous Ions. J. Chem. Phys. 1954, 22, 575–577. [Google Scholar] [CrossRef]
- Giguère, P.A.; Liu, I.D. Kinetics of the Thermal Decomposition of Hydrogen Peroxide Vapor. Can. J. Chem. 1957, 35, 283–293. [Google Scholar] [CrossRef]
- Walling, C.; Goosen, A. Mechanism of the ferric ion catalyzed decomposition of hydrogen peroxide. Effect of organic substrates. J. Am. Chem. Soc. 1973, 95, 2987–2991. [Google Scholar] [CrossRef]
- Jayson, G.G.; Parsons, B.J.; Swallow, A.J. Oxidation of ferrous ions by perhydroxyl radicals. J. Chem. Soc. Faraday Trans. Phys. Chem. Condens. Phases 1973, 69, 236–242. [Google Scholar] [CrossRef]
- Bielski, B.H.J. Reevaluation of the Spectral and Kinetic Properties of HO2 and O2- Free Radicals. Photochem. Photobiol. 1978, 28, 645–649. [Google Scholar] [CrossRef]
- Christensen, H.; Sehested, K. Pulse radiolysis at high temperatures and high pressures. Radiat. Phys. Chem. 1981, 18, 723–731. [Google Scholar] [CrossRef]
- Christensen, H.; Sehested, K.; Corfitzen, H. Reactions of hydroxyl radicals with hydrogen peroxide at ambient and elevated temperatures. J. Phys. Chem. 1982, 86, 1588–1590. [Google Scholar] [CrossRef]
- Christensen, H.; Sehested, K. Reaction of hydroxyl radicals with hydrogen at elevated temperatures. Determination of the activation energy. J. Phys. Chem. 1983, 87, 118–120. [Google Scholar] [CrossRef]
- Lundström, T.; Christensen, H.; Sehested, K. The reaction of hydrogen atoms with hydrogen peroxide as a function of temperature. Radiat. Phys. Chem. 2001, 61, 109–113. [Google Scholar] [CrossRef]
- Lee, Y.; Lee, C.; Yoon, J. High temperature dependence of 2,4-dichlorophenoxyacetic acid degradation by Fe3+ /H2O2 system. Chemosphere 2003, 51, 963–971. [Google Scholar] [CrossRef]
- Lee, C.; Yoon, J. Temperature dependence of hydroxyl radical formation in the hv/Fe3+/H2O2 and Fe3+/H2O2 systems. Chemosphere 2004, 56, 923–934. [Google Scholar] [CrossRef]
- Lundström, T.; Christensen, H.; Sehested, K. Reactions of the HO2 radical with OH, H, Fe2+ and Cu2+ at elevated temperatures. Radiat. Phys. Chem. 2004, 69, 211–216. [Google Scholar] [CrossRef]
- Ghassemzadeh, L.; Holdcroft, S. Quantifying the structural changes of perfluorosulfonated acid ionomer upon reaction with hydroxyl radicals. J. Am. Chem. Soc. 2013, 135, 8181–8184. [Google Scholar] [CrossRef] [PubMed]
- Ghassemzadeh, L.; Peckham, T.J.; Weissbach, T.; Luo, X.; Holdcroft, S. Selective Formation of Hydrogen and Hydroxyl Radicals by Electron Beam Irradiation and Their Reactivity with Perfluorosulfonated Acid Ionomer. J. Am. Chem. Soc. 2013, 135, 15923–15932. [Google Scholar] [CrossRef] [PubMed]
- Wong, K.H.; Kjeang, E. Macroscopic In-Situ Modeling of Chemical Membrane Degradation in Polymer Electrolyte Fuel Cells. J. Electrochem. Soc. 2014, 161, F823–F832. [Google Scholar] [CrossRef]
- Wong, K.H.; Kjeang, E. Mitigation of Chemical Membrane Degradation in Fuel Cells: Understanding the Effect of Cell Voltage and Iron Ion Redox Cycle. ChemSusChem 2015, 8, 1072–1082. [Google Scholar] [CrossRef]
