Battery Management Systems—Challenges and Some Solutions
Abstract
1. Introduction
2. Battery Management System: Goals and Challenges
2.1. State of Charge Estimation
- Initial SOC error. Since it is a recursive integration, any errors in the initial SOC assumption will remain as a bias.
- Current measurement error. Current sensors are corrupted by measurement noise; simple, inexpensive current sensors are likely to be more noisy and possibly biased.
- Current integration error. Coulomb counting methods employ a simple, rectangular approximation for current integration. Such an approximation results in errors that increase with sampling interval as the load changes rapidly.
- Timing oscillator error. Timing oscillator provides the clock for (recursive) SOC update, that is, the measure of time comes from the timing oscillator. Any error/drift in the timing oscillator will have an effect on the measured Coulombs.
- Errors in the parameters estimated for the electrical ECM of the battery.
- Voltage and current measurement error.
- (i)
- Estimation of the OCV parameters that form part of the state space model through offline OCV characterization: The OCV-SOC characterization is stable over temperature changes and aging of the battery. Once estimated, these parameters form part of a state-space model with known parameters.
- (ii)
- Estimation of the dynamic ECM parameters: These parameters can change depending on the battery age, temperature, and SOC, therefore, they must be estimated in real time.
- (iii)
- Estimation of battery capacity: Even though the the manufacturer provides the nominal capacity of the battery, it changes over time. Some important factors that cause capacity fading are, elevated temperature, cycling (usage), depth of discharge patterns, and calendar aging. Due to this, the battery capacity needs to be estimated in real-time for an accurate BFG. Capacity estimation is still being actively investigated in the literature [14].
- (iv)
- Model parameter-conditioned SOC tracking: As soon as the model parameters are estimated, a filtering approach can be used to track the SOC using the state-space model discussed above. In order to do this, numerous filtering approaches, including extended Kalman filter, Unscented Kalman filter and particle filter, were experimented in the literature. However, it is observed that the resulting state-space model contains correlated process and measurement noise processes. Properly addressing the effect of these correlations will yield better SOC tracking accuracy.
2.2. Real-Time State of Health Estimation
2.3. Optimal Charging
2.4. Fast Characterization
2.5. Battery Reuse
2.6. Universality
2.7. Self Evaluation
- The state of the art BMS evaluation is done in a lab setting. Real-time self-evaluation through data driven approaches need to be developed.
- Majority of the existing research experiments are done at a constant temperature. BMS evaluation in the presence of gradual and rapid temperature changes is needed.
3. Solutions Through Model Based Algorithms
3.1. Normalized Open Circuit Voltage Characterization
3.2. Equivalent Circuit Model Identification
3.3. Real-Time Battery Capacity Estimation
3.4. Optimized Charging
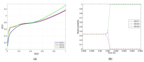
3.5. Adaptive Algorithms for Universality
3.6. Approaches to BMS Evaluation
- CC-metric. The CC-metric is used to evaluate the accuracy of the SOC estimates of a BFG. It was known that the Coulomb counting method is an error prone approach to SOC estimation. However, if the battery capacity and initial SOC are known, the Coulomb counting approach will provide a very accurate estimate of SOC. The CC-metric proposes to use special BFG validation load profiles [16] such that the initial SOC and the battery capacity can be accurately estimated in order to evaluate the SOC estimate of a BFG. It must be noted that the CC-metric is a laboratory based metric, that is, it cannot be implemented in real-time when the battery is being operated by the end user.
- OCV-metric: The OCV-SOC metric proposes to employ the OCV curve [17] in order to find the true SOC which can then be used to validate the SOC estimate given by a BFG. Similar to the CC-metric, the OCV-SOC metric is also a laboratory based metric because the battery needs to be rested before the OCV can be directly measured.
