- Article
Fixation Duration and the Learning Process: An Eye Tracking Study with Subtitled Videos
- Shivsevak Negi and
- Ritayan Mitra
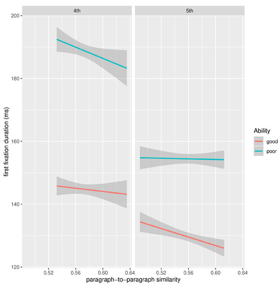
Learning is a complex phenomenon and education researchers are increasingly focussing on processes that go into it. Eye tracking has become an important tool in such research. In this paper, we focus on one of the most commonly used metrics in eye tr...

