Reviewing the Modeling Aspects and Practices of Shallow Geothermal Energy Systems
Abstract
1. Introduction
2. Types of Models for Thermal Analysis
2.1. Analytical Models
2.1.1. Infinite Line-Source Model
2.1.2. Finite Line-Source Model
2.1.3. Cylindrical-Source Model
2.2. Numerical Models
2.3. On Models Comparison
3. Boundary Conditions
4. Spatial Dimensions Effect
5. Methods and Techniques for Determination of SGES Parameters
6. Short Term vs. Long Term Analysis
7. The Effect of Groundwater Flow
8. Thermo-Mechanical Interactions and Constitutive Modeling
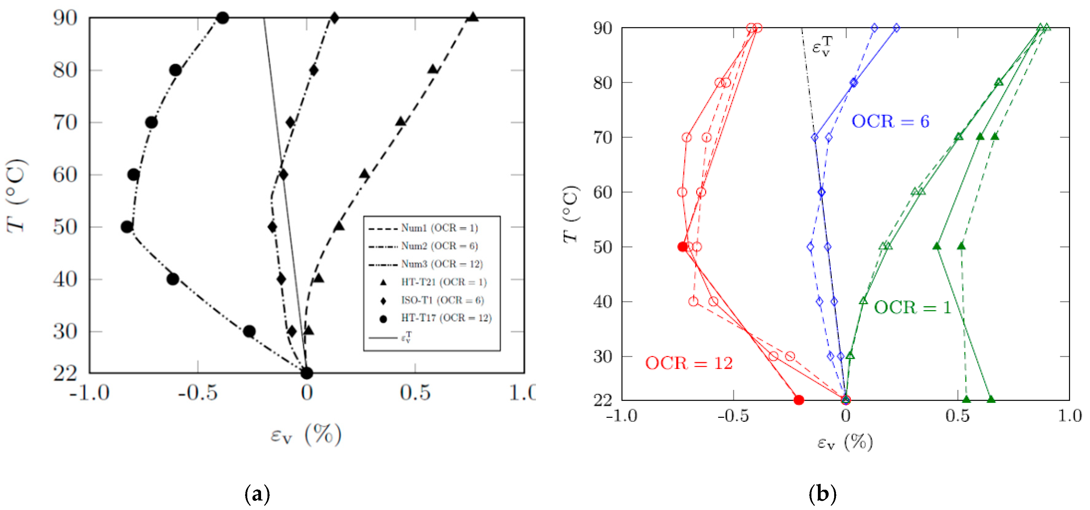
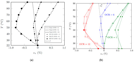
- (i)
- Response to heating-cooling cycles under isotropic conditions (constant effective stress), where all test results show a large influence of the soil stress history (by means of the over-consolidation ratio, OCR) on its volumetric behavior. Under normally consolidated conditions, heating induces thermoplastic contractive volumetric behavior, while heavily over-consolidated clays tend to exhibit a thermo-elastic response (dilation during heating and contraction during cooling). However, as noted by some authors (e.g., [155,156]) inelastic deformations are also observed for high OCR values in the cooling cycles. Moreover, in some tests the whole thermal cycle indicates the irreversibility of strain [157,158] (Figure 5a) Additionally, after the first thermal cycle a trend to elastic behavior was observed [159].
- (ii)
- Changes in pre-consolidation pressure induced by temperature, as well, where consistently, test results show a reduction of the pre-consolidation pressure p’c (interception of the yield surface with the mean effective stress) with an increase in temperature (in Figure 5b are shown the results obtained by Eriksson [160] on intact samples of Lulea clay).
- (iii)
- Changes in friction angle (critical state angle) with temperature, where the reduction of p’c with temperature is definite, but the trend of strength evolution is yet to be confirmed. Some researchers have concluded that heating caused a decrease in strength, while others have reported the opposite.
8.1. Thermo-Elastic Models
8.1.1. Analytical Solutions
8.1.2. Elastic Stress–Strain-Temperature Relations
8.2. Thermo-Elastoplastic Models
8.2.1. Analytical Solutions
8.2.2. Thermo-Elastoplastic Behavior with Critical-State-Based Structure (Extension of Modified Cam-Clay Model)
8.2.3. Thermo-Elastoplastic Models with Multi-Mechanisms (Isotropic and Deviatoric Thermoplastic Strains)
Isotropic Thermo-Plastic Mechanism
Deviatoric Thermo-Plastic Mechanism
8.3. Other Thermoplastic Models
8.4. Thermo-Viscoelastoplastic Models
9. Software Tools
10. Conclusions and Discussion
Author Contributions
Funding
Acknowledgments
Conflicts of Interest
Abbreviations
| ACMEG-T | Advanced Constitutive Model for Environmental Geomechanics—Thermal effect |
| BHE | Borehole Heat Exchanger |
| CFD | Computational Fluid Dynamics |
| CSM | Cylindrical-Source Model |
| DST | Duct ground heat Storage model |
| EGS | Energy Geo-structures |
| EP | Energy Piles |
| FD | Finite Difference |
| FDM | Finite Difference Model |
| FEM | Finite Element Model |
| FLSM | Finite Line-Source Model |
| FS | Factor of Safety |
| FVM | Finite Volume Model |
| GHE | Ground Heat Exchanger |
| GPM | Geothermal Properties Measurements |
| GSHP | Ground-Source Heat Pumps |
| HP | Heat Pump |
| ILSM | Infinite Line-Source Model |
| LSM | Line-Source Model |
| OCR | Over-Consolidation Ratio |
| SBM | Superposition Borehole Model |
| SCW | Standing-Column Well |
| SGE | Shallow geothermal energy |
| SGES | Shallow Geothermal Energy Systems |
| TAS | Thermo-Active Structure |
| THM | Thermo-Hydro-Mechanical |
| TRT | Thermal Response Test |
Nomenclature
| Ei(.) | Exponential integral |
| G | Elastic shear modulus |
| J0,1 | Bessel functions of the first kind |
| K | Volumetric elastic tangent modulus |
| Kf | Biot modulus |
| L | Borehole length [m] |
| M | Slope of the critical state line |
| Heat injection rate [W m−1] | |
| Rb | Thermal resistivity [K m W−1] |
| T | Temperature [K] |
| T0 | Undistributed ground temperature or the initial borehole temperature [K] |
| Tb | Temperature at the borehole radius [K] |
| Y0,1 | Bessel functions of the second kind |
| cp | Specific heat capacity [J kg−1 K−1] |
| d | Ratio between the pre-consolidation pressure and the critical pressure |
| dT | Model constant that determines the way the yield surface evolves with temperature |
| e | Void ratio |
| eg | Void ratio at maximum pre-consolidation pressure |
| e0 | Initial void ratio |
| e0 | Initial void ratio |
| erfc(.) | Complementary error function |
| fiso | Yield limit of the isotropic thermoplastic mechanism |
| gk | Plastic potentials |
| k | Borehole thermal conductivity [W m−1 K−1] |
| m | Mass of the borehole [kg] |
| n | Porosity |
| p | Mean effective stress |
| p0 | Mean effective stress (reference value) |
| pcT | Pre-consolidation pressure (temperature dependent) |
| q | Deviatoric stress |
| q0 | Deviatoric stress (reference value) |
| rb | Borehole radius [m] |
| riso | Parameter related to the degree of plastification (isotropic yield limit) |
| rdev | Parameter related to the degree of plastification (deviatoric yield limit) |
| t | Time [s] |
| u | Porous water pressure |
| α | Ground thermal diffusivity [m2 s−1] |
| β | Volumetric thermal expansion |
| βg | Volumetric thermal expansion of the solid particles |
| βw | Volumetric thermal expansion of water |
| εv | Volumetric strain |
| Elastic shear strain | |
| Elastic volumetric strain | |
| Thermoplastic volumetric strain | |
| Elastic volumetric strain rate | |
| Plastic volumetric strain rate | |
| Volumetric thermal strain rate | |
| Volumetric thermal strain rate | |
| Volumetric thermal viscoplastic strain rate | |
| Rate of water flow in the soil voids | |
| κ | Slope of elastic compression line |
| λ | Slope of plastic compression line |
| λk | Plastic multipliers |
| μ | Viscosity |
