Multiscale Apparent Permeability Model of Shale Nanopores Based on Fractal Theory
Abstract
1. Introduction
2. Establishment of Multi-Scale Flow Mechanism of Shale Gas
2.1. Fractal Porous Media Model
2.2. Shale Gas Multi-Scale Flow Model
2.2.1. Slip Flow
2.2.2. Knudsen Diffusion
2.2.3. Adsorption and Desorption
2.2.4. Surface Diffusion
2.3. Apparent Shale Gas Permeability
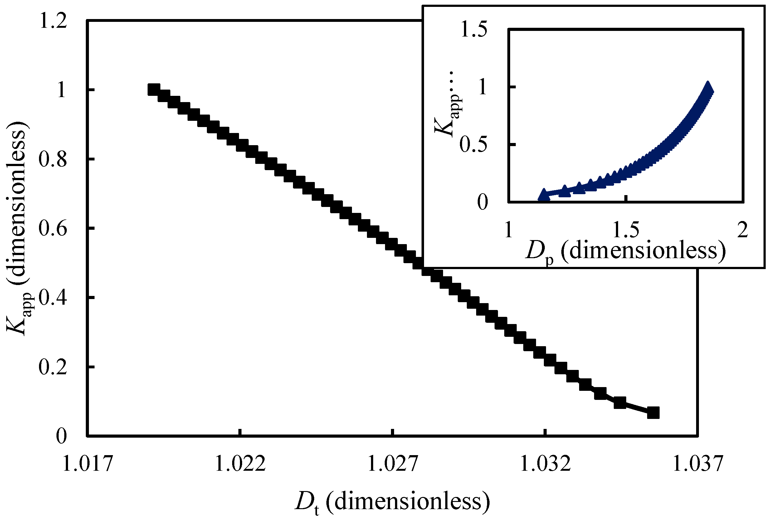
3. Model Validation
4. Discussion of Results
5. Conclusions
Author Contributions
Funding
Conflicts of Interest
References
- Nguyen, V.H.; Rohan, E.; Naili, S. Multiscale simulation of acoustic waves in homogenized heterogeneous porous media with low and high permeability contrasts. Int. J. Eng. Sci. 2016, 101, 92–109. [Google Scholar] [CrossRef]
- Pia, G.; Sanna, U. An intermingled fractal units model and method to predict permeability in porous rock. Int. J. Eng. Sci. 2014, 75, 31–39. [Google Scholar] [CrossRef]
- Kuuskraa, V.A.; Wicks, D.E.; Thruber, J.L. Geologic and reservoir mechanisms controlling gas recovery from the Antrim shale. In Proceedings of the SPE Annual Technical Conference and Exhibition, Washington, DC, USA, 4–7 October 1992. Paper SPE 24883. [Google Scholar]
- Roy, S.; Raju, R. Modeling gas flow through microchannels and nanopores. J. Appl. Phys. 2003, 93, 4870–4878. [Google Scholar] [CrossRef]
- Javadpour, F. Nanopores and apparent permeability of gas flow in mudrocks (shales and siltstone). J. Gas Can. Pet. Technol. 2009, 48, 16–21. [Google Scholar] [CrossRef]
- Freeman, C.M. A numerical study of microscale flow behavior in tight gas and shale gas. In Proceedings of the SPE Annual Technical Conference, Florence, Italy, 19–22 September 2010. Paper SPE 141125. [Google Scholar]
- Curtis, M.E.; Ambrose, R.J.; Sondergeld, C.H. Structural characterization of gas shales on the micro- and nano-scales. In Proceedings of the Canadian Unconventional Resources and International Petroleum Conference, Calgary, AB, Canada, 19–21 October 2010. Paper SPE 137693. [Google Scholar]
- Ebrahim, F.I.; Yucel, A. Lattice Boltzmann method for simulation of shale gas transport in kerogen. In Proceedings of the SPE Annual Technical Conference, Denver, CO, USA, 30 October–2 November 2011. Paper SPE 146821. [Google Scholar]
- Shabro, V.; Torres-Verdin, C.; Javadpour, F. Numerical simulation of shale-gas production: From pore-scale modeling of slip-flow, Knudsen diffusion, and Langrnuir desorption to reservoir modeling of compressible fluid. In Proceedings of the North American Unconventional Gas Conference, Woodlands, TX, USA, 14–16 June 2011. Paper SPE 144355. [Google Scholar]
- Michel, G.G.; Sigal, R.F.; Civan, F.; Devegowda, D. Parametric investigation of shale gas production considering nano-scale pore size distribution, formation factor, and non-darcy flow mechanisms. In Proceedings of the SPE Annual Technical Conference, Denver, CO, USA, 30 October–2 November 2011. Paper SPE 147438. [Google Scholar]
- Freeman, C.M.; Moridis, G.J.; Michael, G.E. Measurement modeling, and diagnostics of flowing gas composition changes in shale gas wells. In Proceedings of the SPE Latin America and Caribbean Petroleum Engineering Conference, Mexico City, Mexico, 16–18 April 2012. Paper SPE 153391. [Google Scholar]
- Javadpour, F.; Fisher, D.; Unsworth, M. Nanoscale gas flow in shale gas sediments. J. Gas Can. Pet. Technol. 2007, 46, 55–61. [Google Scholar] [CrossRef]
