Abstract
In the wind energy generation system, the brushless doubly-fed induction machine (BDFIM) has shown significant application potential, since it eliminates the electric brush and slip ring. However, the complicated rotor structure increases the control difficulty, especially resulting in complicated coupled terms in the current sub-system, which deteriorates the dynamic performance and reduces the system robustness. In order to address the problems caused by complex coupled terms, an internal model current control strategy is presented for the BDFIM, and an active damping term is designed for suppressing the disturbance caused by the total resistance. The proposed method simplifies the controller parameters design, and it achieves the fast-dynamic response and the good tracking performance, as well as good robustness. On the other hand, the feedforward term composed by the grid voltage is added to the internal model controller in order to suppress the disturbance when the symmetrical grid voltage sag happens. Finally, the simulation and experimental results verify the feasibility and effectiveness of the proposed method.
1. Introduction
The Doubly Fed Induction Generator (DFIG) has been widely used in wind energy generation systems (WEGs), because the capability of its power converter is only about one third the wind turbine power rating [], but the slip rings and electro-brushes of the DFIG lead to frequent maintenance and increases the system cost, especially for offshore wind farms []. The Brushless Doubly Fed Induction Machine (BDFIM) has the outstanding features of no slip rings and electro-brushes, resulting in more robustness and durability than the DFIG [,,]. Furthermore, the BDFIM has two stators, denoted as the power winding (PW) stator and the control winding (CW) stator, and a special designed rotor, where the rotor has two kinds of structures as the squirrel-cage type and the wound-rotor type []. On the other hand, the BDFIM is equivalent to the DFIG in function, which makes the BDFIM is more attractive in terms of the WEG applications [,,].
In terms of the BDFIM control methods, the scalar control has no feedback link and it is difficult to obtain a fast dynamic response []. The direct power control [] and the indirect control scheme [] directly regulate the speed or power by the amplitude and angle of the CW flux, while good dynamic responses are questionable due to the lack of timely current adjustment; on the other hand, direct control methods [,,] require high switching frequency to reduce torque ripples and relies on accurate estimations of torque or flux, thus the vector control method is preferred due to simple control structure and easy implementation. In addition, the single-loop control method simplifies the control algorithm at the sacrifices of tracking performance [], the vector control with the inner current controller is more commonly used in drive system, where the inner current sub-system is designed as a small time constant system in order to achieve good dynamics.
In the inner current sub-system of the BDFIM, complex cross-coupling terms, the back electromotive force (EMF) disturbance and parametric errors increase the difficulty of the controller design and decrease the control performance [,,], while the previous current control methods of the BDFIM have not addressed the problems caused by parametric errors. In addition, effects of complex coupling terms are usually eliminated or suppressed by combining the conventional PI controller and the feedforward control. Different feedforward compensation terms generate diverse total resistances and total leakage inductances of the current sub-system, which directly affect the current controller design and the control performance. In [] the feedforward component consists of the CW flux, the PW flux, and the CW current; In [], the PW flux, the derivative of the PW flux, the PW current and the CW current make up the feedforward component; while the feedforward terms are calculated by the PW current, CW current and their derivatives in []. However, these feedforward terms are very complex, and the compensation performance is guaranteed by precise motor parameters and calculations especially when the derivatives of the current are included. In addition, the above controllers are designed based on the CW resistance of the BDFIM, which is impossible to measure accurately. Simple controller is designed by neglecting the rotor resistance [], but effects of the rotor resistance on the current controller of the BDFIM are not taken into accounts, which inevitably reduces the control performance [,,].
In order to address the problems caused by complex coupling terms and parametric errors and enhance the robustness and dynamic responses of the current controller, an internal model current control strategy with the “active resistance” is proposed in this paper, where effects of the rotor resistance are reduced. In this method, the slow timescale dynamics of the flux sub-system are studied based on the state space mathematical model of the BDFIM, and a detailed design procedure of the current controller is discussed. Also, when the symmetrical PW voltage sag happens, an EMF feedforward term composed by the grid voltage is added in the current controller. Furthermore, the machine parameters are estimated, and the influences of erroneous parameters on the current controller are studied.
This paper is organized as follows: an introduction to the current controller of the BDFIM is discussed in Section 1. The state-space model of the BDFIM in the PW dq synchronous reference frame is introduced in Section 2, and then the dynamics of the flux sub-system is studied. A CW current controller based on the internal model control method is designed in Section 3. The BDFIM parameters are estimated and their effects on the CW current controller are studied in Section 4. Simulation and experimental results are presented in Section 5. Discussions on the feasibility of the proposed method are given in Section 6. Finally, the conclusions are derived in Section 7.
2. System Configuration and Mathematical Model of the BDFIM
The schematic diagram of the BDFIM system is described in Figure 1, where the BDFIM is composed of the PW stator, the CW stator, and the rotor. Usually, the harmonic orders and its components of the rotor windings of the wound-rotor type rotor BDFIM are relatively reduced, and the motor efficiency is high, thus the wound-rotor-type BDFIM is studied in this paper. However, the proposed method is also useful for the first type, because only the fundamental magnetic potential determines the controller design here. The power grid directly connects the BDFIM by the PW stator, and the transformer outputs a suitable voltage to meet the grid-connected requirement. In this system, the BDFIM is regulated by pouring the expected current into the CW stator, and these currents are generated by the power converter.