- Singh, R.; Sui, P.C.; Wong, K.H.; Kjeang, E.; Knights, S.; Djilali, N. Modeling the Effect of Chemical Membrane Degradation on PEMFC Performance. J. Electrochem. Soc. 2018, 165, F3328–F3336. [Google Scholar] [CrossRef]
- Coms, F.D. The Chemistry of Fuel Cell Membrane Chemical Degradation. ECS Trans. 2008, 16, 235–255. [Google Scholar] [CrossRef]
- Gubler, L.; Dockheer, S.M.; Koppenol, W.H. Radical (HO·, H· and HOO·) Formation and Ionomer Degradation in Polymer Electrolyte Fuel Cells. J. Electrochem. Soc. 2011, 158, B755–B769. [Google Scholar] [CrossRef]
- Maruthamuthu, P.; Padmaja, S.; Huie, R.E. Rate constants for some reactions of free radicals with haloacetates in aqueous solution. Int. J. Chem. Kinet. 1995, 27, 605–612. [Google Scholar] [CrossRef]
- Dreizler, A.M.; Roduner, E. Reaction Kinetics of Hydroxyl Radicals with Model Compounds of Fuel Cell Polymer Membranes. Fuel Cells 2012, 12, 132–140. [Google Scholar] [CrossRef]
- Shah, A.A.; Ralph, T.R.; Walsh, F.C. Modeling and Simulation of the Degradation of Perfluorinated Ion-Exchange Membranes in PEM Fuel Cells. J. Electrochem. Soc. 2009, 156, B465–B484. [Google Scholar] [CrossRef]
- Ghelichi, M.; Melchy, P.É.A.; Eikerling, M.H. Radically coarse-grained approach to the modeling of chemical degradation in fuel cell ionomers. J. Phys. Chem. B 2014, 118, 11375–11386. [Google Scholar] [CrossRef]
- Wong, K.H.; Kjeang, E. In-Situ Modeling of Chemical Membrane Degradation and Mitigation in Ceria-Supported Fuel Cells. J. Electrochem. Soc. 2017, 164, F1179–F1186. [Google Scholar] [CrossRef]
- Futter, G.A.; Latz, A.; Jahnke, T. Physical modeling of chemical membrane degradation in polymer electrolyte membrane fuel cells: Influence of pressure, relative humidity and cell voltage. J. Power Sources 2019, 410-411, 78–90. [Google Scholar] [CrossRef]
- Okino, M.S.; Mavrovouniotis, M.L. Simplification of Mathematical Models of Chemical Reaction Systems. Chem. Rev. 1998, 98, 391–408. [Google Scholar] [CrossRef]
- Fournet, R.; Warth, V.; Glaude, P.A.; Battin-Leclerc, F.; Scacchi, G.; Côme, G.M. Automatic reduction of detailed mechanisms of combustion of alkanes by chemical lumping. Int. J. Chem. Kinet. 2000, 32, 36–51. [Google Scholar] [CrossRef]
- Pepiot-Desjardins, P.; Pitsch, H. An automatic chemical lumping method for the reduction of large chemical kinetic mechanisms. Combust. Theory Model. 2008, 12, 1089–1108. [Google Scholar] [CrossRef]
- Nguyen, T.T.H.; Teratani, S.; Tanaka, R.; Endo, A.; Hirao, M. Development of a Structure-Based Lumping Kinetic Model for Light Gas Oil Hydrodesulfurization. Energy Fuels 2017, 31, 5673–5681. [Google Scholar] [CrossRef]
- Senthamaraikkannan, G.; Budwill, K.; Gates, I.; Mitra, S.; Prasad, V. Kinetic Modeling of the Biogenic Production of Coalbed Methane. Energy Fuels 2016, 30, 871–883. [Google Scholar] [CrossRef]