- Swami, V.; Settari, A. A pore scale gas flow model for shale gas reservoir. In Proceedings of the Americas Unconventional Resources Conference, Pittsburgh, PA, USA, 5–7 June 2012. Paper SPE 155756. [Google Scholar]
- Guo, C.H.; Bai, B.J.; Wei, M.Z.; He, X.; Wu, Y.S. Study on gas permeability in nano-pores of shale gas reservoirs. In Proceedings of the SPE Unconventional Resources Conference Canada, Calgary, AB, Canada, 5–7 November 2013. Paper SPE 167179. [Google Scholar]
- Singh, H.; Javadpour, F.; Ettehadtavakkol, A. Nonempirical apparent permeability of shale. SPE Reserv. Eval. Eng. 2013, 7, 414–424. [Google Scholar] [CrossRef]
- Mohammad, K.; Ali, T.B. An analytical model for shale gas permeability. Int. J. Coal Geol. 2015, 146, 188–197. [Google Scholar]
- Zhang, L.; Li, D.; Lu, D.; Zhang, T. A new formulation of apparent permeability for gas transport in shale. J. Nat. Gas Sci. Eng. 2015, 23, 221–226. [Google Scholar] [CrossRef]
- Wang, J.; Liu, H.Q.; Wang, L.; Zhang, H.; Luo, H.; Gao, Y. Apparent permeability for gas transport in nanopores of organic shale reservoirs including multiple effects. Int. J. Coal Geol. 2015, 152, 50–62. [Google Scholar] [CrossRef]
- Wu, K.; Chen, Z.X.; Li, X.F.; Guo, C.; Wei, M. A model for multiple transport mechanisms through nanopores of shale gas reservoirs with real gas effect-adsorption-mechanic coupling. Int. J. Heat Mass Transf. 2016, 93, 408–426. [Google Scholar] [CrossRef]
- Wang, J.; Kang, Q.; Wang, Y.; Pawar, R.; Rahman, S.S. Simulation of gas flow in micro-porous media with the regularized lattice Boltzmann method. Fuel 2017, 205, 232–246. [Google Scholar] [CrossRef]
- Wang, S.; Shi, J.; Wang, K.; Sun, Z.; Miao, Y.; Hou, C. Apparent permeability model for gas transport in shale reservoirs with nanoscale porous media. J. Nat. Gas Sci. Eng. 2018, 55, 508–519. [Google Scholar] [CrossRef]
- Zhang, T.; Li, X.; Shi, J.; Sun, Z.; Yin, Y.; Wu, K.; Li, J.; Feng, D. An apparent liquid permeability model of dual-wettability nanoporous media: A case study of shale. Chem. Eng. Sci. 2018, 187, 280–291. [Google Scholar] [CrossRef]
- Li, C.; Lin, M.; Ji, L.; Jiang, W.; Cao, G. Rapid evaluation of the permeability of organic-rich shale using the 3D intermingled-fractal model. SPE J. 2018, 23, 2175–2187. [Google Scholar] [CrossRef]
- Shen, Y.; Li, C.; Ge, H.; Guo, X.; Wang, S. Spontaneous imbibition process in micro-nano fractal capillaries considering slip flow. Fractals 2017, 26, 184002. [Google Scholar] [CrossRef]
- Lee, J.W.; Nilson, R.H.; Templeton, J.A.; Griffiths, S.K.; Kung, A.; Wong, B.M. Comparison of Molecular Dynamics with Classical Density Functional and Poisson–Boltzmann Theories of the Electric Double Layer in Nanochannels. J. Chem. Theory Comput. 2012, 8, 2012–2022. [Google Scholar] [CrossRef] [PubMed]
- Shen, Y.; Pang, Y.; Shen, Z.; Tian, Y.; Ge, H. Multiparameter analysis of gas transport phenomena in shale gas reservoirs: Apparent permeability characterization. Sci. Rep. 2018, 8, 2601. [Google Scholar] [CrossRef]
- Miao, T.; Chen, A.; Zhang, L.; Yu, B. A novel fractal model for permeability of damaged tree-like branching networks. Int. J. Heat Mass Transf. 2018, 127, 278–285. [Google Scholar] [CrossRef]
- Takbiri-Borujeni, A.; Fathi, E.; Kazemi, M.; Belyadi, F. An integrated multiscale model for gas storage and transport in shale reservoirs. Fuel 2019, 237, 1228–1243. [Google Scholar] [CrossRef]