Figure 1.
The schematic diagram of the brushless doubly fed induction machine system.
2.1. Grid-Flux Orientation
In order to realize the vector control scheme, all the quantities are oriented in the reference frame, which is aligned with a flux linkage. In terms of the DFIG system, in contrast to stator-flux orientation, the flux dynamics and system stability are independent of the rotor current by using grid-flux orientation, while they are equal in the steady state because the stator resistance is neglectable []. Similarly, considering the above features, the BDFIM control is discussed in the grid-flux orientation frame, the dq components of the grid-flux are φgd = |φg| and φgq = 0, where φgd and φgq are the dq components of the grid-flux φg. The orientation angle, denoted as θF, is calculated as:
where θg is the angle of grid voltage vg and obtained by a phase-locked loop (PLL) estimator.
In this case, a dq synchronous reference frame is built by and , where x is the arbitrary variable, the superscripts “dq”, “d”, “q” represent the dq frame, d-axis component and q-axis component, respectively. Then, the rotor current and rotor flux are written as , , where Pp is the number of pole pairs of the PW stator, δ1 is the initial angular position between PW stator and the rotor, and θr is the mechanical rotor angle. The PW and CW variables are , , where “*” represents the conjugate of the vector, the subscripts “p” and “c” represent the PW and the CW, Pc is the number of pole pairs of the CW stator, δ2 is the initial angular position between CW stator and the rotor, the superscripts “αβp” and “αβc” are the stationary coordinate systems of the PW stator and the CW stator, respectively.
2.2. Mathematical Model of the BDFIM
On the basis of the grid-flux orientation frame, the basic mathematical model of the BDFIM [] is expressed as:
where, v, i and ψ are the voltage, current and flux; R, L and M are the resistance, self-inductance and mutual inductance; the subscript “r“ represent the rotor; ωp and ωc are the electric angle frequencies of the PW stator and the CW stator, and ωr is the mechanical angular frequency of rotor, respectively.
Taking the CW stator current ic, the PW stator flux ψp and the rotor flux ψr as state variables, the state-space BDFIM model is derived from Equations (2)–(7), and it is given as:
where Lσ and Rt are the equivalent leakage inductance and equivalent total resistance; ωslc is the slip frequency of the CW stator and ωslc = ωp − (Pp + Pc)ωr; Xψ, Aψ, and Bψ are the state matrix, the dynamic matrix and the input matrix, and , , ; E is the back electromotive force and ; the detailed parameters are given in Appendix.
As shown in Equations (8) and (9), the BDFIM is a multi-variable system (containing PW stator flux, rotor flux, and the CW current), which consists of the current sub-system and the flux sub-system. In order to independently analyze and control the current sub-system, the stability of the flux sub-system is subsequently discussed.
2.3. Stability Analysis of the Flux Sub-System
In the flux sub-system, the poles of the system transfer function are placed at the eigenvalues of Aψ, while the system is stable when the poles are located on the left half-plane. However, it is difficult to directly obtain the poles. In this case, the Routh-Hurwitz stability criterion is adopted to estimate the range of the poles.
Usually, the Routh-Hurwitz stability criterion is used in the vector spaces with real numbers, then the matrix is transformed to , which is expressed as:
where , .
The characteristic polynomial of is expressed as:
where .
Then, a set of four determinants is achieved from coefficients of 4th-degree characteristic polynomial Equation (11), and the coefficients used to estimate the system stability are expressed as:
where , .
Obviously, the coefficients in (12) are positive and D1 > 0, D2 > 0, D3 > 0, D4 > 0, thus the stability conditions are satisfied according to the Routh-Hurwitz stability criterion, and the real parts of eigenvalues of are negative.
In order to estimate the range of poles of the flux sub-system, a new characteristic polynomial equation is constructed by adding δI2 to , which is expressed as:
The coefficients of Equation (13) are calculated as:
Similarly, the new system is stable since all the coefficients in Equation (14) are positive, and the eigenvalues of Equation (13) are located on the left half-plane. Normally, the eigenvalues of N and -N are symmetric about the imaginary axis, real parts of the eigenvalues of are consequently larger than −δ, and real components of the poles of flux dynamic system Equation (10) are placed between −δ and zero on the left half-plane.
Without loss of generality, the CW current loop is designed as a high-gain feedback system, and then the DFIG system described by Equations (8) and (9) is a singularly perturbed system, where the fluxes are considered as the slowly varying variables and the current has a fast timescale dynamic. Since the flux sub-system is stable as discussed above, the current sub-system can be dependently controlled, where the fluxes are assumed in the steady-state. More details about the current controller design are given in the following part.
3. Design of the CW Current Controller
In the BDFIM drive system, both the power generation and rotor speed control can be achieved by properly adjusting the CW current as discussed in [,,], where a well-designed current controller is a prerequisite for the normal operation of the BDFIM system. In this part, the design details of the CW current controller are discussed, which aims to track the CW current command under the disturbance of the coupling terms and BDFIM parametric errors as shown in Equation (8). In order to achieve this aim, the proposed current controller is designed based on the internal model method [], and an active damping controller is added to increase the robustness of the system.
3.1. Internal Model Current Control
By applying the Laplace transform, the current sub-system Equation (8) is expressed as:
where Y(s) and U(s) are the system input and the system output respectively, and they are and , icd, icq, vcd and vcq are the d-axis component and q-axis component of ic and vc, respectively; G(s) is the controller system and ; is the back EMF and , where ψpd, ψpq, ψrd, ψrq, vpd and vpq are the d-axis component and q-axis compent of ψp, ψr and vp, respectively.
The typical internal model control diagram is shown in Figure 2, R(s) is the system input reference and , is the internal model of the current sub-system, and FIMC(s) is the equivalent current controller, where CIMC(s) is the internal model controller and it is usually designed as:
where LR(s) is the feedforward filter designed to enhance the controller robustness.

