A State of Charge Estimation Method Based on Adaptive Extended Kalman-Particle Filtering for Lithium-ion Batteries
Abstract
1. Introduction
2. Battery Model and Parameters Identification
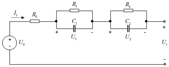
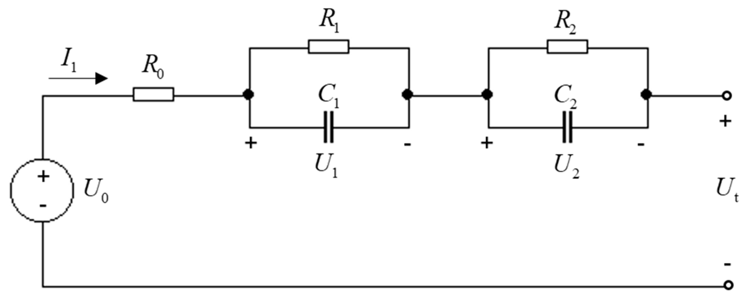
2.1. Battery Model
2.2. Parameters Identification
3. SOC Estimation
3.1. ECM Description
3.2. Adaptive Extended Kalman-Particle Filtering
4. Results and Analysis
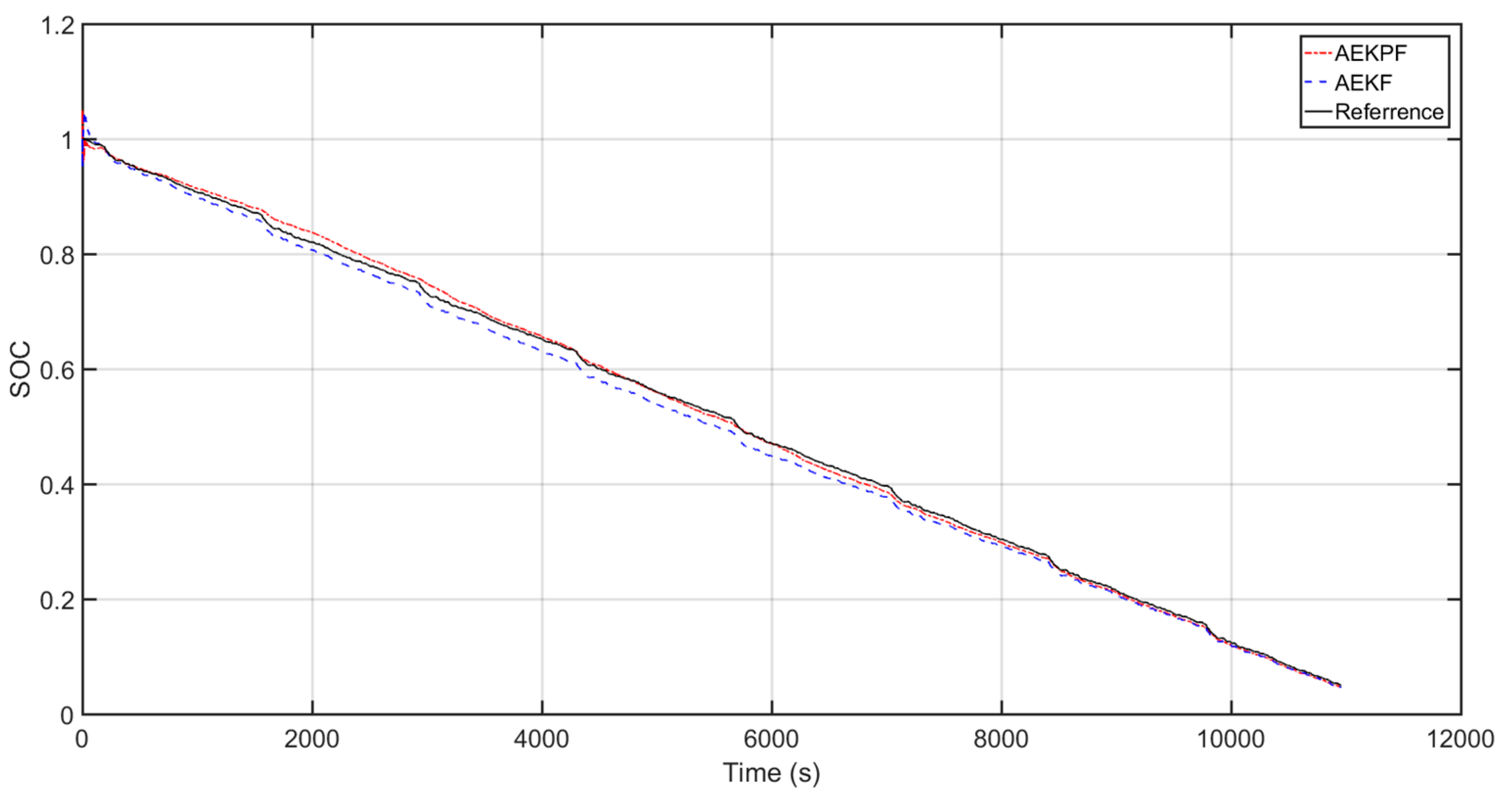
4.1. Estimation Results Under NEDC
4.2. Estimation Results Under UDDS with Noise
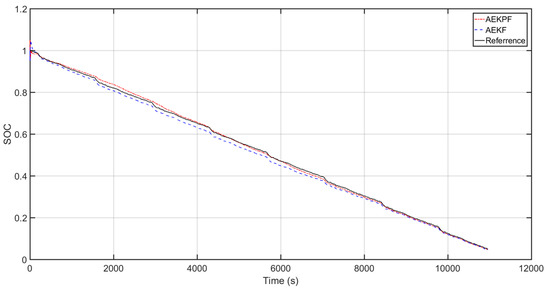
4.3. Results of Tests Under Varying Temperature and Schedule Regimes
4.4. Results of Aged Batteries
5. Conclusions
Author Contributions
Acknowledgments
Conflicts of Interest
References
- Tian, Y.; Xia, B.; Wang, M.; Sun, W.; Xu, Z. Comparison study on two model-based adaptive algorithms for SOC estimation of lithium-ion batteries in electric vehicles. Energies 2014, 7, 8446–8464. [Google Scholar] [CrossRef]
- Hu, X.; Li, S.; Peng, H. A comparative study of equivalent circuit models for Li-ion batteries. J. Power Sources 2012, 198, 359–367. [Google Scholar] [CrossRef]
- Xia, B.; Sun, Z.; Zhang, R.; Lao, Z. A cubature particle filter algorithm to estimate the state of the charge of lithium-ion batteries based on a second-order equivalent circuit model. Energies 2017, 10, 457. [Google Scholar] [CrossRef]
- Zhang, J.; Xia, C. State-of-charge estimation of valve regulated lead acid battery based on multi-state Unscented Kalman Filter. Int. J. Electron. Power Energy Syst. 2011, 33, 472–476. [Google Scholar] [CrossRef]
- Chaturvedi, N.A.; Klein, R.; Christensen, J.; Ahmed, J.; Kojic, A. Algorithms for advanced battery-management systems. IEEE Control Syst. Mag. 2010, 30, 49–68. [Google Scholar] [CrossRef]
- Xia, B.; Chen, C.; Tian, Y.; Sun, W.; Xu, Z.; Zheng, W. A novel method for state of charge estimation of lithium-ion batteries using a nonlinear observer. J. Power Sour. 2014, 270, 359–366. [Google Scholar] [CrossRef]
- Xia, B.; Wang, H.; Tian, Y.; Wang, M.; Sun, W.; Xu, Z. State of charge estimation of lithium-ion batteries using an adaptive cubature Kalman filter. Energies 2015, 8, 5916–5936. [Google Scholar] [CrossRef]