- Time to voltage (TTV) Metric. The TTV metric [16] is the most rigorous way to test the accuracy of a BFG algorithm. This metric tests several features of a BFG at once. Let us consider an example: the BFG in an EV predicts the remaining milage as 100 miles. The most accurate way to validate this prediction is to actually drive the EV until it reaches end of charge; by subtracting the actual distance travelled from the prediction, the true BFG error can be computed. Now, instead of miles, consider this in voltage: A BFG can predict the time it takes to reach a certain voltage, given a constant load or constant charging current. Similar to how an EV can be driven to check the accuracy of the mileage prediction, the TTV metric is computed based on the predicted vs. actual time it took for the battery to reach a certain terminal voltage. One drawback of the TTV metric is that it requires a constant current to implement the metric. Most battery chargers employ constant current charging for a certain amount of time—this provides an opportunity to implement the TTV metric in real-time. It must be re-emphasized that the TTV metric is used to quantify the accuracy of the following BFG estimates at once: such as, SOC, battery capacity and ECM parameter estimates
4. Conclusions
- Open circuit voltage modelling: It is demonstrated how careful modelling and optimization can result in parameters that are applicable to a wide range of temperatures. The need for careful modelling is demonstrated using scaling, a strategy, when ignored, results in up to 90% higher SOC errors.
- Battery impedance estimation: Battery impedance changes with temperature and other battery states; real-time impedance estimation is required for effective battery management. In this paper, we summarize a real-time approach to battery impedance estimation.
- Battery capacity estimation: Accurate knowledge battery capacity is crucial for all aspects of a battery management system.
- Adaptive strategies for universal battery management: Newer versions of batteries come in slightly different chemical compositions. How to develop a battery management system that can stay relevant with ever changing battery types? This paper offers a glimpse into futuristic solutions based on probabilistic data and information fusion.
- Optimal charging strategies: Battery chargers have two competing objectives; one seeks to charge fast and the other attempts to minimize capacity fade and temperature rise due to charging. This paper offers high-level summary of `level-1’ and `level-2’ optimal charging algorithms designed to satisfy the above goals.
- Strategies to evaluate battery management systems: We describe the challenges involved in evaluating a battery management system and present several guidelines.
Author Contributions
Funding
Conflicts of Interest
Abbreviations
| BFG | Battery fuel gauge |
| BMS | Battery management system |
| CBC | Cell-balancing circuitry |
| CF | Capacity fade |
| ECG | Electrocardiography |
| ECM | Equivalent circuit model |
| EL | Energy loss |
| EV | Electric vehicle |
| HIL | Hardware-in-the-loop |
| Li-ion | Lithium ion |
| OCA | Optimal charging algorithm |
| OCV | Open circuit voltage |
| PF | Power fade |
| SOC | State of charge |
| SOH | State of health |
| TTC | Time to charge |
| TTV | Time to voltage |
References
