Combination of Data-Driven Active Disturbance Rejection and Takagi-Sugeno Fuzzy Control with Experimental Validation on Tower Crane Systems
Abstract
1. Introduction
- Two control structures (ADRC–PDTSFC1 and ADRC–PDTSFC2) obtained by the combination of ADRC and Takagi-Sugeno fuzzy control;
- Experimental validation of the proposed ADRC–PDTSFC1 and ADRC–PDTSFC2 structures on the TCS equipment, a process with nonlinearities;
- Comparison between the ADRC–PDTSFC structures;
- Optimal tuning of ADRC, ADRC–PDTSFC1 and ADRC–PDTSFC2 parameters in terms of using more efficient the energy consumption.
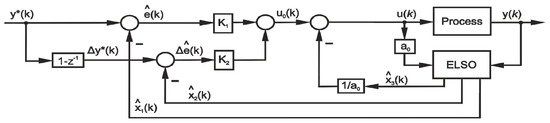
- In the first step an extended Luenberger state observer was developed to estimate the not directly observable effects of the neglected dynamics as a disturbance. By the use of this estimation an ADRC controller was developed within the frames of the LTI systems with proportional and derivative feedback terms in discrete time approximation.
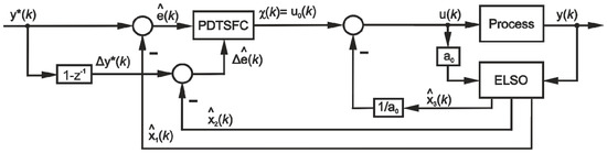
- In the next step the ADRC controller was further improved by fuzzifying the PD terms in the first version (“ADRC–PDTSFC1 structure”) in a Two Inputs–Single Output Fuzzy Controller with a relatively simple rule-base using 2 × 3 fuzzy membership functions.
- The second version (“ADRC–PDTSFC2 structure”) is a modification of the same initial ADRC controller, too, by adding further PD feedback terms to the original ones before fuzzifying them. This latter structure has more independent parameters than the previous one.
- In the case of both versions the so-obtained “control models” (containing the parameters of the membership functions) were inserted into an optimal controller in which the sum of the squares of the tracking errors plus the sum of the squares of the control signals weighted with a “penalty factor” were minimized for three different penalty factors: (a) a big value that made the precise trajectory tracking impossible; (b) a rather reasonable value that allowed acceptable tracking by consuming up more energy by the controller; and (c) a small value that only slightly prohibited the energy consumption of the control process.
- In the last step experimental investigation of the operation of these controllers was carried out.
2. Data-Driven Second-Order ADRC Structure
3. Second-Order Data-Driven ADRC–PDTSFC Structures
3.1. Second-Order Data-Driven ADRC–PDTSFC1 Structure
3.2. Second-Order Data-Driven ADRC–PDTSFC2 Structure
4. The Nonlinear TCS Laboratory Equipment
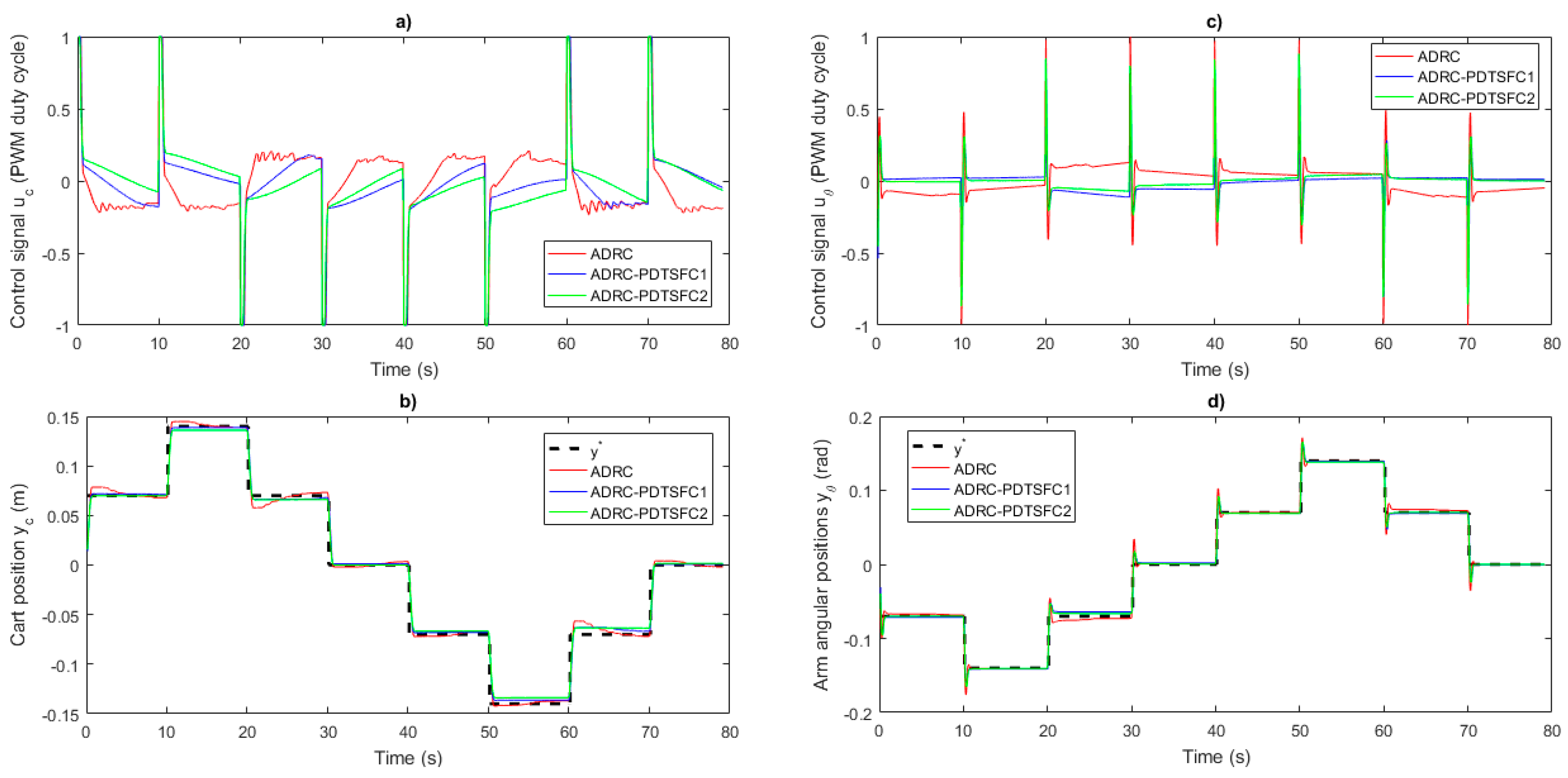
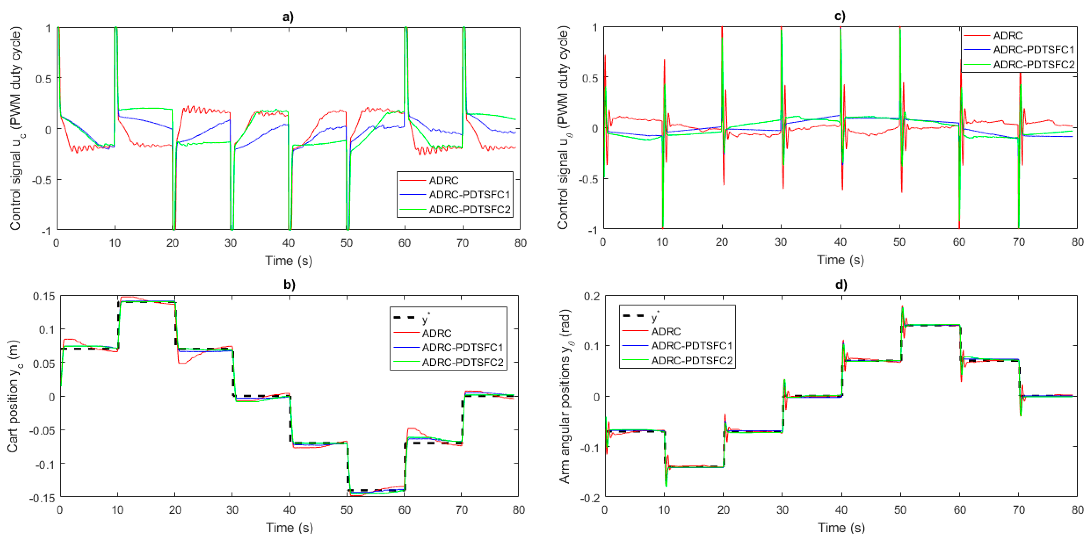
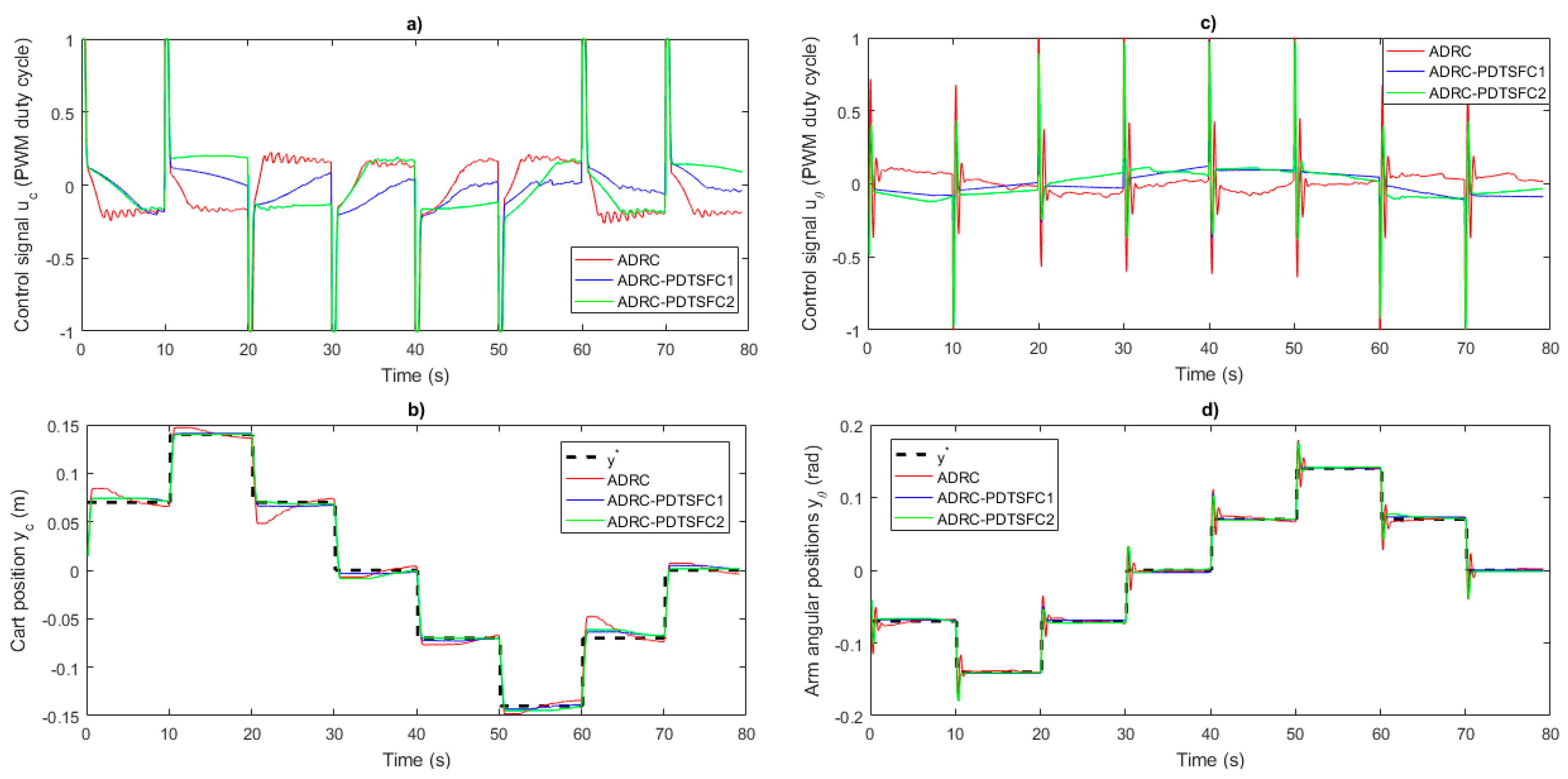
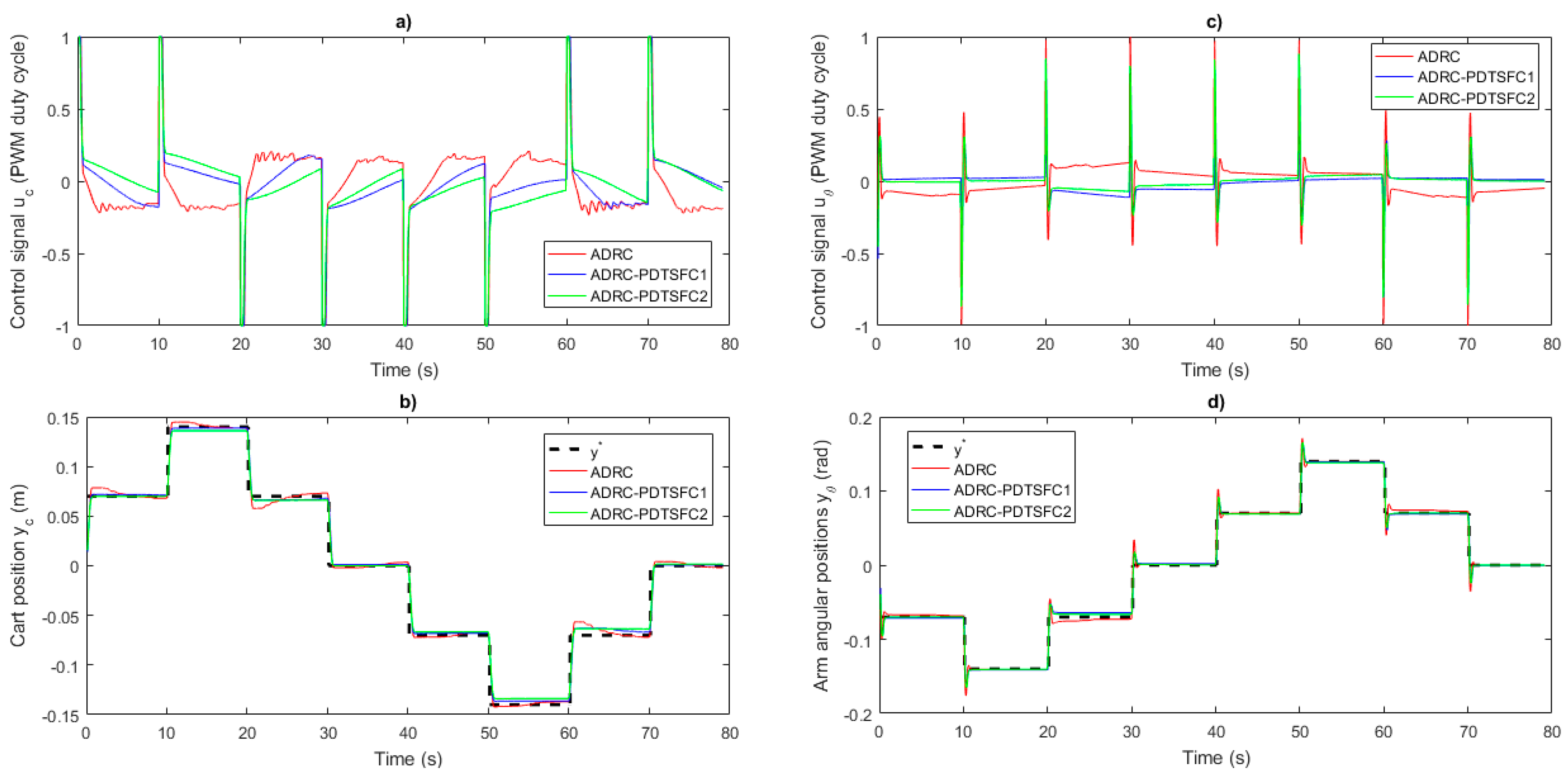
5. Experimental Results
6. Conclusions
Author Contributions
Funding
Acknowledgments
