Video Analysis of Pedestrian Movement (VAPM) under Different Lighting Conditions—Method Exploration
Abstract
1. Introduction
2. Previous Research
3. Study Aim
4. Study Site
5. VAPM—Method Development and Adaptation
5.1. Cameras and Installations
5.2. Camera Calibration Model
5.3. T-Analyst—Semi-Automated Video Processing Software
5.4. Trajectory Data Post-Processing
6. User Evaluation of Two Lighting Applications
6.1. Participants
6.2. Evaluation Procedure
6.3. Observer-Based Assessments
6.4. Statistical Analysis of Observer-Based Assessments
7. Results
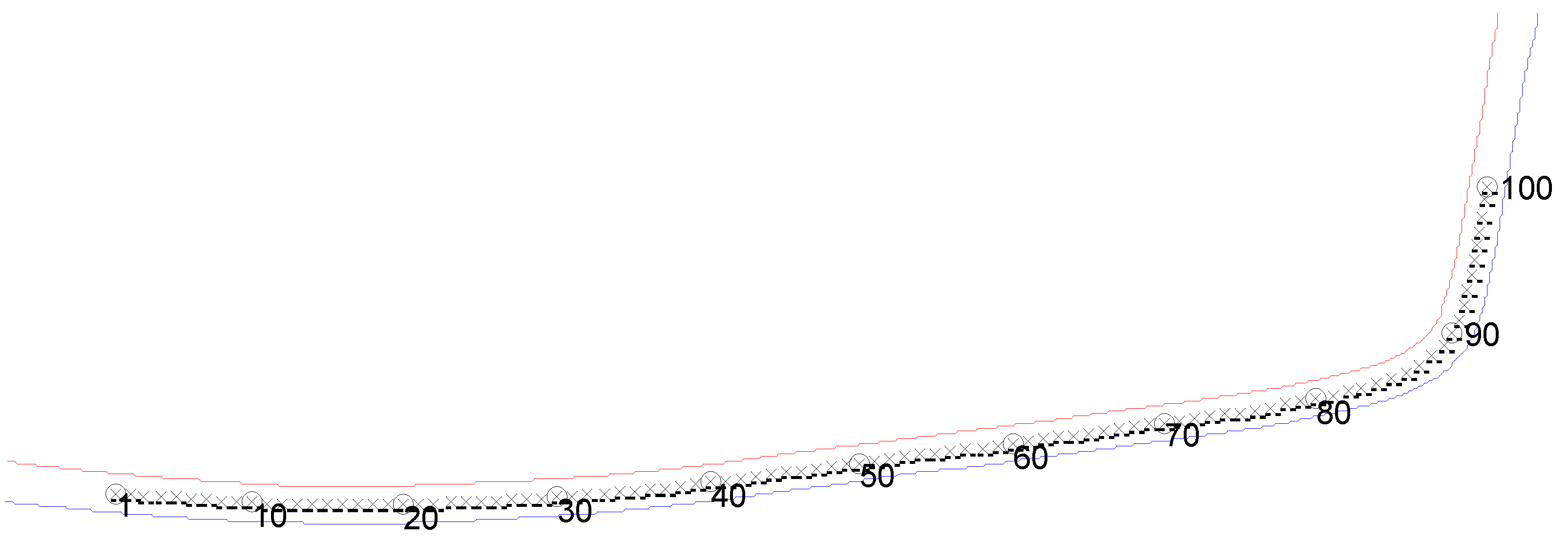
7.1. Trajectory Analysis of Two Lighting Applications
7.2. Observer-Based Assessments
- “Not sure the feeling of being unsafe was more about the lighting or the surrounding environment. I think it was the environment in general.”
- “I had the feeling it was deserted o this route, not safe to walk here (I did not have a positive feeling).”
- “A feeling of being unsafe between lamps, particularly in the corner.”
- “A pretty neutral path, but some spots were either too dark (dangerous) or too bright.”
- “It is difficult to see what is around the corner (makes it difficult to see).”
- “Yes, this because of the brightness (brightest lamp) and then darkness immediately after.”
- “It was very dark around, even if in the path it was lit.”
