Investigation of Puffing and Micro-Explosion of Water-in-Diesel Emulsion Spray Using Shadow Imaging
Abstract
1. Introduction
2. Experimental Method
2.1. Emulsion Preparation, Stability, and Physical Properties
2.2. Physical Properties
2.3. Fuel Injection System
2.4. Image Acquisition and Analysis
2.5. Optical System
2.6. Processing and Analysis of Spray Droplets
3. Results and Discussion
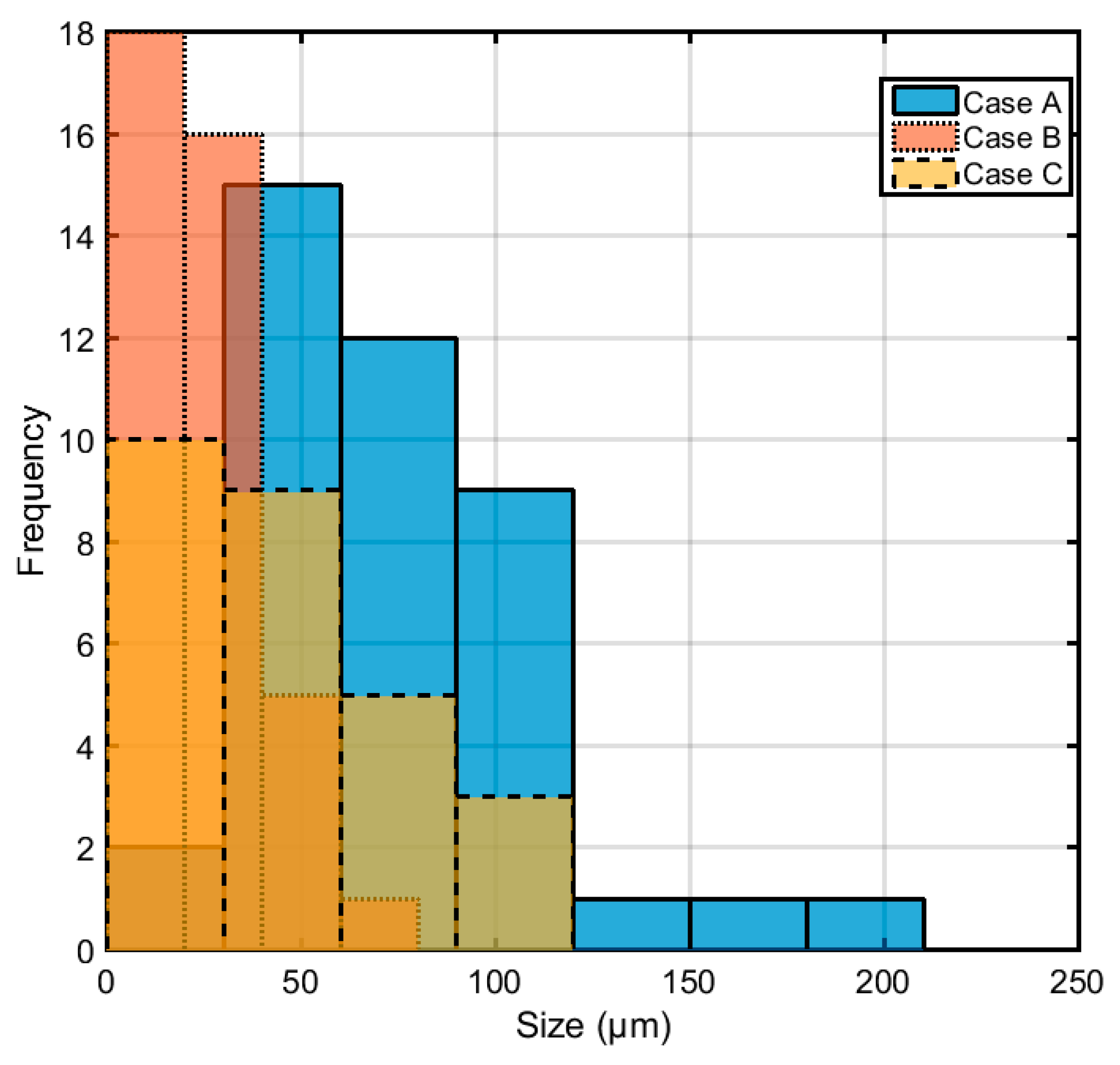
3.1. The Effect of Injector Shearing on Droplet Size Distribution
3.2. Spray Droplet Puffing and Micro-Explosion Phenomena
3.3. Spray Droplets Size Versus Time to Puffing
3.4. Effect of Injection Pressure and Dispersed Water Droplet Size on Droplet Puffing
4. Conclusions
- We found that the emulsion properties (dispersed droplet size and numbers) change significantly after the nozzle’s orifices, as expected; the water concentration reduced after the injection due to rapid evaporation caused by high pressure and temperature in the common rail [32].