- Rodrigue, J.P.; Comtois, C.; Slack, B. The Geography of Transport Systems; Taylor & Francis: New York, NY, USA, 2016. [Google Scholar]
- Plett, G.L. Battery Management Systems, Volume I: Battery Modeling; Artech House: Norwood, MA, USA, 2015. [Google Scholar]
- Plett, G.L. Battery Management Systems, Volume II: Equivalent-Circuit Methods; Artech House: Norwood, MA, USA, 2015. [Google Scholar]
- Thomas, K.E.; Newman, J.; Darling, R.M. Mathematical modeling of lithium batteries. In Advances in Lithium-Ion Batteries; Springer: Boston, MA, USA, 2002; pp. 345–392. [Google Scholar]
- Abada, S.; Marlair, G.; Lecocq, A.; Petit, M.; Sauvant-Moynot, V.; Huet, F. Safety focused modeling of lithium-ion batteries: A review. J. Power Sources 2016, 306, 178–192. [Google Scholar] [CrossRef]
- Taylor, W.; Krithivasan, G.; Nelson, J.J. System safety and ISO 26262 compliance for automotive lithium-ion batteries. In Proceedings of the 2012 IEEE Symposium on Product Compliance Engineering Proceedings, Portland, OR, USA, 5–7 November 2012; pp. 1–6. [Google Scholar]
- Hussein, H.H.; Batarseh, I. A review of charging algorithms for nickel and lithium battery chargers. IEEE Trans. Veh. Technol. 2011, 60, 830–838. [Google Scholar] [CrossRef]
- Dey, S.; Mohon, S.; Pisu, P.; Ayalew, B. Sensor fault detection, isolation, and estimation in lithium-ion batteries. IEEE Trans. Control. Syst. Technol. 2016, 24, 2141–2149. [Google Scholar] [CrossRef]
- Kang, Y.; Duan, B.; Zhou, Z.; Shang, Y.; Zhang, C. Online multi-fault detection and diagnosis for battery packs in electric vehicles. Appl. Energy 2020, 259, 114170. [Google Scholar] [CrossRef]
- Wang, Z.; Hong, J.; Liu, P.; Zhang, L. Voltage fault diagnosis and prognosis of battery systems based on entropy and Z-score for electric vehicles. Appl. Energy 2017, 196, 289–302. [Google Scholar] [CrossRef]
- Ahmadi, L.; Fowler, M.; Young, S.B.; Fraser, R.A.; Gaffney, B.; Walker, S.B. Energy efficiency of Li-ion battery packs re-used in stationary power applications. Sustain. Energy Technol. Assess. 2014, 8, 9–17. [Google Scholar] [CrossRef]
- Ahmadi, L.; Yip, A.; Fowler, M.; Young, S.B.; Fraser, R.A. Environmental feasibility of re-use of electric vehicle batteries. Sustain. Energy Technol. Assess. 2014, 6, 64–74. [Google Scholar] [CrossRef]
- EV Sales Forecasts. Available online: https://evadoption.com/ev-sales/ev-sales-forecasts/ (accessed on 10 February 2019).
- Balasingam, B.; Avvari, G.; Pattipati, B.; Pattipati, K.; Bar-Shalom, Y. A robust approach to battery fuel gauging, part II: Real time capacity estimation. J. Power Sources 2014, 269, 949–961. [Google Scholar] [CrossRef]
- Balasingam, B.; Avvari, G.; Pattipati, K.; Bar-Shalom, Y. Performance analysis results of a battery fuel gauge algorithm at multiple temperatures. J. Power Sources 2015, 273, 742–753. [Google Scholar] [CrossRef]
- Avvari, G.; Pattipati, B.; Balasingam, B.; Pattipati, K.; Bar-Shalom, Y. Experimental set-up and procedures to test and validate battery fuel gauge algorithms. Appl. Energy 2015, 160, 404–418. [Google Scholar] [CrossRef]
- Pattipati, B.; Balasingam, B.; Avvari, G.; Pattipati, K.; Bar-Shalom, Y. Open circuit voltage characterization of lithium-ion batteries. J. Power Sources 2014, 269, 317–333. [Google Scholar] [CrossRef]
