Variable Structure Control of a Small Ducted Wind Turbine in the Whole Wind Speed Range Using a Luenberger Observer
Abstract
1. Introduction
2. System Description
2.1. Ducted Wind Turbine
2.2. Annular Brushless PMSG
2.3. Power Conversion Stage
3. Control Scheme Description
3.1. Variable Structure Controller
3.1.1. Maximum Power-Point Tracking
3.1.2. Operation in the High-Wind Speeds Regions
3.2. Aerodynamic Torque Observer
- The dynamic friction losses are negligible (;
- The derivative of the aerodynamic torque is zero (.
3.3. PWM
3.4. Wind Speed Estimation
3.4.1. Shallow NN WSE
3.4.2. Model-based WSE
4. Experimental Results
4.1. Test Rig Overview
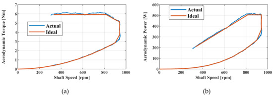
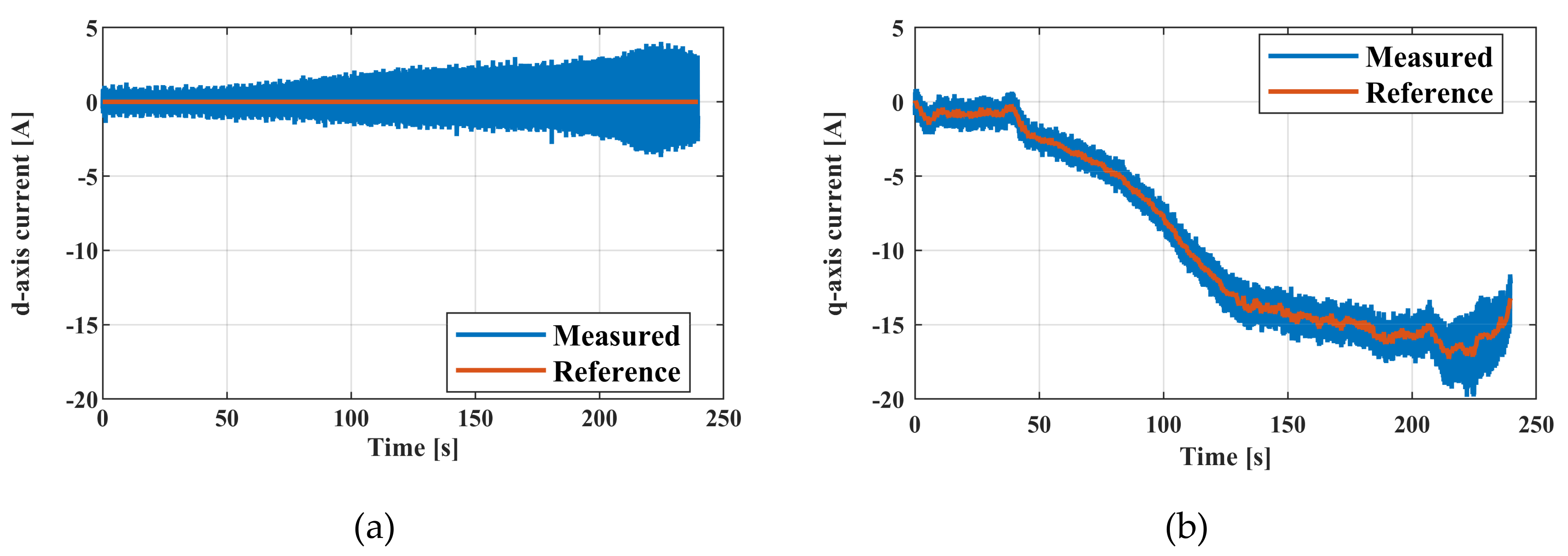
4.2. Results
5. Conclusions
Supplementary Materials
Author Contributions
Funding
Acknowledgments
Conflicts of Interest
Appendix A
Appendix B
References
- Lumbreras, C.; Guerrero, J.M.; Fernandez, D.; Reigosa, D.D.; González-Moral, C.; Briz, F. Analysis and Control of the Inductorless Boost Rectifier for Small-Power Wind-Energy Converters. IEEE Trans. Ind. Appl. 2018, 55, 689–700. [Google Scholar] [CrossRef]
- Micallef, D.; van Bussel, G. A Review of Urban Wind Energy Research: Aerodynamics and Other Challenges. Energies 2018, 11, 2204. [Google Scholar] [CrossRef]
- Rodriguez-Hernandez, O.; Martinez, M.; Lopez-Villalobos, C.; Garcia, H.; Campos-Amezcua, R. Techno-Economic Feasibility Study of Small Wind Turbines in the Valley of Mexico Metropolitan Area. Energies 2019, 12, 890. [Google Scholar] [CrossRef]
- Gough, M.; Lotfi, M.; Castro, R.; Madhlopa, A.; Khan, A.; Catalão, J.P. Urban Wind Resource Assessment: A Case Study on Cape Town. Energies 2019, 12, 1479. [Google Scholar] [CrossRef]
- Elnaggar, M.; Edwan, E.; Ritter, M. Wind energy potential of Gaza using small wind turbines: A feasibility study. Energies 2017, 10, 1229. [Google Scholar] [CrossRef]
- Acosta, J.L.; Combe, K.; Djokic, S.Ž.; Hernando-Gil, I. Performance assessment of micro and small-scale wind turbines in urban areas. IEEE Syst. J. 2011, 6, 152–163. [Google Scholar] [CrossRef]
- Szabó, L. A survey on modular variable reluctance generators for small wind turbines. IEEE Trans. Ind. Appl. 2019, 55, 2548–2557. [Google Scholar] [CrossRef]
- Palmieri, M.; Bozzella, S.; Cascella, G.L.; Bronzini, M.; Torresi, M.; Cupertino, F. Wind Micro-Turbine Networks for Urban Areas: Optimal Design and Power Scalability of Permanent Magnet Generators. Energies 2018, 11, 2759. [Google Scholar] [CrossRef]
- Shafiei, A.; Dehkordi, B.M.; Farhangi, S.; Kiyoumarsi, A. Overall power control strategy for small-scale WECS incorporating flux weakening operation. IET Renew. Power Gener. 2016, 10, 1264–1277. [Google Scholar] [CrossRef]
- Maher, R.A.; Abdelsalam, A.K.; Dessouky, Y.G.; Nouman, A. High performance state-flow based MPPT technique for micro WECS. IET Renew. Power Gener. 2019, 13, 3009–3021. [Google Scholar] [CrossRef]