- With the increase of injection pressure, puffing was delayed due to reduction in dispersed water droplet size and water content in the emulsion.
- In the experiment, puffing and micro-explosion were observed in small droplets (>50 µm) after a clear transparent region. Since coalescence of the dispersed water droplets is not expected to take place due to the very short residence time in the spray, complete micro-explosion was not observed.
- The droplet time to puffing was found to be related more to the dispersed droplet size and water content in the droplet rather than to the spray droplet size.
Author Contributions
Funding
Acknowledgments
Conflicts of Interest
References
- Kannan, K.; Udayakumar, M. NOx and HC emission control using water emulsified diesel in single cylinder diesel engine. J. Eng. Appl. Sci. 2009, 4, 59–62. [Google Scholar]
- Tauzia, X.; Maiboom, A.; Shah, S.R. Experimental study of inlet manifold water injection on combustion and emissions of an automotive direct injection Diesel engine. Energy 2010, 35, 3628–3639. [Google Scholar] [CrossRef]
- Bedford, F.; Rutland, C.; Dittrich, P.; Raab, A.; Wirbeleit, F. Effects of direct water injection on di diesel engine combustion. SAE Tech. Pap. 2000, 1, 2938. [Google Scholar] [CrossRef]
- Arabaci, E.; Içingür, Y.; Solmaz, H.; Uyumaz, A.; Yilmaz, E. Experimental investigation of the effects of direct water injection parameters on engine performance in a six-stroke engine. Energy Convers. Manag. 2015, 98, 89–97. [Google Scholar] [CrossRef]
- Farfaletti, A.; Astorga, C.; Martini, G.; Manfredi, U.; Mueller, A.; Rey, M.; De Santi, G.; Krasenbrink, A.; Larsen, B.R. Effect of water/fuel emulsions and a cerium-based combustion improver additive on HD and LD diesel exhaust emissions. Environ. Sci. Technol. 2005, 39, 6792–6799. [Google Scholar] [CrossRef] [PubMed]
- Attia, A.M.A.; Kulchitskiy, A.R. Influence of the structure of water-in-fuel emulsion on diesel engine performance. Fuel 2014, 116, 703–708. [Google Scholar] [CrossRef]
- Lv, G.; Wang, F.; Cai, W.; Li, H.; Zhang, X. Influences of addition of hydrophilic surfactants on the W/O emulsions stabilized by lipophilic surfactants. Colloids Surf. A Physicochem. Eng. Asp. 2014, 457, 441–448. [Google Scholar] [CrossRef]
- Wang, Z.; Shi, S.; Huang, S.; Tang, J.; Du, T.; Cheng, X.; Huang, R.; Chen, J.-Y. Effects of water content on evaporation and combustion characteristics of water emulsified diesel spray. Appl. Energy 2018, 226, 397–407. [Google Scholar] [CrossRef]
- Wang, Z.; Wu, S.; Huang, Y.; Huang, S.; Shi, S.; Cheng, X.; Huang, R. Experimental investigation on spray, evaporation and combustion characteristics of ethanol-diesel, water-emulsified diesel and neat diesel fuels. Fuel 2018, 231, 438–448. [Google Scholar] [CrossRef]
- Huo, M.; Lin, S.; Liu, H.; Lee, C.F. Study on the spray and combustion characteristics of water–emulsified diesel. Fuel 2014, 123, 218–229. [Google Scholar] [CrossRef]
- Yang, W.M.; An, H.; Chou, S.K.; Chua, K.J.; Mohan, B.; Sivasankaralingam, V.; Raman, V.; Maghbouli, A.; Li, J. Impact of emulsion fuel with nano-organic additives on the performance of diesel engine. Appl. Energy 2013, 112, 1206–1212. [Google Scholar] [CrossRef]
- Park, J.W.; Huh, K.Y.; Park, K.H. Experimental study on the combustion characteristics of emulsified diesel in a rcem. Proc. Inst. Mech. Eng. Part D: J. Automob. Eng. 2000, 214, 579–586. [Google Scholar] [CrossRef]
- Park, S.; Woo, S.; Kim, H.; Lee, K. The characteristic of spray using diesel water emulsified fuel in a diesel engine. Appl. Energy 2016, 176, 209–220. [Google Scholar] [CrossRef]
- Niioka, T.; Sato, J. Combustion and microexplosion behavior of miscible fuel droplets under high pressure. Symp. Combust. 1988, 21, 625–631. [Google Scholar] [CrossRef]