Conflicts of Interest
References
- Gao, Z. Active disturbance rejection control: A paradigm shift in feedback control system design. In Proceedings of the 2006 American Control Conference, Minneapolis, MN, USA, 14–16 June 2006; pp. 2399–2405. [Google Scholar]
- Herbst, G. A simulative study on Active Disturbance Rejection Control (ADRC) as a control tool for practitioners. Electronics 2013, 2, 246–279. [Google Scholar] [CrossRef]
- Han, J. From PID to active disturbance rejection control. IEEE Trans. Ind. Electron. 2009, 56, 900–906. [Google Scholar] [CrossRef]
- He, T.; Wu, Z.; Shi, R.; Li, D.; Sun, L.; Wang, L.; Zheng, S. Maximum sensitivity-constrained data-driven active disturbance rejection control with application to airflow control in power plant. Energies 2019, 12, 231. [Google Scholar] [CrossRef]
- Hou, Z.S.; Zhu, Y.M. Controller-dynamic-linearization-based model free adaptive control for discrete-time nonlinear systems. IEEE Trans. Ind. Inform. 2013, 9, 2301–2309. [Google Scholar] [CrossRef]
- Hou, Z.S.; Jin, S. A novel data-driven control approach for a class of discrete-time nonlinear systems. IEEE Trans. Control Syst. Technol. 2011, 19, 1549–1558. [Google Scholar] [CrossRef]
- Roman, R.-C.; Radac, M.-B.; Precup, R.-E.; Petriu, E.M. Data-driven model-free adaptive control tuned by virtual reference feedback tuning. Acta Polytech. Hung. 2016, 13, 83–96. [Google Scholar]
- Hou, Z.S.; Xiong, S. On model-free adaptive control and its stability analysis. IEEE Trans. Autom. Control 2019. [Google Scholar] [CrossRef]
- Roman, R.-C.; Radac, M.-B.; Precup, R.-E. Multi-input-multi-output system experimental validation of model-free control and virtual reference feedback tuning techniques. IET Control Theory Appl. 2016, 10, 1395–1403. [Google Scholar] [CrossRef]
- Abouaïssa, H.; Fliess, M.; Join, C. On ramp metering: Towards a better understanding of ALINEA via model-free control. Int. J. Control 2017, 90, 1018–1026. [Google Scholar] [CrossRef]
- Roman, R.-C.; Radac, M.-B.; Precup, R.-E.; Petriu, E.M. Virtual reference feedback tuning of model-free control algorithms for servo systems. Machines 2017, 5, 25. [Google Scholar] [CrossRef]
- Menhour, L.; d’Andréa-Novel, B.; Fliess, M.; Gruyer, D.; Mounier, H. An efficient model-free setting for longitudinal and lateral vehicle control: Validation through the interconnected Pro-SiVIC/RTMaps prototyping platform. IEEE Trans. Intell. Transp. Syst. 2018, 19, 461–475. [Google Scholar] [CrossRef]
- Bara, O.; Fliess, M.; Join, C.; Day, J.; Djouadi, S.M. Toward a model-free feedback control synthesis for treating acute inflammation. J. Theor. Biol. 2018, 448, 26–37. [Google Scholar] [CrossRef] [PubMed]
