Wind Farm Modeling with Interpretable Physics-Informed Machine Learning
Abstract
1. Introduction
2. Wind Farm Power Models
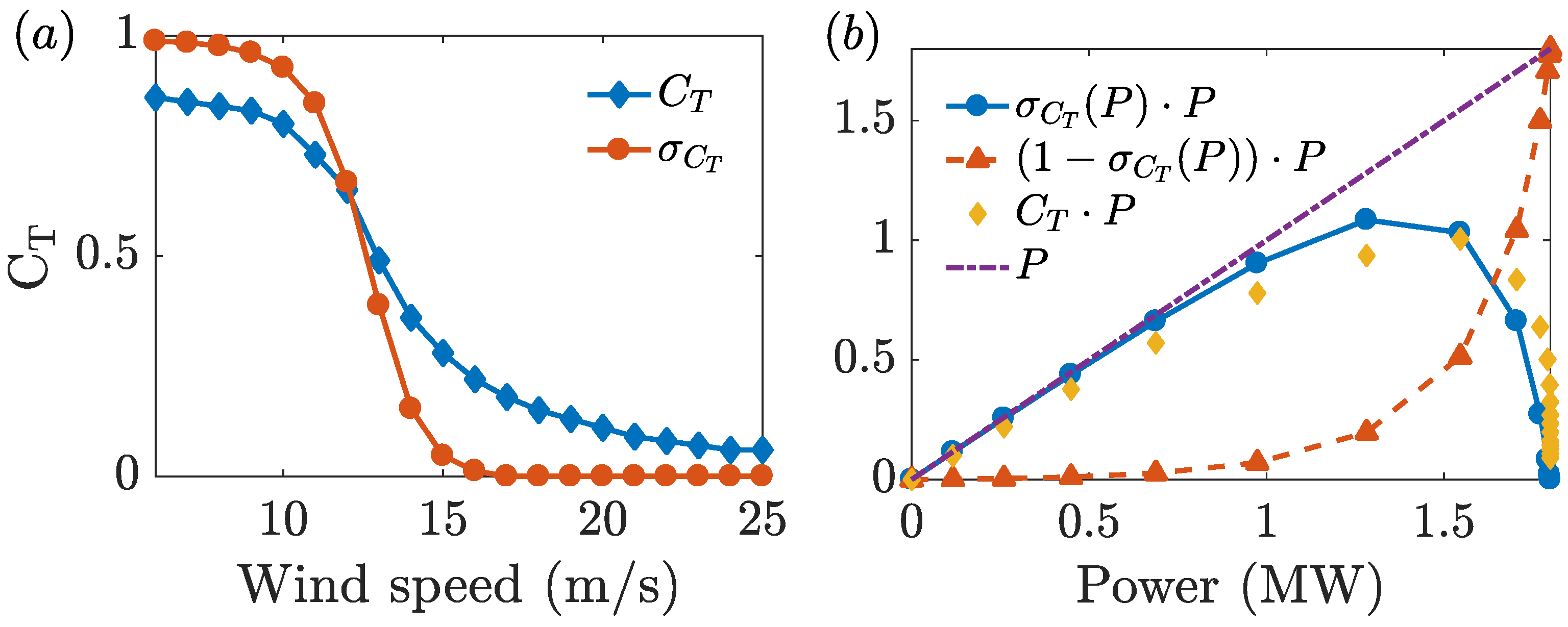
2.1. Physics-Based Model
| Algorithm 1 Genetic algorithm gradient descent minimization of mean absolute error of lifting line model. |
| MinError(P,, , X, N, k, , ): |
| while TOL and do |
| for do |
| Forward() |
| MAE(, P) |
| , Backward(, ) |
| GradientUpdate(,) |
| end for |
| , , Select(, , , k) |
| if then |
| end if |
| , CrossOver(, ) |
| , Mutate(, , , , ) |
| end while |
| return, |
2.2. Physics-Informed Statistical Model
2.3. Physics-Informed Initialization
2.4. Statistical Model Development Set Protocol
3. Model Evaluation on Utility-Scale Wind Farm
3.1. Utility-Scale Wind Farm
3.2. Results
3.2.1. Initialization of Statistical Methods
3.2.2. Influence of Architecture for 250° Inflow
3.2.3. Influence of Architecture for 330° Inflow
3.2.4. Physics-Based Model
4. Interpreting the Statistical Learning
Influence of Statistical Learning Initialization
5. Conclusions
Author Contributions
Funding
Acknowledgments
Conflicts of Interest
Abbreviations
| A | Wind turbine rotor area |
| a | Axial induction factor |
| Learning rate | |
| ABL | Atmospheric boundary layer |
| Coefficient of power | |
| Coefficient of thrust | |
| Density | |
| D | Wind turbine diameter |
| DOAJ | Directory of open access journals |
| DoF | Degrees of freedom |
| Wake spreading coefficient | |
| MAE | Mean absolute error |
| MDPI | Multidisciplinary Digital Publishing Institute |
| Number of frontal wind turbines | |
| NN | Neural network |
| LL | Lifting line model |
| ReLU | Rectified linear unit |
| SCADA | Supervisory control and data acquisition |