- “Not a very pleasant area, but the lighting was quite good.”
- “It was hard to see outside of the route (the lamp spots). It was so bright that one could not see well the surroundings well.”
- “These lamps are quite sharp; it is good that there is so much light, for safety, but it is too bright in the end.”
- “I felt that when I passed under the light poles, I always had to look down; otherwise, it gave me a bad feeling, of glaring light.”
- “I always tried to stay on the left side, as I always do so, I avoided being totally under the light poles.”
7.3. Correlations between VAPM and Observer-Based Assessments
8. Discussion
8.1. General Applicability of VAPM Methodology
8.2. The Contribution of VAPM in the Evaluation of User Responses to Outdoor Lighting for Pedestrians
8.3. VAPM in Practice
8.4. VAPM, Legal Issues and the Need for Further Development
9. Conclusions
Author Contributions
Funding
Acknowledgments
Conflicts of Interest
References
- United Nations. Transforming Our World: The 2030 Agenda for Sustainable Development; United Nations: Bruxelles, Belgium, 2015. [Google Scholar]
- Uttley, J.; Fotios, S. Using the daylight savings clock change to show ambient light conditions significantly influence active travel. J. Environ. Psychol. 2017, 53, 1–10. [Google Scholar] [CrossRef]
- Fotios, S.; Uttley, J.; Fox, S. A whole-year approach showing that ambient light level influences walking and cycling. Light. Res. Technol. 2017, 51, 55–64. [Google Scholar] [CrossRef]
- Davoodian, N.; Mansouri, A.A. Does street lighting affect pedestrian behaviour at night? In Proceedings of the CIE 2016—Lighting Quality and Energy Efficiency, Melbourne, Australia, 3–5 March 2016. [Google Scholar]
- Unwin, J.; Symonds, P.; Laike, T. Does Lighting Affect Pedestrian Flows? A Pilot Study in Lund, Market Harborough and Dublin. In Proceedings of the Lux Europa, Ljubljana, Slovenia, 18–20 September 2017; pp. 245–250. [Google Scholar]
- Davoodian, N. Visual saliency of urban objects at night: Impact of the density of background light patterns. Leukos 2011, 8, 137–152. [Google Scholar] [CrossRef]
- Boosma, C.; Steg, L. Feeling safe in the dark: Examining the effect of entrapment, lighting levels, and gender on feelings of safety and lighting policy acceptability. Environ. Behav. 2014, 46, 193–212. [Google Scholar] [CrossRef]
- van Rijswijk, L. Shedding Light on Safety Perceptions. Environmental Information Processing and the Role of Lighting. Ph.D. Thesis, Technical University of Eindhoven, Eindhoven, The Netherlands, 2015. [Google Scholar]
- Nasar, J.L.; Bokharaie, S. Impressions of lighting in public squares after dark. Environ. Behav. 2017, 49, 227–254. [Google Scholar] [CrossRef]
- GEA. Global Assessment—Toward a Sustainable Future; Cambridge University Press: Cambridge, UK; New York, NY, USA; The International Institute for Applied System Analysis: Laxenburg, Austria, 2012. [Google Scholar]
- IEA International Energy Agency. Energy Efficiency 2018—Analysis and Outlooks 2040; IEA: Paris, France, 2018. [Google Scholar]
- Waide, P.; Tanishima, S. Light’s Labour’s Lost: Policies for Energy-efficient Lighting; IEA/OECD: Paris, France, 2006. [Google Scholar]
- Boyce, P.; Fotios, S.; Richards, M. Road lighting and energy saving. Light. Res. Technol. 2009, 41, 245–260. [Google Scholar] [CrossRef]