- Rao, S.; van der Schaft, A.; van Eunen, K.; Bakker, B.M.; Jayawardhana, B. A model reduction method for biochemical reaction networks. BMC Syst. Biol. 2014, 8, 52. [Google Scholar] [CrossRef]
- Miao, H.; Xia, X.; Perelson, A.S.; Wu, H. On identifiability of nonlinear ODE models and applications in viral dynamics. SIAM Rev. 2011, 53, 3–39. [Google Scholar] [CrossRef]
- Madden, T.; Weiss, D.; Cipollini, N.; Condit, D.; Gummalla, M.; Burlatsky, S.; Atrazhev, V. Degradation of Polymer-Electrolyte Membranes in Fuel Cells. J. Electrochem. Soc. 2009, 156, B657–B662. [Google Scholar] [CrossRef]
- Degenring, D.; Froemel, C.; Dikta, G.; Takors, R. Sensitivity analysis for the reduction of complex metabolism models. J. Process Control. 2004, 14, 729–745. [Google Scholar] [CrossRef]
- Dougherty, E.P.; Hwang, J.T.; Rabitz, H. Further developments and applications of the Green’s function method of sensitivity analysis in chemical kinetics. J. Chem. Phys. 1979, 71, 1794–1808. [Google Scholar] [CrossRef]
- Squire, W.; Trapp, G. Using complex variables to estimate derivatives of real functions. SIAM Rev. 1998, 40, 110–112. [Google Scholar] [CrossRef]
- Danilczuk, M.; Coms, F.D.; Schlick, S. Visualizing chemical reactions and crossover processes in a fuel cell inserted in the esr resonator: Detection by spin trapping of oxygen radicals, nafion-derived fragments, and hydrogen and deuterium atoms. J. Phys. Chem. B 2009, 113, 8031–8042. [Google Scholar] [CrossRef] [PubMed]
- Lambert, J. Numerical Methods for Ordinary Differential Equations: The Initial Value Problem; Wiley: Chichester, UK, 1991. [Google Scholar]
- Coms, F.D.; Liu, H.; Owejan, J.E. Mitigation of Perfluorosulfonic Acid Membrane Chemical Degradation Using Cerium and Manganese Ions. ECS Trans. 2008, 16, 1735–1747. [Google Scholar] [CrossRef]
- Danilczuk, M.; Schlick, S.; Coms, F.D. Cerium(III) as a Stabilizer of Perfluorinated Membranes Used in Fuel Cells: In Situ Detection of Early Events in the ESR Resonator. Macromolecules 2009, 42, 8943–8949. [Google Scholar] [CrossRef]
- Baker, A.M.; Mukundan, R.; Spernjak, D.; Judge, E.J.; Advani, S.G.; Prasad, A.K.; Borup, R.L. Cerium Migration during PEM Fuel Cell Accelerated Stress Testing. J. Electrochem. Soc. 2016, 163, F1023–F1031. [Google Scholar] [CrossRef]
- Zatoń, M.; Prélot, B.; Donzel, N.; Rozière, J.; Jones, D.J. Migration of Ce and Mn Ions in PEMFC and Its Impact on PFSA Membrane Degradation. J. Electrochem. Soc. 2018, 165, F3281–F3289. [Google Scholar] [CrossRef]
- Zatoń, M.; Rozière, J.; Jones, D.J. Mitigation of PFSA membrane chemical degradation using composite cerium oxide–PFSA nanofibres. J. Mater. Chem. A 2017, 5, 5390–5401. [Google Scholar] [CrossRef]
- Pearman, B.P.; Mohajeri, N.; Brooker, R.P.; Rodgers, M.P.; Slattery, D.K.; Hampton, M.D.; Cullen, D.A.; Seal, S. The degradation mitigation effect of cerium oxide in polymer electrolyte membranes in extended fuel cell durability tests. J. Power Sources 2013, 225, 75–83. [Google Scholar] [CrossRef]





