Effect of Insulation on the Performance of a Rotary Bioreactor for Composting Agricultural Residues
Abstract
:1. Introduction
2. Materials and Methods
2.1. Analysis of Heat Loss from Bioreactors
2.2. Experimental Tests
2.2.1. Preparing Plant Residues
2.2.2. Pilot-Scale Bioreactors
2.2.3. Measurement Procedure
3. Results and Discussion
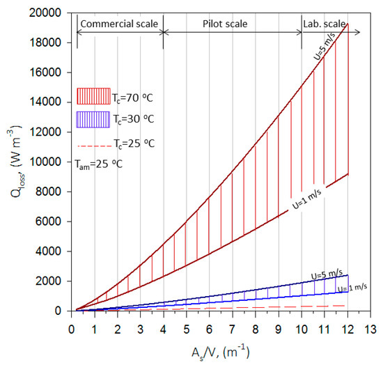
3.1. General Analysis of Heat Loss from Bioreactors
3.2. Performance Evaluation of the Two Bioreactors
3.3. Product Assessment
4. Conclusions and Recommendation
Author Contributions
Funding
Acknowledgments
Conflicts of Interest
References
- Ministry of Environment, Water and Agriculture. Agriculture Statistical Annual Book (ASAB); Ministry of Environment, Water and Agriculture: Riyadh, Saudi Arabia, 2016; Volume 29, p. 298.
- Alkoaik, F.N. Fate of Plant Pathogens and Pesticides during Composting of Greenhouse Tomato Plant Residues. Ph.D. Thesis, Dalhousie University, Halifax, NS, Canada, 2005; pp. 1–5. [Google Scholar]
- Conway, K.E. An overview of the influence of sustainable agricultural systems on plant diseases. Crop Prot. 1996, 15, 223–228. [Google Scholar] [CrossRef]
- Steinford, E.I. Diversity of composting systems. In Science and Engineering of Composting: Design, Environmental. Microbiological and Utilizations Aspects; Hoitink, H.A.J., Keener, H.M., Eds.; Renaissance Publications: Worthington, OH, USA, 1993; pp. 95–110. [Google Scholar]
- Ajay, S.K.; Kazmi, A.A. Mixed organic waste composting using rotary drum composter. Int. J. Environ. Waste Manag. 2008, 2, 24–35. [Google Scholar]
- Ajay, S.K.; Kazmi, A.A. Effects of turning frequency on compost stability and some chemical characteristics in a rotary drum composter. Chemosphere 2009, 74, 1327–1334. [Google Scholar]
- Rynk, R. Fires at composting facilities: Causes and conditions. BioCycle 2000, 41, 54–58. [Google Scholar]
- Haug, R.T. Practical Handbook of Compost Engineering; Lewis Publishers: Boca Raton, FL, USA, 1993. [Google Scholar]
- Ghaly, A.E.; Alkoaik, F.; Snow, A. Thermal balance of in-vessel composting of tomato plant residues. Can. Biosyst. Eng. 2006, 48, 6.1–6.11. [Google Scholar]
- Kalamdhad, A.S.; Singn, Y.K.; Ali, M.; Khwairakpam, M.; Kazmi, A.A. Rotary drum composting of vegetable waste and tree leaves. Bioresour. Technol. 2009, 100, 6442–6450. [Google Scholar] [CrossRef] [PubMed]
- Zhao, R.F.; Gao, W.; Guo, H.Q. Comprehensive review of models and methods used for heat recovery from composting process. Int. J. Agric. Biol. Eng. 2017, 10, 1–12. Available online: https://www.ijabe.org 2017 (accessed on 23 October 2018).