| Gaussian wake proportionality constant | |
| based nonlinearity | |
| Sigmoid function | |
| Effective velocity | |
| Freestream velocity | |
| Lateral wake centroid |
Appendix A. Comparison of Linear Weight Matrix Method with Linear Ordinary Least Squares
Appendix B. Input–Output Training Example
| Turbine | D1 | D2 | D3 | D4 | D5 | D6 | B1 | B2 | B3 | B4 | B5 | B6 | C1 |
|---|---|---|---|---|---|---|---|---|---|---|---|---|---|
| Power (MW) | 1.80 | 1.80 | 1.80 | 1.80 | 1.80 | 1.80 | 1.64 | 1.64 | 1.80 | 1.78 | 1.80 | 1.27 | 1.29 |
| Linear, | 0.279 | 0.014 | 0.129 | 0.014 | 0.087 | 0.085 | 0.262 | 0.423 | |||||
| Linear deficit, | 0.781 | 0.604 | 1.272 | 1.416 | 0.066 | 0.167 | 0.809 | 1.090 | 0.034 | ||||
| , | 0.257 | 0.629 | 0.146 | 0.122 | 0.056 | 0.375 | 0.181 | 0.746 | 0.648 | ||||
| , | 0.117 | 0.533 | 0.203 | 0.025 | 0.161 | 0.176 | 0.575 | 0.803 | |||||
| deficit, | 0.268 | 0.670 | 2.667 | 0.140 | 0.282 | 0.822 | 0.977 | ||||||
| deficit, | 0.574 | 1.470 | 0.814 | 0.207 | 0.132 | 0.708 | 1.055 | ||||||
| , | 0.128 | 0.367 | 0.380 | 0.023 | 0.177 | 0.195 | 0.496 | 0.503 | |||||
| , | 0.252 | 0.325 | 0.093 | 0.211 | 0.438 | 0.397 | 0.025 | 0.487 | 0.482 |
References
- IPCC. Global Warming of 1.5 ∘C: An IPCC Special Report on the Impacts of Global Warming of 1.5 ∘C above Pre-Industrial Levels and Related Global Greenhouse Gas Emission Pathways, in the Context of Strengthening the Global Response to the Threat of Climate Change, Sustainable Development, and Efforts to Eradicate Poverty; IPCC: Geneva, Switzerland, 2018. [Google Scholar]
- Moné, C.; Hand, M.; Bolinger, M.; Rand, J.; Heimiller, D.; Ho, J. 2015 Cost of Wind Energy Review; Technical Report; National Renewable Energy Lab. (NREL): Golden, CO, USA, 2017.
