Simulating Fracture Sealing by Granular LCM Particles in Geothermal Drilling
Abstract
1. Introduction
2. The Altered Particle and Fluid Properties by Thermal Effect
2.1. Fluid Viscosity
2.2. Mechanical Properties of LCM Particles
3. Methodology
3.1. Governing Equations
3.2. Fluid Flow and Particle Transport Coupling
3.3. Model Setup and Input Parameters
4. Results and Discussion
4.1. Fracture Sealing and Force Chain
4.2. Fracture Sealing Capability of Thermally Affected Fluid Viscosity
4.3. Particle Size Degradation Due to Temperature Related Issues
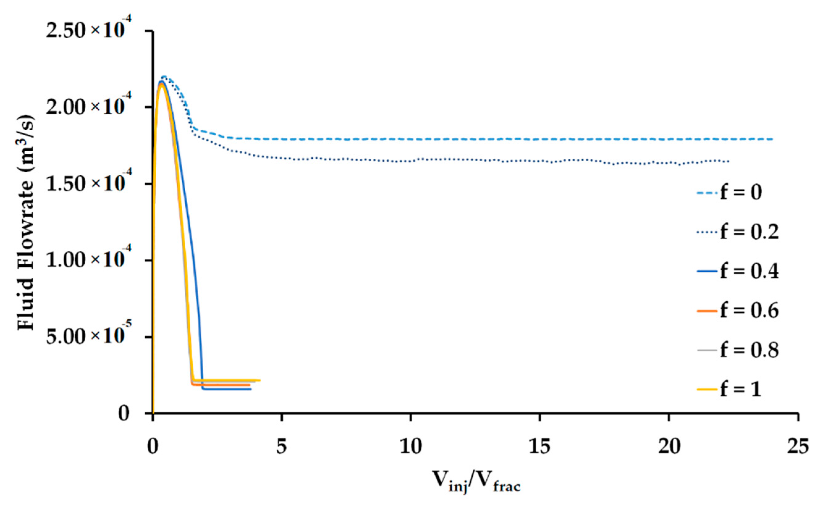
4.4. Thermal Influence on Friction Coefficient
4.5. Thermal Reduction in Young’s Modulus
5. Conclusions
Author Contributions
Funding
Acknowledgments
Conflicts of Interest
References
- Finger, J.T.; Blankenship, D.A. Handbook of Best Practices for Geothermal Drilling; Sandia National Laboratories: Albuquerque, NM, USA, 2010.
- Denninger, K.; Eustes, A.; Visser, C.; Baker, W.; Bolton, D.; Bell, J.; Bell, S.; Jacobs, A.; Nagandran, U.; Tilley, M.; et al. Optimizing Geothermal Drilling: Oil and Gas Technology Transfer. In Proceedings of the 40th Workshop on Geothermal Reservoir Engineering, Stanford, CA, USA, 26–28 January 2015. [Google Scholar]
- Carson, C.C.; Lin, Y.T. Impact of Common Problems in Geothermal Drilling and Completion. In Proceedings of the Annual Geothermal Resources Council Meeting, San Diego, CA, USA, 11 October 1982. [Google Scholar]
- Cole, P.; Young, K.R.; Doke, C.; Duncan, N.; Eustes, B. Geothermal Drilling: A Baseline Study of Nonproductive Time Related to Lost Circulation. In Proceedings of the 42nd Workshop on Geothermal Reservoir Engineering, Stanford, CA, USA, 13–15 February 2017. [Google Scholar]
- Mansour, A.; Taleghani, A.D.; Salehi, S.; Li, G.; Ezeakacha, C. Smart lost circulation materials for productive zones. J. Pet. Explor. Prod. Technol. 2018, 9, 281–296. [Google Scholar] [CrossRef]
- Mansour, A.K.; Taleghani, A.D. Smart Loss Circulation Materials for Drilling Highly Fractured Zones. In Proceedings of the SPE/IADC Middle East Drilling Technology Conference and Exhibition, Abu Dhabi, UAE, 29–31 January 2018. [Google Scholar]
- Messenger, J.U. Lost Circulation; Pennwell Corporation: Tulsa, Oklahoma, 1981. [Google Scholar]
- Lavrov, A. Lost Circulation: Mechanisms and Solutions; Elsevier: Amsterdam, The Netherlands, 2016. [Google Scholar]
- Loeppke, G.E.; Glowka, D.A.; Wright, E.K. Design and Evaluation of Lost-Circulation Materials for Severe Environments. J. Pet. Technol. 1990, 42, 328–337. [Google Scholar] [CrossRef]
- Taleghani, A.D.; Ahmadi, M. Thermoporoelastic Analysis of Artificially Fractured Geothermal Reservoirs: A Multiphysics Problem. J. Energy Resour. Technol. 2020, 142, 1–30. [Google Scholar] [CrossRef]
- Anderson, T.B.; Jackson, R. Fluid Mechanical Description of Fluidized Beds. Equations of Motion. Ind. Eng. Chem. Fundam. 1967, 6, 527–539. [Google Scholar] [CrossRef]