- Tan, X.H.; Liu, J.Y.; Li, X.P.; Zhang, L.H.; Cai, J.C. A simulation method for permeability of porous media based on multiple fractal model. Int. J. Eng. Sci. 2015, 95, 76–84. [Google Scholar] [CrossRef]
- Hosa, A.; Curtis, A.; Wood, R. Calibrating Lattice Boltzmann flow simulations and estimating uncertainty in the permeability of complex porous media. Adv. Water Resour. 2016, 94, 60–74. [Google Scholar] [CrossRef]
- Zhao, J.; Wang, Q.; Hu, Y.; Ren, L.; Zhao, C. Numerical investigation of shut-in time on stress evolution and tight oil production. J. Pet. Sci. Eng. 2019, 179, 716–733. [Google Scholar] [CrossRef]
- Chalmers, G.R.; Bustin, R.M.; Power, I.M. Characterization of gas shale pore systems by porosimetry, pycnometry, surface area, and field emission scanning electron microscopy/transmission electron microscopy image analyses: Examples from the Barnett, Woodford, Haynesville, Marcellus, and Doig units. AAPG Bull. 2012, 96, 1099–1119. [Google Scholar]
- Wang, F.; Zhao, J. A mathematical model for co-current spontaneous water imbibition into oil-saturated tight sandstone: Upscaling from pore-scale to core-scale with fractal approach. J. Pet. Sci. Eng. 2019, 178, 376–388. [Google Scholar] [CrossRef]
- Su, P.; Xia, Z.; Qu, L.; Yu, W.; Wang, P.; Li, D.; Kong, X. Fractal characteristics of low-permeability gas sandstones based on a new model for mercury intrusion porosimetry. J. Nat. Gas Sci. Eng. 2018, 60, 246–255. [Google Scholar] [CrossRef]
- Yu, B.; Lee, L.; Cao, H. Fractal characters of pore microstructures of textile fabrics. Fractals 2001, 9, 155–163. [Google Scholar] [CrossRef]
- Wu, J.S. Analysis of Resistance for Flow through Porous Media; Zhejiang University: Hangzhou, China, 2006. [Google Scholar]
- Chen, Z.L.; Wang, N.T.; Sun, L.; Tan, X.H.; Deng, S. Prediction method for permeability of porous media with tortuosity effect based on an intermingled fractal units model. Int. J. Eng. Sci. 2017, 121, 83–90. [Google Scholar] [CrossRef]
- Zhao, J.; Zhao, J.Z.; Hu, Y.Q.; Zhao, C.N.; Wang, Q.; Zhao, X.; Zhang, Y. Coiled tubing friction reduction of plug milling in long horizontal well with vibratory tool. J. Pet. Sci. Eng. 2019, 177, 452–465. [Google Scholar]
- Yu, B.; Li, J. Some characters of porous media. Fractals 2011, 8, 365–372. [Google Scholar]
- Fan, W.; Sun, H.; Yao, J.; Fan, D.; Zhang, K. A new fractal transport model of shale gas reservoirs considering multiple gas transport mechanisms, multi-scale and heterogeneity. Fractals 2018, 26, 1850096. [Google Scholar] [CrossRef]
- Sun, Z.; Shi, J.; Wu, K.; Zhang, T.; Feng, D.; Huang, L.; Shi, Y.; Ramachandran, H.; Li, X. An analytical model for gas transport through elliptical nanopores. Chem. Eng. Sci. 2019, 199, 199–209. [Google Scholar] [CrossRef]
- Wu, K.; Li, X.F.; Wang, C.C.; Chen, Z.; Yu, W. Apparent permeability for gas flow in shale reservoirs coupling effects of gas diffusion and desorption. In Proceedings of the Unconventional Resources Technology Conference, Denver, CO, USA, 25–27 August 2014. Paper SPE 1921039. [Google Scholar]
- Wu, K.; Li, X.; Wang, C.; Chen, Z.; Yu, W. A model for gas transport in microfractures of shale and tight gas reservoirs. AIChE J. 2015, 61, 2079–2088. [Google Scholar] [CrossRef]