- Stevens, R.J.; Hobbs, B.F.; Ramos, A.; Meneveau, C. Combining economic and fluid dynamic models to determine the optimal spacing in very large wind farms. Wind Energy 2017, 20, 465–477. [Google Scholar] [CrossRef]
- Barthelmie, R.J.; Hansen, K.; Frandsen, S.T.; Rathmann, O.; Schepers, J.; Schlez, W.; Phillips, J.; Rados, K.; Zervos, A.; Politis, E.; et al. Modelling and measuring flow and wind turbine wakes in large wind farms offshore. Wind Energy 2009, 12, 431–444. [Google Scholar] [CrossRef]
- Crespo, A.; Hernandez, J.; Frandsen, S. Survey of modelling methods for wind turbine wakes and wind farms. Wind Energy 1999, 2, 1–24. [Google Scholar] [CrossRef]
- Stevens, R.J.; Meneveau, C. Flow structure and turbulence in wind farms. Ann. Rev. Fluid Mech. 2017, 49, 311–339. [Google Scholar] [CrossRef]
- Bastankhah, M.; Porté-Agel, F. A new analytical model for wind-turbine wakes. Renew. Energy 2014, 70, 116–123. [Google Scholar] [CrossRef]
- Shapiro, C.R.; Gayme, D.F.; Meneveau, C. Modelling yawed wind turbine wakes: A lifting line approach. J. Fluid Mech. 2018, 841, R1. [Google Scholar] [CrossRef]
- Annoni, J.; Fleming, P.; Scholbrock, A.; Roadman, J.; Dana, S.; Adcock, C.; Porte-Agel, F.; Raach, S.; Haizmann, F.; Schlipf, D. Analysis of Control-Oriented Wake Modeling Tools Using Lidar Field Results; Technical Report; National Renewable Energy Lab. (NREL): Golden, CO, USA, 2018.
- Meneveau, C. Big wind power: Seven questions for turbulence research. J. Turbul. 2019, 20, 2–20. [Google Scholar] [CrossRef]
- Stevens, R.J.; Gayme, D.F.; Meneveau, C. Coupled wake boundary layer model of wind-farms. J. Renew. Sustain. Energy 2015, 7, 023115. [Google Scholar] [CrossRef]
- Politis, E.S.; Prospathopoulos, J.; Cabezon, D.; Hansen, K.S.; Chaviaropoulos, P.; Barthelmie, R.J. Modeling wake effects in large wind farms in complex terrain: The problem, the methods and the issues. Wind Energy 2012, 15, 161–182. [Google Scholar] [CrossRef]
- Howland, M.F.; Ghate, A.S.; Lele, S.K. Influence of the horizontal component of Earth’s rotation on wind turbine wakes. In Journal of Physics: Conference Series; IOP Publishing: Bristol, UK, 2018; Volume 1037, p. 072003. [Google Scholar]
- Schlez, W.; Neubert, A. New developments in large wind farm modelling. In Proceedings of the European Wind Energy Conference, Marseilles, France, 16–19 March 2009. [Google Scholar]
- Johnson, C.; Graves, A.; Tindal, A.; Cox, S.; Schlez, W.; Neubert, A. New developments in wake models for large wind farms. In AWEA Windpower Conference; Garrad Hassan America Inc.: Chicago, IL, USA, 2009. [Google Scholar]
- Nygaard, N.G.; Newcombe, A.C. Wake behind an offshore wind farm observed with dual-Doppler radars. In Journal of Physics: Conference Series; IOP Publishing: Bristol, UK, 2018; Volume 1037, p. 072008. [Google Scholar]
- Nygaard, N.G. Wakes in very large wind farms. In Journal of Physics: Conference Series; IOP Publishing: Bristol, UK, 2014; Volume 524, p. 012162. [Google Scholar]
- Platis, A. First in situ evidence of wakes in the far field behind offshore wind farms. Sci. Rep. 2018, 8, 2163. [Google Scholar] [CrossRef] [PubMed]
- Lundquist, J.; DuVivier, K.; Kaffine, D.; Tomaszewski, J. Costs and consequences of wind turbine wake effects arising from uncoordinated wind energy development. Nat. Energy 2019, 4, 26. [Google Scholar] [CrossRef]
- Van der Laan, M.; Hansen, K.S.; Sørensen, N.N.; Réthoré, P.E. Predicting wind farm wake interaction with RANS: An investigation of the Coriolis force. In Journal of Physics: Conference Series; IOP Publishing: Bristol, UK, 2015; Volume 625, p. 012026. [Google Scholar]