- Ochoterena, R.; Lif, A.; Nydén, M.; Andersson, S.; Denbratt, I. Optical studies of spray development and combustion of water-in-diesel emulsion and microemulsion fuels. Fuel 2010, 89, 122–132. [Google Scholar] [CrossRef]
- Zhu, M.; Zhang, Z.; Zhang, Y.; Liu, P.; Zhang, D. An experimental investigation into the ignition and combustion characteristics of single droplets of biochar water slurry fuels in air. Appl. Energy 2017, 185, 2160–2167. [Google Scholar] [CrossRef]
- Kichatov, B.; Korshunov, A.; Kiverin, A.; Saveliev, A. The role of explosive boiling in the process of foamed emulsion combustion. Int. J. Heat Mass Transf. 2018, 119, 199–207. [Google Scholar] [CrossRef]
- Tarlet, D.; Mura, E.; Josset, C.; Bellettre, J.; Allouis, C.; Massoli, P. Distribution of thermal energy of child-droplets issued from an optimal micro-explosion. Int. J. Heat Mass Transf. 2014, 77, 1043–1054. [Google Scholar] [CrossRef]
- Law, C.K.; Lee, C.H.; Srinivasan, N. Combustion characteristics of water-in-oil emulsion droplets. Combust. Flame 1980, 37, 125–143. [Google Scholar] [CrossRef]
- Volkov, R.S.; Kuznetsov, G.V.; Strizhak, P.A. Influence of droplet concentration on evaporation in a high-temperature gas. Int. J. Heat Mass Transf. 2016, 96, 20–28. [Google Scholar] [CrossRef]
- Shinjo, J.; Xia, J.; Ganippa, L.C.; Megaritis, A. Physics of puffing and microexplosion of emulsion fuel droplets. Phys. Fluids 2014, 26, 103302. [Google Scholar] [CrossRef]
- Ismael, M.A.; Heikal, M.R.; Aziz1, A.R.A.; Crua, C. An Overview of Experimental Techniques of the Investigation of Water-Diesel Emulsion Characteristics Droplets Micro-Explosion. ARPN J. Eng. Appl. Sci. 2016, 11, 11975–11981. [Google Scholar]
- Tarlet, D.; Bellettre, J.; Tazerout, M.; Rahmouni, C. Prediction of micro-explosion delay of emulsified fuel droplets. Int. J. Therm. Sci. 2009, 48, 449–460. [Google Scholar] [CrossRef]
- Mura, E.; Calabria, R.; Califano, V.; Massoli, P.; Bellettre, J. Emulsion droplet micro-explosion: Analysis of two experimental approaches. Exp. Therm. Fluid Sci. 2014, 56, 69–74. [Google Scholar] [CrossRef]
- Khan, M.Y.; Karim, Z.A.A.; Aziz, A.R.A.; Morgan, R.; Crua, C. Puffing and Microexplosion Behavior of Water in Pure Diesel Emulsion Droplets During Leidenfrost Effect Pu ffi ng and Microexplosion Behavior of Water in Pure Diesel. Combust. Sci. Technol. 2017, 189, 1186–1197. [Google Scholar] [CrossRef]
- Califano, V.; Calabria, R.; Massoli, P. Experimental evaluation of the effect of emulsion stability on micro-explosion phenomena for water-in-oil emulsions. Fuel 2014, 117, 87–94. [Google Scholar] [CrossRef]
- Kimoto, K.; Owashi, Y.; Omae, Y. The vaporizing behavior of the fuel droplet of water-in-oil emulsion on the hot surface. Bull. JSME 1986, 258, 4247–4255. [Google Scholar] [CrossRef]
- Mura, E.; Massoli, P.; Josset, C.; Loubar, K.; Bellettre, J. Study of the micro-explosion temperature of water in oil emulsion droplets during the Leidenfrost effect. Exp. Therm. Fluid Sci. 2012, 43, 63–70. [Google Scholar] [CrossRef]
- Mura, E.; Josset, C.; Loubar, K.; Huchet, G.; Bellettre, J. Effect of dispersed water droplet size in microexplosion phenomenon for water in oil emulsion. At. Sprays 2010, 20, 791–799. [Google Scholar] [CrossRef]
- Sechremeli, D.; Stampouli, A.; Stamatoudis, M. Comparison of mean drop sizes and drop size distributions in agitated liquid-liquid dispersions produced by disk and open type impellers. Chem. Eng. J. 2006, 117, 117–122. [Google Scholar] [CrossRef]
- Watanabe, H.; Okazaki, K. Visualization of secondary atomization in emulsified-fuel spray flow by shadow imaging. Proc. Combust. Inst. 2013, 34, 1651–1658. [Google Scholar] [CrossRef]
