Quantitative Evaluation of the “Non-Enclosed” Microseismic Array: A Case Study in a Deeply Buried Twin-Tube Tunnel
Abstract
1. Introduction
2. Residual Analysis of the Non-Enclosed Microseismic Array
2.1. Introduction of Residual Criterion
2.2. Irrationality of the Non-Enclosed Microseismic Array
3. Evaluation and Optimization of Non-Enclosed Microseismic Arrays
3.1. Evaluation Method
3.2. Evaluation of Non-Enclosed Microseismic Arrays
3.2.1. Axial-Extended Array
3.2.2. Lateral-Extended Array
3.2.3. Twin-Tube Array
3.2.4. Non-Enclosed Microseismic Array Test
4. Optimization and Application of Microseismic Arrays for Twin-Tube Tunnels
4.1. Optimizing the Microseismic Array for a Twin-Tube Tunnel
- (1)
- Due to the limited workforce, frequent traffic, and the interactions between various processes, the data acquisition station was placed in the rear of the secondary lining, and the data processing station was placed in the cross hole.
- (2)
- The twin-tube sensor array with three rows of monitoring sections was positioned in the twin-tube expressway tunnel with two rows of monitoring sections in the forward tunnel and one row in the backward tunnel. Each section had a spacing of 30–40 m, and the first section was 40–50 m from the tunnel face. The sensors were located on the dome and the left and right sides of the wall, and the sensors of each row were buried at depths of 3–4 m.
- (3)
- The cable between the sensor and the data acquisition station was suspended on the side wall of the tunnel by the pre-embedded expansion hook.
- (4)
- The sensor hole must be blocked by sound insulation cotton.
- (5)
- It was necessary to drill monitoring holes and install sensors according to the tunnel excavation.
- (6)
- The construction procedure of a tunnel excavation cycle involves drilling, blasting, slag, and vertical-arch grouting. The installation of the full-section sensor was mainly conducted by using the trolley in the slag-transport and shotcreting processes. In the drilling and standing-arch stage, an excavator or loader was used to remove the sensors at the higher positions on the side wall, and the dome sensor was removed by the vehicle after the secondary lining was followed up.
4.2. A Case Study
5. Conclusions
- (1)
- Microseismic arrays in expressway tunnel engineering with the characteristics of “linear”, “deep-buried,” and “long” are non-enclosed, which leads to a smaller variation in the residual error in each direction of the tunnel in the residual space, especially in the axial direction, and produces a residual space effect. The non-enclosed microseismic array reduces the source location accuracy and the ability to resist external interferences or errors.
- (2)
- Based on the residual criterion and the residual composition of the source location, the residual variation was equivalent to the hyperbolic domain of the source distance difference. The effectiveness of the sensor array in controlling the accuracy of the location along each direction of the tunnel was evaluated by introducing the hyperbolic density index (i.e., a method to obtain a quantitative evaluation of the sensor array).
- (3)
- The exploitation of three non-enclosed microseismic arrays in deep-buried tunnels was discussed. The axial-extended array cannot effectively enhance the accuracy of the source location along the axial direction. The lateral-extended and twin-tube arrays efficiently improved the accuracy of the source location of the monitoring range, but the lateral-extended layout was limited by the construction conditions of the tunnels, while the twin-tube array cannot achieve the best source location accuracy in a twin-tube tunnel. In addition, the artificial knock test was used to verify the location accuracy of the three abovementioned non-enclosed arrays, and it was found that a twin-tube array made microseismic events more concentrated. Moreover, the feasibility of using additional microseismic arrays should be explored in conjunction with the proposed method in this paper.
- (4)
- A microseismic monitoring system with a twin-tube array was established and applied to the rockburst area of the Micang Mountain tunnel on the Bashan Expressway. Initially, we were able to identify microseismic events in the left or right tunnels based on the arrival times of the microseismic waves in the twin-tube array. Moreover, based on the PSO, the twin-tube array obtained more accurate locations of the sources than that in the single-tube tunnel, which gathered microseismic events into clusters in the rockburst section and reduced the maximum error by 30–50 m.