- Johansson, M.; Pedersen, E.; Maleetipwan-Mattsson, P.; Kuhn, L.; Laike, T. Perceived outdoor lighting quality (POLQ): A lighting assessment tool. J. Environ. Psychol. 2014, 39, 14–21. [Google Scholar] [CrossRef]
- CIE. Lighting of Roads for Motor and Pedestrian Traffic; CIE: Austria, Vienna, 2010. [Google Scholar]
- CIE. Lighting for Pedestrian: A summary of Empirical Data; CIE: Austria, Vienna, 2019. [Google Scholar]
- Craik, K.H.; Feimer, N.R. Environmental assessment. In Handbook of Environmental Psychology; Stokols, D., Altman, I., Eds.; Wiley: NewYork, NY, USA, 1987; pp. 891–918. [Google Scholar]
- Küller, R. Environmental assessment from a neuropsychological perspective. In Environment, Cognition and Action; Gärling, T., Evans, G.W., Eds.; Oxford University Press: New York, NY, USA, 1991; pp. 78–95. [Google Scholar]
- Nasar, J.L. Assessing Perceptions of Environments for Active Living. Am. J. Prev. Med. 2008, 34, 357–363. [Google Scholar] [CrossRef]
- De Kort, Y.A.W. Tutorial: Theoretical Considerations When Planning Research on Human Factors in Lighting. Leukos 2019, 15, 85–96. [Google Scholar] [CrossRef]
- Rahm, J.; Johansson, M. Assessing the pedestrian response to urban outdoor lighting: A full-scale laboratory study. PLoS ONE 2018, 13, e0204638. [Google Scholar] [CrossRef]
- Rea, M.; Radetsky, L.; Bullough, J.D. Toward a model of outdoor lighting scene brightness. Light Res. Technol. 2010, 43, 7–30. [Google Scholar] [CrossRef]
- Fotios, S.; Cheal, C. Using obstacle detection to identify appropriate illuminances for lighting in residential roads. Light. Res. Technol. 2012, 45, 362–376. [Google Scholar] [CrossRef]
- Davoudian, N.; Raynham, P.; Barrett, E. Disability glare: A study in simulated road lighting conditions. Light. Res. Technol. 2013, 46, 695–705. [Google Scholar] [CrossRef]
- Fotios, S.; Johansson, M. Appraising the intention of other people: Ecological validity and procedures for investigating effects of lighting for pedestrians. Light. Res. Technol. 2017, 51, 111–130. [Google Scholar] [CrossRef]
- Kuller, R.; Wetterberg, L. The subterranean work environment: Impact on well-being and health. Environ. Int. 1996, 22, 33–52. [Google Scholar] [CrossRef]
- Nikunen, H.J.; Korpela, K. Restorative Lighting Environments-Does the Focus of Light Have an Effect on Restorative Experiences? J. Light Vis. Environ. 2009, 33, 37–45. [Google Scholar] [CrossRef]
- Nikunen, H.; Puolakka, M.; Rantakallio, A.; Korpela, K.; Halonen, L. Perceived restorativeness and walkway lighting in near-home environments. Light. Res. Technol. 2013, 46, 308–328. [Google Scholar] [CrossRef]
- Blöbaum, A.; Hunecke, M. Perceived danger in urban public space. The impacts of physical features and personal factors. Environ. Behav. 2005, 37, 465–486. [Google Scholar] [CrossRef]
- Rahm, J.; Sternudd, C.; Johansson, M. “In the evening, I don’t walk in the park”: The interplay between street lighting and greenery in perceived safety. Urban Des. Int. 2020. [Google Scholar] [CrossRef]
- Hanyu, K. Visual properties and affective appraisals in residential areas after dark. J. Environ. Psychol. 1997, 17, 301–315. [Google Scholar] [CrossRef]
- Cortés, A.B.C.; Morales, L.E.F. Emotions and the Urban Lighting Environment. SAGE Open 2016, 6, 1–8. [Google Scholar]
- Robson, C. Real World Research; John Wiley Sons Ltd.: Hoboken, NJ, USA, 2011. [Google Scholar]