- Precup, R.-E.; Radac, M.-B.; Roman, R.-C.; Petriu, E.M. Model-free sliding mode control of nonlinear systems: Algorithms and experiments. Informing Sci. 2017, 381, 176–192. [Google Scholar] [CrossRef]
- Campi, M.C.; Lecchini, A.; Savaresi, S.M. Virtual reference feedback tuning: A direct method for the design of feedback controllers. Automatica 2002, 38, 1337–1346. [Google Scholar] [CrossRef]
- Campestrini, L.; Eckhard, D.; Chía, L.A.; Boeira, E. Unbiased MIMO VRFT with application to process control. J. Proc. Control 2016, 39, 35–49. [Google Scholar] [CrossRef]
- Roman, R.-C.; Radac, M.-B.; Precup, R.-E. Mixed MFC-VRFT approach for multivariable aerodynamic system position control. In Proceedings of the 2016 IEEE International Conference on Systems, Man, and Cybernetics, Budapest, Hungary, 9–12 October 2016; pp. 2615–2620. [Google Scholar]
- Invernizzi, D.; Panizza, P.; Riccardi, F.; Formentin, S.; Lovera, M. Data-driven attitude control law of a variable-pitch quadrotor: A comparison study. IFAC-PapersOnLine 2016, 49, 236–241. [Google Scholar] [CrossRef]
- You, J.; Fan, W.; Yu, L.; Fu, B.; Liao, M. Disturbance rejection control method of double-switch buck-boost converter using combined control strategy. Energies 2019, 12, 278. [Google Scholar] [CrossRef]
- Qi, X.; Bai, Y. Improved linear active disturbance rejection control for microgrid frequency regulation. Energies 2017, 10, 1047. [Google Scholar] [CrossRef]
- Roman, R.-C.; Radac, M.-B.; Tureac, C.; Precup, R.-E. Data-driven active disturbance rejection control of pendulum cart systems. In Proceedings of the 2018 IEEE Conference on Control Technology and Applications, Copenhagen, Denmark, 21–24 August 2018; pp. 933–938. [Google Scholar]
- Li, M.; Li, D.; Wang, J.; Zhao, C. Active disturbance rejection control for fractional-order system. ISA Trans. 2013, 52, 365–374. [Google Scholar] [CrossRef]
- Zhang, G.; Wang, G.; Yuan, B.; Liu, R.; Xu, D. Active disturbance rejection control strategy for signal injection based sensorless IPMSM drivers. IEEE Trans. Transp. Electr. 2018, 4, 330–339. [Google Scholar] [CrossRef]
- Shi, D.; Xue, J.; Zhao, L.; Wang, J.; Huang, Y. Event-triggered active disturbance rejection control of DC torque motors. IEEE/ASME Trans. Mechatron. 2017, 22, 2277–2287. [Google Scholar] [CrossRef]
- Alonge, F.; Cirrincione, M.; D’Ippolito, F.; Pucci, M.; Sferlazza, A. Active disturbance rejection control for linear induction motor. IEEE Trans. Ind. Appl. 2017, 53, 4460–4471. [Google Scholar] [CrossRef]
- Jiang, Y.; Sun, Q.; Zhang, X.; Chen, Z. Pressure regulation for oxygen mask based on active disturbance rejection control. IEEE Trans. Ind. Electron. 2017, 64, 6402–6411. [Google Scholar] [CrossRef]
- Yao, J.; Deng, W. Active disturbance rejection control of hydraulic servo systems. IEEE Trans. Ind. Electron. 2017, 64, 8023–8032. [Google Scholar] [CrossRef]
