Abstract
A series of functionalized ferrocene derivatives carrying electron-donor and electron-withdrawing (hetero)aromatic substituents has been designed as potential alternative electrolyte redox couples for dye-sensitized solar cells (DSSC). The compounds have been synthesized and fully characterized in their optical and electrochemical properties. A general synthetic approach that implies the use of a microwave assisted Suzuki coupling has been developed to access a significative number of compounds. The presence of different electron-rich and electron-poor substituents provided fine tuning of optical properties and energy levels. HOMO and LUMO energy values showed that the substitution of one or two cyclopentadienyl rings of ferrocene can be successfully exploited to increase the maximum attainable voltage from a standard DSSC device using TiO2 as a semiconductor, opening the way to highly efficient, non-toxic, and cheap redox shuttles to be employed in solar energy technologies.
1. Introduction
Over the past two decades, hybrid organic-inorganic solar cells, in particular dye-sensitized solar cells (DSSC), have attracted a huge interest in the scientific community. Since their first report by Graetzel in 1991 [1], DSSC have continuously increased their power conversion efficiencies (PCE), recently reaching a record efficiency exceeding 14% [2,3,4,5,6,7]. A DSSC is a multi-component device comprising: (a) a dye-sensitizer (in general, a Ru(II) complex or a polar donor-acceptor organic chromophore); (b) a n-type semiconductor metal oxide (consisting of one or more mesoporous layers of TiO2); (c) a redox electrolyte (typically the iodide/triiodide couple, I−/I3−, redox pair); (d) a transparent working anode and a counter electrode (based on fluorine-doped tin oxide, FTO). These devices are unique in terms of their parameter’s optimization since the investigation on their different chemical component makes possible to finely tune any single electrical parameters of the device, thus separately optimizing the open circuit photovoltage Voc or the short-circuit photocurrent Jsc.
In a DSSC the open-circuit photovoltage, to which the PCE is directly related following the relationship PCE = Voc × Jsc × FF (FF = fill factor), is proportional to the saturation current of the cell, in turn depending on the energy difference between the TiO2 quasi-Fermi level and the redox potential of the redox couple electrolyte [8]. The iodide/triiodide couple (0.35 V vs. NHE) is the most common electrolyte in DSSC, affording record power conversion efficiencies [9]. Unfortunately, it suffers some serious limitations, mainly corrosion of metals in devices and complex redox chemistry. In particular, a large overpotential is needed for efficient dye regeneration owing to the formation of an intermediate radical species I2 (0.93 V). This aspect automatically limits the maximum achievable Voc to values significantly lower than 1 V [10,11]. Thus, in order to enhance the photovoltage and minimize the dye regeneration overpotential, new redox shuttles with lower redox levels are needed, while keeping the energy offset with the dye HOMO level required for efficient dye regeneration (>0.2–0.3 V) [11].
A variety of iodide/triiodide-free electrolytes have been so far proposed for liquid DSSC [12,13,14,15,16,17,18]. Among others, Co-polypyridyl complexes with more positive potentials vs. NHE have been proposed [12] and investigated in the past decade, recently achieving excellent performances [19,20,21,22,23,24] and high PCEs [6]. In Co-based device, an increase of the photovoltage and photocurrent compared to the iodide /triiodide redox couple has been observed [20]. The nature of the ligands of the complexes determines the potential of the electrolyte. A drawback associated to a more positive potential is the faster recombination rate with the electrons injected on the titanium dioxide. A way to limit this resides in the proper design of the dye. The choice of a sensitizer with hydrophobic chains resulted the key to improve the cell performances [20,25,26,27,28]. A record efficiency was reached by using a porphyrin dye and a Co-polypyridyl electrolyte [6]. Unfortunately, Co-polypyridyl complexes are not always readily available and their market application may be hampered by their high cost and, in some cases, toxicity [19].
Apart from Co(II)/Co(III) complexes, other reported iodide/triiodide-free electrolytes always afforded lower efficiencies [29]. Up to now, the best efficiency of alternative redox shuttles, 7.5%, has been achieved by the ferrocene/ferrocenium (Fc/Fc+) redox couple under 1 sun (1000 W m−2) irradiation [10]. Iron is a very abundant, cheap, and non-toxic metal. Its most common complex, ferrocene (Fc), undergoes a simple monoelectronic redox chemistry affording its oxidized derivative ferrocenium Fc+, with a potential of +0.63 V vs. NHE [10,11], that is ~+0.3 V more positive than the iodide/triiodide couple. Because of these unique and convenient features, the Fc/Fc+ redox couple is thus highly attractive as an electrolyte in DSSC.
The presence of electron-donating (donor, D) and electron-withdrawing (acceptor, A) substituent effects might represent an efficient way to finely tune the redox energy levels of Fc derivatives. Moreover, shifting the potential of the redox couple to more positive values provides a straightforward strategy to significantly increase the cell photovoltage compared to iodine-based DSSC. Spiccia and co-workers [30] investigated mono- and bis-bromoferrocene derivatives (in the latter the two bromines were located on different cyclopentadienyl rings) and several alkylated ferrocenes. The redox potentials of the brominated compounds were more positive (0.78 V and 0.83 V vs. NHE for the mono- and the bis-bromoferrocene, respectively) than those of unsubstituted or alkyl-substituted ferrocenes [11]. Hupp and co-workers [31] have investigated mono- and bis-chloroferrocene, with the two chlorine atoms located on different cyclopentadienyl rings. Very interestingly, the redox potential of the corresponding Fc/Fc+ couples were calculated as 0.81 V and 0.94 V vs. NHE, respectively, affording an additional gain of ~0.3 V compared to the pristine Fc/Fc+ pair, and of ~0.6 V compared to I−/I3−. Dimethylferrocene was also tested as an electrolyte in DSSC in combination with boron-dipyrromethene (BODIPY)-based dyes as sensitizers [32]. More recently, Fc derivatives and different complexes of Fe have been used as redox shuttles in n- and p-type DSSC with interesting efficiencies highlighting the possibility of using Fe derivatives as electrolytes also in tandem n-type/p-type DSSC [32,33].