- Lumbreras, C.; Guerrero, J.M.; Garcia, P.; Briz, F.; Reigosa, D.D. Control of a small wind turbine in the high wind speed region. IEEE Trans. Power Electron. 2015, 31, 6980–6991. [Google Scholar] [CrossRef]
- Shafiei, A.; Dehkordi, B.M.; Kiyoumarsi, A.; Farhangi, S. A control approach for a small-scale PMSG-based WECS in the whole wind speed range. IEEE Trans. Power Electron. 2017, 32, 9117–9130. [Google Scholar] [CrossRef]
- Lee, J.; Kim, Y.S. Sensorless fuzzy-logic-based maximum power point tracking control for a small-scale wind power generation system with a switched-mode rectifier. IET Renew. Power Gener. 2016, 10, 194–202. [Google Scholar] [CrossRef]
- Chen, J.; Chen, J.; Gong, C. New overall power control strategy for variable-speed fixed-pitch wind turbines within the whole wind velocity range. IEEE Trans. Ind. Electron. 2012, 60, 2652–2660. [Google Scholar] [CrossRef]
- Dalala, Z.M.; Zahid, Z.U.; Lai, J.S.J. New overall control strategy for small-scale WECS in MPPT and stall regions with mode transfer control. IEEE Trans. Energy Conv. 2013, 28, 1082–1092. [Google Scholar] [CrossRef]
- Hui, J.C.; Bakhshai, A.; Jain, P.K. An energy management scheme with power limit capability and an adaptive maximum power point tracking for small standalone PMSG wind energy systems. IEEE Trans. Power Electron. 2015, 31, 4861–4875. [Google Scholar] [CrossRef]
- Guerrero, J.M.; Lumbreras, C.; Reigosa, D.D.; Garcia, P.; Briz, F. Control and emulation of small wind turbines using torque estimators. IEEE Trans. Ind. Appl. 2017, 53, 4863–4876. [Google Scholar] [CrossRef]
- Chen, J.; Lin, T.; Wen, C.; Song, Y. Design of a unified power controller for variable-speed fixed-pitch wind energy conversion system. IEEE Trans. Ind. Electron. 2016, 63, 4899–4908. [Google Scholar] [CrossRef]
- Senanayaka, J.S.L.; Karimi, H.R.; Robbersmyr, K.G. A novel soft-stall power control for a small wind turbine. In Proceedings of the IEEE 26th International Symposium on Industrial Electronics (ISIE), Edinburgh, Scotland, UK, 19 June 2017; pp. 940–945. [Google Scholar]
- Jiawei, C.; Changyun, W.; Yongduan, S. Power control strategy for variable-speed fixed-pitch wind turbines. In Proceedings of the 13th International Conference on Control Automation Robotics & Vision (ICARCV), Singapore, 10 December 2014; pp. 559–564. [Google Scholar]
- Morimoto, S.; Nakayama, H.; Sanada, M.; Takeda, Y. Sensorless output maximization control for variable-speed wind generation system using IPMSG. IEEE Trans. Ind. Appl. 2005, 41, 60–67. [Google Scholar] [CrossRef]
- Wang, Y.F.; Yang, L.; Wang, C.S.; Li, W.; Qie, W.; Tu, S.J. High step-up 3-phase rectifier with fly-back cells and switched capacitors for small-scaled wind generation systems. Energies 2015, 8, 2742–2768. [Google Scholar] [CrossRef]
- Do, T.D. Disturbance observer-based fuzzy SMC of WECSs without wind speed measurement. IEEE Access 2016, 5, 147–155. [Google Scholar] [CrossRef]