- Xia, B.; Wang, H.; Wang, M.; Sun, W.; Xu, Z.; Lai, Y. A new method for state of charge estimation of lithium-ion battery based on strong tracking cubature Kalman filter. Energies 2015, 8, 13458–13472. [Google Scholar] [CrossRef]
- Yang, D.; Liu, J.; Wang, Y.; Chen, M.; Zhang, B.; Li, Y. State-of-charge estimation using a self-adaptive noise extended Kalman filter for lithium batteries. In Proceedings of the 2014 IEEE PES Asia-Pacific Power and Energy Engineering Conference (APPEEC), Hong Kong, China, 7–10 December 2014; IEEE: Piscataway, NJ, USA, 2014; pp. 1–5. [Google Scholar]
- Mendoza, S.; Ji, L.; Mishra, P.; Fathy, H. On the relative contributions of bias and noise to lithium-ion battery state of charge estimation errors. J. Energy Storage (Netherlands) 2017, 11, 86–92. [Google Scholar] [CrossRef]
- Cheng, X.; Wang, S.; Yao, L. Li-ion battery pack state-of-charge estimation disturbed by colored noises. Energy Procedia (Netherlands) 2017, 105, 4104–4109. [Google Scholar] [CrossRef]
- Juang, L.W.; Kollmeyer, P.J.; Zhao, R.; Jahns, T.M.; Lorenz, R.D. Coulomb counting state-of-charge algorithm for electric vehicles with a physics-based temperature dependent battery model. In Proceedings of the 2015 IEEE Energy Conversion Congress and Exposition, Montreal, QC, Canada, 20–24 September 2015; IEEE: Piscataway, NJ, USA, 2015; pp. 5052–5059. [Google Scholar]
- Lee, S.; Kim, J.; Lee, J.; Cho, B.H. State-of-charge and capacity estimation of lithium-ion battery using a new open-circuit voltage versus state-of-charge. J. Power Sour. 2008, 185, 1367–1373. [Google Scholar] [CrossRef]
- He, H.; Xiong, R.; Zhang, X.; Sun, F.; Fan, J. State-of-charge estimation of the lithium-ion battery using an adaptive extended Kalman filter based on an improved Thevenin model. IEEE Trans. Veh. Technol. 2011, 60, 1461–1469. [Google Scholar] [CrossRef]
- Plett, G.L. Extended Kalman filtering for battery management systems of LiPB-based HEV battery packs. J. Power Sour. 2004, 134, 277–292. [Google Scholar] [CrossRef]
- Sun, F.; Hu, X.; Zou, Y.; Li, S. Adaptive unscented Kalman filtering for state of charge estimation of a lithium-ion battery for electric vehicles. Energy 2011, 36, 3531–3540. [Google Scholar] [CrossRef]
- Tran, N.T.; Khan, A.B.; Choi, W. State of charge and state of health estimation of AGM VRLA batteries by employing a dual extended kalman filter and an ARX model for online parameter estimation. Energies 2017, 10, 137. [Google Scholar] [CrossRef]