While searching for Fc derivatives with appropriate redox potential to be employed as DSSC electrolytes, we were surprised to find that not only Fc derivatives substituted with aromatic and heteroaromatic groups have been ever used as electrolytes in DSSC, but even in the whole Fc literature such derivatives have been very scantly investigated. This attracted our attention since it is well-known that aromatic and heteroaromatic D and A substituents can greatly affect the redox properties of the main scaffold to which they are bound. In particular, D and A groups are expected to decrease and increase the oxidation potential, respectively. In other terms, aromatic and heteroaromatic D and A substituents of Fc are expected to shift the redox potential to either less or more positive values vs. NHE compared to the reference Fc/Fc+ couple.
In this paper we describe a series of Fc/Fc+ redox derivatives, where the Fc core is substituted by one or two (located on different cyclopentadienyl rings) representative aromatic and heteroaromatic D and A substituents. The new mono- and bis-D- and A-substituted Fc/Fc+ have been investigated in their synthetic access, spectroscopic, and electrochemical properties, as a function of the electronic properties of the inserted substituent(s). Finally, spectroelectrochemical investigation has been carried out to evaluate the optical properties of the oxidized form Fc+ and asses the reversibility of the redox process in order to support the potential use of the substituted new Fc/Fc+ redox shuttles as alternative cheap and efficient DSSC electrolytes.
2. Materials and Methods
2.1. General Information
1-bromo-2,4-dihexyloxybenzene was synthesized following a procedure previously reported in literature [34]. Commercially available reagents were purchased at the highest purity grade and used without any further purification. Purification of the synthesized compounds via flash chromatography has been performed with silica gel 230–400 mesh (60 Å). The reactions performed under nitrogen atmosphere have been conducted in oven-dried glassware and monitored by thin-layer chromatography by using UV light (254 and 365 nm) as a visualizing agent. Anhydrous solvents were purchased from commercial suppliers and used as received. After extraction, the organic phases have been dried with anhydrous Na2SO4 and filtered before evaporation of the solvents at reduced pressure. Absorption spectra were recorded with a V-570 Jasco spectrophotometer. A Bruker AMX-500 spectrometer operating at 500.13 MHz (1H) and 125.77 MHz (13C) was used. High resolution mass spectra have been recorded with an Agilent 6230B Time of Flight (TOF) equipped with an electrospray (Dual ESI) source.
Cyclic voltammetry (CV) have been performed in 0.1 M TBAClO4 in MeCN supporting electrolyte at 100 mV s−1 scan rate, with an AUTOLAB PGSTAT302N potentiostat in a three-electrode electrochemical cell under an Ar flow. The working, counter, and the pseudo-reference electrodes were a gold pin for the dyes in solution, a Pt wire, and an Ag/AgCl electrode (3 M KCl), respectively. Before measurements, the Pt wire was cleaned in an ultrasonic bath for 15 min in deionized water, rinsed with 2-propanol, and cycled for 50 times in 0.5 M H2SO4. The Ag/AgCl pseudo-reference electrode has been calibrated, by adding Fc (10−3 M) to the test solution after each measurement. The spectroelectrochemical measurements have been carried out using the same cell arrangement in a sealed optical cuvette. A Jasco V-570 UV-Vis-near IR was used as spectrophotometer in the visible (Vis) spectra (800 > λ > 400 nm) under several applied potentials. The potential was applied before the spectrum acquisition for a time long enough to drive the system to a stationary state, and it was maintained during the measurements.
2.2. Synthesis of Fc Derivatives
General procedure A for mono-substituted Fc derivatives: A mixture of ferroceneboronic acid (1.2 mmol), arylbromide (1.0 mmol), Pd(dppf)Cl2∙CH2Cl2 (0.02 mmol), an aqueous solution 1 M of Bu4NOH (1.6 mmol), 1,4-dioxane (5 mL) was stirred in a microwave reactor (130 °C, 200 psi, 90 W) for 4 h. As an alternative method, the mixture could be stirred at reflux for 24 h under inert and conventional (not microwave) conditions. H2O was added and the solution was extracted with CH2Cl2. The organic layers were dried with Na2SO4. Flash chromatography was finally applied to obtain the pure product.
4-ferrocenylpyridine and 1,1′-bis(4-pyridyl)ferrocene (1a,1b). A mixture of 1,1′-ferrocenediboronic acid bis(pinacol) ester (658 mg, 1.50 mmol), 4-bromopyridine hydrochloride (733 mg, 3.78 mmol), Pd(dppf)2Cl2∙CH2Cl2 (26 mg, 0.03 mmol), 1,4-dioxane (7.5 mL), an aqueous solution 1 M of Bu4NOH (7.5 mL, 7.5 mmol) was stirred in a microwave reactor (130 °C, 200 psi, 90 W) for 4 h. H2O was added and the solution was extracted with CH2Cl2. The organic layers were dried with Na2SO4. Flash chromatography afforded the pure products (CH2Cl2/MeOH 97/3 for the mono-4-ferrocenylpyridine and 80/20 for the bis-4-ferrocenylpyridine). 4-ferrocenylpyridine 1a, (80 mg, 20%). 1H NMR (500 MHz, CDCl3) δ(ppm) = 8.46 (s, 2H), 7.31 (s, 2H), 4.70 (s, 2H), 4.40 (s, 2H), 4.02 (s, 5H). 13C NMR (125 MHz, CDCl3) δ(ppm) = 149.69, 148.56, 120.57, 80.93, 70.21, 69.96, 66.83. 1,1′-bis(4-pyridyl)ferrocene 1b (96 mg, 19%) 1H NMR (500 MHz, CDCl3) δ(ppm) = 8.39 (4H, s), 7.07 (4H, s), 4.44 (8H, d, J = 104.1 Hz). 13C NMR (125 MHz, CDCl3) δ(ppm) = 150.66, 147.37, 121.07, 72.73, 69.37.
5-hexyl-2-ferrocenylthiophene (1c). This product was synthesized according to the general procedure A: ferroceneboronic acid (689 mg, 3.01 mmol), 2-bromo-5-hexylthiophene (570 mg, 2.31 mmol), Pd(dppf)Cl2∙CH2Cl2 (50 mg, 0.06 mmol), an aqueous solution 1 M of Bu4NOH (3.8 mL, 3.80 mmol), 1,4-dioxane (13 mL). Flash chromatography (cyclohexane/ethyl acetate 95/5) afforded the pure product as an orange oil (469 mg, 44%). 1H NMR (500 MHz, CDCl3) δ(ppm) = 6.81 (d, J = 3.6 Hz, 1H), 6.59 (d, J = 3.2 Hz, 1H), 4.53 (s, 2H), 4.25 (s, 2H), 4.11 (s, 5H), 2.78 (t, J = 7.6 Hz, 2H), 1.71 (quintet, J = 7.6 Hz, 2H), 1.38 (m, 6H), 0.93 (t, J = 6.8 Hz, 3H). 13C NMR (125 MHz, CDCl3) δ(ppm) = 143.73, 140.19, 123.98, 121.89, 80.93, 69.87, 68.27, 66.69, 31.60, 31.52, 30.25, 28.82, 22.60, 14.09. HRMS (Dual-ESI) m/z: calcd. for [M]+ C20H24FeS: 352.0948; found 352.0956.
