Proposal for a General Atmospheric Correction Method of Breakdown and Withstand Voltages of Air-Gap Insulated Configurations Based on a Streamer–Leader Differentiated Model of the Breakdown Process
Abstract
:1. Introduction
2. State of Knowledge
2.1. Overview of Studies and Model Concepts
2.2. Currently Standardized Atmospheric Correction Methods
2.3. Current Problems
2.4. Recent Dedicated Groundwork
3. Research Proposal Outline
- Electrical and optical measurements with different configurations, voltage forms and gap distances in dependence and variation of the ambient parameters air pressure, air humidity, temperature and air conductivity;
- Development of physical model of breakdown process through sub-process differentiated analysis and evaluation of electrical and optical measurement data;
- Derivation of universal atmospheric correction method for breakdown and withstand voltages in dependence of atmospheric parameters, configuration and voltage form.
3.1. Measurements
- Combined short air-gap configuration study and atmospheric parameter study:
- isolated test chamber with the possibilities to control and change the atmospheric parameters air pressure, air humidity, temperature and air conductivity (the latter through controlled UV-light-emission);
- rod-plane and rod-rod configurations;
- positive SI voltage and sample-wise further voltage forms;
- gap distances up to 1.5 m (leader initiation at 0.8 m for rod-plane configuration with LI voltage [3]);
- Long air-gap configuration study:
- test site at de facto standard atmospheric conditions;
- rod-plane and rod-rod configurations and sample-wise further configurations;
- positive SI voltage and sample-wise further voltage forms;
- gap distances from 1.0 m upwards;
- Verification study:
- various test sites at different altitudes in Germany (DE), Iran (IR) and China (CN) (equals not controllable, though different atmospheric conditions);
- rod-plane and rod-rod configurations and sample-wise further configurations;
- positive SI voltage and sample-wise further voltage forms;
- gap distances from 0.5 m upwards.
3.2. Hypothetical Atmospheric Correction Method Based on Physical Breakdown Model
- At the installation site of a freely chosen altitude A, arbitrary conditions of the surrogate atmospheric parameter X apply. Based upon the -curves (either already known for typical model configurations, or calculated through ), first, the co-ordination withstand voltage (part of the dimensioning process) for a given configuration is employed in to obtain the corresponding gap distance at standard atmospheric conditions. Then, using , the corresponding streamer and leader lengths and at standard atmospheric conditions are calculated.
- Using and , the real streamer and leader lengths and at the atmospheric conditions of the installation site can be calculated. The initially calculated gap distance at standard atmospheric conditions can then be corrected to the value , representing the necessary, real gap distance at the atmospheric conditions of the installation site.
- The necessary rated withstand voltage can be calculated through the -curves by employing the corrected gap distance d of step 2. represents the required testing withstand voltage of the equipment at standard atmospheric conditions.
4. Conclusions
Acknowledgments
Author Contributions
Conflicts of Interest
Abbreviations
| CN | China |
| DE | Germany |
| IR | Iran |
| LI | Lightning Impulse |
| RP | Rod-Plane Configuration |
| SI | Switching Impulse |
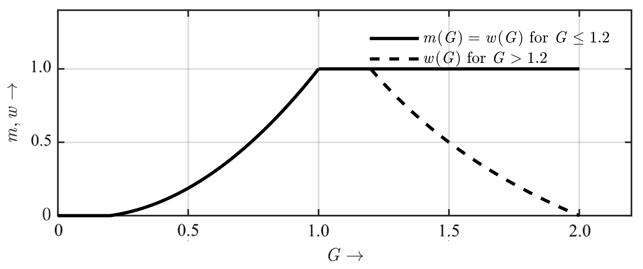
Appendix A. Comparison of Original and Re-Determined m(Ucw)-Characteristics of IEC 60071-2

Appendix B. Additional Information
Appendix B.1. Comments on Aspects of Humidity
Appendix B.2. Comments on the Gap Factor K
Appendix B.3. Comments on Positive Switching Impulse Voltage
Appendix B.4. Comments on the Equivalences between Breakdown and Withstand Voltages
Appendix B.5. Comments on Altitude Correction Methods
Appendix B.6. Comments on the Definition of the proposed Configuration Factor CC
Appendix B.7. Comments on the proposed Correction Algorithm
References
- High-Voltage Test Techniques—General Definitions and Test Requirements; IEC: Geneva, Switzerland, 2010; IEC 60060-1.