| ξ | Ratio between the pre-consolidation pressure pc0 and the effective mean pressure |
| ρ | Density [kg m−3] |
| v | Specific volume |
| Ψ | Thermal elastic potential |
| D | Tensor of elastic moduli |
| Elastic strain rate tensor | |
| Strain rate tensor | |
| Thermoplastic strain rate tensor | |
| Thermoplastic deviatoric strain rate tensor | |
| Stress rate tensor | |
| Ψd | Deviatoric plastic flow |
| Ψv | Isotropic plastic flow |
References
- Ilzarbe, J.M.B.; Malpartida, J.G.; Chandro, E.R. Recent Patents On Geothermal Power Extraction Devices. Recent Patents Eng. 2013, 7, 2–24. [Google Scholar] [CrossRef]
- Rees, S. Advances in Ground Source Heat Pump Systems; Woodhead Publishing: Sawston, UK, 2016. [Google Scholar]
- Shafagh, I.; Rees, S.J.; Mardaras, I.U.; Janó, M.C.; Carbayo, M.P. A Model of a Diaphragm Wall Ground Heat Exchanger. Energies 2020, 13, 300. [Google Scholar] [CrossRef]
- Bourne-Webb, P.J.; Pereira, J.-M.; Bowers, G.A.; Mimouni, T.; Loveridge, F.; Burlon, S.; Olgun, C.G.; McCartney, J.S.; Sutman, M. Design tools for thermoactive geotechnical systems. DFI J. J. Deep. Found. Inst. 2014, 8, 121–129. [Google Scholar] [CrossRef]
- Bourne-Webb, P.J.; Burlon, S.; Javed, S.; Kürten, S.; Loveridge, F. Analysis and design methods for energy geostructures. Renew. Sustain. Energy Rev. 2016, 65, 402–419. [Google Scholar] [CrossRef]
- Sani, A.K.; Singh, R.M.; Amis, T.; Cavarretta, I. A review on the performance of geothermal energy pile foundation, its design process and applications. Renew. Sustain. Energy Rev. 2019, 106, 54–78. [Google Scholar] [CrossRef]
- Ravera, E.; Sutman, M.; Laloui, L. Load Transfer Method for Energy Piles in a Group with Pile–Soil–Slab–Pile Interaction. J. Geotech. Geoenviron. Eng. 2020, 146, 04020042. [Google Scholar] [CrossRef]
- Parriaux, A.; Tacher, L. Utilisation de la Chaleur du Sol par des Ouvrages de Foundation et de Soutenement en Beton. Guide pour la Conception, la Realization et la Maintenance; Societe suisse des inenieurs et des architects, SIA: Zurich, Switzerland, 2005; (French and German). [Google Scholar]
- Pahud, D.; Fromentin, A. PILESIM: A simulation tool for pile and borehole heat exchanger systems. Bull. d’Hydrogéol. 1999, 17, 323–330. [Google Scholar]
- Brandl, H. Energy piles for heating and cooling of buildings. In Proceedings of the 7th International Conference Exhibition on Piling and Deep Foundations, Vienna, Austria, 15–17 June 1998. EU European Standards. [Google Scholar]
- Brandl, H.; Adam, D.; Markiewicz, R. Ground-sourced energy wells for heating and cooling of buildings. Acta Geotech. Slov. 2006, 3, 4–27. [Google Scholar]
- Brandl, H. Energy foundations and other thermo-active ground structures. Géotechnique 2006, 56, 81–122. [Google Scholar] [CrossRef]
- Katzenbach, R.; Olgun, C.G.; Loveridge, F.; Sutman, M.; Bowers, G.A.; McCartney, J.S.; Laloui, L.; Mimouni, T.; Dupray, F.; Spitler, J.D.; et al. New technologies and applications: Materials and equipment in near surface geothermal systems. DFI J. J. Deep. Found. Inst. 2014, 8, 93–107. [Google Scholar] [CrossRef]
- Adam, D.; Markiewicz, R. Energy from earth-coupled structures, foundations, tunnels and sewers. Géotechnique 2009, 59, 229–236. [Google Scholar] [CrossRef]
- Ghoreishi-Madiseh, S.A.; Kuyuk, A.F.; De Brito, M.A.R.; Baidya, D.; Torabigoodarzi, Z.; Safari, A. Application of Borehole Thermal Energy Storage in Waste Heat Recovery from Diesel Generators in Remote Cold Climate Locations. Energies 2019, 12, 656. [Google Scholar] [CrossRef]
- EN 15450. Heating Systems in Buildings—Design of Heat Pump Heating Systems; CEN/TC 228. 2007. Available online: https://shop.bsigroup.com/ProductDetail/?pid=000000000030144934 (accessed on 20 May 2020).
- VDI 4640. Thermal Use of the Underground, Part 2: Ground Source Heat Pump Systems; Beuth Verlag: Berlin, Germany, 2001. [Google Scholar]
- ÖWAV RB 207. Thermal use of the Groundwater and the Underground—Heating and Cooling; Austria. 2009. [Google Scholar]
- UNI. Sistemi Geotermici a Pompa di Calore—Requisiti per il Dimensionamento e la Progettazione; UNI: Milano, Italy, 2012. [Google Scholar]
- S. I. S.-F. CFMS. Recommandations pour la Conception, le Dimensionnement et la Mise en Oeuvre des Geostructures Paris, France Thermiques—Version 1. 2017. Available online: http://www.cfms-sols.org/sites/default/files/recommandations/Recommandations_Geostructures_Thermiques_CFMS_SYNTEC_Version_1_Janvier_2017.pdf (accessed on 20 May 2020).
- Kavanaugh, S.; Rafferty, K. Geothermal heating and cooling: Design of ground-source heat pump systems. ASHRAE Trans. 2014. [Google Scholar]
- Geotechnik, Deutsche Gesellschaft für Geowissen DGG. Shallow Geothermal Systems: Recommendations on Design, Construction, Operation and Monitoring; Wiley: New Jersey, NJ, USA, 2016. [Google Scholar]
- Ground Source Heat Pump Association GSHPA. Thermal Pile Design Installation and Materials Standards; Ground Source Heat Pump Association: Milton Keynes, UK, 2012; Issue 1.0. [Google Scholar]
- Geoexchange, B. Professional Guidelines for Geoexchange Systems in British Columbia, Part 2: Design; Geoexchange BC: Vancouver, BC, Canada, 2007. [Google Scholar]
- Peron, H.; Knellwolf, C.; Laloui, L. A Method for the Geotechnical Design of Heat Exchanger Piles. Geo-Frontiers 2011, 470–479. [Google Scholar] [CrossRef]
- Knellwolf, C.; Peron, H.; Laloui, L. Geotechnical Analysis of Heat Exchanger Piles. J. Geotech. Geoenviron. Eng. 2011, 137, 890–902. [Google Scholar] [CrossRef]
- Amatya, B.; Soga, K.; Bourne-Webb, P.J.; Amis, T.; Laloui, L. Thermo-mechanical behaviour of energy piles. Géotechnique 2012, 62, 503–519. [Google Scholar] [CrossRef]
- Xiao, J.; Luo, Z.; Martin, J.R.; Gong, W.; Wang, L. Probabilistic geotechnical analysis of energy piles in granular soils. Eng. Geol. 2016, 209, 119–127. [Google Scholar] [CrossRef]
- GABI Guideline. Geothermal energy Applications in Buildings and Infrastructure. 2020. Available online: https://www.foundationgeotherm.org/ (accessed on 20 May 2020).