5-ferrocenylthiophene-2-carboxaldehyde (1d). This product was synthesized according to the general procedure A: ferroceneboronic acid (200 mg, 0.87 mmol), 2-bromo-5-formylthiophene (250 mg, 1.31 mmol), Pd(dppf)2Cl2∙CH2Cl2 (70 mg, 0.09 mmol), an aqueous solution 1 M of Bu4NOH (1.8 mL, 1.8 mmol), 1,4-dioxane (6 mL) were stirred and heated to 95 °C for 24 h under inert atmosphere. Flash chromatography (cyclohexane/CH2Cl2, 1/1) afforded the pure product as a red solid (116 mg, 45%). 1H NMR (500 MHz, CDCl3) δ(ppm) = 9.83 (s, 1H), 7.59 (d, J = 4.1 Hz, 1H), 7.08 (d, J = 4.1 Hz, 1H), 4.70–4.67 (m, 2H), 4.45–4.40 (m, 2H), 4.11 (m, 5H). 13C NMR (125 MHz, CDCl3) δ(ppm) = 182.38, 142.35, 137.54, 122.95, 113.18, 71.02, 70.47, 70.15, 67.71.
4-formylphenylferrocene (1e). This product was synthesized according to the general procedure A: ferroceneboronic acid (400 mg, 1.75 mmol), 2-bromobenzaldehyde (275 mg, 1.49 mmol), Pd(dppf)Cl2∙CH2Cl2 (24 mg, 0.02 mmol), an aqueous solution 1 M of Bu4NOH (2.0 mL, 2.00 mmol), 1,4-dioxane (10 mL). Flash chromatography (petroleum ether/ethyl acetate 9/1) afforded the pure product as red solid (198 mg, 39%). 1H NMR (500 MHz, CDCl3) δ(ppm) = 9.98 (s, 1H), 7.79 (dd, J = 8.2, 2.0 Hz, 2H), 7.60 (d, J = 8.3 Hz, 2H), 4.74 (s, 2H), 4.43 (s, 2H), 4.05 (s, 5H). 13C NMR (125 MHz, CDCl3) δ(ppm) = 191.65, 147.32, 134.04, 129.95, 126.11, 82.83, 70.15, 69.96, 67.06.
1,1′-bis(4-formylphenyl)ferrocene (1f). A mixture of 1,1′-ferrocenediboronic acid bis(pinacol) ester (270 mg, 0.62 mmol), 4-bromobenzaldehyde (226 mg, 1.22 mmol), Pd(dppf)Cl2∙CH2Cl2 (51 mg, 0.06 mmol), an aqueous solution 1 M of Bu4NOH (1.8 mL, 1.8 mmol), 1,4-dioxane (6 mL) was stirred in a microwave reactor (130 °C, 30 psi, 80 W) for 90 min. H2O was added and the solution was extracted with CH2Cl2. The organic layers were dried with Na2SO4. Flash chromatography on silica gel (cyclohexane/CH2Cl2, from 9/1 to 7/3) was finally applied to obtain the pure product as a red solid (50 mg, 21%). 1H NMR (500 MHz, CDCl3) δ(ppm) = 9.92 (s, 2H), 7.62 (d, J = 8.1 Hz, 4H), 7.30 (d, J = 8.1 Hz, 4H), 4.61–4.59 (m, 4H), 4.38–4.36 (m, 4H). 13C NMR (125 MHz, CDCl3) δ(ppm) = 191.70, 144.81, 134.08, 129.86, 125.89, 84.17, 71.61, 68.46.
2,4-bis-hexyloxyphenylferrocene (1g). This product was synthesized according to general procedure A: ferroceneboronic acid (138 mg, 0.6 mmol), 1-bromo-2,4-bis-hexyloxybenzene (178 mg, 0.5 mmol), Pd(dppf)2Cl2∙CH2Cl2 (20 mg, 0.03 mmol), a solution 1 M of Bu4NOH (0.6 mL, 0.6 mmol), 1,4-dioxane (6 mL) were stirred and heated to 95 °C for 24 h under inert atmosphere. Flash chromatography (cyclohexane/CH2Cl2 from 9/1 to 7/3) afforded the pure product as a reddish oil (70 mg, 30%). M.p. 1H NMR (500 MHz, CDCl3) δ(ppm) = 7.36 (d, J = 8.0 Hz, 1H), 6.44 (d, J = 1.7 Hz, 1H), 6.42 (m, 1H), 4.85 (m, 2H), 4.35 (m, 2H), 4.12 (s, 5H), 3.97 (m, 4H), 1.87 (m, 2H), 1.79 (m, 2H), 1.50 (m, 4H), 1.38 (m, 8H), 0,93 (m, 6H). 13C NMR (125 MHz, CDCl3) δ(ppm) = 158.7, 157.2, 129.5, 119.5, 105.1, 99.9, 85.1, 69.6, 68.3, 68.2, 68.1, 68.0, 31.6, 31.6, 29.4, 29.3, 25.9, 25.8, 22.6, 14.0. HRMS (Dual-ESI) m/z: calcd. for [M]+ C28H38FeO2: 462.2221; found 462.2223.