- Zhang, B.; Tan, W.; Li, J. Tuning of linear active disturbance rejection controller with robustness specification. ISA Trans. 2019, 85, 237–246. [Google Scholar] [CrossRef]
- Karkoub, M.; Wu, T.-S.; Chen, C.-T. H∞ based adaptive fuzzy control of a tower crane system. In Proceedings of the ASME 2012 International Mechanical Engineering Congress & Exposition, Huston, TX, SUA, 9–15 November 2015; pp. 1–6. [Google Scholar]
- Wu, T.-S.; Karkoub, M.; Yu, W.-S.; Chen, C.-T.; Her, M.-G.; Wu, K.-W. Anti-sway tracking control of tower cranes with delayed uncertainty using arobust adaptive fuzzy control. Fuzzy Sets Syst. 2016, 290, 118–137. [Google Scholar] [CrossRef]
- Omar, H.M.; Nayfeh, A.H. Anti-swing control of gantry and tower cranes using fuzzy and time-delayed feedback with friction compensation. Shock Vib. 2005, 12, 73–89. [Google Scholar] [CrossRef]
- Sadati, N.; Hooshmand, A. Design of a gain-scheduling anti-swing controller for tower cranes using fuzzy clustering techniques. In Proceedings of the 2006 International Conference on Computational Intelligence for Modelling Control and Automation and International Conference on Intelligent Agents Web Technologies and International Commerce, Sydney, NSW, Australia, 28 November–1 December 2006; pp. 1–6. [Google Scholar]
- Hanna, A.S.; Lotfallah, W.B. Fuzzy logic approach to the selection of cranes. Autom. Constr. 1999, 8, 597–608. [Google Scholar] [CrossRef]
- Liang, Y.C.; Koh, K.K. Concise anti-swing approach for fuzzy crane control. Electron. Lett. 1997, 33, 167–168. [Google Scholar] [CrossRef]
- Smoczek, J. Fuzzy crane control with sensorless payload deflection feedback for vibration reduction. Mech. Syst. Signal Proc. 2014, 46, 70–81. [Google Scholar] [CrossRef]
- Al-Mousa, A.A.; Nayfeh, A.H.; Kachroo, P. Control of rotary cranes using fuzzy logic. Shock Vib. 2005, 10, 81–95. [Google Scholar] [CrossRef]
- Dong, Q.; Li, Q. Current control of BLDCM based on fuzzy adaptive ADRC. In Proceedings of the 2009 Ninth International Conference on Hybrid Intelligent Systems, Shenyang, China, 12–14 August 2009; pp. 355–358. [Google Scholar]
- Zhou, Y.; Pan, W.; Xiao, H. Design of ship course controller based on fuzzy adaptive active disturbance rejection technique. In Proceedings of the 2010 IEEE International Conference on Automation and Logistics, Hong Kong and Macau, China, 16–20 August 2010; pp. 232–236. [Google Scholar]
- Su, G. Fuzzy ADRC controller design for PMSM speed regulation system. Adv. Mater. Res. 2011, 201–203, 2405–2408. [Google Scholar] [CrossRef]
- Huang, S.; Kuang, J.; Huang, Q.; Huang, K.; Gao, J.; Liu, T. IPMSM sensorless control based on fuzzy active-disturbance rejection controller for electric vehicle. In Proceedings of the 2011 International Conference on Power Engineering, Energy and Electrical Drives, Torremolinos (Malaga), Spain, 11–13 May 2011; pp. 1–6. [Google Scholar]