- Eddahech, A.; Briat, O.; Bertrand, N.; Delétage, J.Y.; Vinassa, J.M. Behavior and state-of-health monitoring of Li-ion batteries using impedance spectroscopy and recurrent neural networks. Int. J. Electr. Power Energy Syst. 2012, 42, 487–494. [Google Scholar] [CrossRef]
- Wu, J.; Wang, Y.; Zhang, X.; Chen, Z. A novel state of health estimation method of Li-ion battery using group method of data handling. J. Power Sources 2016, 327, 457–464. [Google Scholar] [CrossRef]
- Feng, X.; Weng, C.; He, X.; Han, X.; Lu, L.; Ren, D.; Ouyang, M. Online State-of-Health Estimation for Li-Ion Battery Using Partial Charging Segment Based on Support Vector Machine. IEEE Trans. Veh. Technol. 2019, 68, 8583–8592. [Google Scholar] [CrossRef]
- Deng, Y.; Ying, H.; E, J.; Zhu, H.; Wei, K.; Chen, J.; Zhang, F.; Liao, G. Feature parameter extraction and intelligent estimation of the State-of-Health of lithium-ion batteries. Energy 2019, 176, 91–102. [Google Scholar] [CrossRef]
- Quin, T.; Zeng, S.; Guo, J.; Skaf, Z. A Rest Time-Based Prognostic Framework for State of Health Estimation of Lithium-Ion Batteries with Regeneration Phenomena. Energies 2016, 9, 896. [Google Scholar] [CrossRef]
- Hu, X.; Jiang, J.; Cao, D.; Egardt, B. Battery Health Prognosis for Electric Vehicles Using Sample Entropy and Sparse Bayesian Predictive Modeling. IEEE Trans. Ind. Electron. 2016, 63, 2645–2656. [Google Scholar] [CrossRef]
- Yun, Z.; Qin, W. Remaining Useful Life Estimation of Lithium-Ion Batteries Based on Optimal Time Series Health Indicator. IEEE Access 2020, 8, 55447–55461. [Google Scholar] [CrossRef]
- Cope, R.C.; Podrazhansky, Y. The art of battery charging. In Proceedings of the Conference (Cat. No.99TH8371), Fourteenth Annual Battery Conference on Applications and Advances, Long Beach, CA, USA, 12–15 January 1999; pp. 233–235. [Google Scholar]
- Ikeya, T.; Sawada, N.; Takagi, S.; ichi Murakami, J.; Kobayashi, K.; Sakabe, T.; Kousaka, E.; Yoshioka, H.; Kato, S.; Yamashita, M.; et al. Multi-step constant-current charging method for electric vehicle, valve-regulated, lead/acid batteries during night time for load-levelling. J. Power Sources 1998, 75, 101–107. [Google Scholar] [CrossRef]
- Ikeya, T.; Sawada, N.; ich Murakami, J.; Kobayashi, K.; Hattori, M.; Murotani, N.; Ujiie, S.; Kajiyama, K.; Nasu, H.; Narisoko, H.; et al. Multi-step constant-current charging method for an electric vehicle nickel/metal hydride battery with high-energy efficiency and long cycle life. J. Power Sources 2002, 105, 6–12. [Google Scholar] [CrossRef]
- Liu, Y.; Luo, Y. Search for an Optimal Rapid-Charging Pattern for Li-Ion Batteries Using the Taguchi Approach. IEEE Trans. Ind. Electron. 2010, 57, 3963–3971. [Google Scholar] [CrossRef]
- Vo, T.T.; Chen, X.; Shen, W.; Kapoor, A. New charging strategy for lithium-ion batteries based on the integration of Taguchi method and state of charge estimation. J. Power Sources 2015, 273, 413–422. [Google Scholar] [CrossRef]
- Notten, P.; het Veld, J.O.; van Beek, J. Boostcharging Li-ion batteries: A challenging new charging concept. J. Power Sources 2005, 145, 89–94. [Google Scholar] [CrossRef]
- Purushothaman, B.; Landau, U. Rapid Charging of Lithium-Ion Batteries Using Pulsed Currents. J. Electrochem. Soc. 2006, 153, A533–A542. [Google Scholar] [CrossRef]
- Zhang, J.; Yu, J.; Cha, C.; Yang, H. The effects of pulse charging on inner pressure and cycling characteristics of sealed Ni/MH batteries. J. Power Sources 2004, 136, 180–185. [Google Scholar] [CrossRef]