3. Results and Discussion
3.1. Design and Synthesis
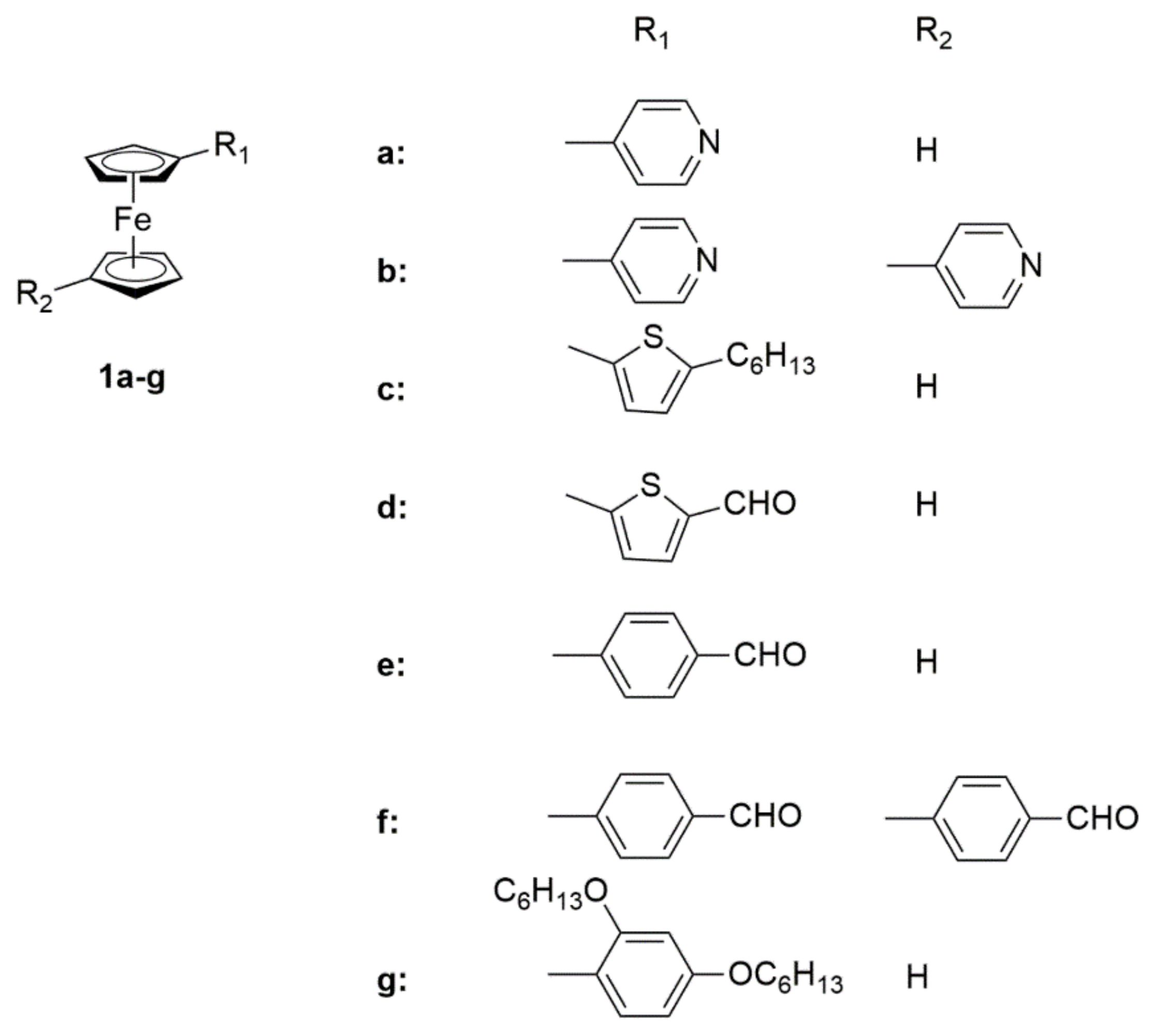
The investigated mono- and bis-substitute Fc derivatives 1a–g are listed in Figure 1. We have decided to base our investigation on simple and representative electron-rich and electron-poor aromatic and heteroaromatic substituents: (a) Pyridine (in 1a and 1b) as the representative standard of electron-poor heteroaromatic rings; (b) thiophene rings bearing either alkyl or primary electron-withdrawing functionalities (in 1c and 1d) as representative examples of donor and acceptor thiophene-based substituents, respectively; (c) benzene derivatives bearing electron-withdrawing (in 1e and 1f) and electron-donating (in 1g) groups. Generally, alkyl chains have been introduced in some of the investigated derivatives also in order to improve their solubility in organic solvents in view of their potential use as DSSC electrolyte components. Indeed, it is commonly known that the presence of peripheral alkyl functionalities improves solubility of molecules in organic solvents [35,36,37,38] and reduces detrimental recombination phenomena [39,40].
Figure 1.
Mono- and bis-substituted Fc derivatives (1a–g).
Compounds 1a, 1b, and 1d–1f were previously reported [41,42,43,44,45]. The synthetic scheme for the Fc derivatives 1c–1e and 1g is described in Scheme 1. The general procedure is a modification of the route previously reported by McGlinchey et al. used for the synthesis of anthracenylferrocene [46]. This synthetic scheme possesses wide applicability and can be easily extended to other derivatives pertaining to this class. The Fc derivatives have been synthesized via a Suzuki cross-coupling reaction starting from the proper ferroceneboronic acid except in the case of the products 1a, 1b, and 1f, where the corresponding pinacol ester was used (Scheme 2). The reaction with the corresponding arylbromide in presence of a Pd catalyst and an aqueous solution of tetrabutylammonium hydroxide as a base afforded the desired products. The ferrocenes derivatives 1a and 1b have been prepared in a single reaction starting from the 1,1′-ferrocenediboronic acid bis(pinacol) ester and obtained as pure products after column chromatography. The synthesis of 1f is different from the one reported in literature. In fact, the exploited synthetic pathway allowed to achieve 1f with 20% of yield in a single step, instead of an overall yield of 9% through three different steps previously reported [45].
Scheme 1.
Synthesis of compounds 1c–1e and 1g (R1 as in Figure 1).
Scheme 2.
Synthesis of compounds 1a,1b, and 1f (R1 and R2 as in Figure 1).
3.2. Optical Properties of Substituted Ferrocenes
The optical properties of the synthesized Fc derivatives in EtOH, for a direct comparison with the values reported in literature for iodide/triiodide, are shown in Figure 2. All the investigated compound showed an absorption peak in the range 447–484 nm with a molar extinction coefficient (ε) greater than 1000 M−1 cm−1 only for the formyl derivatives 1d–1f. In the other cases, the value of ε is always lower than 800 M−1 cm−1 in the Vis range.
Figure 2.
Absorption spectra of ferrocene-based compounds 1a–g in EtOH.