- Herbert, D.; Davidson, N. Modifying the built environment: The impact of improved street lighting. Geoforum 1994, 25, 339–350. [Google Scholar] [CrossRef]
- Painter, K. The influence of street lighting improvements on crime, fear and pedestrian street use, after dark. Landsc. Urban Plan. 1996, 35, 193–201. [Google Scholar] [CrossRef]
- Hariyono, J.; Jo, K.-H. Detection of pedestrian crossing road: A study on pedestrian pose recognition. Neurocomputing 2017, 234, 144–153. [Google Scholar] [CrossRef]
- Fisher, B.S.; Nasar, J.L. Fear of Crime in Relation to Three Exterior Site Features. Environ. Behav. 1992, 24, 35–65. [Google Scholar] [CrossRef]
- Markvica, K.; Richter, G.; Lenz, G. Impact of urban street lighting on road users’ perception of public space and mobility behavior. Build. Environ. 2019, 154, 32–43. [Google Scholar] [CrossRef]
- Maleetipwan-Mattsson, P.; Johansson, M.; Almén, M.; Laike, T.; Marcheschi, E.; Ståhl, A. Improved Usability of Pedestrian Environments After Dark for People with Vision Impairment: An Intervention Study. Sustainability 2020, 12, 1096. [Google Scholar] [CrossRef]
- Itoh, N. Visual guidance of walking: Effects of illumination level and edge emphasis. Gerontechnology 2006, 5, 246–252. [Google Scholar] [CrossRef]
- Choi, J.-S.; Kang, D.-W.; Shin, Y.-H.; Tack, G.-R. Differences in gait pattern between the elderly and the young during level walking under low illumination. Acta Bioeng. Biomech. 2014, 16, 3–9. [Google Scholar]
- Pedersen, E.; Johansson, M. Dynamic pedestrian lighting: Effects on walking speed, legibility and environmental perception. Light. Res. Technol. 2016, 50, 522–536. [Google Scholar] [CrossRef]
- Finnis, K.K.; Walton, D. Field observations to determine the influence of population size, location and individual factors on pedestrian walking speeds. Ergonomics 2008, 51, 827–842. [Google Scholar] [CrossRef] [PubMed]
- Franěk, M. The effect of urban vegetation and traffic intensity on walking speed. Recent Res. Eng. Mech. Urban Nav. Transp. Tour. 2012, 163–166. Available online: http://www.researchgate.net/profile/Marek_Franek/publication/268201382_The_effect_of_urban_vegetation_and_traffic_intensity_on_walking_speed/links/547b57b30cf205d16881c490/The-effect-of-urban-vegetation-and-traffic-intensity-on-walking-speed.pdf (accessed on 1 July 2019).
- Franěk, M. Pedestrian walking speed as a response to environmental properties. Adv. Environ. Sci. Sustain. 2012, 87–90. Available online: http://www.wseas.us/e-library/conferences/2012/Sliema/NACGURES/NACGURES-12.pdf (accessed on 1 July 2019).
- Willis, A.; Gjersoe, N.; Havard, C.; Kerridge, J.; Kukla, R. Human movement behaviour in urban spaces: Implications for the design and modelling of effective pedestrian environments. Environ. Plan. B Plan. Des. 2004, 31, 805–828. [Google Scholar] [CrossRef]
- Jazwinski, C.H.; Walcheski, C.H. At the Mall With Children: Group Size and Pedestrian Economy of Movement. Environ. Behav. 2011, 43, 363–386. [Google Scholar] [CrossRef]
- Andersson, J. Image Processing for Analysis of Road User Behaviour—A Trajectory Based Solution, Bulletin 212; Lund Institute of Technology, Department of Technology and Society, Traffic Engineering. 2000. Available online: https://lup.lub.lu.se/search/publication/627183 (accessed on 1 July 2019).