- Zhu, Y.; Fan, G.; Yi, J. Controller design based on T-S fuzzy reasoning and ADRC for a flying boat. In Proceedings of the 10th IEEE International Conference on Control and Automation, Hangzhou, China, 12–14 June 2013; pp. 1578–1583. [Google Scholar]
- Gai, J.-T.; Huang, S.-D.; Huang, Q.; Li, M.-Q.; Wang, H.; Luo, D.-R.; Wu, X.; Lio, W. A new fuzzy active-disturbance rejection controller applied in PMSM position servo system. In Proceedings of the 17th International Conference on Electrical Machines and Systems, Hangzhou, China, 22–25 October 2014; pp. 2055–2059. [Google Scholar]
- Hui, L.; Zingqiao, L.; Jing, L. The research of fuzzy immune linear active disturbance rejection control strategy for three-motor synchronous system. Control Eng. Appl. Inform. 2015, 14, 50–58. [Google Scholar]
- Zhong, C.; Guo, Y.; Wang, L. Fuzzy active disturbance rejection attitude control of spacecraft with unknown disturbance and parametric uncertainty. Int. J. Control Autom. 2015, 8, 233–242. [Google Scholar] [CrossRef]
- Su, T.-J.; Wang, S.-M.; Tsai, J.S.-H.; Tsou, T.-Y.; Tran, V.-K. Design of fuzzy and linear active disturbance rejection control for insulin infusion in type 1 diabetic patients. Int. J. Fuzzy Syst. 2017, 19, 1966–1977. [Google Scholar] [CrossRef]
- Yang, J.; Yang, Z.; Sun, X. Control design for nonlinear electromechanical actuation system based on fuzzy PID and active disturbance rejection control. In Proceedings of the 2018 Chinese Control and Decision Conference, Shenyang, China, 9–11 June 2018; pp. 1387–1391. [Google Scholar]
- Matuško, J.; Ileš, Š.; Kolonic, F.; Lešic, V. Control of 3D tower crane based on tensor product model transformation with neural friction compensation. Asian J. Control 2015, 17, 443–458. [Google Scholar] [CrossRef]
- Doung, S.C.; Uezato, E.; Kinjo, H.; Yamamoto, T. A hybrid evolutionary algorithm for recurrent neural network control of a three-dimensional tower crane. Autom. Constr. 2012, 23, 55–63. [Google Scholar] [CrossRef]
- Omar, H.M.; Nayfeh, A.H. Gain scheduling feedback control of tower cranes with friction compensation. J. Vib. Control 2004, 10, 269–289. [Google Scholar] [CrossRef]
- Barisa, T.; Bartulovic, M.; Zuzic, G.; Iles, S.; Matusko, J.; Kolonic, F. Nonlinear predictive control of a tower crane using reference shaping approach. In Proceedings of the 16th International Power Electronics and Motion Control Conference and Exposition, Antalya, Turkey, 21–24 September 2014; pp. 872–876. [Google Scholar]
- Singhose, W.; Kim, D. Manipulation with tower cranes exhibiting double-pendulum oscillations. In Proceedings of the 2007 IEEE International Conference on Robotics and Automation, Roma, Italy, 10–14 April 2007; pp. 4550–4555. [Google Scholar]