- Raymond, J.; Therrien, R.; Gosselin, L.; Lefebvre, R. Numerical analysis of thermal response tests with a groundwater flow and heat transfer model. Renew. Energy 2011, 36, 315–324. [Google Scholar] [CrossRef]
- Bae, S.M.; Nam, Y.; Choi, J.M.; Lee, K.H.; Choi, J.S. Analysis on Thermal Performance of Ground Heat Exchanger According to Design Type Based on Thermal Response Test. Energies 2019, 12, 651. [Google Scholar] [CrossRef]
- Aresti, L.; Christodoulides, P.; Florides, G. A review of the design aspects of ground heat exchangers. Renew. Sustain. Energy Rev. 2018, 92, 757–773. [Google Scholar] [CrossRef]
- Buettner, K. Evaluation of soil heat conductivity with cylindrical test bodies. Trans. Am. Geophys. Union 1955, 36, 831–837. [Google Scholar] [CrossRef]
- Mogensen, P. Fluid to duct wall heat transfer in duct system heat storages. Geology 1983, 16, 652–657. [Google Scholar]
- Sanner, B.; Mands, E.; Sauer, M.K.; Grundmann, E. Thermal response test: A routine method to determine thermal ground properties for GSHP design. In Proceedings of the 9th International Energy Agency Heat Pump Conference, Zurich, Switzerland, 20–22 May 2008; pp. 04–35. [Google Scholar]
- Acuña, J. Improvements of U-Pipe Borehole Heat ExchI; KTH School of Industrial Engineering and Management: Stockholm, Sweden, 2010. [Google Scholar]
- Sharma, W.S.; Seki, A.; Angel, S.M.; Garvis, D. Field testing of an optical fiber temperature sensor in a geothermal. Geothermics 1990, 19, 285–294. [Google Scholar] [CrossRef]
- Jinguji, M.; Takehara, T.; Yamaguchi, T.; Kunimatsu, S. In-situ thermal conductivity exploration using penetrometer. J. Geother. Res. Soc. Jpn. 2002, 24, 349–356. [Google Scholar]
- Fujii, H.; Okubo, H.; Itoi, R. Thermal response tests using optical fiber thermometers. In Proceedings of the GRC 2006 Annual Meeting: Geothermal Resources-Securing Our Energy Future, San Diego, CA, USA, 10–13 September 2006; pp. 545–551. [Google Scholar]
- Márquez, M.I.V.; Raymond, J.; Blessent, D.; Philippe, M.; Simon, N.; Bour, O.; Lamarche, L. Distributed Thermal Response Tests Using a Heating Cable and Fiber Optic Temperature Sensing. Energies 2018, 11, 3059. [Google Scholar] [CrossRef]
- Fujii, H.; Okubo, H.; Nishi, K.; Itoi, R.; Ohyama, K.; Shibata, K. An improved thermal response test for U-tube ground heat exchanger based on optical fiber thermometers. Geothermics 2009, 38, 399–406. [Google Scholar] [CrossRef]
- Franco, A.; Conti, P. Clearing a Path for Ground Heat Exchange Systems: A Review on Thermal Response Test (TRT) Methods and a Geotechnical Routine Test for Estimating Soil Thermal Properties. Energies 2020, 13, 2965. [Google Scholar] [CrossRef]
- Acuña, J.; Palm, B. Distributed thermal response tests on pipe-in-pipe borehole heat exchangers. Appl. Energy 2013, 109, 312–320. [Google Scholar] [CrossRef]
- Dornstädter, J.; Heidinger, P.; Heinemann-Glutsch, B. Erfahrungen aus der praxis mit dem enhanced geothermal response test (EGRT). Karlsruhe, Germany. In Proceedings of the Der Geothermiekongress, Karlsruhe, Germany, 1–13 November 2008; pp. 271–279. [Google Scholar]
- Heske, C.; Kohlsch, O.; Dornstädter, J.; Heidinger, P. Der Enhanced-Geothermal-Response-Test als Auslegungsgrundlage und Optimierungstool. Bbr Fachmagazin Brunnen Leitungsbau 2011, 62, 36–43. (In German) [Google Scholar]
- Vieira, A.; Maranha, J.R.; Christodoulides, P.; Alberdi-Pagola, M.; Loveridge, F.; Nguyen, F.; Florides, G.; Radioti, G.; Cecinato, F.; Prodan, I.; et al. Characterisation of Ground Thermal and Thermo-Mechanical Behaviour for Shallow Geothermal Energy Applications. Energies 2017, 10, 2044. [Google Scholar] [CrossRef]
- Ingersoll, L.; Plass, H. Theory of the ground pipe source for the heat pump. ASHRAE Trans. 1948, 54, 339–348. [Google Scholar]
- Carslaw, H.; Jaeger, J. Conduction of Heat in Solids; Oxford University Press: Oxford, UK, 1959. [Google Scholar]
- Florides, G.; Kalogirou, S. Ground heat exchangers—A review of systems, models and applications. Renew. Energy 2007, 32, 2461–2478. [Google Scholar] [CrossRef]
- Bourne-Webb, P.; Freitas, T.M.B.; Gonçalves, R.D.C.; Bourne-Webb, P.J. Thermal and mechanical aspects of the response of embedded retaining walls used as shallow geothermal heat exchangers. Energy Build. 2016, 125, 130–141. [Google Scholar] [CrossRef]
- Al-Khoury, R. Computational Modeling of Shallow Geothermal Systems. In Computational Modeling of Shallow Geothermal Systems; CRC Press: Boca Raton, FL, USA, 2011; Volume 4. [Google Scholar] [CrossRef]
- Eskilson, P. Thermal Analysis of Heat Extraction Boreholes; University of Lund: Lund, Sweden, 1987. [Google Scholar]
- Kelvin, T. Mathematical and Physical Papers; Cambridge University Press: London, UK, 1982. [Google Scholar]
- Whitehead, S. Determining temperature distribution: A contribution to the evaluation of the flow of heat in isotropic media. Electrician 1927, 225–226. [Google Scholar]
- Hart, D.; Couvillion, R. Earth-Coupled Heat Transfer; National Water Well Association: Westerville, OH, USA, 1986. [Google Scholar]
- Christodoulides, P.; Florides, G.; Pouloupatis, P. A practical method for computing the thermal properties of a Ground Heat Exchanger. Renew. Energy 2016, 94, 81–89. [Google Scholar] [CrossRef]
- Javed, S.; Per, F.; Johan, C. Vertical ground heat exchangers: A review of heat flow models. In Proceedings of the Effstock 2009, Stockholm, Sweden, 14–17 June 2009. [CD-ROM]. [Google Scholar]
- Bandos, T.V.; Montero, A.; Fernández, E.; Gónzález-Santander, J.L.; Isidro, J.M.; Pérez, J.; De Córdoba, P.F.; Uchueguía, J. Finite line-source model for borehole heat exchangers: Effect of vertical temperature variations. Geothermics 2009, 38, 263–270. [Google Scholar] [CrossRef]
- Claesson, J.; Eskilson, P. Conductive heat extraction to a deep borehole: Thermal analyses and dimensioning rules. Energy 1988, 13, 509–527. [Google Scholar] [CrossRef]
- Lamarche, L.; Beauchamp, B. A new contribution to the finite line-source model for geothermal boreholes. Energy Build. 2007, 39, 188–198. [Google Scholar] [CrossRef]
- Zeng, H.Y.; Diao, N.R.; Fang, Z.H. A finite line-source model for boreholes in geothermal heat exchangers. Heat Transfer-Asian Res. 2002, 31, 558–567. [Google Scholar] [CrossRef]
- Jaeger, J. XVIII. Some problems involving line sources in conduction of heat. London, Edinburgh, Dublin Philos. Mag. J. Sci. 1944, 35, 169–179. [Google Scholar] [CrossRef]
- Hellström, G. Ground Heat Storage: Thermal Analyses of Duct Storage Systems. Ph.D. Thesis, Lund University, Lund, Sweeden, 1991. [Google Scholar]
- Li, M.; Lai, A.C.; Lai, A.C.K. New temperature response functions (G functions) for pile and borehole ground heat exchangers based on composite-medium line-source theory. Energy 2012, 38, 255–263. [Google Scholar] [CrossRef]
- Yang, Y.; Li, M. Short-time performance of composite-medium line-source model for predicting responses of ground heat exchangers with single U-shaped tube. Int. J. Therm. Sci. 2014, 82, 130–137. [Google Scholar] [CrossRef]
- Ingersoll, L.R.; Zobel, O.J.; Ingersoll, A.C. Heat Conduction with Engineering, Geological, and Other Applications. Phys. Today 1955, 8, 17. [Google Scholar] [CrossRef]
- Man, Y.; Yang, H.; Diao, N.; Liu, J.; Fang, Z. A new model and analytical solutions for borehole and pile ground heat exchangers. Int. J. Heat Mass Transf. 2010, 53, 2593–2601. [Google Scholar] [CrossRef]
- Monzo, P. Comparison of Different Line Source Model Approaches for Analysis of Thermal Response Test in a U-pipe Borehole heat Exchanger. Master’s Thesis, KTH School of Industrial Engineering and Management, Stockholm, Sweden, 2011. [Google Scholar]
- Kavanaugh, S. Simulation and Experimental Verification of Vertical Ground-Coupled Heat Pump Systems. Ph.D. Thesis, Oklahoma State University, Stillwater, OK, USA, 1985. [Google Scholar]
- Deerman, J.; Kavanaugh, S. Simulation of vertical U-tube ground-coupled heat pump systems using the cylindrical heat source solution. ASHRAE Trans. 1991, 97, 287–295. [Google Scholar]
- Kavanaugh, S.; Rafferty, K. Ground-Source Heat Pumps Design of Geothermal Systems for Commercial and Industrial Buildings; American Society of Heating: Peachtree Corners, GA, USA, 1997. [Google Scholar]