We have analyzed the effect of the substituents on the Vis absorption band, that is of high impact in the implementation of a DSSC device using Fc/Fc+ as a redox shuttle. Compared to the absorption band of the pristine Fc [47], the presence of substituents on the cyclopentadienyl ring shifts the absorption maximum to lower energies and this may be due to the extension of the π band. The presence of electron-poor substituents (1a, 1b, and 1d–1f) induced a larger red-shift of the absorption peak, because of the more polarized structure, and also, in the case of the three formyl derivatives 1d–1f, which have higher electron-withdrawing properties, a significant increase of the value of ε was observed (Table 1). Also, the compounds with the pyridine substituents presented a higher value of ε with respect to Fc, but it was of the same order of magnitude since the pyridine has a lower electron-withdrawing strength. The much lower absorption intensity in the Vis region of the new Fc derivatives compared to the iodide/triiodide electrolyte, the ε value of which is 26,400 M−1 cm−1 at 353 nm [48,49], represents an important feature to be exploited in the photovoltaic device since competitive detrimental light absorption by the electrolyte is thus minimized and the solar spectrum might become more available for absorption by the photoactive anode.
Table 1.
Absorption maxima and molar extinction coefficient of Fc-based derivatives 1a–1g (EtOH).
3.3. Electrochemical Properties of Substituted Ferrocenes
Cyclic voltammetry (CV) was performed on derivatives 1a–1g to determine the redox characteristics and HOMO/LUMO energy levels (Figure 3). The measured redox potentials, the HOMO/LUMO, and band gap energies are collected in Table 2 and pictorially summarized in Figure 4.
Figure 3.
Cyclic voltammograms of compounds 1a–1g (solid lines) and ferrocene as reference (dashed line) in 0.1 M TBAClO4 in MeCN at a scan rate of 100 mV s−1. The working, counter, and the pseudo-reference electrodes were a gold pin, a Pt wire, and an Ag/AgCl electrode (3 M KCl), respectively.
Table 2.
Electrochemical properties of Fc-based derivatives 1a–1g (CH3CN).
Figure 4.
Scheme of the energy levels of the investigated Fc derivatives compared to the conduction band (CB) of TiO2 and iodide/triiodide redox potential.
The energies of HOMO levels were calculated using the electrochemical oxidation potential (Eox). LUMO levels were calculated using the HOMO energies and the values of the optical bandgaps, as estimated by means of Tauc plots [51]. The substituted Fc showed oxidation peaks at higher potentials compared to the bare Fc. Compounds bearing electron-rich groups (1c,1g) show similar oxidation potentials to Fc. In contrast, considering the results, the presence of electron-withdrawing substituents (1a,1b and 1d–1f) afforded significantly more positive oxidation potentials, up to 0.35 eV, compared to Fc, thus validating the main scope of the work. It is worth noting from Figure 3 that, by designing a number of proper functionalized Fc substituents, a large variety of HOMO/LUMO energy levels can be accessed, which is of primary importance for their use as electrolyte redox couples, in particular in DSSC devices with improved photovoltages.
3.4. Spectroelectrochemistry
A strategic feature of a redox couple to be employed in DSSC is represented by the optical properties of its reduced and oxidized form. To properly investigate this feature, we decided to investigate the spectroelectrochemical behavior of the compounds 1a–1g in the range 400–800 nm. Figure 5 depicts the UV-Vis spectra of the substituted Fc after electrochemical oxidation. Compounds with electron withdrawing substituents (1a,1b and 1d–1f) exhibit an absorption band around 700 nm where most of the common sensitizers do not present any absorption band. The band of bis-substituted compounds (1b,1f) is red-shifted with respect to the corresponding mono-substituted compounds (1a,1e). The band of the Fc+ derivatives with electron-donor substituents (1c,1g) was not visible in the recorded spectroelectrochemical spectra since the measurable spectral range was limited to 800 nm. The molar absorptivities of the oxidized forms (Fc+) can be estimated by comparing the spectrum intensity with that of its corresponding reduced form (Fc). In particular, all of the oxidized compounds showed the main Vis band peak at wavelengths > 700 nm with an absorption intensity lower than that of the main band of the reduced forms.
Figure 5.
UV-Vis spectra of the compounds 1a–1g after electrochemical oxidation.
As a further assessment of the reversibility of the oxidation process, an optical analysis has been carried out before the oxidation and after the reduction of the oxidized species (Figures S2–S8 in the Supplementary Data). We found that the redox process is reversible in all the investigated compounds, because the reduction process of the oxidized compounds was able to successfully regenerate the original Fc derivatives as demonstrated from cyclic voltammetry (Figure 3) and spectroelectrochemistry. The reversibility of oxidation-reduction process is a key factor for the stability of DSSC devices.
4. Conclusions
A representative series of Fc derivatives, where the main core is substituted by one or two (located on different cyclopentadienyl rings) aromatic and heteroaromatic electron-donor and electron-acceptor substituents, has been designed, synthesized, and investigated for their optical and electrochemical properties. The general synthetic pathway is of wide pertinence and could be conveniently applied to the preparation of other interesting examples starting from readily available precursors. By adding the proper substituents, we were able to finely tune the optical and electrochemical properties and successfully access a large variety of HOMO/LUMO energies to be properly exploited in Fc-based electrolytes in solar devices. In particular, the electrochemical investigation showed that the presence of proper substituents is able to shift the redox potential to values up to ~0.4 V compared to Fc/Fc+ and, more importantly, up to ~0.6 V compared to the iodide/triiodide couple. Thus, in principle, the maximum attainable photovoltage of a DSSC cell containing 1b/1b+ as a redox couple can be increased of a remarkable value of 0.6 V. Interestingly, the absorption intensity of all of the new Fc derivatives, both in their reduced and oxidized form, is remarkably lower than those of the iodide/triiodide couple, which is remarkable in order to minimize detrimental competitive sunlight absorption with the photoactive dye-sensitized anode. Summarizing, the investigation of the substituted Fc derivatives might play a strategic role in the developments of new highly efficient, non-toxic, and cheap redox shuttle based on earth-abundant elements to be employed in solar devices as well as emerging energy technologies such as organic redox flow batteries.
Supplementary Materials
The following are available online at https://www.mdpi.com/1996-1073/13/15/3937/s1. The Supplementary materials contain the spectroelectrochemical studies, schematic electrochemical setup, 1H-, 13C-NMR, and HRMS spectra of the investigated compounds.