Figure 2.
Schematic diagram of the internal model control method.
It can be seen from Equation (8) that the current sub-system is a first-order system, then LR(s) is designed to be a first-order filter and it is expressed as:
where αb is the desired closed-loop bandwidth of the CW current sub-system.
According to Equations (16) and (17), the equivalent current controller is designed as:
where , , , and “^” represents the estimated value. From Equation (18), the proposed controller consists of a conventional PI controller and a decoupling controller, which is able to eliminate the effects of the uncertain disturbance by designing a proper αb, consequently the control performance is improved.
Additionally, Rt highly depends on the motor parameters, and the control performance is degraded when Rt is inaccurate. In order to improve the robustness to the parameter variations, the active damping term Ri, constructed by the feedback control of the current with a gain, is inserted in the proposed controller. When Ri is designed as Ri >> Rt, the current is instantaneously controlled within the control bandwidth, and the current controller is robust to the variation of Rt []. In this paper, the active damping controller FR(s) is expressed as:
Therefore, the proposed current controller is designed based on Equations (18) and (19). According to Figure 2, the CW stator voltage is written as:
where, FPI(s) is the PI controller described as the first term in Equation (18), EC(s) is the current tracking error and .
From Equations (15)–(20), when the internal model is perfect and , the CW current is calculated as:
It can be seen from Equation (21) that Y(s) = R(s) at steady-state and the CW currents converge to the reference value R(s), the second term of Equation (21) is trivial and equals to zero in steady state by selecting a suitable αb, thus the proposed method achieves the control goal and has the anti-disturbance ability.
3.2. Controller Parameters Design
In order to guarantee that the CW current sub-system has a faster timescale dynamics than that of the flux sub-system, the bandwidth of the current controller is designed much larger than the real parts of the flux sub-system poles. However, the large αb achieves a good tracking performance, while the control performance is susceptible to disturbance. In this case, the bandwidth is designed as:
On the other hand, the PW flux and PW voltage are constant within the timescale of the CW current sub-system, consequently the CW current sub-system behaves as a first-order system, where the time constant is 1/αb. In order to obtain well control performance, the bandwidth αb is related to the 10–90% of the rise time trc and αbtrc = ln9 ≈ 2.2.
In practice, the control method is implemented in the discrete-time system, where the bandwidth should be smaller than the sampling angular frequency ωsamp [], so as to avoid the interference caused by the high-frequency PWM signals. In this paper, the upper bound of αb is:
3.3. Controller Design at the Symmetrical PW Voltage Sag Case
Since the flux sub-system shows the slow timescale dynamic feature, the EMF term FE is divided into two parts within the timescale of the current sub-system as Eslow and Efast, and , , where the fluxes and the PW voltage are the quasi-constant. In order to compensate the disturbance caused by the voltage sags, is added to the feedforward components, where “” is the estimated value of w11. Therefore, the improved CW current regulator is designed as:
when the parameters match and , from Equations (15) and (24), the CW current is calculated as:
Similarly, since the fluxes are considered as constant within a current control period, the CW current tracks the reference value in the steady state, and the tracking error approaches zero. Finally, the overall diagram of the current controller is given in Figure 3, where it consists of the internal model current controller in Equation (18), the active damping controller in Equation (19), and the feedback term composed by the PW voltage. Considering that the expected rotor speeds and power both are achieved by adjusting the CW stator current, and these outer loop control methods can refer to the existing references as discussed in Section 1, thus only the inner current controller is addressed and verified in this paper.