- Yang, X.; Pakula, M.; Sotiropoulos, F. Large-eddy simulation of a utility-scale wind farm in complex terrain. Appl. Energy 2018, 229, 767–777. [Google Scholar] [CrossRef]
- Sanz Rodrigo, J.; Chavez Arroyo, R.A.; Moriarty, P.; Churchfield, M.; Kosović, B.; Réthoré, P.E.; Hansen, K.S.; Hahmann, A.; Mirocha, J.D.; Rife, D. Mesoscale to microscale wind farm flow modeling and evaluation. Wiley Interdiscip. Rev. Energy Environ. 2017, 6, e214. [Google Scholar] [CrossRef]
- LeCun, Y.; Bengio, Y.; Hinton, G. Deep learning. Nature 2015, 521, 436. [Google Scholar] [CrossRef] [PubMed]
- Cardona, J.L.; Howland, M.F.; Dabiri, J.O. Seeing the Wind: Visual Wind Speed Prediction with a Coupled Convolutional and Recurrent Neural Network. arXiv 2019, arXiv:1905.13290. [Google Scholar]
- Ling, J.; Kurzawski, A.; Templeton, J. Reynolds averaged turbulence modelling using deep neural networks with embedded invariance. J. Fluid Mech. 2016, 807, 155–166. [Google Scholar] [CrossRef]
- Kutz, J.N. Deep learning in fluid dynamics. J. Fluid Mech. 2017, 814, 1–4. [Google Scholar] [CrossRef]
- Park, J.; Law, K.H. Bayesian ascent: A data-driven optimization scheme for real-time control with application to wind farm power maximization. IEEE Trans. Control Syst. Technol. 2016, 24, 1655–1668. [Google Scholar] [CrossRef]
- Park, J.; Law, K.H. A data-driven, cooperative wind farm control to maximize the total power production. Appl. Energy 2016, 165, 151–165. [Google Scholar] [CrossRef]
- Lei, M.; Shiyan, L.; Chuanwen, J.; Hongling, L.; Yan, Z. A review on the forecasting of wind speed and generated power. Renew. Sustain. Energy Rev. 2009, 13, 915–920. [Google Scholar] [CrossRef]
- Wan, C.; Xu, Z.; Pinson, P.; Dong, Z.Y.; Wong, K.P. Probabilistic forecasting of wind power generation using extreme learning machine. IEEE Trans. Power Syst. 2014, 29, 1033–1044. [Google Scholar] [CrossRef]
- Haque, A.U.; Mandal, P.; Meng, J.; Negnevitsky, M. Wind speed forecast model for wind farm based on a hybrid machine learning algorithm. Int. J. Sustain. Energy 2015, 34, 38–51. [Google Scholar] [CrossRef]
- González, J.S.; Rodriguez, A.G.G.; Mora, J.C.; Santos, J.R.; Payan, M.B. Optimization of wind farm turbines layout using an evolutive algorithm. Renew. Energy 2010, 35, 1671–1681. [Google Scholar] [CrossRef]
- Thomas, J.J.; Annoni, J.; Fleming, P.A.; Ning, A. Comparison of Wind Farm Layout Optimization Results Using a Simple Wake Model and Gradient-Based Optimization to Large Eddy Simulations. In Proceedings of the AIAA Scitech 2019 Forum, San Diego, CA, USA, 7–11 January 2019; p. 0538. [Google Scholar]
- Fleming, P.A.; Ning, A.; Gebraad, P.M.; Dykes, K. Wind plant system engineering through optimization of layout and yaw control. Wind Energy 2016, 19, 329–344. [Google Scholar] [CrossRef]
- Fleming, P.; Annoni, J.; Shah, J.J.; Wang, L.; Ananthan, S.; Zhang, Z.; Hutchings, K.; Wang, P.; Chen, W.; Chen, L. Field test of wake steering at an offshore wind farm. Wind Energy Sci. 2017, 2, 229–239. [Google Scholar] [CrossRef]
- Bay, C.J.; Annoni, J.; Taylor, T.; Pao, L.; Johnson, K. Active power control for wind farms using distributed model predictive control and nearest neighbor communication. In Proceedings of the 2018 Annual American Control Conference (ACC), Milwaukee, WI, USA, 27–29 June 2018; pp. 682–687. [Google Scholar]
- Fleming, P.; King, J.R.; Dykes, K.L.; Simley, E.J.; Roadman, J.M.; Scholbrock, A.K.; Murphy, P.; Lundquist, J.K.; Moriarty, P.J.; Fleming, K.A.; et al. Initial Results From a Field Campaign of Wake Steering Applied at a Commercial Wind Farm: Part 1; Technical Report; National Renewable Energy Lab. (NREL): Golden, CO, USA, 2019.