- Djuric, P.M.; Kotecha, J.H.; Zhang, J.; Huang, Y.; Ghirmai, T.; Bugallo, M.F.; Miguez, J. Particle filtering. IEEE Signal Process. Mag. 2003, 20, 19–38. [Google Scholar] [CrossRef]
- Schwunk, S.; Armbruster, N.; Straub, S.; Kehl, J.; Vetter, M. Particle filter for state of charge and state of health estimation for lithium-iron phosphate batteries. J. Power Sour. 2013, 239, 705–710. [Google Scholar] [CrossRef]
- Shao, S.; Bi, J.; Yang, F.; Guan, W. On-line estimation of state-of-charge of Li-ion batteries in electric vehicle using the resampling particle filter. Transp. Res. D Transp. Environ. 2014, 32, 207–217. [Google Scholar] [CrossRef]
- Tulsyan, A.; Tsai, Y.; Gopaluni, R.B.; Braatz, R.D. State-of-charge estimation in lithium-ion batteries: A particle filter approach. J. Power Sour. 2016, 331, 208–223. [Google Scholar] [CrossRef]
- Dey, S.; Ayalew, B.; Pisu, P. Combined estimation of state-of-charge and state-of-health of Li-ion battery cells using SMO on electrochemical model. In Proceedings of the 2014 13th International Workshop on Variable Structure Systems, Nantes, France, 29 June–2 July 2014; IEEE: Piscataway, NJ, USA, 2014; pp. 1–6. [Google Scholar]
- Kim, I.S. The novel state of charge estimation method for lithium battery using sliding mode observer. J. Power Sources 2006, 163, 584–590. [Google Scholar] [CrossRef]
- Bhangu, B.S.; Bentley, P.; Stone, D.A.; Bingham, C.M. State-of-charge and state-of-health prediction of lead-acid batteries for hybrid electric vehicles using non-linear observers. In Proceedings of the 2005 European Conference on Power Electronics and Applications, Dresden, Germany, 11–14 September 2005; IEEE: Piscataway, NJ, USA, 2005. [Google Scholar]
- Antón, J.C.; Nieto, P.J.; de Cos Juez, F.J.; Lasheras, F.S.; Viejo, C.B.; Gutiérrez, N.R. Battery state-of-charge estimator using the MARS technique. IEEE Trans. Power Electron. 2013, 28, 3798–3805. [Google Scholar] [CrossRef]
- Wei, Z.; Zhao, J.; Ji, D.; Tseng, K.J. A multi-timescale estimator for battery state of charge and capacity dual estimation based on an online identified model. Appl. Energy 2017, 204, 1264–1274. [Google Scholar] [CrossRef]