- Basu, D.; Das, K.; Smart, K.; Ofoegbu, G. Comparison of Eulerian-Granular and Discrete Element Models for Simulation of Proppant Flows in Fractured Reservoirs. In Proceedings of the ASME 2015 International Mechanical Engineering Congress and Exposition, Houston, TX, USA, 13–19 November 2015. [Google Scholar]
- Wang, F.; Tan, X.; Wang, R.; Sun, M.; Wang, L.; Liu, J. High temperature and high pressure rheological properties of high-density water-based drilling fluids for deep wells. Pet. Sci. 2012, 9, 354–362. [Google Scholar] [CrossRef]
- Mohammed, A.S. Effect of Temperature on the Rheological Properties with Shea Stress Limit of Iron Oxide Nanoparticle Modified Bentonite Drilling Muds. Egypt. J. Pet. 2017, 26, 791–802. [Google Scholar] [CrossRef]
- Avcı, E.; Mert, B.A. The Rheology and Performance of Geothermal Spring Water-Based Drilling Fluids. Geofluids 2019, 2019, 3786293. [Google Scholar] [CrossRef]
- Zhang, L.; Mao, X.; Lu, A. Experimental study on the mechanical properties of rocks at high temperature. Sci. China Ser. E Technol. Sci. 2009, 52, 641–646. [Google Scholar] [CrossRef]
- Brotons, V.; Tomás, R.; Ivorra, S.; Alarcón, J. Temperature influence on the physical and mechanical properties of a porous rock: San Julian’s calcarenite. Eng. Geol. 2013, 167, 117–127. [Google Scholar] [CrossRef]
- Goodman, M. Lost Circulation in Geothermal Wells: Survey and Evaluation of Industry Experience; Enertech Engineering and Research Co.: Houston, TX, USA, 1981. [Google Scholar]
- Arena, U.; D’Amore, M.; Massimilla, L. Carbon attrition during the fluidized combustion of a coal. AIChE J. 1983, 29, 40–49. [Google Scholar] [CrossRef]
- Kang, Y.; Tan, Q.; You, L.; Zhang, X.; Xu, C.; Lin, C. Experimental investigation on size degradation of bridging material in drilling fluids. Powder Technol. 2019, 342, 54–66. [Google Scholar] [CrossRef]
- Lin, C.-L.; Wey, M.-Y. Influence of hydrodynamic parameters on particle attrition during fluidization at high temperature. Korean J. Chem. Eng. 2005, 22, 154–160. [Google Scholar] [CrossRef]
- Goniva, C.; Kloss, C.; Deen, N.G.; Kuipers, J.A.; Pirker, S. Influence of rolling friction on single spout fluidized bed simulation. Particuology 2012, 10, 582–591. [Google Scholar] [CrossRef]
- Kloss, C.; Goniva, C.; Hager, A.; Amberger, S.; Pirker, S. Models, algorithms and validation for opensource DEM and CFD-DEM. Prog. Comput. Fluid Dyn. Int. J. 2012, 12, 140–152. [Google Scholar] [CrossRef]
- Zhu, H.; Zhou, Z.; Yang, R.; Yu, A. Discrete particle simulation of particulate systems: Theoretical developments. Chem. Eng. Sci. 2007, 62, 3378–3396. [Google Scholar] [CrossRef]
- Zhu, H.; Zhou, Z.; Yang, R.; Yu, A. Discrete particle simulation of particulate systems: A review of major applications and findings. Chem. Eng. Sci. 2008, 63, 5728–5770. [Google Scholar] [CrossRef]
- Cundall, P.A.; Strack, O.D.L. A discrete numerical model for granular assemblies. Géotechnique 1979, 29, 47–65. [Google Scholar] [CrossRef]