Figure 3.
Schematic diagram for the CW current control of the brushless doubly-fed induction machine drive system.
4. Parameter Estimation and Its Influence on Control Performance
From Equations (18), (19) and (24), a good control performance is guaranteed by three parameters: the total leakage inductance Lσ, the total resistance Rt, and w11, which are related to the motor parameters. Therefore, these parameters are measured and the parametric errors on the control performance are analyzed.
4.1. Parameter Estimation
As described in the Appendix, Lσ is complex to calculate and it relates to many motor parameters, where some of them are difficult to directly obtain. Since the leakage inductances of the PW stator, CW stator, and rotor, denoted as L1p, L1c, and L1r, are much smaller compared with the self-inductance and mutual inductance, takes the second-order Taylor series expansion of Lσ at L1p = L1c = L1r = 0 so as to simplify the estimation of Lσ, and then is expressed as:
Similarly, since Rt is larger than the leakage inductances, the first-order Taylor series expansion of Rt around L1p = L1c = L1r = 0 is used to obtain , which is expressed as:
Meanwhile, is calculated as the first-order Taylor series expansion of w11 around L1p = L1c = L1r = 0, which leads to:
It can be seen from the above analyses that and are obtained as the sum of the leakage inductances and the sum of the resistances, which are measured from the single-equivalent phase of the BDFIM shown in Figure 4. The high-frequency AC voltage source is connected to the PW terminals of the BDFIM, and the CW terminals are in short-circuit case, where the applied power source can be provided by the power converter or an impedance analyzer. Because the impedance of Mp and Mc are much larger than the leakage inductance, the mutual inductance path is considered as open-circuited, which is illustrated by the dashed lines in Figure 4. Consequently, the equivalent impedance is equal to , where ωac is the electric angular frequency of the AC source. Referring to the Circuit Theory, and are calculated by the amplitude and the phase of the excited current and the voltage of the applied AC power source.

Figure 4.
Measure circuit diagram of a single-equivalent phase of the brushless doubly-fed induction machine.
4.2. Effects of the Parametric Errors on Control Performance
As discussed above, the total resistance Rt and the total leakage inductance Lσ are the main factors affecting the control performance, because w11 is approximately constant. For Rt, the active resistance Ri is incorporated in the current control to suppress its influence, where Ri is designed as Ri ≥ 5Rt here. Combing with Equation (19), when the bandwidth αb satisfies Equation (29), the parameter error of Rt has no effects on the control performance:
In terms of Lδ, assuming that matches Lδ and the parameter error is defined as , the CW current in Equation (21) is derived by estimating as the first-order Taylor series expansion of at , which is expressed as:
It can be seen from Equation (30) that the CW current tracks the reference value at steady state and effects of are eliminated, since Y(s) = R(s) when the time approaches infinity according to the Final Value Theorem. Thus, the small parametric error of the leakage inductance does not influence the poles’ location of the CW current sub-system, consequently the dynamic performance is not significantly influenced.
5. Simulation and Experimental Result
5.1. Simulation
In order to evaluate the correctness of the proposed CW current control method, a 30 kW BDFIM system is established in the MATLAB/Simulink platform (MATLAB 7.0), where the machine parameters are listed in Table 1. The total resistance and the total leakage inductance are 1.63183 Ω and 0.0147 H, which are calculated by the computer numerical simulations. In the current controller, the sampling frequency fsamp of the control loop is 4 kHz, the controller parameters are designed based on the calculations of (22), (23) and (29) as discussed in Section 3.2 and Section 4.2, the bandwidth αb is designed as 300π rad/s on the basis of the BDFIM parameters, while the rise time trc is 2.33 ms. In order to prevent the integrator windup in the over modulation range, the integrators of PI controllers are updated by a modified error, which is the “back-calculated” error [].