Author Contributions
Funding
Acknowledgments
Conflicts of Interest
References
- Hassani, H.; Hlousek, F.; Alexandrakis, C.; Buske, S. Migration-based microseismic event location in the Schlema-Alberoda mining area. Int. J. Rock Mech. Min. Sci. 2018, 110, 161–167. [Google Scholar] [CrossRef]
- Xu, N.; Tang, C.; Li, L.; Zhou, Z.; Sha, C.; Liang, Z.; Yang, J. Microseismic monitoring and stability analysis of the left bank slope in Jinping first stage hydropower station in southwestern China. Int. J. Rock Mech. Min. 2011, 48, 950–963. [Google Scholar] [CrossRef]
- Ma, C.; Li, T.; Xing, H.; Zhang, H.; Wang, M.; Liu, T.; Chen, G.; Chen, Z. Brittle rock modeling approach and its validation using excavation-induced micro-seismicity. Rock Mech. Rock Eng. 2016, 49, 3175–3188. [Google Scholar] [CrossRef]
- Zhao, J.; Feng, X.; Jiang, Q.; Chen, B.; Xiao, Y.; Hu, L.; Feng, G.; Li, P. Analysis of microseismic characteristics and stability of underground caverns in hard rock with high stress using framing excavation method. Rock Soil Mech. 2018, 39, 1020–1027. (In Chinese) [Google Scholar]
- Xue, Q.; Wang, Y.; Zhai, H.; Chang, X. Automatic Identification of Fractures Using a Density-Based Clustering Algorithm with Time-Spatial Constraints. Energies 2018, 11, 563. [Google Scholar] [CrossRef]
- Tezuka, K.; Niitsuma, H. Stress estimated using microseismic clusters and its relationship to the fracture system of the Hijiori hot dry rock reservoir. Eng. Geol. 2000, 56, 47–62. [Google Scholar] [CrossRef]
- Wang, P.; Chang, X.; Zhou, X. Estimation of the Relative Arrival Time of Microseismic Events Based on Phase-Only Correlation. Energies 2018, 11, 2527. [Google Scholar] [CrossRef]
- Ma, C. Microseismic Monitoring of Brittle Fracturing of Surrounding Rock in Deep-buried Tunnel and Study on Interpretation and Early-warning of Rock Burst. Ph.D. Thesis, Chengdu University of Technology, Chengdu, China, 2017. [Google Scholar]
- Ma, C.; Jiang, Y.; Li, T.; Chen, G. Microseismic Characterization of Brittle Fracture Mechanism in Highly Stressed Surrounding Rock Mass. In Proceedings of the 25th International Conference and Exhibition—Interpreting the Past, Discovering the Future, Adelaide, Australia, 21–24 August 2016. [Google Scholar]
- Ma, C.; Li, T.; Zhang, H.; Wang, J. An evaluation and early warning method for rockburst based on EMS microseismic source parameters. Rock Soil Mech. 2018, 39, 765–774. (in Chinese). [Google Scholar]
- Wang, S.; Li, C.; Yan, W.; Zou, Z.; Chen, W. Multiple indicators prediction method of rock burst based on microseismic monitoring technology. Arab J. Geosci. 2017, 10, 132. [Google Scholar] [CrossRef]
- Zhang, H.; Chen, L.; Chen, S.; Sun, J.; Yang, J. The Spatiotemporal Distribution Law of Microseismic Events and Rockburst Characteristics of the Deeply Buried Tunnel Group. Energies 2018, 11, 3257. [Google Scholar] [CrossRef]
- Kijko, A. An algorithm for the optimum distribution of a regional seismic network-I. Pure Appl. Geophys. 1997, 115, 999–1009. [Google Scholar] [CrossRef]