- Wei, Z.; Zou, C.; Leng, F.; Soong, B.H.; Tseng, K.J. Online model identification and state-of-charge estimate for lithium-ion battery with a recursive total least squares-based observer. IEEE Trans. Ind. Electron. 2018, 65, 1336–1346. [Google Scholar] [CrossRef]
- Grewal, S.; Grant, D.A. A novel technique for modelling the state of charge of lithium ion batteries using artificial neural networks. In Proceedings of the Twenty-Third International Telecommunications Energy Conference, INTELEC 2001, Edinburgh, UK, 14–18 October 2001; IET: Stevenage, UK, 2001; pp. 174–179. [Google Scholar]
- Weigert, T.; Tian, Q.; Lian, K. State-of-charge prediction of batteries and battery-supercapacitor hybrids using artificial neural networks. J. Power Sour. 2011, 196, 4061–4066. [Google Scholar] [CrossRef]
- Ismail, M.M.; Hassan, M.A.M. The state of charge estimation for rechargeable batteries based on artificial neural network techniques. In Proceedings of the 2013 International Conference on Control, Decision and Information Technologies (CoDIT), Hammamet, Tunisia, 6–8 May 2013; IEEE: Piscataway, NJ, USA, 2013; pp. 733–739. [Google Scholar]
- Anton, J.C.A.; Nieto, P.J.G.; Viejo, C.B.; Vilán, J.A.V. Support vector machines used to estimate the battery state of charge. IEEE Trans. Power Electron. 2013, 28, 5919–5926. [Google Scholar] [CrossRef]
- Liaw, B.Y.; Nagasubramanian, G.; Jungst, R.G.; Doughty, D.H. Modeling of lithium ion cells—A simple equivalent-circuit model approach. Solid State Ion. 2004, 175, 835–839. [Google Scholar] [CrossRef]
- Gomez, J.; Nelson, R.; Kalu, E.E.; Weatherspoon, M.H.; Zheng, J.P. Equivalent circuit model parameters of a high-power Li-ion battery: Thermal and state of charge effects. J. Power Sour. 2011, 196, 4826–4831. [Google Scholar] [CrossRef]
- Chen, B.; Ma, H.; Fang, H.; Fan, H.; Luo, K.; Fan, B. An approach for state of charge estimation of Li-ion battery based on Thevenin equivalent circuit model. In Proceedings of the 2014 Prognostics and System Health Management Conference (PHM-2014 Hunan), Zhangiiaijie, China, 24–27 August 2014; IEEE: Piscataway, NJ, USA, 2014; pp. 647–652. [Google Scholar]
- Xu, Z.; Gao, S.; Yang, S. LiFePO4 battery state of charge estimation based on the improved Thevenin equivalent circuit model and Kalman filtering. J. Renew. Sustain. Energy 2016, 8, 024103. [Google Scholar] [CrossRef]
