Virtual Synchronous Control Based on Control Winding Orientation for Brushless Doubly Fed Induction Generator (BDFIG) Wind Turbines Under Symmetrical Grid Faults
Abstract
1. Introduction
2. Virtual Synchronization Mechanism for BDFIG
2.1. The Charictristics of SG
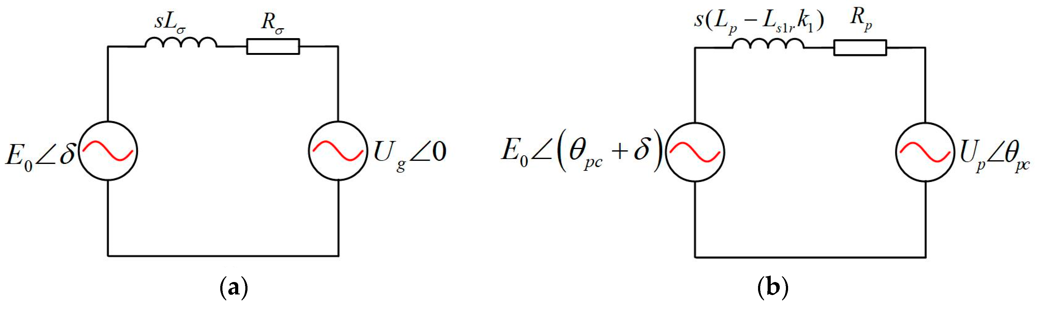
2.2. Equivalent Model of BDFIG
- In an SG, the magnitude of inner electrical potential E0 can be regulated by If, and analogously, the virtual inner electrical potential E0 in a BDFIG can be regulated by CW current Ic when the BDFIG parameters and rotor speed are known (the PW current Ip is also regarded as a known quantity since it can be measured directly);
- In an SG, the angular velocity of the inner electrical potential ω0 is varied during regulation, and analogously, it can be simulated by varying the angular velocity of CW current Ic (in the CW current oriented case, it is equivalent to varying the angular velocity of the d-q synchronous coordinate).
3. Transient Characteristics of BDFIG Based on VSC in Symmetrical Grid Faults
3.1. Model of BDFIG under Symmetrical Grid Faults
3.2. Compensation Method under CW Current Oriented Coordinate
4. Configuration of the BDFIG System with the Proposed Control
- The CW current is sampled and transformed as icd and icq based on the transform angle . With PI controllers, icd tracks its reference , and icq tracks to zero. In this way, CW current is always aligned with the d-axis of the synchronous coordinate, realizing CW current orientation. With such an orientation, current limiting can also be easily implemented by setting an upper limit of . The outputs of the two PI controllers are and , and they are transformed back to the abc coordinate based on the transform angle , and utilized to modulate the CW-side of the B2B converter;
- The active power P and reactive power Q are fed back and compared with the references P* and Q*. The errors are sent to the active power and reactive power controllers [25], as the red region shown in Figure 5. It is worth mentioning that such controllers are designed based on the SG in Equation (1), and thus, their outputs, i.e., the magnitude of inner electrical potential and its angular velocity , can fully consider the behavior of SG;
- To realize VSC, the magnitude of the virtual inner electrical potential of BDFIG should track to , and its angular velocity should be . Therefore, is integral as θp, and then, according to (2), the corresponding angular velocity required by the d-q synchronous coordinate is obtained as .
5. The Example Analysis
5.1. BDFIG System Configuration
5.2. Simulation Results
6. Conclusions
- The proposed VSC control can be easily realized by adding the VSC block and current compensation block into the original CW current oriented vector control system. The control strategy does not need to be switched when the grid fault occurs;
- The over CW current introduced by a symmetrical grid fault has been well-restrained, which maintains the safety operation of the BDFIG system; the control can inject a certain reactive power into the grid during a grid fault, which supports the grid voltage recovery;
- With the extra short-term energy storage units and emergency rotor control, the proposed VSC has a good inertial support ability since it simulates the behavior of SG.