Table 1.
Parameters of 30 kW BDFIM provided by manufacturer.
5.1.1. Dynamic Responses
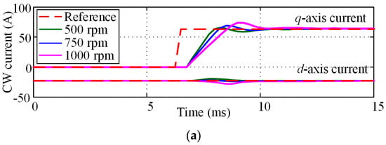
In this case, the q-axis reference current changes from 0 A to 63 A, and then it decreases from 63 A to 0 A, where the BDFIM is entirely magnetized from the CW stator side. Figure 5 shows the simulation results of the CW current at different rotor speeds respectively. The 500 rpm, 750 rpm, and 1000 rpm lines correspond to the sub-synchronous mode, synchronous mode, and sup-synchronous mode of the BDFIM, respectively. The rise time of the CW current mainly depends on the designed values, but it is slightly affected at various speeds, and the current icq takes a long time to track the reference value at the high rotor speed. This is because that the CW output voltage saturates during the transient process at various speeds, due to the limit of the dc-link-voltage.


Figure 5.
Dynamic responses of the CW current at different speeds (measure (solid); reference (dashed)). (a) icq changes from 0 A to 63 A; (b) icq decrease from 63 A to 0 A.
Furthermore, as shown in Figure 6a, when the DC-link voltage is high enough and it does not affect the output voltage of the power converter, an equal rise time of the current controller is achieved, and the dynamic response of CW currents at different speeds are same. However, there is a slight fluctuation since the sampling frequency fsamp of the control loop is low. When fsamp increases to 20 kHz, the fluctuation of the CW q-axis currents vanishes as shown in Figure 6b.

Figure 6.
Dynamic responses of the CW current at different speeds (measure (solid); reference (dashed)). (a) fsamp is 4 kHz; (b) fsamp is 20 kHz.
5.1.2. Control Performance with Different Estimated Parameters
Figure 7 illustrates the dynamic responses of the CW currents with different estimated parameters at 750 rpm, where the cases of the estimation errors of ±20% of the total resistance and the total leakage inductance are discussed. In Figure 8a, the q-axis CW current reference changes from 0 A to 63 A, where the zoom-in waveforms of are given in the lower figure. Also, the transient response when it changes from 63 A to 0 A is shown in Figure 8b. It can be seen that the parametric error of the estimated total resistance has tiny effects on the dynamic responses of the CW currents, while large overshoots are generated for the case with parametric errors of the total leakage inductance . However, because the poles’ location of the CW current sub-system, the estimation errors of and have slight impacts on the rise time of the CW current responses.

Figure 7.
Dynamic responses of the CW currents with different estimated parameters at 750 rpm (measure (solid); reference (dashed)). (a) icq changers from 0 A to 63 A; (b) icq decreases from 63 A to 0 A.


Figure 8.
Dynamic responses of the CW currents at 500 rpm when the PW voltages symmetrically sag (Measure (solid); reference (dashed)). (a) Waveforms within 200 ms; (b) zoom-in waveforms within 20 ms.
5.1.3. Dynamic Responses with Symmetrical Voltage Sags
The case when the PW voltages symmetrically drop to zero is studied, where the rotor speed is 500 rpm and is 63 A. The control performance of the feedback control in the proposed controller is shown in Figure 8a, and a zoom-in waveform of icq is given in Figure 8b. When the PW voltage sags happen, the reference current changes to 0 A, and fluctuations of the CW q-axis current without the PW voltage feedforward is almost two times larger than that with the PW voltage feedforward control. In this case, the proposed method achieves a good dynamic response.
5.2. Experimental Results
Figure 9 shows the experimental rig of the BDFIM system, the PW stator of the BDFIM is directly connected to the power grid (380 V/50 Hz), and the CW stator of the BDFIM is fed by a PWM inverter, and more details are discussed in []. The CW current control algorithm is implemented by the digital signal processor (DSP, TMS32028335), and the field-programmable gate array (FPGA, EP2C8J144C8N) generates the drive signals for the insulated gate bipolar transistor (IGBT). The total resistance and the total leakage inductance are measured by an impedance analyzer, which are 1.63183 Ω and 0.009 H, respectively.

Figure 9.
The brushless doubly-fed induction machine test rig.
Figure 10 shows the dynamic waveforms of the CW currents at the rotor speeds of 500 rpm, 750 rpm, 1000 rpm, and the parameters of the controller are same as that in the simulation. It can be seen that the rise time of the CW currents at high rotor speed is larger than that of the low speed, which is consistent with the simulation results. Because the estimated motor parameters have slight errors compared with the practical parameters, the currents have larger fluctuations than the simulation. However, these can be eliminated by increasing the sampling frequency as discussed above. Furthermore, due to the limit of the DC-link voltage, the CW voltage may be saturated during the adjusted process. Consequently, the rise time of CW current at various speeds are slightly different.