- Sun, N.; Fang, Y.; Chen, H.; Lu, B.; Fu, Y. Slew/translation positioning and swing suppression for 4-DOF tower cranes with parametric uncertainties: Design and hardware experimentation. IEEE Trans. Ind. Electron. 2016, 63, 6407–6418. [Google Scholar] [CrossRef]
- Sun, N.; Wu, Y.; Chen, H.; Fang, Y. Antiswing cargo transportation of underactuated tower crane systems by a nonlinear controller embedded with an integral term. IEEE Trans. Autom. Sci. Eng. 2019. [Google Scholar] [CrossRef]
- Tinkir, M.; Kalyoncu, M.; Omen, U.; Sahin, Y. Modeling and control of scaled a tower crane system. In Proceedings of the 2011 3rd International Conference on Computer Research and Development, Shanghai, China, 11–13 March 2011; pp. 1461–1473. [Google Scholar]
- Gao, B.; Shao, J.; Yang, X. A compound control strategy combining velocity compensation with ADRC of electro-hydraulic position servo control system. ISA Trans. 2014, 53, 1910–1918. [Google Scholar] [CrossRef]
- Roman, R.-C.; Precup, R.-E.; Radac, M.-B. Model–free fuzzy control of twin rotor aerodynamic systems. In Proceedings of the 2017 25th Mediterranean Conference on Control ant Automation, Valletta, Malta, 3–6 July 2017; pp. 559–564. [Google Scholar]
- Inteco Ltd. Modular Servo System, User’s Manual; Inteco Ltd.: Krakow, Poland, 2006. [Google Scholar]
- Precup, R.-E.; David, R.-C.; Petriu, E.M. Grey wolf optimizer algorithm-based tuning of fuzzy control systems with reduced parametric sensitivity. IEEE Trans Ind Electron. 2017, 64, 527–534. [Google Scholar] [CrossRef]
- Precup, R.-E.; David, R.-C.; Szedlak-Stinean, A.-I.; Petriu, E.M.; Dragan, F. An easily understandable grey wolf optimizer and its application to fuzzy controller tuning. Algorithms 2017, 10, 68. [Google Scholar] [CrossRef]
- Roman, R.-C.; Precup, R.-E.; David, R.-C. Second order intelligent proportional-integral fuzzy control of twin rotor aerodynamic systems. Proc. Comput. Sci. 2018, 139, 372–380. [Google Scholar] [CrossRef]
- Haber, R.E.; Alique, J.R.; Alique, A.; Hernández, J.; Uribe-Etxebarria, R. Embedded fuzzy-control system for machining processes: Results of a case study. Comput. Ind. 2003, 50, 353–366. [Google Scholar] [CrossRef]
- Precup, R.-E.; Tomescu, M.L.; Preitl, S.; Petriu, E.M.; Fodor, J.; Pozna, C. Stability analysis and design of a class of MIMO fuzzy control systems. J. Intell. Fuzzy Syst. 2013, 25, 145–155. [Google Scholar]
- Haidegger, T.; Kovács, L.; Precup, R.-E.; Benyó, B.; Benyó, Z.; Preitl, S. Simulation and control for telerobots in space medicine. Acta Astron. 2012, 181, 390–402. [Google Scholar] [CrossRef]