- Bernier, M. Ground-coupled heat pump system simulation/discussion. ASHRAE Trans. 2001, 107, 605. [Google Scholar]
- Gehlin, S. Thermal Response Test: Method Development and Evaluation. Ph.D. Thesis, Luleå University of Technology, Luleå, Sweden, 2002. [Google Scholar]
- Man, Y.; Yang, H.; Diao, N.; Cui, P.; Lu, L.; Fang, Z. Development of spiral heat source model for novel pile ground heat exchangers. HVAC&R Res. 2011, 17, 1075–1088. [Google Scholar]
- Cui, P.; Li, X.; Man, Y.; Fang, Z. Heat transfer analysis of pile geothermal heat exchangers with spiral coils. Appl. Energy 2011, 88, 4113–4119. [Google Scholar] [CrossRef]
- Park, S.; Lee, D.; Choi, H.-J.; Jung, K.; Choi, H. Relative constructability and thermal performance of cast-in-place concrete energy pile: Coil-type GHEX (ground heat exchanger). Energy 2015, 81, 56–66. [Google Scholar] [CrossRef]
- Loveridge, F.; Powrie, W. Temperature response functions (G-functions) for single pile heat exchangers. Energy 2013, 57, 554–564. [Google Scholar] [CrossRef]
- Fadejev, J.; Simson, R.; Kurnitski, J.; Haghighat, F. A review on energy piles design, sizing and modelling. Energy 2017, 122, 390–407. [Google Scholar] [CrossRef]
- Fadejev, J.; Kurnitski, J. Energy pile and heat pump modeling in whole building simulation model. In Proceedings of the 2nd IBPSA-England Conference on Building Simulation and Optimization, London, UK, 18 February 2014. [Google Scholar]
- Atam, E.; Helsen, L. Ground-coupled heat pumps: Part 1—Literature review and research challenges in modeling and optimal control. Renew. Sustain. Energy Rev. 2016, 54, 1653–1667. [Google Scholar] [CrossRef]
- Shonder, J.; Beck, J. Determining Effective Soil Formation Thermal Properties from Field Data Using a Parameter Estimation Technique; Oak Ridge National Lab: Oak Ridge, TN, USA, 1998. [Google Scholar]
- Verhelst, C.; Helsen, L. Low-order state space models for borehole heat exchangers. HVAC&R Res. 2011, 17, 928–947. [Google Scholar]
- Mihalakakou, G.; Santamouris, M.; Asimakopoulos, D. Modelling the thermal performance of earth-to-air heat exchangers. Sol. Energy 1994, 53, 301–305. [Google Scholar] [CrossRef]
- Yavuzturk, C.; Spitler, J.; Rees, S. A Transient two-dimensional finite volume model for the simulation of vertical U-tube ground heat exchangers. ASHRAE Trans. 1999, 105, 465–474. [Google Scholar]
- Yavuzturk, C. Modeling of Vertical Ground Loop Heat Exchangers for Ground Source Heat Pump Systems. Ph.D. Thesis, Oklahoma State University, Stillwater, OK, USA, 1999. [Google Scholar]
- Austin, W., III; Yavuzturk, C.; Spitler, J. Toward optimum sizing of heat exchangers for ground-source heat pump systems-development of an in-situ system and analysis procedure for measuring ground thermal. ASHRAE Trans. 2000, 106, 831–842. [Google Scholar]
- Bojić, M.; Trifunovic, N.; Papadakis, G.; Kyritsis, S. Numerical simulation, technical and economic evaluation of air-to-earth heat exchanger coupled to a building. Energy 1997, 22, 1151–1158. [Google Scholar] [CrossRef]
- Bi, Y.; Chen, L.; Wu, C. Ground heat exchanger temperature distribution analysis and experimental verification. Appl. Therm. Eng. 2002, 22, 183–189. [Google Scholar] [CrossRef]
- Gauthier, C.; Lacroix, M.; Bernier, H. Numerical simulation of soil heat exchanger-storage systems for greenhouses. Sol. Energy 1997, 60, 333–346. [Google Scholar] [CrossRef]
- Charlier, R.; Radu, J.-P.; Collin, F. Numerical modelling of coupled transient phenomena. Revue Française Génie Civil 2001, 5, 719–741. [Google Scholar] [CrossRef]
- Collin, F.; Li, X.; Radu, J.; Charlier, R. Thermo-hydro-mechanical coupling in clay barriers. Eng. Geol. 2002, 64, 179–193. [Google Scholar] [CrossRef]
- Amanzholov, T.; Akhmetov, B.; Georgiev, A.; Kaltayev, A.; Popov, R.; Dzhonova-Atanasova, D.; Tungatarova, M. Numerical modelling as a supplementary tool for Thermal Response Test. Bulg. Chem. Commun. 2016, 48, 109–114. [Google Scholar]
- Breger, D.S.; Hubbell, J.E.; El Hasnaoui, H.; Sunderland, J. Thermal energy storage in the ground: Comparative analysis of heat transfer modeling using U-tubes and boreholes. Sol. Energy 1996, 56, 493–503. [Google Scholar] [CrossRef]
- Ozudogru, T.Y.; Olgun, C.; Senol, A. 3D numerical modeling of vertical geothermal heat exchangers. Geothermics 2014, 51, 312–324. [Google Scholar] [CrossRef]
- Li, Z.; Zheng, M. Development of a numerical model for the simulation of vertical U-tube ground heat exchangers. Appl. Therm. Eng. 2009, 29, 920–924. [Google Scholar] [CrossRef]
- Gao, J.; Zhang, X.; Liu, J.; Li, K.; Yang, J. Numerical and experimental assessment of thermal performance of vertical energy piles: An application. Appl. Energy 2008, 85, 901–910. [Google Scholar] [CrossRef]
- Gang, W.; Wang, J. Predictive ANN models of ground heat exchanger for the control of hybrid ground source heat pump systems. Appl. Energy 2013, 112, 1146–1153. [Google Scholar] [CrossRef]
- Makasis, N.; Narsilio, G.; Bidarmaghz, A. A machine learning approach to energy pile design. Comput. Geotech. 2018, 97, 189–203. [Google Scholar] [CrossRef]
- Pahud, D.; Hubbuch, M. Measured thermal performances of the energy pile system of the dock midfield at Zürich airport. In Proceedings of the European Geothermal Congress 2007, Unterhaching, Germany, 30 May–1 June 2007. [Google Scholar]
- Kim, S.-K.; Bae, G.-O.; Lee, K.-K.; Song, Y. Field-scale evaluation of the design of borehole heat exchangers for the use of shallow geothermal energy. Energy 2010, 35, 491–500. [Google Scholar] [CrossRef]
- Emmi, G.; Zarrella, A.; De Carli, M.; Moretto, S.; Galgaro, A.; Cultrera, M.; Di Tuccio, M.; Bernardi, A. Ground source heat pump systems in historical buildings: Two Italian case studies. Energy Procedia 2017, 133, 183–194. [Google Scholar] [CrossRef]
- Fadejev, J.; Kurnitski, J. Geothermal energy piles and boreholes design with heat pump in a whole building simulation software. Energy Build. 2015, 106, 23–34. [Google Scholar] [CrossRef]
- Jun, L.; Zhang, X.; Jun, G.; Jie, Y. Evaluation of heat exchange rate of GHE in geothermal heat pump systems. Renew. Energy 2009, 34, 2898–2904. [Google Scholar] [CrossRef]
- Yang, H.; Cui, P.; Fang, Z. Vertical-borehole ground-coupled heat pumps: A review of models and systems. Appl. Energy 2010, 87, 16–27. [Google Scholar] [CrossRef]
- Yu, X.; Zhang, Y.; Deng, N.; Wang, J.; Zhang, N.; Wang, J. Thermal response test and numerical analysis based on two models for ground-source heat pump system. Energy Build. 2013, 66, 657–666. [Google Scholar] [CrossRef]
- Spitler, J.; Cullin, J.; Bernier, M.; Kummert, M.; Cui, P.; Liu, X.; Lee, E.; Fisher, D. Preliminary intermodel comparison of ground heat exchanger simulation models. In Proceedings of the 11th International Conference on Thermal Energy Storage, Stockholm, Sweden, 14–17 June 2009. [Google Scholar]
- Beier, R.A.; Smith, M.D. Minimum duration of in-situ tests on vertical boreholes. ASHRAE Trans. 2003, 109, 475. [Google Scholar]
- Beier, R.A.; Acuña, J.; Mogensen, P.; Palm, B. Transient heat transfer in a coaxial borehole heat exchanger. Geothermics 2014, 51, 470–482. [Google Scholar] [CrossRef]
- Lamarche, L.; Stanislaw, K.; Beauchamp, B. A review of methods to evaluate borehole thermal resistances in geothermal heat-pump systems. Geothermics 2010, 39, 187–200. [Google Scholar] [CrossRef]
- Claesson, J.; Javed, S. Explicit Multipole Formulas for Calculating Thermal Resistance of Single U-Tube Ground Heat Exchangers. Energies 2018, 11, 214. [Google Scholar] [CrossRef]
- Reda, F. Long term performance of different SAGSHP solutions for residential energy supply in Finland. Appl. Energy 2015, 144, 31–50. [Google Scholar] [CrossRef]
- De Rosa, M.; Ruiz-Calvo, F.; Corberan, J.M.; Montagud, C.; A Tagliafico, L. Borehole modelling: A comparison between a steady-state model and a novel dynamic model in a real ON/OFF GSHP operation. J. Phys. Conf. Ser. 2014, 547, 012008. [Google Scholar] [CrossRef]
- Thorén, Å. Practical Evaluation of Borehole Heat Exchanger Models in TRNSYS. Master’s Thesis, KTH, Stockholm, Sweden, 2016. [Google Scholar]