Author Contributions
Funding
Conflicts of Interest
References
- Negnevitsky, M.; Potter, C.W. Innovative short-term wind generation prediction techniques. In Proceedings of the Power Conference and Exposition, Atlanta, GA, USA, 29 October–1 November 2006; pp. 60–65. [Google Scholar]
- Valentine, S.V. A STEP toward understanding wind power development policy barriers in advanced economies. Renew. Sustain. Energy Rev. 2010, 14, 2796–2807. [Google Scholar] [CrossRef]
- Lee, C.K.; Bhang, B.G.; Kim, D.K.; Lee, S.H.; Cha, H.L.; Ahn, H.K. Estimation of Load Pattern for Optimal Planning of Stand-alone Microgrid Networks. Energies 2018, 11, 2012. [Google Scholar] [CrossRef]
- Abolude, A.T.; Zhou, W. Assessment and Performance Evaluation of a Wind Turbine Power Output. Energies 2018, 11, 1992. [Google Scholar] [CrossRef]
- Shao, S.; Abdi, E.; Barati, F.; McMahon, R. Stator-Flux-Oriented Vector Control for Brushless Doubly Fed Induction Generator. IEEE Trans. Ind. Electron. 2009, 56, 4220–4228. [Google Scholar] [CrossRef]
- Barati, F.; Shao, S.; Abdi, E.; Oraee, H.; McMahon, R. Generalized Vector Model for the Brushless Doubly-Fed Machine with a Nested-Loop Rotor. IEEE Trans. Ind. Electron. 2011, 58, 2313–2321. [Google Scholar] [CrossRef]
- Zhongshan, J.; Sai, W.; Xiaopeng, R. Simulation Study of Vector Control Strategy for Stand-alone BDFG System. Micromotors 2014, 47, 48–51. [Google Scholar]
- Poza, J.; Oyarbise, E.; Roye, D.; Rpdriguez, M. Unified reference frame dq model of the brushless doubly fed machine. IEE Proc. Electr. Power Appl. 2006, 153, 726–734. [Google Scholar] [CrossRef]
- Long, T.; Shao, S.; Malliband, P.; Abdi, E.; McMahon, R.A. Crowbarless Fault Ride-Through of the Brushless Doubly Fed Induction Generator in a Wind Turbine Under Symmetrical Voltage Dips. IEEE Trans. Ind. Electron. 2013, 60, 2833–2841. [Google Scholar] [CrossRef]
- Shipurkar, U.; Strous, T.D.; Polinder, H.; Ferreira, J.A. LVRT performance of brushless doubly fed induction machines A comparison. In Proceedings of the 2015 IEEE International Electric Machines & Drives Conference (IEMDC), Coeur d’Alene, ID, USA, 10–13 May 2015; pp. 362–368. [Google Scholar]
- Liu, C.; Yu, C.; Wang, Q.; Zhang, W. The LVRT control ability analysis of BDFIG motor side converter. In Proceedings of the 2017 32nd Youth Academic Annual Conference of Chinese Association of Automation (YAC), Hefei, China, 19–21 May 2017; pp. 1239–1243. [Google Scholar]
- Nie, P.; Wang, X.; Wu, W. Research on low voltage ride through of brushless doubly-fed wind power generator. In Proceedings of the 2016 19th International Conference on Electrical Machines and Systems (ICEMS), Chiba, Japan, 13–16 November 2016; pp. 1–6. [Google Scholar]
- Kerdphol, T.; Rahman, F.S.; Mitani, Y. Virtual Inertia Control Application to Enhance Frequency Stability of Interconnected Power Systems with High Renewable Energy Penetration. Energies 2018, 11, 981. [Google Scholar] [CrossRef]
- Beltran, O.; Pena, R.; Segundo, J.; Esparza, A.; Muljadi, E.; Wenzhong, D. Inertia Estimation of Wind Power Plants Based on the Swing Equation and Phasor Measurement Units. Appl. Sci. 2018, 8, 2413. [Google Scholar] [CrossRef]
- Yu, Z.; Ai, Q.; He, X.; Piao, L. Adaptive Droop Control for Microgrids Based on the Synergentic Control of Multi-Agent Systems. Energies 2016, 9, 1057. [Google Scholar] [CrossRef]
- Ghefiri, K.; Bouallegue, S.; Garrido, I.; Garrido, A.J.; Haggege, J. Complementary Power Control for Doubly Fed Induction Generator-Based Tidal Stream Turbine Generation Plants. Energies 2017, 10, 862. [Google Scholar] [CrossRef]
- Zheng, Z.; Yang, G.; Geng, H. Coordinated Control of a Doubly-Fed Induction Generator-Based Wind Farm and a Static Synchronous Compensator for Low Voltage Ride-through Grid Code Compliance during Asymmetrical Grid Faults. Energies 2013, 6, 4660–4681. [Google Scholar] [CrossRef]