- Corradini, M.L.; Ippoliti, G.; Orlando, G. Robust control of variable-speed wind turbines based on an aerodynamic torque observer. IEEE Trans. Control Syst. Technol. 2013, 21, 1199–1206. [Google Scholar] [CrossRef]
- Merabet, A. Adaptive sliding mode speed control for wind energy experimental system. Energies 2018, 11, 2238. [Google Scholar] [CrossRef]
- Nouali, S.; Ouali, A. Multi-layer neural network for sensorless MPPT control for wind energy conversion system using doubly fed twin stator induction generator. In Proceedings of the Eighth International Multi-Conference on Systems, Signals & Devices, Sousse, Tunisia, 22 March 2011; pp. 1–7. [Google Scholar]
- Martyanov, A.; Martyanov, N.; Sirotkin, E. State Observer for Variable Speed Wind Turbine. In Proceedings of the International Ural Conference on Green Energy (UralCon), Chelyabinsk, Russia, 4 October 2018; pp. 97–100. [Google Scholar]
- Liu, H.; Locment, F.; Sechilariu, M. Integrated Control for Small Power Wind Generator. Energies 2018, 11, 1217. [Google Scholar] [CrossRef]
- Qiao, W.; Yang, X.; Gong, X. Wind speed and rotor position sensorless control for direct-drive PMG wind turbines. IEEE Trans. Ind. Appl. 2011, 48, 3–11. [Google Scholar] [CrossRef]
- Liu, H.; Locment, F.; Sechilariu, M. Experimental analysis of impact of maximum power point tracking methods on energy efficiency for small-scale wind energy conversion system. IET Renew. Power Gener. 2016, 11, 389–397. [Google Scholar] [CrossRef]
- Saleh, S.A. Testing the performance of a resolution-level MPPT controller for PMG-based wind energy conversion systems. IEEE Trans. Ind. Appl. 2017, 53, 2526–2540. [Google Scholar] [CrossRef]
- Hussain, J.; Mishra, M.K. An Efficient Wind Speed Computation Method Using Sliding Mode Observers in Wind Energy Conversion System Control Applications. IEEE Trans. Ind. Appl. 2019, 56, 730–739. [Google Scholar] [CrossRef]
- Yaylacı, E.K. Discrete-time integral terminal sliding mode based maximum power point controller for the PMSG-based wind energy system. IET Power Electron. 2019, 12, 3688–3696. [Google Scholar]
- Yazici, İ.; Yaylaci, E.K. Maximum power point tracking for the permanent magnet synchronous generator-based WECS by using the discrete-time integral sliding mode controller with a chattering-free reaching law. IET Power Electron. 2017, 10, 1751–1758. [Google Scholar] [CrossRef]
- Wei, C.; Zhang, Z.; Qiao, W.; Qu, L. An adaptive network-based reinforcement learning method for MPPT control of PMSG wind energy conversion systems. IEEE Trans. Power Electron. 2016, 31, 7837–7848. [Google Scholar] [CrossRef]
- Werle, M.; Presz, W. Ducted Wind/Water Turbines and Propellers Revisited. J. Propul. Power 2008, 24, 1146–1150. [Google Scholar] [CrossRef]
- Torresi, M.; Postiglione, N.; Filianoti, P.F.; Fortunato, B.; Camporeale, S.M. Design of a ducted wind turbine for offshore floating platforms. Wind Eng. 2016, 40, 468–474. [Google Scholar] [CrossRef]