- Høye, A.; Laureshyn, A.; Vaa, T. Evaluering av et Fotgjengeraktivert Varslingssystem i Gangfelt: “SeeMe”; Rapport 1496/2016; TØI Institute of Transport Economics/Norwegian Centre for Transport Research: Oslo, Norway, 2016. [Google Scholar]
- Tageldin, A.; Sayed, T. Developing evasive action-based indicators for identifying pedestrian conflicts in less organized traffic environments. J. Adv. Transp. 2016, 50, 1193–1208. [Google Scholar] [CrossRef]
- Ismail, K.; Sayed, T.; Saunier, N. Automated Analysis of Pedestrian–Vehicle Conflicts. Transp. Res. Rec. J. Transp. Res. Board 2010, 2198, 52–64. [Google Scholar] [CrossRef]
- Laureshyn, A.; Nilsson, M. How accurately can we measure from video? Practical considerations and enhancement of the camera calibration procedure. Transp. Res. Rec. 2018, 2672, 24–33. [Google Scholar] [CrossRef]
- Kingma, D.P.; Ba, J. Adam: A Method for Stochastic Optimization. In Proceedings of the 3rd International Conference on Learning Representations, San Diego, CA, USA, 7–9 May 2015. [Google Scholar]
- Bottou, L.; Curtis, F.; Nocedal, J. Optimization Methods for Large-Scale Machine Learning. SIAM Rev. 2018, 60, 223–311. [Google Scholar] [CrossRef]
- Bottou, L.; Bousquet, O. The Tradeoffs of Large Scale Learning. In Optimization for Machine Learning; Sra, S., Nowozin, S., Wright, S.J., Eds.; MIT Press: Cambridge, MA, USA, 2011; pp. 351–368. [Google Scholar]
- Zhang, S.; Yang, J.; Schiele, B. Occluded Pedestrian Detection Through Guided Attention in CNNs. In Proceedings of the IEEE Conference on Computer Vision and Pattern Recognition (CVPR), Salt Lake City, UT, USA, 18–23 June 2018; Available online: https://openaccess.thecvf.com/content_cvpr_2018/papers/Zhang_Occluded_Pedestrian_Detection_CVPR_2018_paper.pdf (accessed on 15 January 2020).
- Trafikverket [Swedish Transport Administration]. Vägbelysningshandboken [Street Lighting Guide]; Trafikverket: Borlänge, Sweden, 2014. [Google Scholar]
- Tsai, R.Y. An Efficient and Accurate Camera Calibration Technique for 3D Machine Vision. In Proceedings of the IEEE Conference on Computer Vision and Pattern Recognition, Miami Beach, FL, USA, 22–26 June 1986. [Google Scholar]
- T-Analyst. Semi-Automated Video Processing. Available online: https://bitbucket.org/TrafficAndRoads/tanalyst/wiki/Manual (accessed on 15 January 2020).
- Johansson, M.; Sternudd, C.; Karrholm, M. Perceived urban design qualities and affective experiences of walking. J. Urban Des. 2016, 21, 256–275. [Google Scholar] [CrossRef]
- Rahm, J. Urban Outdoor Lighting: Pedestrian Perception, Evaluation and Behaviour in the Lit Environment. Ph.D. Thesis, Lund University, Lund, Sweden, 2019. [Google Scholar]
- Russell, J.A.; Weiss, A.; Mendelsohn, G.A. Affect Grid: A Single-Item Scale of Pleasure and Arousal. J. Personal. Soc. Psychol. 1989, 57, 493–502. [Google Scholar] [CrossRef]
- Västfjäll, D.; Gärling, T. Validation of a Swedish short self-report measure of core affect. Scand. J. Psychol. 2007, 48, 233–238. [Google Scholar] [CrossRef] [PubMed]
- Johansson, M.; Rosén, M.; Küller, R. Individual factors influencing the assessment of the outdoor lighting of an urban footpath. Light. Res. Technol. 2010, 43, 31–43. [Google Scholar] [CrossRef]
- Knight, C. Field surveys investigating the effect of lamp spectrum on the perception of safety and comfort at night. Lighting Res. Technol. 2010, 42, 313–330. [Google Scholar] [CrossRef]
- Haans, A.; De Kort, Y.A.W. Light distribution in dynamic street lighting: Two experimental studies on its effects on perceived safety, prospect, concealment, and escape. J. Environ. Psychol. 2012, 32, 342–352. [Google Scholar] [CrossRef]