- Cheng, Z.; Zhang, Q.Y.; Zhang, Y.H. Online state-of-charge estimation of LI-ion battery based on the second-order RC model. Adv. Mater. Res. 2013, 805–806, 1659–1663. [Google Scholar] [CrossRef]
- He, H.W.; Xiong, R.; Fan, J.X. Evaluation of Lithium-Ion Battery Equivalent Circuit Models for State of Charge Estimation by an Experimental Approach. Energies 2011, 4, 582–598. [Google Scholar] [CrossRef]














| Parameters | |||||
|---|---|---|---|---|---|
| T = 25 °C | 0.0337 | 0.0089 | 0.0209 | ||
| T = 20 °C | 0.0376 | 0.0124 | 0.0218 | ||
| T = 0 °C | 0.0742 | 0.0314 | 0.0314 |
| Statistic | AEKPF | AEKF | PF |
|---|---|---|---|
| Maximum error | 2.7% | 6.7% | 9.3% |
| Mean absolute error | 0.5% | 1.4% | 2.3% |
| Root mean square | 0.0071 | 0.0146 | 0.0317 |
| Statistic | AEKPF | AEKF |
|---|---|---|
| Maximum error | 5.7% | 5.4% |
| Mean absolute error | 0.65% | 1.5% |
| Root mean square | 0.0085 | 0.0158 |
| Standard deviation | 0.0051 | 0.0056 |
© 2018 by the authors. Licensee MDPI, Basel, Switzerland. This article is an open access article distributed under the terms and conditions of the Creative Commons Attribution (CC BY) license (http://creativecommons.org/licenses/by/4.0/).
Share and Cite
Xia, B.; Guo, S.; Wang, W.; Lai, Y.; Wang, H.; Wang, M.; Zheng, W. A State of Charge Estimation Method Based on Adaptive Extended Kalman-Particle Filtering for Lithium-ion Batteries. Energies 2018, 11, 2755. https://doi.org/10.3390/en11102755
Xia B, Guo S, Wang W, Lai Y, Wang H, Wang M, Zheng W. A State of Charge Estimation Method Based on Adaptive Extended Kalman-Particle Filtering for Lithium-ion Batteries. Energies. 2018; 11(10):2755. https://doi.org/10.3390/en11102755
Chicago/Turabian StyleXia, Bizhong, Shengkun Guo, Wei Wang, Yongzhi Lai, Huawen Wang, Mingwang Wang, and Weiwei Zheng. 2018. "A State of Charge Estimation Method Based on Adaptive Extended Kalman-Particle Filtering for Lithium-ion Batteries" Energies 11, no. 10: 2755. https://doi.org/10.3390/en11102755
APA StyleXia, B., Guo, S., Wang, W., Lai, Y., Wang, H., Wang, M., & Zheng, W. (2018). A State of Charge Estimation Method Based on Adaptive Extended Kalman-Particle Filtering for Lithium-ion Batteries. Energies, 11(10), 2755. https://doi.org/10.3390/en11102755