- Khamlaj, T.A.; Rumpfkeil, M.P. Analysis and optimization of ducted wind turbines. Energy 2018, 162, 1234–1252. [Google Scholar] [CrossRef]
- Grant, A.; Johnstone, C.; Kelly, N. Urban wind energy conversion: The potential of ducted turbines. Renew. Energy 2008, 33, 1157–1163. [Google Scholar] [CrossRef]
- Ali, M.A.S.; Mehmood, K.K.; Baloch, S.; Kim, C.H. Wind-Speed Estimation and Sensorless Control for SPMSG-Based WECS Using LMI-Based SMC. IEEE Access 2020, 8, 26524–26535. [Google Scholar] [CrossRef]
- Zhao, H.; Wu, Q.; Rasmussen, C.N.; Blanke, M. L1 Adaptive Speed Control of a Small Wind Energy Conversion System for Maximum Power Point Tracking. IEEE Trans. Energy Convers. 2014, 29, 576–584. [Google Scholar] [CrossRef]
- Orlando, N.A.; Liserre, M.; Monopoli, V.G.; Dell’Aquila, A. Speed sensorless control of a PMSG for small wind turbine systems. In Proceedings of the IEEE International Symposium on Industrial Electronics, Seoul, Korea, 5–8 July 2009; pp. 1540–1545. [Google Scholar]
- Zhang, Z.; Zhao, Y.; Qiao, W.; Qu, L. A space-vector-modulated sensorless direct-torque control for direct-drive PMSG wind turbines. IEEE Trans. Ind. Appl. 2014, 50, 2331–2341. [Google Scholar] [CrossRef]
- Li, D.Y.; Cai, W.C.; Li, P.; Jia, Z.J.; Chen, H.J.; Song, Y.D. Neuroadaptive variable speed control of wind turbine with wind speed estimation. IEEE Trans. Ind. Electron. 2016, 63, 7754–7764. [Google Scholar] [CrossRef]
- Hui, J.C.; Bakhshai, A.; Jain, P.K. A sensorless adaptive maximum power point extraction method with voltage feedback control for small wind turbines in off-grid applications. IEEE Trans. Emerg. Sel. Top. Power Electron. 2015, 3, 817–828. [Google Scholar] [CrossRef]
- Syahputra, R.; Soesanti, I. Performance Improvement for Small-Scale Wind Turbine System Based on Maximum Power Point Tracking Control. Energies 2019, 12, 3938. [Google Scholar] [CrossRef]
- Uddin, M.N.; Patel, N. Maximum power point tracking control of IPMSG incorporating loss minimization and speed sensorless schemes for wind energy system. IEEE Trans. Ind. Electron. 2015, 52, 1902–1912. [Google Scholar] [CrossRef]
- Qian, X.; Huang, H.; Chen, X.; Huang, T. Generalized Hybrid Constructive Learning Algorithm for Multioutput RBF Networks. IEEE Trans. Cybern. 2017, 47, 3634–3648. [Google Scholar] [CrossRef] [PubMed]
- Wilamowski, B.M.; Yu, H. Improved Computation for Levenberg–Marquardt Training. IEEE Trans. Neural Netw. 2010, 21, 930–937. [Google Scholar] [CrossRef] [PubMed]
- Dereyne, S.; Defreyne, P.; Algoet, E.; Derammelaere, S.; Stockman, K. An efficiency measurement campaign on belt drives. Proceedings of 9th International Conference on Energy Efficiency in Motor Driven Systems, Helsinky, Finland, 15–17 September 2015. [Google Scholar]
- Chen, T.F.; Lee, D.W.; Sung, C.K. An experimental study on transmission efficiency of a rubber V-belt CVT. Mech. Mach. Theory 1998, 33, 351–363. [Google Scholar] [CrossRef]

















| Symbol | Quantity | Value |