- Chen, L. A Design of an Optimal Battery Pulse Charge System by Frequency-Varied Technique. IEEE Trans. Ind. Electron. 2007, 54, 398–405. [Google Scholar] [CrossRef]
- Chen, L. Design of Duty-Varied Voltage Pulse Charger for Improving Li-Ion Battery-Charging Response. IEEE Trans. Ind. Electron. 2009, 56, 480–487. [Google Scholar] [CrossRef]
- Li, J.; Murphy, E.; Winnick, J.; Kohl, P.A. The effects of pulse charging on cycling characteristics of commercial lithium-ion batteries. J. Power Sources 2001, 102, 302–309. [Google Scholar] [CrossRef]
- Liu, Y.H.; Teng, J.H.; Lin, Y.C. Search for an optimal rapid charging pattern for lithium-ion batteries using ant colony system algorithm. IEEE Trans. Ind. Electron. 2005, 52, 1328–1336. [Google Scholar] [CrossRef]
- Guo, Z.; Liaw, B.Y.; Qiu, X.; Gao, L.; Zhang, C. Optimal charging method for lithium ion batteries using a universal voltage protocol accommodating aging. J. Power Sources 2015, 274, 957–964. [Google Scholar] [CrossRef]
- Guo, Z.; Qiu, X.; Hou, G.; Liaw, B.Y.; Zhang, C. State of health estimation for lithium ion batteries based on charging curves. J. Power Sources 2014, 249, 457–462. [Google Scholar] [CrossRef]
- Hu, X.; Li, S.; Peng, H.; Sun, F. Charging time and loss optimization for LiNMC and LiFePO4 batteries based on equivalent circuit models. J. Power Sources 2013, 239, 449–457. [Google Scholar] [CrossRef]
- Aliev, R.; Aliev, R.; Guirimov, B.; Uyar, K. Dynamic data mining technique for rules extraction in a process of battery charging. Appl. Soft Comput. 2008, 8, 1252–1258. [Google Scholar] [CrossRef]
- Guo, G.; Xu, P.; Bai, Z.; Zhou, S.; Xu, G.; Cao, B. Optimization of Ni-MH Battery Fast Charging in Electric Vehicles Using Dynamic Data Mining and ANFIS. In Advanced Intelligent Computing Theories and Applications. With Aspects of Artificial Intelligence; Springer: Berlin/Heidelberg, Germany, 2008; pp. 468–475. [Google Scholar]
- Petchjatuporn, P.; Khaehintung, N.; Sunat, K.; Sirisuk, P.; Kiranon, W. Implementation of GA-trained GRNN for Intelligent Fast Charger for Ni-Cd Batteries. In Proceedings of the 2006 CES/IEEE 5th International Power Electronics and Motion Control Conference, Shanghai, China, 14–16 August 2006; Volume 1, pp. 1–5. [Google Scholar]
- Chen, L.; Hsu, R.C.; Liu, C. A Design of a Grey-Predicted Li-Ion Battery Charge System. IEEE Trans. Ind. Electron. 2008, 55, 3692–3701. [Google Scholar] [CrossRef]
- Waag, W.; Sauer, D.U. Adaptive estimation of the electromotive force of the lithium-ion battery after current interruption for an accurate state-of-charge and capacity determination. Appl. Energy 2013, 111, 416–427. [Google Scholar] [CrossRef]
- Petzl, M.; Danzer, M.A. Advancements in OCV Measurement and Analysis for Lithium-Ion Batteries. IEEE Trans. Energy Convers. 2013, 28, 675–681. [Google Scholar] [CrossRef]
- Hu, X.; Li, S.; Peng, H. A comparative study of equivalent circuit models for Li-ion batteries. J. Power Sources 2012, 198, 359–367. [Google Scholar] [CrossRef]
- Wei, Z.; Tseng, K.J.; Wai, N.; Lim, T.M.; Skyllas-Kazacos, M. Adaptive estimation of state of charge and capacity with online identified battery model for vanadium redox flow battery. J. Power Sources 2016, 332, 389–398. [Google Scholar] [CrossRef]