- Moin, P.; Mahesh, K. Direct numerical simulation: A tool in turbulence research. Ann. Rev. Fluid Mech. 1998, 30, 539–578. [Google Scholar] [CrossRef]
- Gebraad, P.; Teeuwisse, F.; Wingerden, J.; Fleming, P.A.; Ruben, S.; Marden, J.; Pao, L. Wind plant power optimization through yaw control using a parametric model for wake effects—A CFD simulation study. Wind Energy 2016, 19, 95–114. [Google Scholar] [CrossRef]
- Boersma, S.; Doekemeijer, B.; Gebraad, P.M.; Fleming, P.A.; Annoni, J.; Scholbrock, A.K.; Frederik, J.; van Wingerden, J.W. A tutorial on control-oriented modeling and control of wind farms. In Proceedings of the 2017 American Control Conference (ACC), Seattle, WA, USA, 24–26 May 2017; pp. 1–18. [Google Scholar]
- Bhaskar, K.; Singh, S. AWNN-assisted wind power forecasting using feed-forward neural network. IEEE Trans. Sustain. Energy 2012, 3, 306–315. [Google Scholar] [CrossRef]
- Gebraad, P.M.; Van Wingerden, J. A control-oriented dynamic model for wakes in wind plants. In Journal of Physics: Conference Series; IOP Publishing: Bristol, UK, 2014; Volume 524, p. 012186. [Google Scholar]
- Shapiro, C.R.; Bauweraerts, P.; Meyers, J.; Meneveau, C.; Gayme, D.F. Model-based receding horizon control of wind farms for secondary frequency regulation. Wind Energy 2017, 20, 1261–1275. [Google Scholar] [CrossRef]
- Howland, M.F.; Lele, S.K.; Dabiri, J.O. Wind farm power optimization through wake steering. Proc. Natl. Acad. Sci. USA 2019, 201903680. [Google Scholar] [CrossRef]
- Doekemeijer, B.M.; Boersma, S.; Pao, L.Y.; Knudsen, T.; van Wingerden, J.W. Online model calibration for a simplified LES model in pursuit of real-time closed-loop wind farm control. Wind Energy Sci. Discuss. 2018, 2018, 1–30. [Google Scholar] [CrossRef]
- Burton, T.; Jenkins, N.; Sharpe, D.; Bossanyi, E. Wind Energy Handbook; John Wiley & Sons: Hoboken, NJ, USA, 2011. [Google Scholar]
- Annoni, J.; Bay, C.; Taylor, T.; Pao, L.; Fleming, P.; Johnson, K. Efficient Optimization of Large Wind Farms for Real-Time Control. In Proceedings of the 2018 Annual American Control Conference (ACC), Milwaukee, WI, USA, 27–29 June 2018; pp. 6200–6205. [Google Scholar]
- Katic, I.; Højstrup, J.; Jensen, N.O. A simple model for cluster efficiency. In Proceedings of the European Wind Energy Association Conference and Exhibition, Rome, Italy, 7–9 October 1986. [Google Scholar]
- Meyers, J.; Meneveau, C. Optimal turbine spacing in fully developed wind farm boundary layers. Wind Energy 2012, 15, 305–317. [Google Scholar] [CrossRef]
- Kingma, D.P.; Ba, J. Adam: A method for stochastic optimization. arXiv 2014, arXiv:1412.6980. [Google Scholar]
- Hansen, K.S.; Réthoré, P.E.; Palma, J.; Hevia, B.; Prospathopoulos, J.; Peña, A.; Ott, S.; Schepers, G.; Palomares, A.; Van der Laan, M.; et al. Simulation of wake effects between two wind farms. In Journal of Physics: Conference Series; IOP Publishing: Bristol, UK, 2015; Volume 625, p. 012008. [Google Scholar]
- Hutchins, N.; Marusic, I. Evidence of very long meandering features in the logarithmic region of turbulent boundary layers. J. Fluid Mech. 2007, 579, 1–28. [Google Scholar] [CrossRef]