- Staiti, M.; Angelotti, A. Design of Borehole Heat Exchangers for Ground Source Heat Pumps: A Comparison between Two Methods. Energy Procedia 2015, 78, 1147–1152. [Google Scholar] [CrossRef]
- Al-Khoury, R.; Kölbel, T.; Schramedei, R. Efficient numerical modeling of borehole heat exchangers. Comput. Geosci. 2010, 36, 1301–1315. [Google Scholar] [CrossRef]
- Rühaak, W.; Renz, A.; Schätzl, P.; Diersch, H.-J. Numerical Modeling of Geothermal Applications. In Proceedings of the World Geothermal Congress 2010, Bali, Indonesia, 25–30 April 2010. [Google Scholar]
- Xuedan, Z.; Yiqiang, J.; Yang, Y. Improved method and case study of ground-coupled heat pump system design. Energy Procedia 2012, 14, 849–854. [Google Scholar] [CrossRef]
- He, M. Numerical Modelling of Geothermal Borehole Heat Exchanger Systems. Ph.D. Thesis, De Montfort University, Leicester, UK, 2012. [Google Scholar]
- Mogensen, P. Fullskaleförsök med berg som värmekälla för värmepump i Järfälla: Mätning och utvärdering; Statens råd för byggnadsforskning: Stockholm, Sweden, 1985. [Google Scholar]
- Witte, H.; van Gelder, A. Geothermal response tests using controlled multi-power level heating and cooling pulses (MPL-HCP): Quantifying ground water effects on heat transport around a borehole heat exchanger. In Proceedings of the Ecostock, the Tenth International Conference on Thermal Energy Storage, Galloway Township, NJ, USA, 31 May–2 June 2006. [Google Scholar]
- IEA ECES. Annex 21 Thermal Response Test (TRT); Final report; IEA Technology Collaboration Programmes: Paris, France, 2013. [Google Scholar]
- Wagner, R.; Clauser, C. Evaluating thermal response tests using parameter estimation for thermal conductivity and thermal capacity. J. Geophys. Eng. 2005, 2, 349–356. [Google Scholar] [CrossRef]
- Nelder, J.A.; Mead, R. A Simplex Method for Function Minimization. Comput. J. 1965, 7, 308–313. [Google Scholar] [CrossRef]
- Hooke, R.; Jeeves, T.A. Direct Search’’ Solution of Numerical and Statistical Problems. J. ACM 1961, 8, 212–229. [Google Scholar] [CrossRef]
- Wetter, M. GenOpt (R). In Generic Optimization Program, User Manual, Version 2.0.0; Lawrence Berkeley National Laboratory: Berkeley, CA, USA, 2003. [Google Scholar]
- Roth, P.; Georgiev, A.; Busso, A.; Barraza, E. First in situ determination of ground and borehole thermal properties in Latin America. Renew. Energy 2004, 29, 1947–1963. [Google Scholar] [CrossRef]
- Hemmingway, P.; Long, M. Energy piles: Site investigation and analysis. Proc. Inst. Civ. Eng. Geotech. Eng. 2013, 166, 561–575. [Google Scholar] [CrossRef]
- Shonder, J.; Beck, J. Field Test of a New Method for Determining Soil Formation Thermal Conductivity and Borehole Resistance; Oak Ridge National Lab.: Oak Ridge, TN, USA, 2000. [Google Scholar]
- Popov, R.; Georgiev, A.; Dzhonova-Atanasova, D. Stochastic search methods used for parameter estimation of thermal properties. In Proceedings of the World Geothermal Congress, Melbourne, Australia, 19–24 April 2015. [Google Scholar]
- Allaerts, K.; Coomans, M.; Salenbien, R. Hybrid ground-source heat pump system with active air source regeneration. Energy Convers. Manag. 2015, 90, 230–237. [Google Scholar] [CrossRef]
- Javed, S. Thermal Modelling and Evaluation of Borehole Heat Transfer. Ph.D. Thesis, Chalmers University of Technology, Göteborg, Sweden, 2012. [Google Scholar]
- Spitler, J.D. GLHEPRO-A design tool for commercial building ground loop heat exchangers. In Proceedings of the Fourth International Heat Pumps in Cold Climates Conference, Aylmer, QB, Canada, 17–18 August 2000. [Google Scholar]
- Crawley, D.B.; Lawrie, L.K.; Winkelmann, F.C.; Buhl, W.; Huang, Y.; Pedersen, C.O.; Strand, R.K.; Liesen, R.J.; Fisher, D.E.; Witte, M.J.; et al. EnergyPlus: Creating a new-generation building energy simulation program. Energy Build. 2001, 33, 319–331. [Google Scholar] [CrossRef]
- De Moel, M.; Bach, P.M.; Bouazza, A.; Singh, R.M.; Sun, J.O. Technological advances and applications of geothermal energy pile foundations and their feasibility in Australia. Renew. Sustain. Energy Rev. 2010, 14, 2683–2696. [Google Scholar] [CrossRef]
- Eldin, A.M.A.M.S.; Radwan, A.; Sakata, Y.; Katsura, T.; Nagano, K. The Effect of Groundwater Flow on the Thermal Performance of a Novel Borehole Heat Exchanger for Ground Source Heat Pump Systems: Small Scale Experiments and Numerical Simulation. Energies 2020, 13, 1418. [Google Scholar] [CrossRef]
- Lazzari, S.; Priarone, A.; Zanchini, E.; Antonella, P. Long-term performance of BHE (borehole heat exchanger) fields with negligible groundwater movement. Energy 2010, 35, 4966–4974. [Google Scholar] [CrossRef]
- Aresti, L.; Christodoulides, P.; Florides, G.A. Computational modelling of a ground heat exchanger with groundwater flow. Bulg. Chem. Commun. 2016, 48, 55–63. [Google Scholar]
- Sutton, M.G.; Nutter, D.W.; Couvillion, R.J. A Ground Resistance for Vertical Bore Heat Exchangers with Groundwater Flow. J. Energy Resour. Technol. 2003, 125, 183–189. [Google Scholar] [CrossRef]
- Diao, N.; Li, Q.; Fang, Z. Heat transfer in ground heat exchangers with groundwater advection. Int. J. Therm. Sci. 2004, 43, 1203–1211. [Google Scholar] [CrossRef]
- Pahud, D. PILESIM2, Simulation Tool For Heating/Cooling Systems with Heat Exchanger Piles or Borehole Heat Exchangers; Lugano, SUPSI Instory: Lugano, Switzerland, 2007. [Google Scholar]
- Zhang, W.; Yang, H.; Lu, L.; Fang, Z. The analysis on solid cylindrical heat source model of foundation pile ground heat exchangers with groundwater flow. Energy 2013, 55, 417–425. [Google Scholar] [CrossRef]
- Wang, D.; Lu, L.; Zhang, W.; Cui, P. Numerical and analytical analysis of groundwater influence on the pile geothermal heat exchanger with cast-in spiral coils. Appl. Energy 2015, 160, 705–714. [Google Scholar] [CrossRef]
- Muraya, N. Numerical Modeling of the Transient Thermal Interference of Vertical U-Tube Heat Exchangers. Ph.D. Thesis, Texas A&M University, College Station, TX, USA, 1994. [Google Scholar]
- Kohl, T.; Hopkirk, R. “FRACure”—A simulation code for forced fluid flow and transport in fractured, porous rock. Geothermics 1995, 24, 333–343. [Google Scholar] [CrossRef]
- Gashti, E.H.N.; Uotinen, V.-M.; Kujala, K. Numerical modelling of thermal regimes in steel energy pile foundations: A case study. Energy Build. 2014, 69, 165–174. [Google Scholar] [CrossRef]
- Dupray, F.; Laloui, L.; Kazangba, A. Numerical analysis of seasonal heat storage in an energy pile foundation. Comput. Geotech. 2014, 55, 67–77. [Google Scholar] [CrossRef]
- Gehlin, S.; Hellström, G. Influence on thermal response test by groundwater flow in vertical fractures in hard rock. Renew. Energy 2003, 28, 2221–2238. [Google Scholar] [CrossRef]
- Wang, H.; Qi, C.; Du, H.; Gu, J. Thermal performance of borehole heat exchanger under groundwater flow: A case study from Baoding. Energy Build. 2009, 41, 1368–1373. [Google Scholar] [CrossRef]
- Laloui, L.; di Donna, A. Understanding the thermo-mechanical behaviour of energy piles. Civil Eng. 2011, 164, 184–191. [Google Scholar]
- Adinolfi, M.; Maiorano, R.M.S.; Mauro, A.; Massarotti, N.; Aversa, S. On the influence of thermal cycles on the yearly performance of an energy pile. Geomech. Energy Environ. 2018, 16, 32–44. [Google Scholar] [CrossRef]
- Zymnis, D.M.; Whittle, A.J. Numerical Simulation of a Shallow Geothermal Heating/Cooling System. In From Soil Behavior Fundamentals to Innovations in Geotechnical Engineering; ASCE Press: Reston, VA, USA, 2014; pp. 2767–2776. [Google Scholar] [CrossRef][Green Version]
- Mimouni, T.; Laloui, L. Thermo-pile: A numerical tool for the design of energy piles. In Energy Geostructures: Innovation in Underground Engineering; Willey: Hoboken, NJ, USA, 2013; Chapter 13; pp. 265–279. [Google Scholar]
- Laloui, L.; Nuth, M.; Vulliet, L. Experimental and numerical investigations of the behaviour of a heat exchanger pile. Int. J. Numer. Anal. Methods Geomech. 2006, 30, 763–781. [Google Scholar] [CrossRef]