- Gao, W.; Zou, Y.; Sun, F.; Hu, X.; Yu, Y.; Feng, S. Data pieces-based parameter identification for lithium-ion battery. J. Power Sources 2016, 328, 174–184. [Google Scholar] [CrossRef]
- Balasingam, B.; Pattipati, K. Elements of a Robust Battery-Management System: From Fast Characterization to Universality and More. IEEE Electrif. Mag. 2018, 6, 34–37. [Google Scholar] [CrossRef]
- Smokers, R.; Verbeek, M.; van Zyl, S. EVs and post 2020 CO2 targets for passenger cars. World Electr. Veh. J. 2013, 6, 1068–1078. [Google Scholar] [CrossRef]
- Heymans, C.; Walker, S.B.; Young, S.B.; Fowler, M. Economic analysis of second use electric vehicle batteries for residential energy storage and load-levelling. Energy Policy 2014, 71, 22–30. [Google Scholar] [CrossRef]
- Avvari, G.; Balasingam, B.; Pattipati, K.; Bar-Shalom, Y. A battery chemistry-adaptive fuel gauge using probabilistic data association. J. Power Sources 2015, 273, 185–195. [Google Scholar] [CrossRef]
- Barth, H.; Schaeper, C.; Schmidla, T.; Nordmann, H.; Kiel, M.; Van der Broeck, H.; Yurdagel, Y.; Wieczorek, C.; Hecht, F.; Sauer, D.U. Development of a universal adaptive battery charger as an educational project. In Proceedings of the IEEE Power Electronics Specialists Conference, Rhodes, Greece, 15–19 June 2008; pp. 1839–1845. [Google Scholar]
- Hussein, H.H.; Pepper, M.; Harb, A.; Batarseh, I. An efficient solar charging algorithm for different battery chemistries. In Proceedings of the IEEE Vehicle Power and Propulsion Conference, Dearborn, MI, USA, 7–10 September 2009; pp. 188–193. [Google Scholar]
- Park, S.Y.; Miwa, H.; Clark, B.T.; Ditzler, D.; Malone, G.; D’souza, N.S.; Lai, J.S. A universal battery charging algorithm for Ni-Cd, Ni-MH, SLA, and Li-Ion for wide range voltage in portable applications. In Proceedings of the IEEE Power Electronics Specialists Conference, Rhodes, Greece, 15–19 June 2008; pp. 4689–4694. [Google Scholar]
- Bar-Shalom, Y.; Li, X.R.; Kirubarajan, T. Estimation with Applications to Tracking and Navigation: Theory, Algorithms, and Software; John Wiley & Sons: Hoboken, NJ, USA, 2004. [Google Scholar]
- Bar-Shalom, Y.; Willett, P.K.; Tian, X. Tracking and Data Fusion; YBS Publishing, 2011; Available online: http://isif.org/sites/isif.org/files/web-files/documents/TDFBKPUBF.pdf (accessed on 1 June 2020).
- White, T. Hadoop: The Definitive Guide; O’Reilly Media, Inc.: Newton, MA, USA, 2012. [Google Scholar]
- Stolitzka, D. An electronic fuel gauge accuracy study. In Proceedings of the Twelfth Annual Battery Conference on Applications and Advances, Long Beach, CA, USA, 14–17 January 1997; pp. 211–213. [Google Scholar]
- Chen, M.; Rincon-Mora, G.A. Accurate electrical battery model capable of predicting runtime and IV performance. IEEE Trans. Energy Convers. 2006, 21, 504–511. [Google Scholar] [CrossRef]
- Li, Y.; Sun, Z.; Wang, J. Design for battery management system hardware-in-loop test platform. In Proceedings of the 2009 9th International Conference on Electronic Measurement & Instruments, Beijing, China, 16–19 August 2009; pp. 3–399. [Google Scholar]
- He, Y.; Liu, W.; Koch, B.J. Battery algorithm verification and development using hardware-in-the-loop testing. J. Power Sources 2010, 195, 2969–2974. [Google Scholar] [CrossRef]