Figure 10.
Dynamic responses of the CW current at different speeds (measure (solid); reference (dashed)). (a) icq changes from 0 A to 63 A; (b) icq decreases from 63 A to 0 A.
Subsequently, the effects of motor parametric errors on the control performance are studied. Figure 11 illustrates the experimental results of dynamic responses of the CW current at 750 rpm, and the zoom-in waveforms of icq are given in the lower figure. When the motor parameters have 20% errors, the controller can adjust the CW currents to reach the expected values, and the robustness of the controller is verified. Also, the rise time at different parametric errors has slight difference, since the CW current dynamic has the same poles. On the other hand, it can be seen from the zoom-in waveforms that the dynamic performance is worse when the total leakage inductance has parametric errors, compared with the case that the total resistance has ±20% errors, and the overshoots of CW currents are large at 1.2 . In this case, the estimated total resistance has fewer effects on the dynamic responses of the CW currents than that of the estimated total leakage inductance, since the active damping terms are incorporated in the proposed method.

Figure 11.
Dynamic responses of the CW current with different estimated parameters at 750 rpm (measure (solid); reference (dashed)). (a) icq changes from 0 A to 63 A; (b) icq decreases from 63 A to 0 A.
6. Discussion
In this part, the feasibility of the proposed method is further discussed, the comparison between the proposed method and the conventional method is conducted, and its practicality is verified by generating the expected CW currents with wind speed data.
6.1. Comprisons between the Proposed Method and the Conventional Control Method
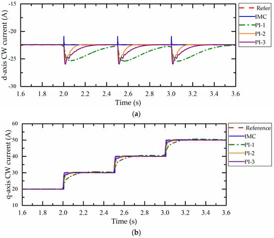
Compared with the PI controller in [], the controller parameters are related to the easily measured values of the total resistance and the total inductance, while it takes a lot of effort to adjust the controller parameters of the conventional methods by trial and error methods; the proposed method eliminates the complex feedforward terms composed by the motor parameters and variables, which achieves fast-dynamic response and greatly reduces the effects caused by the parametric errors.
Figure 12 shows simulation results with the proposed method and the PI control methods using different feedforward terms at 900 rpm, where the current reference changes between 20 A, 30 A, 40 A and 50 A at 2.0 s, 2.5 s, and 3.0 s, respectively. In PI-1, PI-2 and PI-3 methods, no feedforward term, feedforward terms composed by the CW currents and the PW flux in steady state, feedforward terms consisting of CW currents are added in the controller, respectively. It can be seen from Figure 12 that the overshoot amplitudes with the proposed method are about 2 A, which is much smaller than that of the other methods, the proposed method quickly achieves the reference value, where the long time is required to reach the steady state in other methods. In addition, a good control performance is achieved when the feedforward term is composed by the relatively accurate EMF term. Therefore, the proposed method has the faster dynamic response and well steady state performance, which has the ability to quickly track the current reference.

Figure 12.
Dynamic responses of the CW current with different control methods. (a) icd; (b) icq.
6.2. Dynamic Perfromance with Variable Wind Speeds
In practice, the wind speed fluctuates with time, and a series of wind speed data is shown in Figure 13, where the sampling time is one second. In the WEGs, assuming that the cut-in wind speed is 4 m/s, the cut-out wind speed is 25 m/s and the rated wind speed is 12 m/s, thus the output power of the BDFIM is time-varying because of the fluctuations of the wind speed. Consequently, when the BDFIM works in the WEGs, the CW current reference obtained from the outer loop of the power or the rotor speed changes with time. According to [], wind speeds lead to different rotor speeds at different operation modes. In order to clearly discuss the feasibility of the proposed method in the WEGs, two scenarios when the wind speed is below the rated wind speed (denoted as Case I) and the speed is below and above the rated wind speed (denoted as Case II) are studied in this paper, but it should be noted that the proposed method is capable of operating at any wind speed as given in Figure 13. Assuming that the output power follows the maximum power point tracking method, the rotor speed varies with the wind speed in case I so as to obtain the maximum output power; while the output power achieves the rated value when the wind speed is higher than 12 m/s.

Figure 13.
The wind speed series with the sample time of one second.
Figure 14 shows the CW current waveforms with the proposed method in Case I, the output power varies with the wind speeds to achieve a maximum value, consequently the q-axis current reference changes with the wind speeds, where the d-axis current reference is constant to guarantee zero reactive power. It can be seen that the CW currents have overshoots within 0.5 A when the wind speed changes, and they quickly reach the steady state with tiny tracking errors. In Case II, the output power achieves the rated value when the wind speed is higher than 12 m/s, the q-axis current reference reaches the maximum value, and the CW currents are shown in Figure 15. Similarly, the q-axis current tacks the references when the wind speed changes, while the d-axis current shows the short-time fluctuations, where the overshoots are within 2 A, and it quickly achieves the steady state. Since the fluctuations of the wind speed are higher in Figure 15, the variations of the CW currents are larger, especially the d-axis CW currents. Compared with Figure 14, icq keeps the maximum value at some wind speeds as given at t = 30 s, while the CW currents track the references and they are adjusted with the wind speeds in both two cases. Therefore, the proposed method is able to be used in the WEGs, which achieves a good dynamic performance and the tracking errors are tiny.