- Bourne-Webb, P.J.; Amatya, B.; Soga, K.; Amis, T.; Davidson, C.; Payne, P. Energy pile test at Lambeth College, London: Geotechnical and thermodynamic aspects of pile response to heat cycles. Géotechnique 2009, 59, 237–248. [Google Scholar] [CrossRef]
- Cui, Y.; Sultan, N.; Delage, P. A thermomechanical model for saturated clays. Can. Geotech. J. 2000, 37, 607–620. [Google Scholar] [CrossRef]
- Maranha, J.R.; Pereira, C.; Vieira, A. Thermo-Viscoplastic Subloading Soil Model for Isotropic Stress and Strain Conditions. In Proceedings of the International Field Exploration and Development Conference 2019; Springer Science and Business Media LLC: Berlin, Germany, 2017; pp. 479–485. [Google Scholar]
- Laloui, L.; François, B. ACMEG-T: Soil Thermoplasticity Model. J. Eng. Mech. 2009, 135, 932–944. [Google Scholar] [CrossRef]
- Laloui, L.; Cekerevac, C.; François, B. Constitutive modelling of the thermo-plastic behaviour of soils. Revue Européenne Génie Civil 2005, 9, 635–650. [Google Scholar] [CrossRef]
- Di Donna, A.; Laloui, L. Response of soil subjected to thermal cyclic loading: Experimental and constitutive study. Eng. Geol. 2015, 190, 65–76. [Google Scholar] [CrossRef]
- Eriksson, L. Temperature effects on consolidation properties of sulphyde clays. In Proceedings of the 12th International Conference on Soil Mechanics and Foundation Engineering, Rio de Janeiro, Brazil, 13–18 August 1989; pp. 2087–2090. [Google Scholar]
- Sultan, N. Étude du Comportement Thermo-Méchanique de Lárgile de Boom: Expériences et Modélisation. Ph.D. Thesis, Ecole Nationale des Ponts et Chaussés, Paris, France, 1997. [Google Scholar]
- Kurz, D.; Sharma, J.; Alfaro, M.; Graham, J. Semi-empirical elastic–thermoviscoplastic model for clay. Can. Geotech. J. 2016, 53, 1583–1599. [Google Scholar] [CrossRef]
- Zhang, Z.-C.; Cheng, X. A thermo-mechanical coupled constitutive model for clay based on extended granular solid hydrodynamics. Comput. Geotech. 2016, 80, 373–382. [Google Scholar] [CrossRef]
- Maranha, J.R.; Pereira, C.; Vieira, A. Improved subloading thermo-viscoplastic model for soil under strictly isotropic conditions. Geomech. Energy Environ. 2018, 14, 38–47. [Google Scholar] [CrossRef]
- Mitchell, J.K. Fundamentals of Soil Behavior, 2nd ed.; Wiley International: New York, NY, USA, 1993. [Google Scholar]
- Vieira, A.; Maranha, J.R. Thermoplastic Analysis of a Thermoactive Pile in a Normally Consolidated Clay. Int. J. Geomech. 2017, 17, 04016030. [Google Scholar] [CrossRef]
- Hueckel, T.; Borsetto, M. Thermoplasticity of Saturated Soils and Shales: Constitutive Equations. J. Geotech. Eng. 1990, 116, 1765–1777. [Google Scholar] [CrossRef]
- Hueckel, T.; Baldi, G. Thermoplasticity of Saturated Clays: Experimental Constitutive Study. J. Geotech. Eng. 1990, 116, 1778–1796. [Google Scholar] [CrossRef]
- Robinet, J.-C.; Rahbaoui, A.; Plas, F.; Lebon, P. A constitutive thermomechanical model for saturated clays. Eng. Geol. 1996, 41, 145–169. [Google Scholar] [CrossRef]
- Abuel-Naga, H.M.; Bergado, D.T.; Bouazza, A.; Pender, M. Thermomechanical model for saturated clays. Géotechnique 2009, 59, 273–278. [Google Scholar] [CrossRef]
- Masad, E.; Muhunthan, B.; Chameau, J.L. Stress–strain model for clays with anisotropic void ratio distribution. Int. J. Numer. Anal. Methods Geomech. 1998, 22, 393–416. [Google Scholar] [CrossRef]
- Thomas, H.; He, Y.; Sansom, M.; Li, C. On the development of a model of the thermo-mechanical-hydraulic behaviour of unsaturated soils. Eng. Geol. 1996, 41, 197–218. [Google Scholar] [CrossRef]
- Hamidi, A.; Tourchi, S.; Kardooni, F. A critical state based thermo-elasto-plastic constitutive model for structured clays. J. Rock Mech. Geotech. Eng. 2017, 9, 1094–1103. [Google Scholar] [CrossRef]
- Hujeux, J.C. Calcul Numérique de Problémes de Consolidation Elastoplastique; École Centrale de Paris: Paris, France, 1979. [Google Scholar]
- Koiter, W.T. General theorems for elastic-plastic solids. In Progress of Solid Mechanics; North-Holland Publishing Company: Amsterdam, The Netherlands, 1960. [Google Scholar]
- Baldi, G.; Hueckel, T.; Pellegrini, R. Thermal volume changes of the mineral–water system in low-porosity clay soils. Can. Geotech. J. 1988, 25, 807–825. [Google Scholar] [CrossRef]
- Baldi, G.; Hueckel, T.; Peano, A.; Pellegrini, R. Developments in Modelling of Thermo-Hydro-Geomechanical Behaviour of Boom Clay and Clay-Based Buffer Materials; EUR 13365/1 and EUR 13365/2; Commission of the European Communities, Nuclear Science and Technology: Luxembourg, 1991. [Google Scholar]
- Modaressi, H.; Laloui, L. A THERMO-VISCOPLASTIC CONSTITUTIVE MODEL FOR CLAYS. Int. J. Numer. Anal. Methods Geomech. 1997, 21, 313–335. [Google Scholar] [CrossRef]
- Sällfors, G. Preconsolidation Pressure of Soft, High-Plastic Clays. Ph.D. Thesis, Chalmers University of Technology, Göteborg, Sweden, 1975. [Google Scholar]
- Fox, P.J.; Edil, T.B. Effects of stress and temperature on secondary compression of peat. Can. Geotech. J. 1996, 33, 405–415. [Google Scholar] [CrossRef]
- Xiong, Y.; Zhang, S.; Ye, G.; Zhang, F. Modification of thermo-elasto-viscoplastic model for soft rock and its application to THM analysis of heating tests. Soils Found. 2014, 54, 176–196. [Google Scholar] [CrossRef]
- Hashiguchi, K. Elastoplasticity Theory; Springer Science and Business Media LLC: Berlin, Germany, 2014. [Google Scholar]
- Zhang, F.; Yashima, A.; Nakai, T.; Ye, G.; Aung, H. An elasto-viscoplastic model for soft sedimentary rock based on tij concept and subloading yield surface. Soils Found. 2005, 45, 65–73. [Google Scholar]
- Maranha, J.R.; Pereira, C.; Vieira, A. A viscoplastic subloading soil model for rate-dependent cyclic anisotropic structured behaviour. Int. J. Numer. Anal. Methods Geomech. 2016, 40, 1531–1555. [Google Scholar] [CrossRef]
- Cekerevac, C.; Laloui, L. Experimental study of thermal effects on the mechanical behaviour of a clay. Int. J. Numer. Anal. Methods Geomech. 2004, 28, 209–228. [Google Scholar] [CrossRef]
- Cekerevac, C. Thermal Effects on the Mechanical Behaviour of Saturated Clays an Experimental and Constitutive Study; EPFL: Lausanne, Switzerland, 2003. [Google Scholar]
- Hellstrom, G.; Sanner, B. Software for dimensioning of deep boreholes for heat exctraction. In Proceedings of the Calorstock, Helsinki, Finland, 22–25 August 1994. [Google Scholar]
- Perego, R.; Pera, S.; Galgaro, A.; Santa, G.D.; Cultrera, M.; de Carli, M.; Emmi, G.; Bertermann, D.; Muller, J.; Mendrinos, D.; et al. Economic, geological and technical potential mapping test for GSHP systems in Europe. In Proceedings of the European Geothermal Congress, The Hague, The Netherlands, 11–14 June 2019. [Google Scholar]
- Kühl, L.; Renn, S.; Schneider, F.; Sanner, B.; Mands, E. Project geo:base—Energetical and ecological optimization of strategies for operation and control of complex energy supply systems based on shallow geothermal energy in commercial and non-residential buildings. In Proceedings of the European Geothermal Congress, The Hague, The Netherlands, 11–14 June 2019. [Google Scholar]
- Pinto, A.; Rodrigues, F.; Mota, A. Geothermal contribution on southern Europe climate for energy efficiency of university buildings. Winter season. Energy Procedia 2017, 134, 181–191. [Google Scholar] [CrossRef]
- Marcotte, D.; Pasquier, P. On the estimation of thermal resistance in borehole thermal conductivity test. Renew. Energy 2008, 33, 2407–2415. [Google Scholar] [CrossRef]
- Xu, X.; Spitler, J. Modeling of vertical ground loop heat exchangers with variable convectve resistance and thermal mass of the fluid. In Proceedings of the 10th International Conference on Thermal Energy Storage, Stockton, CA, USA, 31 May–2 June 2006. [Google Scholar]
- Claesson, J.; Hellström, G. Multipole method to calculate borehole thermal resistances in a borehole heat exchanger. HVAC&R Res. 2011, 17, 895–911. [Google Scholar]
- Diersch, H.-J.G. FEFLOW—Finite Element Modelling of Flow, Mass and Heat Transport in Porous and Fractured Media; Springer: Berlin/Heidelberg, Germany, 2014. [Google Scholar]
- Trefry, M.G.; Muffels, C. FEFLOW: A Finite-Element Ground Water Flow and Transport Modeling Tool. Ground Water 2007, 45, 525–528. [Google Scholar] [CrossRef]