Author Contributions
The authors confirm their contribution to the work carried out in the field of: N.M.: writing—original draft, visualization, supervision, writing—review and editing; C.D.: investigation, writing—original draft; C.L.B.: visualization, writing—original draft; C.C.: investigation, data curation, methodology; A.A.: conceptualization, project administration, funding acquisition, writing—review and editing. All authors have read and agreed to the published version of the manuscript.
Funding
This research was funded by MIUR, grant Dipartimenti di Eccellenza—2017 “Materials for Energy,” the national PRIN project “Unlocking Sustainable Technologies Through Nature-inspired Solvents” (NATUREChem) (grant number: 2017A5HXFC_002) and by University of Milano-Bicocca, grant Fondo di Ateneo- Quota Competitiva 2017 and 2019.
Acknowledgments
The authors acknowledge University of Milano-Bicocca for financial support.
Conflicts of Interest
The authors declare no conflict of interest. The funders had no role in the design of the study; in the collection, analyses, or interpretation of data; in the writing of the manuscript, or in the decision to publish the results.
References
- O’Regan, B.; Grätzel, M. A low-cost, high-efficiency solar cell based on dye-sensitized colloidal TiO2 films. Nature 1991, 353, 737–740. [Google Scholar] [CrossRef]
- Abbotto, A.; Manfredi, N.; Manfredi, N. Electron-Rich heteroaromatic conjugated polypyridine ruthenium sensitizers for dye-sensitized solar cells. Dalton Trans. 2011, 40, 12421. [Google Scholar] [CrossRef] [PubMed]
- Abbotto, A.; Manfredi, N.; Marinzi, C.; De Angelis, F.; Mosconi, E.; Yum, J.-H.; Xianxi, Z.; Nazeeruddin, M.K.; Grätzel, M. Di-Branched di-anchoring organic dyes for dye-sensitized solar cells. Energy Environ. Sci. 2009, 2, 1094–1101. [Google Scholar] [CrossRef]
- Chen, C.; Liao, J.-Y.; Chi, Z.; Xu, B.; Zhang, X.; Kuang, D.-B.; Zhang, Y.; Liu, S.; Xu, J. Metal-Free organic dyes derived from triphenylethylene for dye-sensitized solar cells: Tuning of the performance by phenothiazine and carbazole. J. Mater. Chem. 2012, 22, 8994–9005. [Google Scholar] [CrossRef]
- Wei, M.; Konishi, Y.; Zhou, H.; Yanagida, M.; Sugihara, H.; Arakawa, H. Highly efficient dye-sensitized solar cells composed of mesoporous titanium dioxide. J. Mater. Chem. 2006, 16, 1287–1293. [Google Scholar] [CrossRef]
- Yella, A.; Lee, H.-W.; Tsao, H.N.; Yi, C.; Chandiran, A.K.; Nazeeruddin, K.; Diau, E.W.-G.; Yeh, C.-Y.; Zakeeruddin, S.M.; Grätzel, M. Porphyrin-Sensitized Solar Cells with Cobalt (II/III)-Based Redox Electrolyte Exceed 12 Percent Efficiency. Science 2011, 334, 629–634. [Google Scholar] [CrossRef]
- Kakiage, K.; Aoyama, Y.; Yano, T.; Oya, K.; Fujisawa, J.-I.; Hanaya, M. Highly-Efficient dye-sensitized solar cells with collaborative sensitization by silyl-anchor and carboxy-anchor dyes. Chem. Commun. 2015, 51, 15894–15897. [Google Scholar] [CrossRef]
- Zhang, S.; Yang, X.; Numata, Y.; Han, L. Highly efficient dye-sensitized solar cells: Progress and future challenges. Energy Environ. Sci. 2013, 6, 1443. [Google Scholar] [CrossRef]
- Nazeeruddin, M.K.; De Angelis, F.; Fantacci, S.; Selloni, A.; Viscardi, G.; Liska, P.; Ito, S.; Takeru, A.B.; Grätzel, M. Combined Experimental and DFT-TDDFT Computational Study of Photoelectrochemical Cell Ruthenium Sensitizers. J. Am. Chem. Soc. 2005, 127, 16835–16847. [Google Scholar] [CrossRef]
- Daeneke, T.; Kwon, T.-H.; Holmes, A.B.; Duffy, N.W.; Bach, U.; Spiccia, L. High-Efficiency dye-sensitized solar cells with ferrocene-based electrolytes. Nat. Chem. 2011, 3, 211–215. [Google Scholar] [CrossRef]
- Daeneke, T.; Mozer, A.J.; Uemura, Y.; Makuta, S.; Fekete, M.; Tachibana, Y.; Koumura, N.; Bach, U.; Spiccia, L. Dye Regeneration Kinetics in Dye-Sensitized Solar Cells. J. Am. Chem. Soc. 2012, 134, 16925–16928. [Google Scholar] [CrossRef] [PubMed]
- Sapp, S.A.; Elliott, C.M.; Contado, C.; Caramori, S.; Bignozzi, C.A. Substituted Polypyridine Complexes of Cobalt(II/III) as Efficient Electron-Transfer Mediators in Dye-Sensitized Solar Cells. J. Am. Chem. Soc. 2002, 124, 11215–11222. [Google Scholar] [CrossRef] [PubMed]
- Wu, J.; Lan, Z.; Lin, J.; Huang, M.; Huang, Y.; Fan, L.; Luo, G. Electrolytes in Dye-Sensitized Solar Cells. Chem. Rev. 2015, 115, 2136–2173. [Google Scholar] [CrossRef]
- Yanagida, S.; Yu, Y.; Manseki, K. Iodine/Iodide-Free Dye-Sensitized Solar Cells. Acc. Chem. Res. 2009, 42, 1827–1838. [Google Scholar] [CrossRef] [PubMed]
- Cong, J.; Yang, X.; Kloo, L.; Sun, L. Iodine/iodide-free redox shuttles for liquid electrolyte-based dye-sensitized solar cells. Energy Environ. Sci. 2012, 5, 9180. [Google Scholar] [CrossRef]