- Insulation Co-Ordination—Application Guide; IEC: Geneva, Switzerland, 1996; IEC 60071-2.
- Shirvani, A.; Gürlek, A.; Malekian, K.; Schufft, W. An Analysis of the Lightning Breakdown and its Analogies to the Switching Breakdown. In Proceedings of the 19th International Symposium on High Voltage Engineering (ISH 2015), Pilsen, Czech Republic, 23–28 August 2015. [Google Scholar]
- Paris, L.; Cortina, R. Switching and Lightning Impulse Discharge Characteristics of Large Air Gaps and Long Insulator Strings. IEEE Trans. Power Appar. Syst. 1968, PAS-87, 947–957. [Google Scholar] [CrossRef]
- Lemke, E. Durchschlagmechanismus und Schlagweite-Durchschlagspannungs-Kennlinien von Inhomogenen Luftfunkenstrecken bei Schaltspannungen. Ph.D. Thesis, TU Dresden, Dresden, Germany, 1967. [Google Scholar]
- Group, L.R. Research on long air gap discharges at Les Renardières—1973 results. Electra 1973, 35, 49–156. [Google Scholar]
- Hutzler, B.; Hutzler-Barre, D. Leader Propagation Model for Predetermination of Switching Surge Flashover Voltage of Large Air Gaps. IEEE Trans. Power Appar. Syst. 1978, PAS-97, 1087–1096. [Google Scholar] [CrossRef]
- Gallimberti, I.; Hepworth, J.K.; Klewe, R.C. Spectroscopic investigation of impulse corona discharges. J. Phys. D Appl. Phys. 1974, 7, 880. [Google Scholar] [CrossRef]
- Baldo, G.; Gallimberti, I.; Garcia, H.; Hutzler, B.; Jouaire, J.; Simon, M. Breakdown phenomena of long gaps under switching impulse conditions influence of distance and voltage level. IEEE Trans. Power Appar. Syst. 1975, 94, 1131–1140. [Google Scholar] [CrossRef]
- Rizk, F.A.M. Influence of rain on switching impulse sparkover voltage of large-electrode air gaps. IEEE Trans. Power Appar. Syst. 1976, 95, 1394–1402. [Google Scholar] [CrossRef]
- Rizk, F.A.M. Effect of Large Electrodes on Sparkover Characteristics of Air Gaps and Station Insulators. IEEE Trans. Power Appar. Syst. 1978, PAS-97, 1224–1231. [Google Scholar] [CrossRef]
- Cigre, W.G. Switching Overvoltages in EHV and UHV Systems with special Reference to Closing and Reclosing Transmission Lines. Electra 1973, 30, 70–122. [Google Scholar]
- Ramírez, M.; Moreno, M.; Pigini, A.; Rizzi, G.; Garbagnati, E. Air Density Influence on the Strength of External Insulation under Positive Impulses: Experimental Investigation up to an Altitude of 3000 m a.s.l. IEEE Trans. Power Deliv. 1990, 5, 730–737. [Google Scholar] [CrossRef]
- Rizk, F.A.M. Critical switching impulse strength of long air gaps: Modelling of air density effects. IEEE Trans. Power Deliv. 1992, 7, 1507–1515. [Google Scholar] [CrossRef]
- Gutman, I.; Pigini, A.; Rickmann, J.; Fan, J.; Wu, D.; Gockenbach, E. Atmospheric and Altitude Correction of Air Gaps, Clean and Polluted Insulators: State-of-the-Art Within CIGRE and IEC; D1-213; CIGRÉ Session 2014: Paris, France, 2014. [Google Scholar]
- Rickmann, J.; Elg, A.P.; Fan, J.; Li, Q.; Liao, Y.; Pigini, A.; Tabakovic, D.; Wu, D.; Yujian, D. Current State of Analysis and Comparison of Atmospheric and Altitude Correction For Air Gaps and Clean Insulators. In Proceedings of the 19th International Symposium on High Voltage Engineering (ISH 2015), Pilsen, Czech Republic, 23–28 August 2015. [Google Scholar]
- Kynast, E.; Schmidt, U.; Hinrichsen, V.; Weck, K.H.P. Von der Atmosphärenkorrektur zur Höhenkorrektur für Luftfunkenstrecken—Hintergründe, Zusammenhänge und neue Ansätze. In Proceedings of the VDE-Fachtagung Hochspannungstechnik 2016 (Hochspannungstechnik 2016), Berlin, Germany, 14–16 November 2016. [Google Scholar]
- Kučera, J.; Liao, T.W.; Rohlfs, A.F. Atmospheric Correction Factors For High Voltage Testing. Electra 1972, 21, 74–85. [Google Scholar]