- Diersch, H.; Bauer, D.; Heidemann, W. Finite element formulation for borehole heat exchangers in modeling geothermal heating systems by FEFLOW. WASY Softw. FEFLOW White Pap. 2010, 5, 5–96. [Google Scholar]
- Diersch, H.; Bauer, D.; Heidemann, W.; Rühak, W.; Schätzl, P. Finite element modeling of borehole heat exchanger systems: Part 1. Fundamentals. Comput. Geosci. 2011, 37, 1122–1135. [Google Scholar] [CrossRef]
- Diersch, H.; Bauer, D.; Heidemann, W.; Rühak, W.; Schätzl, P. Finite element modelling of borehole heat exchanger systems: Part 2. Numerical simulation. Comput. Geosci. 2011, 37, 1136–1147. [Google Scholar] [CrossRef]
- Zyvoloski, G. FEHM: A control Volume Finite Element Code for Simulating Subsurface Multi-Phase Multi-Fluid Heat and Mass Transfer; LAUR-07-3359; Los Alamos National Laboratory: Los Alamos, NM, USA, 2007. [Google Scholar]
- Parker, J.; Bose, J.; McQuiston, F. The ASHRAE Design/Data Manual for Ground-Coupled Heat Pumps; ASHRAE Transactions: Peachtree Corners, GA, USA, 1985. [Google Scholar]
- Kavanaugh, S.; Deerman, J. Simulation of vertical U tube ground coupled heat pump system. ASHRAE Trans. 1991, 97, 287–295. [Google Scholar]
- Paul, N.; Remund, C. The Effect of Grout Thermal Conductivity on Vertical Geothermal Heat Exchanger Design and Performance; Final Report No. TR-108529; Electric Power Research Institute: Washington, DC, USA, 1997. [Google Scholar]
- Cullin, J.R.; Spitler, J.D.; Montagud, C.; Ruiz-Calvo, F.; Rees, S.J.; Naicker, S.S.; Konečný, P.; Southard, L.E. Validation of vertical ground heat exchanger design methodologies. Sci. Technol. Built Environ. 2015, 21, 137–149. [Google Scholar] [CrossRef]
- Deng, Z.; Rees, S.J.; Spitler, J.D. A Model for Annual Simulation of Standing Column Well Ground Heat Exchangers. HVAC&R Res. 2005, 11, 637–655. [Google Scholar] [CrossRef]
- Hellström, G.; Sanner, B. PC-programs and modeling for borehole heat exchanger design. In Proceedings of the International Geothermal Days, Bad Urach, Germany, 17–22 September 2001. [Google Scholar]
- Shonder, J.; Hughes, P. Increasing Confidence in Geothermal Heat Pump Design Methods; Richard Stockton College: New Jersey, NJ, USA, 1998. [Google Scholar]
- Sanner, B.; Phetteplace, G.; Hellström, G. Introduction to computer models for geothermal heat pumps. In Proceedings of the International Geothermal Days, Klamath Falls, OR, USA , 10–16 October 1999. [Google Scholar]
- Shao, H.; Hein, P.; Sachse, A.; Kolditz, O. Geoenergy Modeling II; Springer Science and Business Media LLC: Berlin, Germany, 2016. [Google Scholar]
- Arnold, V. Ordinary Differential Equations; The MIT Press: Cambridge, MA, USA, 1978. [Google Scholar]
- Jung, Y.; Pau, G.H.; Finsterle, S.; Pollyea, R. A new efficient version of the TOUGH suite of multiphase flow and transport simulators. Comput. Geosci. 2017, 108, 2–7. [Google Scholar] [CrossRef]
- Peaceman, D. Fundamentals of Numerical Reservoir Simulation; Elsevier: Amsterdam, The Netherlands, 1977. [Google Scholar]
- Pruess, K. A Practical Method for Modeling Fluid and Heat Flow in Fractured Porous Media. Soc. Pet. Eng. J. 1985, 25, 14–26. [Google Scholar] [CrossRef]
- Pruess, K.; Narasimhan, T.N. On fluid reserves and the production of superheated steam from fractured, vapor-dominated geothermal reservoirs. J. Geophys. Res. Space Phys. 1982, 87, 9329–9339. [Google Scholar] [CrossRef]
- Pruess, K. GMINC: A Mesh Generator for Flow Simulations in Fractured Reservoirs; LBL-15227 ON: DE83014911; Lawrence Berkeley Lab: Berkley, CA, USA, 1983. [Google Scholar]
- Bernier, M.A.; Pinel, P.; Labib, R.; Paillot, R. A Multiple Load Aggregation Algorithm for Annual Hourly Simulations of GCHP Systems. HVAC&R Res. 2004, 10, 471–487. [Google Scholar] [CrossRef]
- Claesson, J.; Javed, S. A load-aggregation method to calculate extraction temperatures of borehole heat exchangers. ASHRAE Trans. 2012, 118, 530–539. [Google Scholar]
- Gnielinski, V. Neue Gleichungen für den Wärme- und den Stoffübergang in turbulent durchströmten Rohren und Kanälen. Forsch. Ingenieurwesen 1975, 41, 8–16. [Google Scholar] [CrossRef]
- Gröber, H.; Erk, S.; Grigull, U. Die Grundgesetzeder Wärmeübertragung; Springer: Berlin/Heidelberg, Germany, 1988. [Google Scholar]
- Krischer, O. Das temperaturfeld in der um-gebung von rohrleitungen, die in die erde verlegtsind. Gesundheits-Ingenieur 1936, 59, 537–539. [Google Scholar]
- Albers, K. Verhaltens-und elektrophysiologische Untersuchungen zur operanten Konditionierung von Antennenbewegungen der Honigbiene. Ph.D. Thesis, Technical University of Berlin, Berlin, Germany, 1991. [Google Scholar]
- Benkert, S.; Heidt, F.; Schöle, D. Calculation tool for Earth heat exchangers GAEA. In Proceedings of the Building Simulation 1997—The Fifth International IBPSA Conference, Prague, Czech Republic, 8–10 September 1997. [Google Scholar]
- Benkert, S.; Heid, F. Chapter 380—Designing Earth heat exchangers—Validation of the software GAEA. World Renew. Energy Congress 2000, VI, 1818–1821. [Google Scholar]
- Morrison, A. GS2000 software. In Proceedings of the Heat Pumps in Cold Climates—3rd International Conference, Wolfville, NS, Canada, 11–12 August 1997. [Google Scholar]
- Morrone, B.; Coppola, G.; Raucci, V. Energy and economic savings using geothermal heat pumps in different climates. Energy Convers. Manag. 2014, 88, 189–198. [Google Scholar] [CrossRef]
- Pahud, D.; Fromentin, A.; Hadorn, J. The Superposition Borehole Model for TRNSYS (TRNSBM). User Manuel, Internal Report; LASEN-EPFL: Lausanne, Switzerland, 1996. [Google Scholar]
- Pahud, D.; Fromentin, A.; Hadorn, J. The Duct Ground Heat Storage Model (DST) for TRNSYS Used for the Simulation of Heat Exchanger Piles; DGC-LASEN: Lausanne, Switzerland, 1996. [Google Scholar]
- Pola, M.; Fabbri, P.; Piccinini, L.; Zampieri, D.; Information, R. Conceptual and numerical models of a tectonically-controlled geothermal system: A case study of the Euganean Geothermal System, Northern Italy. Central Eur. Geol. 2015, 58, 129–151. [Google Scholar] [CrossRef]
- Laloui, L.; Moreni, M.; Vulliet, L. Comportement d’un pieu bi-fonction, fondation et échangeur de chaleur. Can. Geotech. J. 2003, 40, 388–402. [Google Scholar] [CrossRef]
- Laloui, L.; Nuth, M.; Vulliet, L. Experimental and Numerical Investigations of the Behavior of a Heat Exchanger Pile. In Elsevier Geo-Engineering Book Series; Elsevier: Amsterdam, The Netherlands, 2005; Volume 3, pp. 1065–1084. [Google Scholar] [CrossRef]
- Le Feuvre, P. An Investigation into Ground Source Heat Pump Technology, Its UK Market and Best Practise in System Design. Master’s Thesis, University of Stratchclyde, Glasgow, UK, 2007. [Google Scholar]
- Pahud, D.; Hellström, G.; Mazzarella, L. Duct Ground Heat Storage Model for TRNSYS (TRNVDST); Laboratory of Energy Systems: Lausanne, Switzerland, 1997. [Google Scholar]










| Software | Open Source/Commercial | General Notes on Method/Configuration/Time/Water/THM | References |
|---|---|---|---|
| EED (Earth Energy Designer) https://www.buildingphysics.com | commercial (Sweden, Germany, USA) | BHE thermal resistance calculation with multipoles; stored g-functions obtained from numerical simulations (soil); no CFD module included; long-term models with monthly or hourly loads can be obtained from base or peak monthly loads; surface water systems also included | [187,188,189] (case studies) |
| EnergyPlus https://energyplus.net | open source (U.S. Department of Energy) | variable time-step model, uses both long time-step; g-functions and short time-step; g-functions for finite volume 1D radial soil; whole building software with geothermal heat pump components; monthly and hourly loads possible in short time-step g-functions; no CFD module included | [190,191,192,193] |
| EWS http://www.hetag.ch/ | commercial (Huber Energietechnik AG, Zurich) | finite difference model (EWS—Erdwärmesonden modelu); Eskilson’s g-functions used; CFD module included; single boreholes or fields of boreholes, hourly time step, up to 200 years, up to 600 boreholes in Pro version; double U-pipes, coaxial pipes, triangle, L-shape, square-shape, U-shape; hydraulic linking of the BHE with the ventilation or the hydraulic cooling system possible; influence of groundwater for one or two aquifers | |