Figure 14.
Dynamic responses of the CW currents in Case I.

Figure 15.
Dynamic responses of the CW currents in Case II.
7. Conclusions
In this paper, a state-space mathematical model of the BDFIM is established by selecting the PW flux, the rotor flux and the CW current as state variables, the slow dynamic characteristics of the flux sub-system is analyzed, and then the current sub-system is independently designed. In order to eliminate the effects of coupling terms and the parametric errors on the control performance, the internal model current control method with an active damping controller is proposed. Compared with the conventional method, the proposed method simplifies the design of controller parameters, it achieves a fast-dynamic response by designing a suitable bandwidth of the current controller when the rotor speed is variable and the current references change. Furthermore, the feedforward compensator composed by the EMF is studied when the PW voltage sags. The simulation and experimental results verify the correctness and feasibility of the proposed method, and the control performance is slightly affected by the erroneous parameters.
Author Contributions
All authors have worked on this manuscript together and all authors have read and approved the final manuscript.
Funding
This work was supported by the National Natural Science Foundation of China under Grants 51677195.
Conflicts of Interest
The authors declare no conflicts of interest.
Appendix
Coefficients of the state-space mathematical model of the BDFIM are listed as:
References
- Song, D.; Yang, J.; Fan, X.; Liu, Y.; Liu, A.; Chen, G.; Joo, Y.H. Maximum power extraction for wind turbines through a novel yaw control solution using predicted wind directions. Energy Convers. Manag. 2018, 157, 587–599. [Google Scholar] [CrossRef]
- Yaramasu, V.; Wu, B.; Sen, P.C.; Kouro, S.; Narimani, M. High-Power Wind Energy Conversion Systems: State-of-the-Art and Emerging Technologies. Proc. IEEE 2015, 103, 740–788. [Google Scholar] [CrossRef]
- Williamson, S.; Ferreira, A.C.; Wallace, A.K. Generalised theory of the brushless doubly-fed machine. I. Analysis. IEE Proc.-Electr. Power Appl. 1997, 144, 111–122. [Google Scholar] [CrossRef]
- Zheng, P.; Wu, Q.; Zhao, J.; Tong, C.; Bai, J.; Zhao, Q. Performance Analysis and Simulation of a Novel Brushless Double Rotor Machine for Power-Split HEV Applications. Energies 2012, 5, 119–137. [Google Scholar] [CrossRef]
- Xiong, F.; Wang, X. Design of a low-harmonic-content wound rotor for the brushless doubly fed generator. IEEE Trans. Energy Convers. 2014, 29, 158–168. [Google Scholar] [CrossRef]
- Ou, L.; Wang, X.; Xiong, F.; Ye, C. Reduction of torque ripple in a wound-rotor brushless doubly-fed machine by using the tooth notching. IET Electr. Power Appl. 2018, 12, 635–642. [Google Scholar] [CrossRef]
- Peng, H.; Cheng, M.; Luo, R. Design and Analysis of a Brushless Doubly-Fed Induction Machine With Dual-Stator Structure. IEEE Trans. Energy Convers. 2016, 31, 1132–1141. [Google Scholar]
- Xia, C.; Hou, X. Study on the Static Load Capacity and Synthetic Vector Direct Torque Control of Brushless Doubly Fed Machines. Energies 2016, 11, 966. [Google Scholar] [CrossRef]
- Strous, T.D.; Polinder, H.; Ferreira, J.A. Brushless doubly-fed induction machines for wind turbines: Developments and research challenges. IET Electr. Power Appl. 2017, 11, 991–1000. [Google Scholar] [CrossRef]
- Sarasola, I.; Poza, J.; Oyarbide, E.; Rodríguez, M.Á. Stability analysis of a brushless doubly-fed machine under closed loop scalar current control. In Proceedings of the IECON 2006-32nd Annual Conference on IEEE Industrial Electronics, Paris, France, 6–10 November 2006; pp. 1527–1532. [Google Scholar]
- Hu, J.; Zhu, J.; Dorrell, D.G. A new control method of cascaded brushless doubly fed induction generators using direct power control. IEEE Trans. Energy Convers. 2014, 29, 771–779. [Google Scholar] [CrossRef]
- Zhao, R.; Zhang, A.; Ma, Y.; Wang, X.; Yan, J.; Ma, Z. The dynamic control of reactive power for the brushless doubly fed induction machine with indirect stator-quantities control scheme. IEEE Trans. Power Electron. 2015, 30, 5046–5057. [Google Scholar] [CrossRef]