- Olivas, F.; Valdez, F.; Castillo, O.; González, C.I.; Martinez, G.E.; Melin, P. Ant colony optimization with dynamic parameter adaptation based on interval type-2 fuzzy logic systems. Appl. Soft Comput. 2017, 53, 74–87. [Google Scholar] [CrossRef]
- Navarro, G.; Umberger, D.K.; Manic, M. VD-IT2, virtual disk cloning on disk arrays using a type-2 fuzzy controller. IEEE Trans. Fuzzy Syst. 2017, 25, 1752–1764. [Google Scholar] [CrossRef]
- Johanyák, Z.C. A modified particle swarm optimization algorithm for the optimization of a fuzzy classification subsystem in a series hybrid electric vehicle. Tehnički Vjesnik 2017, 24, 295–301. [Google Scholar]
- Vrkalovic, S.; Lunca, E.-C.; Borlea, I.-D. Model-free sliding mode and fuzzy controllers for reverse osmosis desalination plants. Int. J. Artif. Intell. 2018, 16, 208–222. [Google Scholar]
- Filip, F.G. Decision support and control for large-scale complex systems. Annu. Rev. Control 2008, 32, 61–70. [Google Scholar] [CrossRef]
- Vaščák, J.; Rutrich, M. Path planning in dynamic environment using fuzzy cognitive maps. In Proceedings of the 6th International Symposium on Applied Machine Intelligence and Informatics, Herľany, Slovakia, 21–22 January 2008; pp. 5–9. [Google Scholar]
- Blažič, S. On periodic control laws for mobile robots. IEEE Trans. Ind. Electron. 2014, 61, 3660–3670. [Google Scholar] [CrossRef]
- Kovács, B.; Szayer, G.; Tajti, F.; Burdelis, M.; Korondi, P. A novel potential field method for path planning of mobile robots by adapting animal motion attributes. Robot. Auton. Syst. 2016, 82, 24–34. [Google Scholar] [CrossRef]
- Ak, A.; Topuz, V.; Ersan, E. Visual servoing application for inverse kinematics of robotic arm using artificial neural networks. Stud. Inform. Control 2018, 27, 183–190. [Google Scholar] [CrossRef]
- Costin, H.; Rotariu, C. Medical image analysis and representation using a fuzzy and rule-based hybrid approach. Int. J. Comput. Commun. Control 2006, 1, 156–162. [Google Scholar]
- Kovács, L. Linear Parameter Varying (LPV) based robust control of type-I diabetes driven for real patient data. Knowl.-Based Syst. 2017, 122, 199–213. [Google Scholar] [CrossRef]
- Precup, R.-E.; Teban, T.-A.; Albu, A.; Szedlak-Stinean, A.-I.; Bojan-Dragos, C.-A. Experiments in incremental online identification of fuzzy models of finger dynamics. Rom. J. Inf. Sci. Technol. 2018, 21, 358–376. [Google Scholar]
- Andoga, R.; Főző, L.; Judičák, J.; Bréda, R.; Szabo, S.; Rozenberg, R.; Džunda, M. Intelligent situational control of small turbojet engines. Int. J. Aerosp. Eng. 2018, 2018, 8328792. [Google Scholar] [CrossRef]
- Precup, R.-E.; Preitl, S. Development of fuzzy controllers with non-homogeneous dynamics for integral-type plants. Electr. Eng. 2003, 85, 155–168. [Google Scholar] [CrossRef]