- Howland, M.; Yang, X. Dependence of small-scale energetics on large scales in turbulent flows. J. Fluid Mech. 2018, 852, 641–662. [Google Scholar] [CrossRef]
- Kochenderfer, M.J. Decision Making under Uncertainty: Theory and Application; MIT Press: Cambridge, MA, USA, 2015. [Google Scholar]
- Koenker, R.; Hallock, K.F. Quantile regression. J. Econ. Perspect. 2001, 15, 143–156. [Google Scholar] [CrossRef]
- Milan, P.; Wächter, M.; Peinke, J. Turbulent character of wind energy. Phys. Rev. Lett. 2013, 110, 138701. [Google Scholar] [CrossRef]
- Bossuyt, J.; Howland, M.F.; Meneveau, C.; Meyers, J. Measurement of unsteady loading and power output variability in a micro wind farm model in a wind tunnel. Exp. Fluids 2017, 58, 1. [Google Scholar] [CrossRef]
- Nguyen, D.; Widrow, B. Improving the learning speed of 2-layer neural networks by choosing initial values of the adaptive weights. In Proceedings of the 1990 IJCNN International Joint Conference on Neural Networks, San Diego, CA, USA, 17–21 June 1990; pp. 21–26. [Google Scholar]
- Göçmen, T.; Van der Laan, P.; Réthoré, P.E.; Diaz, A.P.; Larsen, G.C.; Ott, S. Wind turbine wake models developed at the technical university of Denmark: A review. Renew. Sustain. Energy Rev. 2016, 60, 752–769. [Google Scholar] [CrossRef]
- Paszke, A.; Gross, S.; Chintala, S.; Chanan, G.; Yang, E.; DeVito, Z.; Lin, Z.; Desmaison, A.; Antiga, L.; Lerer, A. Automatic differentiation in pytorch. In Proceedings of the 31st Conference on Neural Information Processing Systems (NIPS 2017), Long Beach, CA, USA, 4–9 December 2017. [Google Scholar]
- Sutskever, I.; Martens, J.; Dahl, G.; Hinton, G. On the importance of initialization and momentum in deep learning. In Proceedings of the International conference on machine learning, Atlanta, GA, USA, 16–21 June 2013; pp. 1139–1147. [Google Scholar]
- Chamorro, L.P.; Porté-Agel, F. Effects of thermal stability and incoming boundary-layer flow characteristics on wind-turbine wakes: A wind-tunnel study. Bound. Layer Meteorol. 2010, 136, 515–533. [Google Scholar] [CrossRef]
- Larsen, T.J.; Madsen, H.A.; Larsen, G.C.; Hansen, K.S. Validation of the dynamic wake meander model for loads and power production in the Egmond aan Zee wind farm. Wind Energy 2013, 16, 605–624. [Google Scholar] [CrossRef]
- Niayifar, A.; Porté-Agel, F.; Porté-Agel, F.A. A new analytical model for wind farm power prediction. In Journal of Physics: Conference Series; IOP Publishing: Bristol, UK, 2015; Volume 625, p. 012039. [Google Scholar]
- Krizhevsky, A.; Hinton, G. Convolutional deep belief networks on cifar-10. Unpubl. Manuscr. 2010, 40, 1–9. [Google Scholar]
- Lukassen, L.J.; Stevens, R.J.; Meneveau, C.; Wilczek, M. Modeling space-time correlations of velocity fluctuations in wind farms. Wind Energy 2018, 21, 474–487. [Google Scholar] [CrossRef]
- Yang, X.; Howland, M. Implication of Taylor’s hypothesis on measuring flow modulation. J. Fluid Mech. 2018, 836, 222–237. [Google Scholar] [CrossRef]