- Hertz, H. Ueber die Berührung fester elastischer Körper. J. Reine Angew. Math. 1882, 1882, 156–171. [Google Scholar] [CrossRef]
- Di Felice, R. The voidage function for fluid-particle interaction systems. Int. J. Multiph. Flow 1994, 20, 153–159. [Google Scholar] [CrossRef]
- Zhou, Z.; Kuang, S.; Chu, K.; Yu, A. Discrete particle simulation of particle–fluid flow: Model formulations and their applicability. J. Fluid Mech. 2010, 661, 482–510. [Google Scholar] [CrossRef]
- Peng, Z.; Doroodchi, E.; Luo, C.; Moghtaderi, B. Influence of void fraction calculation on fidelity of CFD-DEM simulation of gas-solid bubbling fluidized beds. AIChE J. 2014, 60, 2000–2018. [Google Scholar] [CrossRef]
- Issa, R. Solution of the implicitly discretised fluid flow equations by operator-splitting. J. Comput. Phys. 1986, 62, 40–65. [Google Scholar] [CrossRef]











| Fluid Type | T (°C) | Apparent Viscosity (mPa·s) | Plastic Viscosity (mPa·s) |
|---|---|---|---|
| Fresh-Water Based [13] | 20–240 | 88–70 | 67–33 |
| Brine-Based [13] | 20–240 | 47–148 | 31–34 |
| Water-Based with Iron Oxide Nanoparticle [14] | 25–85 | 15.7–2.3 | 45.6–9.9 |
| Geothermal Spring [15] | 15–150 | 19.7–1.867 | 10.65–2.282 |
| Material | Compressive Strength at Ambient Temperature (MPa) | Young’s Modulus at Ambient Temperature (MPa) | Softening Temperature (°C) |
|---|---|---|---|
| Thermoset Rubber | 14.00 | 43.64 | 43–89 |
| Coal | 1.45 | 12.96 | 121–166 |
| Expanded Aggregate | 5.93 | 44.20 | >260 |
| Gilsonite | 2.34 | 12.00 | 174–191 |
| Mixed Nut Shells | 56.74 | 196.50 | 193–249 |
| Black Walnut Shells | 68.05 | 141.34 | 182–260 |
| Drilling Fluid | Density (kg/m3) | 2000 |
| Viscosity (mPa·s) | 0.3/3/30/60/90/120 | |
| LCM Particles | Diameter (mm) | 0.3/0.4/0.5/0.6/0.7/0.8/0.9 |
| Density (kg/m3) | 2500 | |
| Young’s Modulus (GPa) | 0.1/1/10/50/100 | |
| Poisson’s Ratio | 0.2/0.3/0.4/0.5 | |
| Friction Coefficient | 0/0.2/0.4/0.6/0.8/1 | |
| Restitution Coefficient | 0.5 |
© 2020 by the authors. Licensee MDPI, Basel, Switzerland. This article is an open access article distributed under the terms and conditions of the Creative Commons Attribution (CC BY) license (http://creativecommons.org/licenses/by/4.0/).
Share and Cite
Lee, L.; Dahi Taleghani, A. Simulating Fracture Sealing by Granular LCM Particles in Geothermal Drilling. Energies 2020, 13, 4878. https://doi.org/10.3390/en13184878
Lee L, Dahi Taleghani A. Simulating Fracture Sealing by Granular LCM Particles in Geothermal Drilling. Energies. 2020; 13(18):4878. https://doi.org/10.3390/en13184878
Chicago/Turabian StyleLee, Lu, and Arash Dahi Taleghani. 2020. "Simulating Fracture Sealing by Granular LCM Particles in Geothermal Drilling" Energies 13, no. 18: 4878. https://doi.org/10.3390/en13184878
APA StyleLee, L., & Dahi Taleghani, A. (2020). Simulating Fracture Sealing by Granular LCM Particles in Geothermal Drilling. Energies, 13(18), 4878. https://doi.org/10.3390/en13184878