- Kijko, A. An algorithm for the optimum distribution of a regional seismic network-II: An analysis of the accuracy of location of local earthquakes depending on the number of seismic stations. Pure Appl. Geophys. 1997, 115, 1011–1021. [Google Scholar] [CrossRef]
- Mendecki, A.J. Seismic Monitoring in Mines; Chapman and Hall Press: London, UK, 1997. [Google Scholar]
- Ge, M. Analysis of Source Location Algorithms, Part I: Overview and Non-Iterative Methods. J. Acoust. Emiss. 2003, 21, 14–28. [Google Scholar]
- Ge, M. Analysis of source location algorithms, Part II: Iterative methods. J. Acoust. Emiss. 2003, 21, 29–51. [Google Scholar]
- Chen, B.; Feng, X.; Zeng, X.; Xiao, Y.; Zhang, Z.; Ming, H.; Feng, G. Real-time micro-seismic monitoring and its characteristic analysis during TBM tunneling in deep-buried tunnel. Chin. J. Rock Mech. Eng. 2011, 30, 275–283. (In Chinese) [Google Scholar]
- Huang, M. Study on the Mechanism and Micro-seismic Monitoring for Rock Burst in Deep Tunnels. Master’s Thesis, Dalian University of Technology, Dalian, China, 2011. [Google Scholar]
- Li, N.; Wang, E.; Li, B.; Wang, X.; Chen, D. Research on the influence law and mechanisms pf sensors network layouts for the source location. J. Chin. Uni. Min. Tech. 2017, 46, 229–236. [Google Scholar]
- Dong, L.; Li, X. Three-dimensional analytical solution of acoustic emission or microseismic source location under cube monitoring network. Trans. Nonferrous Met. Soc. China 2012, 22, 3087–3094. [Google Scholar] [CrossRef]
- Kijko, A.; Sciocatt, M. Optimal spatial distribution of seismic stations in mines. Int. J. Rock Mech. Min. Geomech. Abstr. 1995, 32, 607–615. [Google Scholar] [CrossRef]
- Ge, M. Source location error analysis and optimization methods. J. Rock Mech. Rock Eng. 2012, 4, 1–10. [Google Scholar] [CrossRef]
- Li, N. Research on Mechanisms of Key Factors and Reliability for Microseismic Source Location. Ph.D. Thesis, China Mining University, Xuzhou, China, 2014. [Google Scholar]
- Li, N.; Wang, E. Mechanism and Application of Key Factors for Micro-epicenter Positioning; China University of Mining and Technology Press: Xuzhou, China, 2015. [Google Scholar]
- Li, N.; Wang, E.; Ge, M.; Sun, Z. A nonlinear microseismic source location method based on Simplex method and its residual analysis. Arabian J. Geosci. 2014, 7, 4477–4486. [Google Scholar] [CrossRef]
- Kennedy, J.; Eberhart, R. Particle swarm optimization. In Proceedings of the IEEE International Conference on Neural Networks, Perth, Australia, 27 November–1 December 1995; pp. 1942–1948. [Google Scholar]
- Shi, Y.; Eberhart, R. A modified particle swarm optimizer. In Proceedings of the IEEE Conference on Evolutionary Computation, Anchorage, AK, USA, 4–9 May 1998; pp. 69–73. [Google Scholar]
- Rezaee, J.; Jasni, J. Parameter selection in particle swarm optimization: A survey. J. Exp. Theor. Artif. Intell. 2013, 25, 527–542. [Google Scholar] [CrossRef]
















| North (m) | East (m) | Depth (m) | Location Error Analysis (m) | ||
|---|---|---|---|---|---|