- Ismael, M.A.; Heikal, M.R.; Aziz, A.R.A.; Syah, F.; Crua, C. The effect of fuel injection equipment on the dispersed phase of water-in-diesel emulsions. Appl. Energy 2018, 222, 762–771. [Google Scholar] [CrossRef]
- Jackson, G.S.; Avedisian, C.T. Combustion of unsupported water-in-n-heptane emulsion droplets in a convection-free environment. Int. J. Heat Mass Transf. 1998, 41, 2503–2515. [Google Scholar] [CrossRef]
- Kim, H.; Won, J.; Baek, S.W. Evaporation of a single emulsion fuel droplet in elevated temperature and pressure conditions. Fuel 2018, 226, 172–180. [Google Scholar] [CrossRef]
- Ismael, M.A.; Heikal, M.R.; Aziz, A.A.; Crua, C. The Effect of Fuel Injection Equipment of Water-In-Diesel Emulsions on Micro-Explosion Behaviour. Energies 2018, 11, 1650. [Google Scholar] [CrossRef]
- Khan, M.Y.; Karim, Z.A.A.; Aziz, A.R.A.; Tan, I.M. A case study on the influence of selected parameters on microexplosion behavior of water in biodiesel emulsion droplets. J. Energy Resour. Technol. 2017, 139, 1–10. [Google Scholar]
- Agrawal, M.; Premlata, A.R.; Tripathi, M.K.; Karri, B.; Sahu, K.C. Nonspherical liquid droplet falling in air. Phys. Rev. E 2017, 95, 033111. [Google Scholar] [CrossRef] [PubMed]
- Khan, M.Y.; Abdul Karim, Z.A.; Aziz, A.R.A.; Tan, I.M. Experimental Investigation of Microexplosion Occurrence in Water in Diesel Emulsion Droplets during the Leidenfrost Effec. Energy & Fuels 2014, 28, 7079–7084. [Google Scholar]
- Lasheas, J.C.; Yap, L.T.; Dryer, F.L. Effect of the ambient pressure on the explosive burning of emulsified and multicomponent fuel droplets. Symp. Combust. 1985, 20, 1761–1772. [Google Scholar] [CrossRef]
- Kadota, T.; Tanaka, H.; Segawa, D.; Nakaya, S.; Yamasaki, H. Microexplosion of an emulsion droplet during Leidenfrost burning. Proc. Combust. Inst. 2007, 31, 2125–2131. [Google Scholar] [CrossRef]
- Ithnin, A.M.; Yahya, W.J.; Ahmad, M.A.; Ramlan, N.A.; Abdul Kadir, H.; Sidik, N.A.C.; Koga, T. Emulsifier-free water-in-diesel emulsion fuel: Its stability behaviour, engine performance and exhaust emission. Fuel 2018, 215, 454–462. [Google Scholar] [CrossRef]








| Water Content (% (v/v)) | Density at 25 °C (kg/m3) | Viscosity at 40 °C (mm2/s) | Calorific Value (MJ/kg) | Surface Tension at 25 °C (N.m) |
|---|---|---|---|---|
| 0 (neat diesel) | 825 | 3.21 | 43.20 | 27.1 |
| 10 | 855 | 9.53 | 39.15 | 23.9 |
© 2018 by the authors. Licensee MDPI, Basel, Switzerland. This article is an open access article distributed under the terms and conditions of the Creative Commons Attribution (CC BY) license (http://creativecommons.org/licenses/by/4.0/).
Share and Cite
A. Ismael, M.; Heikal, M.R.; A. Aziz, A.R.; Crua, C.; El-Adawy, M.; Nissar, Z.; Baharom, M.B.; Zainal A., E.Z.; Firmansyah. Investigation of Puffing and Micro-Explosion of Water-in-Diesel Emulsion Spray Using Shadow Imaging. Energies 2018, 11, 2281. https://doi.org/10.3390/en11092281
A. Ismael M, Heikal MR, A. Aziz AR, Crua C, El-Adawy M, Nissar Z, Baharom MB, Zainal A. EZ, Firmansyah. Investigation of Puffing and Micro-Explosion of Water-in-Diesel Emulsion Spray Using Shadow Imaging. Energies. 2018; 11(9):2281. https://doi.org/10.3390/en11092281
Chicago/Turabian StyleA. Ismael, Mhadi, Morgan R. Heikal, A. Rashid A. Aziz, Cyril Crua, Mohmmed El-Adawy, Zuhaib Nissar, Masri B. Baharom, Ezrann Z. Zainal A., and Firmansyah. 2018. "Investigation of Puffing and Micro-Explosion of Water-in-Diesel Emulsion Spray Using Shadow Imaging" Energies 11, no. 9: 2281. https://doi.org/10.3390/en11092281
APA StyleA. Ismael, M., Heikal, M. R., A. Aziz, A. R., Crua, C., El-Adawy, M., Nissar, Z., Baharom, M. B., Zainal A., E. Z., & Firmansyah. (2018). Investigation of Puffing and Micro-Explosion of Water-in-Diesel Emulsion Spray Using Shadow Imaging. Energies, 11(9), 2281. https://doi.org/10.3390/en11092281