| Reaction | k [L mol s] | A [L mol s] | [kJ mol] | ||
|---|---|---|---|---|---|
| R | Fe2+ + H2O2 + H+ → Fe3+ + H2O + ·OH | = [Fe2+][H2O2] | 66 | [9] | [9] |
| R | Fe3+ + H2O2 → Fe2+ + H+ + ·OOH | = [Fe3+][H2O2] | [11] | 126 [11] | |
| R | Fe2+ + ·OH + H+ → Fe3+ + H2O | = [Fe2+][·OH] | a [20] | 9 [20] | |
| R | Fe2+ + ·OOH + H+ → Fe3+ + H2O2 | = [Fe2+][·OOH] | [12] | 42 [12] | |
| R | Fe3+ + ·OOH → Fe2+ + H+ + O2 | = [Fe3+][·OOH] | [19] | 33 [18,19] | |
| R | H2O2 → 2 ·OH | = [ H2O2] | [s] | [s] [10] | 201 [10] |
| R | ·OH + H2O2 → ·OOH + H2O | [·OH][H2O2] | a [15] | 14 [15] | |
| R | ·OOH + H2O2 → ·OH + H2O + O2 | [·OOH][H2O2] | [8] | 33.5 b [8] | |
| R | 2 ·OOH → H2O2 + O2 | [·OOH] | a [13] | 20.6 [17] | |
| R | 2 ·OH → H2O2 | [·OH] | a [16] | 8 [14] | |
| R | ·OOH + ·OH → H2O +O2 | [·OOH][·OH] | a [16] | 14.2 [17] | |
| R | ·OH + H2 → H2O + H | [·OH][H2] | a [16] | 19.2 [16] | |
| R | ·H + O2 → OOH | [·H][O2] | a [16] | 10.3 [17] | |
| R | SC−SO3H + ·OH → SC−O· + HOCF2CF2SO3H | [SC−SO3H][·OH] | [29] | 70 c | |
| R | SC−O· + 3 ·OH → BB−O· + 6 HF + 3 CO2 | [SC−O·][·OH] | [23] | 70 c | |
| R | BB−O· + ·OH → 2 −(CF2)nCOOH + 3 HF | [BB−O·][·OH] | [23] | 70 c | |
| R | −(CF2)nCOOH + 2 ·OH → −(CF2)n-1COOH + 2HF + CO2 | [−(CF2)nCOOH][·OH] | d [28] | 70 c |
Publisher’s Note: MDPI stays neutral with regard to jurisdictional claims in published maps and institutional affiliations. |
© 2020 by the authors. Licensee MDPI, Basel, Switzerland. This article is an open access article distributed under the terms and conditions of the Creative Commons Attribution (CC BY) license (http://creativecommons.org/licenses/by/4.0/).
Share and Cite
Kregar, A.; Frühwirt, P.; Ritzberger, D.; Jakubek, S.; Katrašnik, T.; Gescheidt, G. Sensitivity Based Order Reduction of a Chemical Membrane Degradation Model for Low-Temperature Proton Exchange Membrane Fuel Cells. Energies 2020, 13, 5611. https://doi.org/10.3390/en13215611
Kregar A, Frühwirt P, Ritzberger D, Jakubek S, Katrašnik T, Gescheidt G. Sensitivity Based Order Reduction of a Chemical Membrane Degradation Model for Low-Temperature Proton Exchange Membrane Fuel Cells. Energies. 2020; 13(21):5611. https://doi.org/10.3390/en13215611
Chicago/Turabian StyleKregar, Ambrož, Philipp Frühwirt, Daniel Ritzberger, Stefan Jakubek, Tomaž Katrašnik, and Georg Gescheidt. 2020. "Sensitivity Based Order Reduction of a Chemical Membrane Degradation Model for Low-Temperature Proton Exchange Membrane Fuel Cells" Energies 13, no. 21: 5611. https://doi.org/10.3390/en13215611
APA StyleKregar, A., Frühwirt, P., Ritzberger, D., Jakubek, S., Katrašnik, T., & Gescheidt, G. (2020). Sensitivity Based Order Reduction of a Chemical Membrane Degradation Model for Low-Temperature Proton Exchange Membrane Fuel Cells. Energies, 13(21), 5611. https://doi.org/10.3390/en13215611