- Annoni, J.; Bay, C.; Johnson, K.; Dall’Anese, E.; Quon, E.; Kemper, T.; Fleming, P. A Framework for Autonomous Wind Farms: Wind Direction Consensus. Wind Energy Sci. 2019, 4, 355–368. [Google Scholar] [CrossRef]
- Glorot, X.; Bengio, Y. Understanding the difficulty of training deep feedforward neural networks. In Proceedings of the thirteenth international conference on artificial intelligence and statistics, Sardinia, Italy, 13–15 May 2010; pp. 249–256. [Google Scholar]
- Murcia, J.P.; Réthoré, P.E.; Hansen, K.S.; Natarajan, A.; Sørensen, J.D. A new method to estimate the uncertainty of AEP of offshore wind power plants applied to Horns Rev 1. In EWEA Annual Conference and Exhibition 2015; European Wind Energy Association (EWEA): Brussels, Belgium, 2015. [Google Scholar]
- Medici, D.; Alfredsson, P.H. Measurements behind model wind turbines: Further evidence of wake meandering. Wind Energy 2008, 11, 211–217. [Google Scholar] [CrossRef]
- Herman, I.; Melançon, G.; Marshall, M.S. Graph visualization and navigation in information visualization: A survey. IEEE Trans. Vis. Comput. Graph. 2000, 6, 24–43. [Google Scholar] [CrossRef]
- Marusic, I.; Mathis, R.; Hutchins, N. Predictive model for wall-bounded turbulent flow. Science 2010, 329, 193–196. [Google Scholar] [CrossRef] [PubMed]
- Katul, G. The anatomy of large-scale motion in atmospheric boundary layers. J. Fluid Mech. 2019, 858, 1–4. [Google Scholar] [CrossRef]
- Martínez-Tossas, L.A.; Annoni, J.; Fleming, P.A.; Churchfield, M.J. The aerodynamics of the curled wake: A simplified model in view of flow control. Wind Energy Sci. 2019, 4, 127–138. [Google Scholar] [CrossRef]
- Gu, Y.; McCalley, J.D.; Ni, M. Coordinating large-scale wind integration and transmission planning. IEEE Trans. Sustain. Energy 2012, 3, 652–659. [Google Scholar] [CrossRef]
- Sideratos, G.; Hatziargyriou, N.D. An advanced statistical method for wind power forecasting. IEEE Trans. Power Syst. 2007, 22, 258–265. [Google Scholar] [CrossRef]








| Method | Parameter | DoF |
|---|---|---|
| Linear | w | |
| Nonlinear | k | |
| c | ||
| Neural network | ||
| 1 |
| Method | MAE Train (MW) | MAE Dev (MW) |
|---|---|---|
| Xavier | 0.005 | 0.032 |
| Gaussian | 0.005 | 0.020 |
© 2019 by the authors. Licensee MDPI, Basel, Switzerland. This article is an open access article distributed under the terms and conditions of the Creative Commons Attribution (CC BY) license (http://creativecommons.org/licenses/by/4.0/).
Share and Cite
Howland, M.F.; Dabiri, J.O. Wind Farm Modeling with Interpretable Physics-Informed Machine Learning. Energies 2019, 12, 2716. https://doi.org/10.3390/en12142716
Howland MF, Dabiri JO. Wind Farm Modeling with Interpretable Physics-Informed Machine Learning. Energies. 2019; 12(14):2716. https://doi.org/10.3390/en12142716
Chicago/Turabian StyleHowland, Michael F., and John O. Dabiri. 2019. "Wind Farm Modeling with Interpretable Physics-Informed Machine Learning" Energies 12, no. 14: 2716. https://doi.org/10.3390/en12142716
APA StyleHowland, M. F., & Dabiri, J. O. (2019). Wind Farm Modeling with Interpretable Physics-Informed Machine Learning. Energies, 12(14), 2716. https://doi.org/10.3390/en12142716