|---|---|---|
| Rated Power | ||
| Rated Speed | ||
| Maximum Torque | ||
| Blade Radius | ||
| Blade Mass | ||
| Total Inertia | ||
| Optimal TSR | ||
| Optimal Power Coefficient | 1.048 |
| Symbol | Quantity | Value |
|---|---|---|
| Rated Power | ||
| Rated Speed | ||
| Rated Current | ||
| Stator Inductance | ||
| Phase Resistance | 34.64 | |
| PM Flux Linkage | ||
| Number of Pole Pairs | 50 |
| Wind Speed Range | Control Law |
|---|---|
| Parameters | Value | |
|---|---|---|
| ABPMSG | ||
| Rated Torque | 5.5 Nm | |
| Rated Speed | 180 rpm | |
| Rated Current | ||
| Stator Resistance | 0.33 | |
| Stator Inductance | ||
| PM Flux Linkage | ||
| Number of pole pairs | 15 | |
| Total inertia (ABPMSG + IM) | ||
| IM | ||
| Rated Speed | 2930 rpm | |
| Rated Power | 9.2 kW |
| Main Features | VSC + LO (Proposed in This Paper) | Control Scheme Proposed in [20] |
|---|---|---|
| Wind turbine | VSFP Ducted HAWT | Conventional VSFP wind turbine |
| Electrical generator | ABPMSG | Conventional PMSG |
| Power converter topology | Grid connected back-to-back PWM inverters | Passive diode rectifier + buck converter connected to a battery bank |
| MPPT control method | Optimal TSRM odel-based approach with wind speed estimation | PSF Model-based approach with aerodynamic power estimation |
| CSC method | FOC with a PI speed closed loop | PID speed closed loop (no FOC) |
| CPC method | Open loop regulation | PID aerodynamic power closed loop |
| CTC method | Open loop regulation | Not performed |
| Threshold | Speed |
|---|---|
© 2020 by the authors. Licensee MDPI, Basel, Switzerland. This article is an open access article distributed under the terms and conditions of the Creative Commons Attribution (CC BY) license (http://creativecommons.org/licenses/by/4.0/).
Share and Cite
Calabrese, D.; Tricarico, G.; Brescia, E.; Cascella, G.L.; Monopoli, V.G.; Cupertino, F. Variable Structure Control of a Small Ducted Wind Turbine in the Whole Wind Speed Range Using a Luenberger Observer. Energies 2020, 13, 4647. https://doi.org/10.3390/en13184647
Calabrese D, Tricarico G, Brescia E, Cascella GL, Monopoli VG, Cupertino F. Variable Structure Control of a Small Ducted Wind Turbine in the Whole Wind Speed Range Using a Luenberger Observer. Energies. 2020; 13(18):4647. https://doi.org/10.3390/en13184647
Chicago/Turabian StyleCalabrese, Diego, Gioacchino Tricarico, Elia Brescia, Giuseppe Leonardo Cascella, Vito Giuseppe Monopoli, and Francesco Cupertino. 2020. "Variable Structure Control of a Small Ducted Wind Turbine in the Whole Wind Speed Range Using a Luenberger Observer" Energies 13, no. 18: 4647. https://doi.org/10.3390/en13184647
APA StyleCalabrese, D., Tricarico, G., Brescia, E., Cascella, G. L., Monopoli, V. G., & Cupertino, F. (2020). Variable Structure Control of a Small Ducted Wind Turbine in the Whole Wind Speed Range Using a Luenberger Observer. Energies, 13(18), 4647. https://doi.org/10.3390/en13184647