- Pigini, A.; Sartorio, G.; Moreno, M.; Ramírez, M.; Cortina, R.; Garbagnati, E.; Britten, A.C.; Sadurski, K.J. Influence of Air Density on the Impulse Strength of External Insulation. IEEE Trans. Power Appar. Syst. 1985, PAS-104, 2888–3000. [Google Scholar] [CrossRef]
- Feser, K.; Pigini, A. Influence of Atmospheric on the Dielectric Strength of External Insulation. Electra 1987, 112, 83–112. [Google Scholar]
- Cigre, W.G. Guidelines for the Evaluation of the Dielectric Strength of External Insulation; Cigré Brochure: Paris, France, 1992. [Google Scholar]
- Paris, L. Influence of Air Gap Characteristics on Line-To-Ground Switching Surge Strength. IEEE Trans. Power Appar. Syst. 1967, PAS-86, 936–947. [Google Scholar] [CrossRef]
- Beyer, M.; Boeck, W.; Möller, K.; Zaengl, W. Hochspannungstechnik—Theoretische und Praktische Grundlagen für die Anwendung; Springer: Berlin, Germany, 1986. [Google Scholar]
- Shirvani, A. Ein Beitrag Zum Entladungsverhalten Langer Luftfunkenstrecken bei Blitzspannung. Ph.D. Thesis, Universitätsverlag Chemnitz, Chemnitz, Germany, 2015. [Google Scholar]
- Shirvani, A.; Schufft, W.; Pampel, H.P.; Schmidt, U. Spatial-temporal investigation of breakdown of long air gaps by lightning voltages up to 2.4 MV. In Proceedings of the IEEE Electrical Insulation Conference (EIC), Ottawa, ON, Canada, 2–5 June 2013; pp. 351–355. [Google Scholar]
- Shirvani, A.; Schufft, W.; Pampel, H.P.; Schmidt, U. Spatial-temporal investigation of breakdown mechanism of lightning over-voltages: The measurement system. In Proceedings of the International Symposium on High Voltage Engineering (ISH), Seoul, Korea, 25–30 August 2013. [Google Scholar]
- Shirvani, A.; Malekian, K.; Schufft, W. A transient model of lightning breakdown process based on photographic measurements. In Proceedings of the IEEE Electrical Insulation Conference (EIC), Ottawa, ON, Canada, 2–5 June 2013; pp. 90–94. [Google Scholar]








© 2018 by the authors. Licensee MDPI, Basel, Switzerland. This article is an open access article distributed under the terms and conditions of the Creative Commons Attribution (CC BY) license (http://creativecommons.org/licenses/by/4.0/).
Share and Cite
Schubert, U.; Shirvani, A.; Schmidt, U.; Kornhuber, S.; Kynast, E. Proposal for a General Atmospheric Correction Method of Breakdown and Withstand Voltages of Air-Gap Insulated Configurations Based on a Streamer–Leader Differentiated Model of the Breakdown Process. Energies 2018, 11, 776. https://doi.org/10.3390/en11040776
Schubert U, Shirvani A, Schmidt U, Kornhuber S, Kynast E. Proposal for a General Atmospheric Correction Method of Breakdown and Withstand Voltages of Air-Gap Insulated Configurations Based on a Streamer–Leader Differentiated Model of the Breakdown Process. Energies. 2018; 11(4):776. https://doi.org/10.3390/en11040776
Chicago/Turabian StyleSchubert, Uwe, Ali Shirvani, Uwe Schmidt, Stefan Kornhuber, and Ede Kynast. 2018. "Proposal for a General Atmospheric Correction Method of Breakdown and Withstand Voltages of Air-Gap Insulated Configurations Based on a Streamer–Leader Differentiated Model of the Breakdown Process" Energies 11, no. 4: 776. https://doi.org/10.3390/en11040776
APA StyleSchubert, U., Shirvani, A., Schmidt, U., Kornhuber, S., & Kynast, E. (2018). Proposal for a General Atmospheric Correction Method of Breakdown and Withstand Voltages of Air-Gap Insulated Configurations Based on a Streamer–Leader Differentiated Model of the Breakdown Process. Energies, 11(4), 776. https://doi.org/10.3390/en11040776