- Wu, H. Hardware-in-loop verification of battery management system. In Proceedings of the 2011 4th International Conference on Power Electronics Systems and Applications, Hong Kong, China, 8–10 June 2011; pp. 1–3. [Google Scholar]
- Abdollahi, A.; Han, X.; Avvari, G.; Raghunathan, N.; Balasingam, B.; Pattipati, K.; Bar-Shalom, Y. Optimal battery charging, Part I: Minimizing time-to-charge, energy loss, and temperature rise for OCV-resistance battery model. J. Power Sources 2016, 303, 388–398. [Google Scholar] [CrossRef]
- Abdollahi, A.; Han, X.; Raghunathan, N.; Pattipati, B.; Balasingam, B.; Pattipati, K.; Bar-Shalom, Y.; Card, B. Optimal charging for general equivalent electrical battery model, and battery life management. J. Energy Storage 2017, 9, 47–58. [Google Scholar] [CrossRef]
- Karimi, G.; Li, X. Thermal management of Lithium-ion batteries for electric vehicles. Int. J. Energy Res. 2013, 37, 13–24. [Google Scholar] [CrossRef]
- Ahmed, M.S.; Raihan, S.A.; Balasingam, B. A scaling approach for improved state of charge representation in rechargeable batteries. Appl. Energy 2020, 267, 114880. [Google Scholar] [CrossRef]
- Ahmed, M.; Balasingam, B. A Scaling Approach for Improved Open Circuit Voltage Modeling in Li-ion Batteries. In Proceedings of the 2019 IEEE Electrical Power and Energy Conference, Montreal, QC, Canada, 16–18 October 2019. [Google Scholar]
- Balasingam, B.; Avvari, G.; Pattipati, B.; Pattipati, K.; Bar-Shalom, Y. A robust approach to battery fuel gauging, part I: Real time model identification. J. Power Sources 2014, 272, 1142–1153. [Google Scholar] [CrossRef]
- He, W.; Williard, N.; Osterman, M.; Pecht, M. Prognostics of lithium-ion batteries based on Dempster–Shafer theory and the Bayesian Monte Carlo method. J. Power Sources 2011, 196, 10314–10321. [Google Scholar] [CrossRef]
- He, H.; Zhang, X.; Xiong, R.; Xu, Y.; Guo, H. Online model-based estimation of state-of-charge and open-circuit voltage of lithium-ion batteries in electric vehicles. Energy 2012, 39, 310–318. [Google Scholar] [CrossRef]
- Xiong, R.; Sun, F.; Gong, X.; Gao, C. A data-driven based adaptive state of charge estimator of lithium-ion polymer battery used in electric vehicles. Appl. Energy 2014, 113, 1421–1433. [Google Scholar] [CrossRef]
- Chiang, Y.H.; Sean, W.Y.; Ke, J.C. Online estimation of internal resistance and open-circuit voltage of lithium-ion batteries in electric vehicles. J. Power Sources 2011, 196, 3921–3932. [Google Scholar] [CrossRef]











© 2020 by the authors. Licensee MDPI, Basel, Switzerland. This article is an open access article distributed under the terms and conditions of the Creative Commons Attribution (CC BY) license (http://creativecommons.org/licenses/by/4.0/).
Share and Cite
Balasingam, B.; Ahmed, M.; Pattipati, K. Battery Management Systems—Challenges and Some Solutions. Energies 2020, 13, 2825. https://doi.org/10.3390/en13112825
Balasingam B, Ahmed M, Pattipati K. Battery Management Systems—Challenges and Some Solutions. Energies. 2020; 13(11):2825. https://doi.org/10.3390/en13112825
Chicago/Turabian StyleBalasingam, Balakumar, Mostafa Ahmed, and Krishna Pattipati. 2020. "Battery Management Systems—Challenges and Some Solutions" Energies 13, no. 11: 2825. https://doi.org/10.3390/en13112825
APA StyleBalasingam, B., Ahmed, M., & Pattipati, K. (2020). Battery Management Systems—Challenges and Some Solutions. Energies, 13(11), 2825. https://doi.org/10.3390/en13112825