- Pozna, C.; Precup, R.-E.; Tar, J.K.; Škrjanc, I.; Preitl, S. New results in modelling derived from Bayesian filtering. Knowl.-Based Syst. 2010, 23, 182–194. [Google Scholar] [CrossRef]
- Costa, B.S.J.; Angelov, P.; Guedes, L.A. Real-time fault detection using recursive density estimation. J. Control Autom. Electr. Syst. 2014, 25, 428–437. [Google Scholar] [CrossRef]
- Nikolić, V.; Milovančević, M.; Petković, D.; Jocić, D.; Savić, M. Parameters forecasting of laser welding by the artificial intelligence techniques. Facta Univ. Ser. Mech. Eng. 2018, 16, 193–201. [Google Scholar] [CrossRef]
- Osaba, E.; Carballedo, R.; Diaz, F.; Onieva, E.; Masegosa, A.; Perallos, A. Good practice proposal for the implementation, presentation, and comparison of metaheuristics for solving routing problems. Neurocomput. 2018, 271, 2–8. [Google Scholar] [CrossRef]
- Chi, R.H.; Hou, Z.S.; Jin, S.T.; Huang, B. Computationally efficient data-driven higher order optimal iterative learning control. IEEE Trans. Neural Netw. Learn. Syst. 2018, 12, 5971–5980. [Google Scholar] [CrossRef] [PubMed]









| NS | ZE | PS | |
|---|---|---|---|
| PS | |||
| ZE | |||
| NS |
| 1st Case Study | ADRC | ADRC–PDTSFC1 | ADRC–PDTSFC2 |
|---|---|---|---|
| Average of | 0.0071 | 0.0063 | 0.0063 |
| Variance of |
| 2nd Case Study | ADRC | ADRC–PDTSFC1 | ADRC–PDTSFC2 |
|---|---|---|---|
| Average of | 0.0012 | ||
| Variance of |
| 3rd Case Study | ADRC | ADRC–PDTSFC1 | ADRC–PDTSFC2 |
|---|---|---|---|
| Average of | |||
| Variance of |
© 2019 by the authors. Licensee MDPI, Basel, Switzerland. This article is an open access article distributed under the terms and conditions of the Creative Commons Attribution (CC BY) license (http://creativecommons.org/licenses/by/4.0/).
Share and Cite
Roman, R.-C.; Precup, R.-E.; Petriu, E.M.; Dragan, F. Combination of Data-Driven Active Disturbance Rejection and Takagi-Sugeno Fuzzy Control with Experimental Validation on Tower Crane Systems. Energies 2019, 12, 1548. https://doi.org/10.3390/en12081548
Roman R-C, Precup R-E, Petriu EM, Dragan F. Combination of Data-Driven Active Disturbance Rejection and Takagi-Sugeno Fuzzy Control with Experimental Validation on Tower Crane Systems. Energies. 2019; 12(8):1548. https://doi.org/10.3390/en12081548
Chicago/Turabian StyleRoman, Raul-Cristian, Radu-Emil Precup, Emil M. Petriu, and Florin Dragan. 2019. "Combination of Data-Driven Active Disturbance Rejection and Takagi-Sugeno Fuzzy Control with Experimental Validation on Tower Crane Systems" Energies 12, no. 8: 1548. https://doi.org/10.3390/en12081548
APA StyleRoman, R.-C., Precup, R.-E., Petriu, E. M., & Dragan, F. (2019). Combination of Data-Driven Active Disturbance Rejection and Takagi-Sugeno Fuzzy Control with Experimental Validation on Tower Crane Systems. Energies, 12(8), 1548. https://doi.org/10.3390/en12081548