- Wu, K.; Chen, Z.X.; Li, X.F. Real gas transport through nanopores of varying cross-section type and shape in shale gas reservoirs. Chem. Eng. J. 2015, 281, 813–825. [Google Scholar] [CrossRef]
- Chen, Y.D.; Yang, R.T. Concentration dependence of surface diffusion and zeolitic diffusion. AIChE J. 1991, 37, 1579–1582. [Google Scholar] [CrossRef]
- Letham, E.A. Matrix Permeability Measurements of Gas Shales: Gas Slippage and Adsorption as Sources of Systematic Error; University of British Columbia: Vancouver, BC, Canada, 2011. [Google Scholar]
- Song, W.; Yao, J.; Li, Y.; Sun, H.; Zhang, L.; Yang, Y.; Zhao, J.; Sui, H. Apparent gas permeability in an organic-rich shale reservoir. Fuel 2016, 181, 973–984. [Google Scholar] [CrossRef]
- Wang, J.; Luo, H.; Liu, H.; Cao, F.; Li, Z.; Sepehrnoori, K. An integrative model to simulate gas transport and production coupled with gas adsorption, non-Darcy flow, surface diffusion, and stress dependence in organic-shale reservoirs. SPE J. 2017, 22, 244–264. [Google Scholar] [CrossRef]
- Wang, S.; Tao, W.U.; Cao, X.; Zheng, Q.; Ai, M. A fractal model for gas apparent permeability in microfracture of tight/shale reservoirs. Fractals 2017, 25, 1750036. [Google Scholar] [CrossRef]
- Sun, Z.; Li, X.; Shi, J.; Zhang, T.; Sun, F. Apparent permeability model for real gas transport through shale gas reservoirs considering water distribution characteristic. Int. J. Heat Mass Tran. 2017, 115, 1008–1019. [Google Scholar] [CrossRef]
- Civan, F. Effective correlation of apparent gas permeability in low-permeability porous media. Transp. Porous Media 2010, 82, 375–384. [Google Scholar] [CrossRef]









| Parameters | Value | Unit |
|---|---|---|
| Minimum pore diameter | 0.4 | nm |
| Maximum pore diameter | 100 | nm |
| Temperature | 303 | K |
| Langmuir pressure | 5 | MPa |
| Gas constant | 8.314 | J/(mol·K) |
| Avogadro constant | 6.022 × 1023 | Mol−1 |
| Parameters | Value | Unit |
|---|---|---|
| Minimum pore diameter | 1 | nm |
| Maximum pore diameter | 100 | nm |
| Temperature | 350 | K |
| Langmuir pressure | 5 | MPa |
| Gas constant | 8.314 | J/(mol·K) |
| Avogadro constant | 6.022 × 1023 | Mol−1 |
| Tortuosity | 5 | |
| Porosity | 3 | % |
| Surface diffusion coefficient | 1 × 10–7 | m/s2 |
| Gas viscosity | 0.015 | mPa·s |
© 2019 by the authors. Licensee MDPI, Basel, Switzerland. This article is an open access article distributed under the terms and conditions of the Creative Commons Attribution (CC BY) license (http://creativecommons.org/licenses/by/4.0/).
Share and Cite
Wang, Q.; Hu, Y.; Zhao, J.; Ren, L.; Zhao, C.; Zhao, J. Multiscale Apparent Permeability Model of Shale Nanopores Based on Fractal Theory. Energies 2019, 12, 3381. https://doi.org/10.3390/en12173381
Wang Q, Hu Y, Zhao J, Ren L, Zhao C, Zhao J. Multiscale Apparent Permeability Model of Shale Nanopores Based on Fractal Theory. Energies. 2019; 12(17):3381. https://doi.org/10.3390/en12173381
Chicago/Turabian StyleWang, Qiang, Yongquan Hu, Jinzhou Zhao, Lan Ren, Chaoneng Zhao, and Jin Zhao. 2019. "Multiscale Apparent Permeability Model of Shale Nanopores Based on Fractal Theory" Energies 12, no. 17: 3381. https://doi.org/10.3390/en12173381
APA StyleWang, Q., Hu, Y., Zhao, J., Ren, L., Zhao, C., & Zhao, J. (2019). Multiscale Apparent Permeability Model of Shale Nanopores Based on Fractal Theory. Energies, 12(17), 3381. https://doi.org/10.3390/en12173381