- Wu, H.; Ruan, X.; Yang, D.; Chen, X.; Zhao, W.; Lv, Z.; Zhong, Q. Small-Signal Modeling and Parameters Design for Virtual Synchronous Generators. IEEE Trans. Ind. Electron. 2016, 63, 4292–4302. [Google Scholar] [CrossRef]
- Visscher, K.; DeHaan, S.W.H. Virtual synchronous machines(VSG’s)for frequency stabilization in future grids with a significant share of decentralized generation. In Proceedings of the CIRED Seminar 2008: SmartGrids for Distribution, Frankfurt, Germany, 23–24 June 2008; pp. 1–4. [Google Scholar]
- Ma, Y.; Cao, W.; Yang, L.; Wang, F.; Tolbert, L.M. Virtual Synchronous Generator Control of Full Converter Wind Turbines with Short-Term Energy Storage. IEEE Trans. Ind. Electron. 2017, 64, 8821–8831. [Google Scholar] [CrossRef]
- Wang, S.; Hu, J.; Yuan, X. On Inertial Dynamics of Virtual-Synchronous-Controlled DFIG-Based Wind Turbines. IEEE Trans. Energy Convers. 2015, 30, 1691–1702. [Google Scholar] [CrossRef]
- Tangyun, M. Electrical Motor; China Machine Press: Beijing, China, 2014. [Google Scholar]
- Lu, M.; Chen, Y.; Sun, L.; Zou, X.D.; Kang, Y. Control Winding Quantities Orientation Modeling and Control for Stand-alone Brushless Doubly-Fed Power Generation System. In Proceedings of the 2015 IEEE Energy Conversion Congress and Exposition, Montreal, CANDA, Montreal, QC, Canada, 20–24 September 2015. [Google Scholar]
- Cheng, X.; Sun, X.; Chai, J.; Zhao, Y. Virtual Synchronous Control Strategy for Doubly-fed Induction Generator Under Asymmetrical Grid Faults. Autom. Electr. Power Syst. 2018, 42, 120–126. [Google Scholar]
- Hang, C.; Wang, X.; Liu, N. Virtual Inductance Control Strategy for Brushless Doubly-fed Induction Generator During Grid Voltage Dips. In Proceedings of the 2018 21st International Conference on Electrical Machines and Systems (ICEMS), Jeju, Korea, 7–10 October 2018. [Google Scholar]
- Shang, L.; Hu, J.; Yuan, X.; Chi, Y.; Tang, H. Modeling and Improved Control of Virtual Synchronous Generators Under Symmetrical Faults of Grid. Proc. CSEE 2017, 32, 403–411. [Google Scholar]











| Parameter | Value | Parameter | Value |
|---|---|---|---|
| PW pole-pair number | 2 | Rr | 0.174 Ω |
| CW pole-pair number | 4 | Ls1 | 0.05733 H |
| Rotor speed range | 350–650 r/min | Ls2 | 0.051 H |
| Power rating | 32 kW | Lr | 0.09467 H |
| PW-rated voltage | 400 V | Ls1r | 0.049 H |
| Rs1 | 0.07726 Ω | Ls2r | 0.04867 H |
| Rs2 | 0.10234 Ω |
© 2019 by the authors. Licensee MDPI, Basel, Switzerland. This article is an open access article distributed under the terms and conditions of the Creative Commons Attribution (CC BY) license (http://creativecommons.org/licenses/by/4.0/).
Share and Cite
Lu, M.; Chen, Y.; Zhang, D.; Su, J.; Kang, Y. Virtual Synchronous Control Based on Control Winding Orientation for Brushless Doubly Fed Induction Generator (BDFIG) Wind Turbines Under Symmetrical Grid Faults. Energies 2019, 12, 319. https://doi.org/10.3390/en12020319
Lu M, Chen Y, Zhang D, Su J, Kang Y. Virtual Synchronous Control Based on Control Winding Orientation for Brushless Doubly Fed Induction Generator (BDFIG) Wind Turbines Under Symmetrical Grid Faults. Energies. 2019; 12(2):319. https://doi.org/10.3390/en12020319
Chicago/Turabian StyleLu, Min, Yu Chen, Debin Zhang, Jingyuan Su, and Yong Kang. 2019. "Virtual Synchronous Control Based on Control Winding Orientation for Brushless Doubly Fed Induction Generator (BDFIG) Wind Turbines Under Symmetrical Grid Faults" Energies 12, no. 2: 319. https://doi.org/10.3390/en12020319
APA StyleLu, M., Chen, Y., Zhang, D., Su, J., & Kang, Y. (2019). Virtual Synchronous Control Based on Control Winding Orientation for Brushless Doubly Fed Induction Generator (BDFIG) Wind Turbines Under Symmetrical Grid Faults. Energies, 12(2), 319. https://doi.org/10.3390/en12020319