| FEFLOW https://www.mikepoweredbydhi.com/products/feflow | commercial (MIKE Powered by DHI Customer Success team, Denmark) | finite element analysis; chemical kinetics for multi-component reaction systems; able to calculate deep boreholes (700 m, for example); optimized 3D unstructured CFD ground water model for pit dewatering plan and pore pressure estimation at geologically complex mine site | [194,195,196,197,198] |
| FEHM (Finite Element Heat and Mass) https://wikivividly.com/wiki/FEHM | open source (Los Alamos National Laboratory); also, partly commercial (SoilVision SVOFFICE™5/WR) | finite volume, finite difference or finite element method for heat and fluid flow (CFD); finite elements for stress calculations; not for standard BHEs but for groundwater consideration, from which the obtained heat can be extracted; simulates groundwater and contaminant flow in deep and shallow porous media; studies THM effects | [199] |
| GLD (Ground Loop Design) https://www.groundloopdesign.com/ | commercial (Thermal Dynamics Inc., USA) | CFD module included; infinite cylindrical source model (analytical) with few improvements, or finite line source model with g-functions (soil); vertical, horizontal and pond systems, coaxial heat exchangers included; surface water module for pond systems included | [200,201,202] |
| GLHE-Pro https://hvac.okstate.edu/sites/default/files/pubs/glhepro/GLHEPRO_5.0_Manual.pdfspitler | commercial (International Ground Source Heat Pump Association, Oklahoma State University) | multipole method (borehole); finite difference g-function or free placement finite line source or standing column well model (soil); no CFD module included; max. 100 years; L-shaped, U-shaped, open rectangular and rectangular fields; max. 400 boreholes; vertical, horizontal and horizontal slinky systems | [132,193,203,204] (validation) |
| GshpCalc (name has been changed from Gchp—version 4.2 and earlier) http://geokiss.com/ | free to use, formerly commercial (Geokiss, University of Alabama) | cylindrical source solution that uses four cyclic load pulses, multi-zones; cooperated with the free software TideLoad to compute loads; displays both imperial and metric units; only vertical GHEs; surface water and groundwater included; U-tubes (one, two or three) with series and parallel connection; studies THM effects | [69,205,206,207] |
| IDA–ICE (Indoor Climate and Energy) http://www.equaonline.com | commercial (EQUA Simulation AB, Stockholm) | finite difference 3D model; no CFD module included; multi-zone simulation application for studying thermal indoor climate as well as the energy consumption of the entire building; no surface water considered; pressure drop in the closed liquid circle calculated | [102] (validation and case study) |
| OpenGeoSys https://www.opengeosys.org/books/geoenergy-modeling-ii/ | open source | finite elements, analytical infinite line source, numerical infinite line source or numerical BHE models for soil simulations; CFD module included; U-tube, double U-tube, coaxial centered and coaxial annular configurations; Groundwater flow simulated in porous and fractured media; studies THM effects | [208,209] (validation and case study) |
| TOUGH3 http://tough.lbl.gov/assets//files/Tough3/TOUGH3_Users_Guide_v2.pdf | commercial (Berkeley Laboratory) | integral finite difference 1D, 2D or 3D method in space; irregular or regular discretization; first order backward finite difference in time; not for standard BHE, but for geothermal reservoir engineering; developed for strongly heat driven flow; water and air transport included | [210,211,212,213,214] (case study) |
| TRNSYS (Transient System Simulation Tool) http://www.trnsys.com/ | commercial (Solar Energy Laboratory, University of Wisconsin, Madison) | finite difference model (EWS); g-functions (two modules include DST model) for soil whole building software with geothermal heat pump components; global temperature + local solution + steady-flux solution (g-functions) = DST model; no CFD module included | [130,203,215,216] (case study) |
| Other models (older or redundant) | |||
| ECA (Earth Coupled Analysis) https://www.elitesoft.com/web/hvacr/ecaw.html | commercial (Elite Software Development Inc.) | methodology described in Design/Data Manual for Closed-Loop Ground-Coupled Heat Pump Systems published ASHRAE; vertical and horizontal pipes; built-in heat pump performance data; no CFD module included | |
| GAEA (Graphical Design of Earth Heat Exchangers) http://nesa1.uni-siegen.de/index.htm?/softlab/gaea.htm | commercial (free full demo version limited to 10 days) (University of Siegen, Germany) | developed according to models of Gnielisnki [217], Grober et al. [218], Krischer [219] and analytical model of Albers [220]; no vertical GHEs, and only basic horizontal GHEs; no CFD module included | [221,222] (validation) |
| GS2000 http://www.canetaenergy.com/research/software-development/ | free to use (Caneta Research, Canada) | line/cylindrical source models; vertical and horizontal configurations; no CFD module included | [223] |
| HVACSIM+ https://nvlpubs.nist.gov/nistpubs/Legacy/IR/nistir7514.pdf | (NIST – National Institute of Standards and Technology, USA) | capable to simulate entire HVAC building system | |
| LoopLink (Pro and RCL) https://geoconnectionsinc.com/ | commercial (Geo-Connections Inc. SD, USA) | web-based; hourly simulation frequency | |
| PILESIM2 | commercial (Laboratory of Energy Systems—LASEN) | based on TRNSYS and models of TRNVDST and TRNSBM; simulation time: 25 years | [9,99,224,225,226] (case study) |
| Right-Loop http://www.wrightsoft.com/icp/products/right-suite_universal/right-loop.aspx | commercial (Wrightsoft Corporation, USA) | requires additional software, or purchased package (right-j) | |
| Ground and Geo-Structure Software | |||
| Code_Bright https://deca.upc.edu/en/projects/code_bright | free to use (requires GiD pre-/post-prossessor) (Universitat Politecnica de Catalunya) | FEM program capable of performing coupled THM analysis in geological media; studies THM effects | [151] |
| HYDROTHERM https://volcanoes.usgs.gov/software/hydrotherm/index.html | free to use (U.S. Geological Survey—USGS) | can accommodate high fluid pressure and high temperatures; multi-phase ground-water flow | [227] |
| Thermo-Pile https://www.epfl.ch/labs/lms/wp-content/uploads/2018/08/Thermo-Pile_Documentation_Theory_V1-1.pdf | commercial (École Polytechnique Ffédérale de Lausanne) | 1D finite differences in radial direction; size of the piles; no water transfer taken into account; mesh analysis; studies THM effects | [152,228,229] (validation and case study) |
© 2020 by the authors. Licensee MDPI, Basel, Switzerland. This article is an open access article distributed under the terms and conditions of the Creative Commons Attribution (CC BY) license (http://creativecommons.org/licenses/by/4.0/).
Share and Cite
Christodoulides, P.; Vieira, A.; Lenart, S.; Maranha, J.; Vidmar, G.; Popov, R.; Georgiev, A.; Aresti, L.; Florides, G. Reviewing the Modeling Aspects and Practices of Shallow Geothermal Energy Systems. Energies 2020, 13, 4273. https://doi.org/10.3390/en13164273
Christodoulides P, Vieira A, Lenart S, Maranha J, Vidmar G, Popov R, Georgiev A, Aresti L, Florides G. Reviewing the Modeling Aspects and Practices of Shallow Geothermal Energy Systems. Energies. 2020; 13(16):4273. https://doi.org/10.3390/en13164273
Chicago/Turabian StyleChristodoulides, Paul, Ana Vieira, Stanislav Lenart, João Maranha, Gregor Vidmar, Rumen Popov, Aleksandar Georgiev, Lazaros Aresti, and Georgios Florides. 2020. "Reviewing the Modeling Aspects and Practices of Shallow Geothermal Energy Systems" Energies 13, no. 16: 4273. https://doi.org/10.3390/en13164273
APA StyleChristodoulides, P., Vieira, A., Lenart, S., Maranha, J., Vidmar, G., Popov, R., Georgiev, A., Aresti, L., & Florides, G. (2020). Reviewing the Modeling Aspects and Practices of Shallow Geothermal Energy Systems. Energies, 13(16), 4273. https://doi.org/10.3390/en13164273