- Tian, H.; Sun, L. Iodine-Free redox couples for dye-sensitized solar cells. J. Mater. Chem. 2011, 21, 10592. [Google Scholar] [CrossRef]
- Sun, Z.; Liang, M.; Chen, J. Kinetics of Iodine-Free Redox Shuttles in Dye-Sensitized Solar Cells: Interfacial Recombination and Dye Regeneration. Accounts Chem. Res. 2015, 48, 1541–1550. [Google Scholar] [CrossRef]
- Colombo, A.; Di Carlo, G.; Dragonetti, C.; Magni, M.; Biroli, A.O.; Pizzotti, M.; Roberto, D.; Tessore, F.; Benazzi, E.; Bignozzi, C.A.; et al. Coupling of Zinc Porphyrin Dyes and Copper Electrolytes: A Springboard for Novel Sustainable Dye-Sensitized Solar Cells. Inorg. Chem. 2017, 56, 14189–14197. [Google Scholar] [CrossRef]
- Hamann, T.W. The end of iodide? Cobalt complex redox shuttles in DSSCs. Dalton Trans. 2012, 41, 3111. [Google Scholar] [CrossRef]
- Feldt, S.M.; Gibson, E.A.; Gabrielsson, E.; Sun, L.; Boschloo, G.; Hagfeldt, A. Design of Organic Dyes and Cobalt Polypyridine Redox Mediators for High-Efficiency Dye-Sensitized Solar Cells. J. Am. Chem. Soc. 2010, 132, 16714–16724. [Google Scholar] [CrossRef]
- Kashif, M.K.; Axelson, J.C.; Duffy, N.W.; Forsyth, C.M.; Chang, C.J.; Long, J.R.; Spiccia, L.; Bach, U. A New Direction in Dye-Sensitized Solar Cells Redox Mediator Development: In Situ Fine-Tuning of the Cobalt(II)/(III) Redox Potential through Lewis Base Interactions. J. Am. Chem. Soc. 2012, 134, 16646–16653. [Google Scholar] [CrossRef] [PubMed]
- Mosconi, E.; Yum, J.-H.; Kessler, F.; García, C.J.G.; Zuccaccia, C.; Cinti, A.; Nazeeruddin, M.K.; Grätzel, M.; De Angelis, F. Cobalt Electrolyte/Dye Interactions in Dye-Sensitized Solar Cells: A Combined Computational and Experimental Study. J. Am. Chem. Soc. 2012, 134, 19438–19453. [Google Scholar] [CrossRef] [PubMed]
- Yum, J.-H.; Baranoff, E.; Kessler, F.; Moehl, T.; Ahmad, S.; Bessho, T.; Marchioro, A.; Ghadiri, E.; Moser, J.-E.; Yi, C.; et al. A cobalt complex redox shuttle for dye-sensitized solar cells with high open-circuit potentials. Nat. Commun. 2012, 3, 631. [Google Scholar] [CrossRef] [PubMed]
- Chen, K.Y.; Du, C.; Patrick, B.O.; Berlinguette, C.P. High-Voltage Dye-Sensitized Solar Cells Mediated by [Co(2,2′-bipyrimidine)3]z. Inorg. Chem. 2017, 56, 2383–2386. [Google Scholar] [CrossRef]
- Hao, Y.; Liang, M.; Wang, Z.; Wang, L.; Sun, Y.; Sun, Z.; Xue, S. 3,4-ethylenedioxythiophene as an electron donor to construct arylamine sensitizers for highly efficient iodine-free dye-sensitized solar cells. Phys. Chem. Chem. Phys. 2013, 15, 15441. [Google Scholar] [CrossRef]
- Wang, Z.; Wang, H.; Liang, M.; Tan, Y.; Cheng, F.; Sun, Z.; Song, X. Judicious Design of Indoline Chromophores for High-Efficiency Iodine-Free Dye-Sensitized Solar Cells. ACS Appl. Mater. Interfaces 2014, 6, 5768–5778. [Google Scholar] [CrossRef]
- Wang, Z.; Liang, M.; Wang, L.; Hao, Y.; Wang, C.; Sun, Z.; Xue, S. New triphenylamine organic dyes containing dithieno[3,2-b:2′,3′-d]pyrrole (DTP) units for iodine-free dye-sensitized solar cells. Chem. Commun. 2013, 49, 5748–5750. [Google Scholar] [CrossRef][Green Version]
- Tsao, H.N.; Yi, C.; Moehl, T.; Yum, J.-H.; Zakeeruddin, S.M.; Nazeeruddin, M.K.; Grätzel, M. Cyclopentadithiophene Bridged Donor-Acceptor Dyes Achieve High Power Conversion Efficiencies in Dye-Sensitized Solar Cells Based on the tris-Cobalt Bipyridine Redox Couple. ChemSusChem 2011, 4, 591–594. [Google Scholar] [CrossRef]
- Perera, I.R.; Gupta, A.; Xiang, W.; Daeneke, T.; Bach, U.; Evans, R.; Ohlin, C.A.; Spiccia, L. Introducing manganese complexes as redox mediators for dye-sensitized solar cells. Phys. Chem. Chem. Phys. 2014, 16, 12021. [Google Scholar] [CrossRef]
- Daeneke, T.; Mozer, A.J.; Kwon, T.-H.; Duffy, N.W.; Holmes, A.B.; Bach, U.; Spiccia, L. Dye regeneration and charge recombination in dye-sensitized solar cells with ferrocene derivatives as redox mediators. Energy Environ. Sci. 2012, 5, 7090. [Google Scholar] [CrossRef]
- Hamann, T.W.; Farha, O.K.; Hupp, J.T. Outer-Sphere Redox Couples as Shuttles in Dye-Sensitized Solar Cells. Performance Enhancement Based on Photoelectrode Modification via Atomic Layer Deposition. J. Phys. Chem. C 2008, 112, 19756–19764. [Google Scholar] [CrossRef]
- Daeneke, T.; Graf, K.; Watkins, S.; Thelakkat, M.; Bach, U. Infrared Sensitizers in Titania-Based Dye-Sensitized Solar Cells using a Dimethylferrocene Electrolyte. ChemSusChem 2013, 6, 2056–2060. [Google Scholar] [CrossRef] [PubMed]