- Berntman, M. Fotgängares Olyckor och Skador i Trafikmiljö med Fokus på Fallolyckor; Lund University Publications: Lund, Sweden, 2015. [Google Scholar]
- Arvidsson, A.K. Krav för att Förhindra Fallolyckor—Tekniska Egenskapskrav för Gator och Vägar; VTI Rapport 932; Swedish National Road and Transport Research Institute: Linköping, Sweden, 2017. [Google Scholar]
- Van Der Horst, A.R.A.; De Goede, M.; De Hair-Buijssen, S.; Methorst, R. Traffic conflicts on bicycle paths: A systematic observation of behaviour from video. Accid. Anal. Prev. 2014, 62, 358–368. [Google Scholar] [CrossRef]
- Helbing, D.; Molnár, P. Social force model for pedestrian dynamics. Phys. Rev. E 1995, 51, 4282–4286. [Google Scholar] [CrossRef]
- Jensen, M.B.; Ahrnbom, M.; Kruithof, M.; Åström, K.; Nilsson, M.; Ardö, H.; Laureshyn, A.; Johnsson, C.; Moeslund, T.B. A Framework for Automated Analysis of Surrogate Measures of Safety from Video using Deep Learning Techniques. In Proceedings of the Transportation Research Board (TRB) 98th Annual Meeting 2019, Washington, DC, USA, 13–17 January 2019. [Google Scholar]
- Fu, T.; Stipancic, J.; Zangenehpour, S.; Miranda-Moreno, L.; Saunier, N. Automatic Traffic Data Collection under Varying Lighting and Temperature Conditions in Multimodal Environments: Thermal versus Visible Spectrum Video-Based Systems. J. Adv. Transp. 2017, 2017, 1–15. [Google Scholar] [CrossRef]
















| Variable | Lighting Application I | Lighting Application II | ANOVA | Significance | |||
|---|---|---|---|---|---|---|---|
| M | SD | M | SD | F (1, 60) | p | Partial eta-squared | |
| Perception | |||||||
| See well | 4.27 | 1.51 | 6.00 | 0.93 | 29.99 | <0.001 | 0.33 |
| Visual accessibility | 3.12 | 0.96 | 4.29 | 0.71 | 30.13 | <0.001 | 0.33 |
| Evaluation | |||||||
| PSQ | 4.04 | 1.07 | 5.45 | 0.85 | 33.37 | <0.001 | 0.36 |
| PCQ | 3.97 | 1.12 | 3.03 | 1.23 | 9.78 | =0.003 | 0.14 |
| Affective responses | |||||||
| Valence | 3.10 | 1.18 | 3.45 | 0.93 | 1.78 | n.s. | - |
| Arousal | 3.43 | 1.07 | 3.51 | 0.96 | 0.10 | n.s. | - |
| Perceived danger | 2.77 | 1.25 | 2.23 | 1.10 | 3.05 | =0.086 | 0.05 |
| Prospect | 2.48 | 1.12 | 3.00 | 1.17 | 3.13 | =0.082 | 0.05 |
| Escape | 2.20 | 1.26 | 2.51 | 1.27 | 0.91 | n.s. | - |
| Behaviour | |||||||
| Intention to choose | 3.41 | 1.32 | 3.63 | 1.16 | 0.49 | n.s. | - |
| Intention to avoid | 2.86 | 1.22 | 2.45 | 1.17 | 1.80 | n.s. | - |
© 2020 by the authors. Licensee MDPI, Basel, Switzerland. This article is an open access article distributed under the terms and conditions of the Creative Commons Attribution (CC BY) license (http://creativecommons.org/licenses/by/4.0/).
Share and Cite
Johansson, M.; Laureshyn, A.; Nilsson, M. Video Analysis of Pedestrian Movement (VAPM) under Different Lighting Conditions—Method Exploration. Energies 2020, 13, 4141. https://doi.org/10.3390/en13164141
Johansson M, Laureshyn A, Nilsson M. Video Analysis of Pedestrian Movement (VAPM) under Different Lighting Conditions—Method Exploration. Energies. 2020; 13(16):4141. https://doi.org/10.3390/en13164141
Chicago/Turabian StyleJohansson, Maria, Aliaksei Laureshyn, and Mikael Nilsson. 2020. "Video Analysis of Pedestrian Movement (VAPM) under Different Lighting Conditions—Method Exploration" Energies 13, no. 16: 4141. https://doi.org/10.3390/en13164141
APA StyleJohansson, M., Laureshyn, A., & Nilsson, M. (2020). Video Analysis of Pedestrian Movement (VAPM) under Different Lighting Conditions—Method Exploration. Energies, 13(16), 4141. https://doi.org/10.3390/en13164141