- Sarasola, I.; Poza, J.; Rodriguez, M.A.; Abad, G. Direct torque control design and experimental evaluation for the brushless doubly fed machine. Energy Convers. Manag. 2011, 52, 1226–1234. [Google Scholar] [CrossRef]
- Li, K.; Huang, S. Direct Flux Control for Stand-Alone Operation Brushless Doubly Fed Induction Generators Using a Resonant-Based Sliding-Mode Control Approach. Energies 2018, 11, 814. [Google Scholar]
- Xia, C.; Ho, X.; Chen, F. Flux-Angle-Difference Feedback Control for the Brushless Doubly Fed Machine. Energies 2018, 11, 1–16. [Google Scholar]
- Shao, S.; Abdi, E.; Barati, F.; McMahon, R. Stator-flux-oriented vector control for brushless doubly fed induction generator. IEEE Trans. Ind. Electron. 2009, 56, 4220–4228. [Google Scholar] [CrossRef]
- Protsenko, K.; Xu, D. Modeling and control of brushless doubly-fed induction generators in wind energy applications. IEEE Trans. Power Electron. 2008, 23, 1191–1197. [Google Scholar] [CrossRef]
- Poza, J.; Oyarbide, E.; Sarasola, I.; Rodriguez, M. Vector control design and experimental evaluation for the brushless doubly fed machine. IET Electr. Power Appl. 2009, 3, 247–256. [Google Scholar] [CrossRef]
- Liu, Y.; Ai, W.; Chen, B.; Chen, K.; Luo, G. Control design and experimental verification of the brushless doubly-fed machine for stand-alone power generation applications. IET Electr. Power Appl. 2016, 10, 25–35. [Google Scholar] [CrossRef]
- Tohidi, S. Analysis and simplified modelling of brushless doubly-fed induction machine in synchronous mode of operation. IET Electr. Power Appl. 2016, 10, 110–116. [Google Scholar] [CrossRef]
- Tohidi, S.; Oraee, H.; Zolghadri, M.R.; Shao, S.; Tavner, P. Analysis and enhancement of low-voltage ride-through capability of brushless doubly fed induction generator. IEEE Trans. Ind. Electron. 2013, 60, 1146–1155. [Google Scholar] [CrossRef]
- Long, T.; Shao, S.; Abdi, E.; McMahon, R.A.; Liu, S. Asymmetrical low-voltage ride through of brushless doubly fed induction generators for the wind power generation. IEEE Trans. Energy Convers. 2013, 28, 502–511. [Google Scholar] [CrossRef]
- Chen, J.; Zhang, W.; Chen, B.; Ma, Y. Improved Vector Control of Brushless Doubly Fed Induction Generator under Unbalanced Grid Conditions for Offshore Wind Power Generation. IEEE Trans. Energy Convers. 2016, 31, 293–302. [Google Scholar] [CrossRef]
- Petersson, A.; Harnefors, L.; Thiringer, T. Comparison between stator-flux and grid-flux-oriented rotor current control of doubly-fed induction generators. In Proceedings of the 2004 IEEE 35th Annual Power Electronics Specialists Conference, Aachen, Germany, 20–25 June 2004; pp. 482–486. [Google Scholar]
- Yang, J.; Tang, W.; Zhang, G.; Sun, Y.; Ademi, S.; Blaabjerg, F.; Zhu, Q. Sensorless Control of Brushless Doubly-Fed Induction Machine Using a Control Winding Current MRAS Observer. Trans. Ind. Electron. 2018. [Google Scholar] [CrossRef]
- Barati, F.; McMahon, R.; Shao, S. Generalized vector control for brushless doubly fed machines with nested-loop rotor. IEEE Trans. Ind. Electron. 2013, 6, 2477–2485. [Google Scholar] [CrossRef]
- Harnefors, L.; Nee, H.P. Model-based current control of AC machines using the internal model control method. IEEE Trans. Ind. Appl. 1998, 34, 133–141. [Google Scholar] [CrossRef]
- Sul, S.K. Control of Electric Machine Drive Systems; John Wiley & Sons: Hoboken, NJ, USA, 2011. [Google Scholar]
- Harnefors, L.; Pietilainen, K.; Gertmar, L. Torque-maximizing field-weakening control: Design, analysis, and parameter selection. IEEE Trans. Ind. Electron. 2005, 48, 161–168. [Google Scholar] [CrossRef]
- Burton, T.; Jenkins, N.; Sharpe, D.; Bossanyi, E. The Wind Resource, in Wind Energy Handbook; John Wiley & Sons, Ltd.: Chichester, UK, 2001. [Google Scholar]
© 2018 by the authors. Licensee MDPI, Basel, Switzerland. This article is an open access article distributed under the terms and conditions of the Creative Commons Attribution (CC BY) license (http://creativecommons.org/licenses/by/4.0/).