- Perera, I.R.; Daeneke, T.; Makuta, S.; Yu, Z.; Tachibana, Y.; Mishra, A.; Bäuerle, P.; Ohlin, C.A.; Bach, U.; Spiccia, L. Application of the Tris(acetylacetonato)iron(III)/(II) Redox Couple in p-Type Dye-Sensitized Solar Cells. Angew. Chem. Int. Ed. 2015, 54, 3758–3762. [Google Scholar] [CrossRef] [PubMed]
- Yum, J.-H.; Holcombe, T.; Kim, Y.; Yoon, J.; Rakstys, K.; Nazeeruddin, M.K.; Grätzel, M. Towards high-performance DPP-based sensitizers for DSC applications. Chem. Commun. 2012, 48, 10727–10729. [Google Scholar] [CrossRef] [PubMed]
- Khalid, H.; Wang, L.; Yu, H.; Akram, M.; Abbasi, N.M.; Sun, R.; Saleem, M.; Abdin, Z.U.; Chen, Y. Synthesis of Soluble Ferrocene-Based Polythiophenes and Their Properties. J. Inorg. Organomet. Polym. Mater. 2015, 25, 1511–1520. [Google Scholar] [CrossRef]
- Tajima, K.; Huxur, T.; Imai, Y.; Motoyama, I.; Nakamura, A.; Koshinuma, M. Surface activities of ferrocene surfactants. Colloids Surf. A Physicochem. Eng. Asp. 1995, 94, 243–251. [Google Scholar] [CrossRef]
- Forster, S.; Buckton, G.; Beezer, A.E. The importance of chain length on the wettability and solubility of organic homologs. Int. J. Pharm. 1991, 72, 29–34. [Google Scholar] [CrossRef]
- Wei, X.; Cosimbescu, L.; Xu, W.; Hu, J.Z.; Vijayakumar, M.; Feng, J.; Hu, M.Y.; Deng, X.; Xiao, J.; Liu, J.; et al. Batteries: Towards High-Performance Nonaqueous Redox Flow Electrolyte Via Ionic Modification of Active Species. Adv. Energy Mater. 2015, 5, 1400678. [Google Scholar] [CrossRef]
- Hagfeldt, A.; Boschloo, G.; Sun, L.; Kloo, L.; Pettersson, H. Dye-Sensitized Solar Cells. Chem. Rev. 2010, 110, 6595–6663. [Google Scholar] [CrossRef]
- Hamann, T.W.; Ondersma, J.W. Dye-Sensitized solar cellredox shuttles. Energy Environ. Sci. 2011, 4, 370–381. [Google Scholar] [CrossRef]
- Miller, T.M.; Ahmed, K.J.; Wrighton, M.S. Complexes of rhenium carbonyl containing ferrocenyl-derived ligands: Tunable electron density at rhenium by control of the redox state of the ferrocenyl ligand. Inorg. Chem. 1989, 28, 2347–2355. [Google Scholar] [CrossRef]
- Braga, D.; D’Addari, D.; Polito, M.; Grepioni, F. Mechanically Induced Expeditious and Selective Preparation of Disubstituted Pyridine/Pyrimidine Ferrocenyl Complexes. Organometallics 2004, 23, 2810–2812. [Google Scholar] [CrossRef]
- Imrie, C.; Loubser, C.; Engelbrecht, P.; McCleland, C.W. The use of a modified Suzuki reaction for the synthesis of monoarylferrocenes. J. Chem. Soc. Perkin Trans. 1 1999, 17, 2513–2523. [Google Scholar] [CrossRef]
- Plyta, Z.F.; Prim, D.; Tranchier, J.-P.; Rose-Munch, F.; Rose, E. Tricarbonyl(η6-arene)chromium and ferrocene complexes linked with aromatic spacers. Tetrahedron Lett. 1999, 40, 6769–6771. [Google Scholar] [CrossRef]
- Shimizu, I.; Umezawa, H.; Kanno, T.; Izumi, T.; Kasahara, A. Synthesis of [0]Orthocyclo[2]orthocyclo[0](1,1′)ferrocenophane and [0]Paracyclo[0](1,1′)ferrocenophane. Bull. Chem. Soc. Jpn. 1983, 56, 2023–2028. [Google Scholar] [CrossRef]
- Nikitin, K.; Müller-Bunz, H.; Ortin, Y.; Muldoon, J.; McGlinchey, M.J. Molecular Dials: Hindered Rotations in Mono- and Diferrocenyl Anthracenes and Triptycenes. J. Am. Chem. Soc. 2010, 132, 17617–17622. [Google Scholar] [CrossRef]
- Li, D.; Zhang, Y.; Jiang, J.; Li, J. Electroactive gold nanoparticles protected by 4-ferrocene thiophenol monolayer. J. Colloid Interface Sci. 2003, 264, 109–113. [Google Scholar] [CrossRef]
- Awtrey, A.D.; Connick, R.E. The Absorption Spectra of I2, I3−, I−, IO3−, S4O6= and S2O3=. Heat of the Reaction I3− = I2 + I−. J. Am. Chem. Soc. 1951, 73, 1842–1843. [Google Scholar] [CrossRef]
- Boschloo, G.; Hagfeldt, A. Characteristics of the Iodide/Triiodide Redox Mediator in Dye-Sensitized Solar Cells. Acc. Chem. Res. 2009, 42, 1819–1826. [Google Scholar] [CrossRef]
- Sarhan, A.A.O.; Ibrahim, M.S.; Kamal, M.M.; Mitobe, K.; Izumi, T. Synthesis, cyclic voltammetry, and UV–Vis studies of ferrocene-dithiafulvalenes as anticipated electron-donor materials. Mon. Chem. Chem. Mon. 2008, 140, 315–323. [Google Scholar] [CrossRef]
- Tauc, J. Optical properties and electronic structure of amorphous Ge and Si. Mater. Res. Bull. 1968, 3, 37–46. [Google Scholar] [CrossRef]
- Pavlishchuk, V.V.; Addison, A.W. Conversion constants for redox potentials measured versus different reference electrodes in acetonitrile solutions at 25 °C. Inorgan. Chim. Acta 2000, 298, 97–102. [Google Scholar] [CrossRef]
- Bockris, J.O.M.; Khan, S.U.M. Surface Electrochemistry—A Molecular Level Approach; Springer: New York, NY, USA, 1993. [Google Scholar]
© 2020 by the authors. Licensee MDPI, Basel, Switzerland. This article is an open access article distributed under the terms and conditions of the Creative Commons Attribution (CC BY) license (http://creativecommons.org/licenses/by/4.0/).