- Irvine, G.; Lamont, E.R.; Antizar-Ladislao, B. Energy from waste: Reuse of compost heat as a source of renewable energy. Int. J. Chem. Eng. 2010, 2010, 10. [Google Scholar] [CrossRef]
- Alkoaik, F.N.; Abdel-Ghany, A.M.; Rashwan, M.A.; Fulleros, R.B.; Ibrahim, M.N. Energy analysis of a rotary drum bioreactor for composting tomato plant residues. Energies 2018, 11, 449. [Google Scholar] [CrossRef]
- Rodríguez, L.; Cerrillo, M.I.; García-Albiach, V.; Villaseñor, J. Domestic sewage sludge composting in a rotary drum reactor: Optimizing the thermophilic stage. J. Environ. Manag. 2012, 112, 284–291. [Google Scholar] [CrossRef] [PubMed]
- Mason, I.G. A Study of Power, Kinetics, and Modeling in the Composting Process. Ph.D. Thesis, University of Canterbury, Christchurch, Canterbury, New Zealand, 2007. [Google Scholar]
- Ahn, H.K.; Richard, T.L.; Choi, H.L. Mass and thermal balance during composting of poultry manure and wood shavings mixture at different aeration rates. Process Biochem. 2007, 42, 215–223. [Google Scholar] [CrossRef]
- Arslan, E.I.; Ünlü, A.; Topal, M. Determination of the effect of aeration rate on composting of vegetable fruit wastes. Clean-Soil Air Water 2011, 39, 1014–1021. [Google Scholar] [CrossRef]
- Petric, I. Mathematical modeling and simulation of the composting process in a pilot reactor. Bull. Chem. Technol. Bosn. Herzeg. University of Tuzla 2017, 47, 39–48. [Google Scholar]
- Clark, C.S.; Buckingham, C.O.; Bone, D.H.; Clark, R.H. Laboratory scale composting: Techniques. J. Environ. Eng. Div. ASCE 1977, 103, 893–906. [Google Scholar]
- Waikhom, R.S.; Ayan, D.; Ajay, K. Composting of water hyacinth using a pilot scale rotary drum composter. Environ. Eng. Res. 2012, 17, 69–75. [Google Scholar]
- Bach, P.D.; Nakasaki, K.; Shoda, M.; Kubota, H. Thermal Balance in Composting Operations; Research Laboratory of Resources Utilization Tokyo Institute of Technology: Nqatsuta, Midori-ku, Yokohama 227, Japan, 1987. [Google Scholar]
- Duffie, J.A.; Beckman, W.A. Solar Engineering of Thermal Processes; John Wiley & Sons Inc.: New York, NY, USA, 1991. [Google Scholar]
- Elsayed, M.M.; Taha, I.S.; Sabbag, J.A. Design of Solar Thermal Systems, 1st ed.; Scientific Publishing Centre, King Abdulaziz University: Jeddah, Saudi Arabia, 1994. [Google Scholar]
- Dewar Self-Heating Test. Test Instructions for Use Application of the Dewar Self-Heating Test to Measure Completion of Composting. 5th Revised Ed. 2009. Available online: https://woodsend.com/pdf-files/dewar-instructions-2009.pdf (accessed on 8 April 2018).
- Wu, L.; Ma, L.Q. Relation between compost stability and extractable organic carbon. J. Environ. Qual. 2002, 31, 1323–1328. [Google Scholar] [CrossRef] [PubMed]








| Dewar Self-Heating Test | ||||||||
|---|---|---|---|---|---|---|---|---|
| Sample no. | Insulated bioreactor | Non-insulated bioreactor | ||||||
| Tmax (°C) | Troom (°C) | ∆T (°C) | Remarks | Tmax (°C) | Troom (°C) | ∆T (°C) | Remarks | |
| 1 | 22.9 | 20.5 | 2.4 | Compost class V (mature) | 32.1 | 20.9 | 11.2 | Compost class IV (immature) |
| 2 | 23.1 | 21.7 | 1.4 | 31.3 | 21.3 | 10 | ||
| 3 | 23.9 | 21.8 | 2.1 | 30.3 | 21 | 9.5 | ||
| Average | 23.3 | 21.33 | 1.97 | 31.23 | 21.07 | 10.17 | ||
| SD | 0.53 | 0.72 | 0.51 | 0.9 | 0.21 | 0.96 | ||
© 2019 by the authors. Licensee MDPI, Basel, Switzerland. This article is an open access article distributed under the terms and conditions of the Creative Commons Attribution (CC BY) license (http://creativecommons.org/licenses/by/4.0/).
Share and Cite
Alkoaik, F.N.; Abdel-Ghany, A.M.; Al-Helal, I.M.; Rashwan, M.A.; Fulleros, R.B.; Ibrahim, M.N. Effect of Insulation on the Performance of a Rotary Bioreactor for Composting Agricultural Residues. Energies 2019, 12, 315. https://doi.org/10.3390/en12020315
Alkoaik FN, Abdel-Ghany AM, Al-Helal IM, Rashwan MA, Fulleros RB, Ibrahim MN. Effect of Insulation on the Performance of a Rotary Bioreactor for Composting Agricultural Residues. Energies. 2019; 12(2):315. https://doi.org/10.3390/en12020315
Chicago/Turabian StyleAlkoaik, Fahad N., Ahmed M. Abdel-Ghany, Ibrahim M. Al-Helal, Mohamed A. Rashwan, Ronnel B. Fulleros, and Mansour N. Ibrahim. 2019. "Effect of Insulation on the Performance of a Rotary Bioreactor for Composting Agricultural Residues" Energies 12, no. 2: 315. https://doi.org/10.3390/en12020315
APA StyleAlkoaik, F. N., Abdel-Ghany, A. M., Al-Helal, I. M., Rashwan, M. A., Fulleros, R. B., & Ibrahim, M. N. (2019). Effect of Insulation on the Performance of a Rotary Bioreactor for Composting Agricultural Residues. Energies, 12(2), 315. https://doi.org/10.3390/en12020315