| Knock point 1 | Actual measurement | 850.23 | 982.33 | 1078.47 | - |
| Axial-extended array | 845.21 | 969.13 | 1065.92 | 18.89 | |
| Lateral-extended array | 860.12 | 975.55 | 1090.19 | 16.77 | |
| Twin-tube array | 856.68 | 984.51 | 1085.21 | 9.58 | |
| Knock point 2 | Actual measurement | 858.69 | 996.91 | 1079.02 | - |
| Axial-extended array | 867.58 | 982.31 | 1090.12 | 20.38 | |
| Lateral-extended array | 852.11 | 992.97 | 1068.21 | 19.28 | |
| Twin-tube array | 862.29 | 993.11 | 1085.96 | 8.69 | |
| Knock point 3 | Actual measurement | 854.48 | 990.04 | 1085.31 | - |
| Axial-extended array | 850.34 | 998.25 | 1070.21 | 17.68 | |
| Lateral-extended array | 863.21 | 981.12 | 1095.55 | 16.14 | |
| Twin-tube array | 857.45 | 988.14 | 1091.78 | 7.37 |
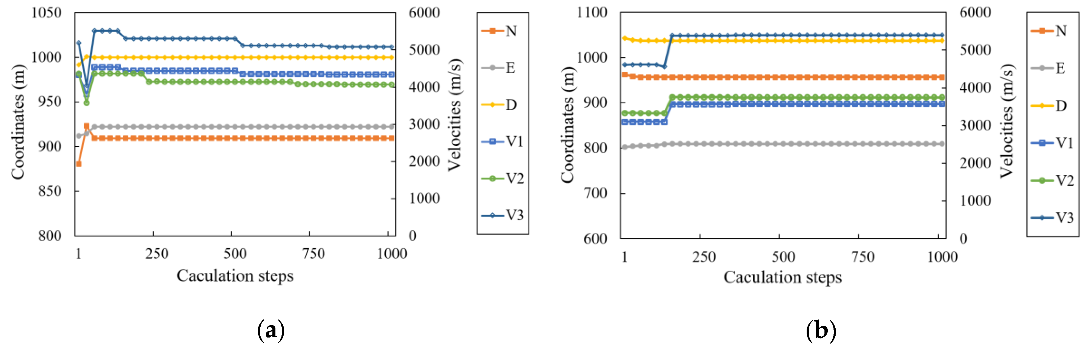
| Initial Conditions | ||||||||
| Sensor number | 1-1 | 1-2 | 2-1 | 2-2 | 2-3 | 3-1 | 3-2 | 3-3 |
| North (m) | 868.37 | 861.8 | 835.38 | 841.91 | 845.61 | 860.14 | 862.84 | 866.82 |
| East (m) | 847.29 | 832.15 | 846.47 | 860.16 | 852.13 | 889.99 | 895.12 | 904.63 |
| Depth (m) | 1007.89 | 1007.91 | 1008.36 | 1008.56 | 1016.605 | 1009.62 | 1017.27 | 1009.66 |
| Right hole event arrival time (s) | 0.9517 | 0.9521 | 0.9584 | 0.9558 | 0.9558 | 0.9471 | 0.9474 | 0.9496 |
| Left hole event arrival time (s) | 0.4988 | 0.5027 | 0.5051 | 0.5002 | 0.5003 | 0.4907 | 0.4904 | 0.4882 |
| PSO Search Results | ||||||||
| Location | Event in the right tunnel | Event in the left tunnel | ||||||
| North (m) | 950 | 910 | ||||||
| East (m) | 809 | 920 | ||||||
| Depth (m) | 1027 | 1001 | ||||||
| V1 (m/s) | 3570 (Corresponding sensor: 1-1, 1-2) | 4337 (Corresponding sensor: 1-1, 2-2, 2-3) | ||||||
| V2 (m/s) | 3747 (Corresponding sensor: 2-1, 2-2, 2-3) | 4066 (Corresponding sensor: 1-2, 2-1) | ||||||
| V3 (m/s) | 5395 (Corresponding sensor: 3-1, 3-2, 3-3) | 5080 (Corresponding sensor: 3-1, 3-2, 3-3) | ||||||
© 2019 by the authors. Licensee MDPI, Basel, Switzerland. This article is an open access article distributed under the terms and conditions of the Creative Commons Attribution (CC BY) license (http://creativecommons.org/licenses/by/4.0/).
Share and Cite
Zhang, H.; Ma, C.; Li, T. Quantitative Evaluation of the “Non-Enclosed” Microseismic Array: A Case Study in a Deeply Buried Twin-Tube Tunnel. Energies 2019, 12, 2006. https://doi.org/10.3390/en12102006
Zhang H, Ma C, Li T. Quantitative Evaluation of the “Non-Enclosed” Microseismic Array: A Case Study in a Deeply Buried Twin-Tube Tunnel. Energies. 2019; 12(10):2006. https://doi.org/10.3390/en12102006
Chicago/Turabian StyleZhang, Hang, Chunchi Ma, and Tianbin Li. 2019. "Quantitative Evaluation of the “Non-Enclosed” Microseismic Array: A Case Study in a Deeply Buried Twin-Tube Tunnel" Energies 12, no. 10: 2006. https://doi.org/10.3390/en12102006
APA StyleZhang, H., Ma, C., & Li, T. (2019). Quantitative Evaluation of the “Non-Enclosed” Microseismic Array: A Case Study in a Deeply Buried Twin-Tube Tunnel. Energies, 12(10), 2006. https://doi.org/10.3390/en12102006

