Next Article in Journal
The Strategic Impact of Service Quality and Environmental Sustainability on Financial Performance: A Case Study of 5-Star Hotels in Athens
Previous Article in Journal
The Role of Technology in Promoting Green Finance: A Systematic Literature Survey and the Development of a Framework
Previous Article in Special Issue
Portfolio Optimization with Sector Return Prediction Models
 
 
Font Type:
Arial Georgia Verdana
Font Size:
Aa Aa Aa
Line Spacing:
Column Width:
Background:
Article

Time–Frequency Co-Movement of South African Asset Markets: Evidence from an MGARCH-ADCC Wavelet Analysis

School of Economic Science, North-West University, Vanderbijlpark 1174, South Africa
*
Author to whom correspondence should be addressed.
J. Risk Financial Manag. 2024, 17(10), 471; https://doi.org/10.3390/jrfm17100471
Submission received: 27 September 2024 / Revised: 11 October 2024 / Accepted: 16 October 2024 / Published: 18 October 2024
(This article belongs to the Special Issue Portfolio Selection and Risk Analytics)

Abstract

The growing prominence of generating a well-diversified portfolio by holding securities from multi-asset markets has, over the years, drawn criticism. Various financial market events have caused asset markets to co-move, especially in emerging markets, which reduces portfolio diversification and enhances return losses. Consequently, this study examines the time–frequency co-movement of multi-asset classes in South Africa by using the Multivariate Generalized Autoregressive Conditional Heteroscedastic–Asymmetrical Dynamic Conditional Correlation (MGARCH-DCC) model, Maximal Overlap Discrete Wavelet Transformation (MODWT), and the Continuous Wavelet Transform (WTC) for the period 2007 to 2024. The findings demonstrate that the equity–bond, equity–property, equity–gold, bond–property, bond–gold, and property–gold markets depict asymmetrical time-varying correlations. Moreover, correlation in these asset pairs varies at investment periods (short-term, medium-term, and long-term), with historical events such as the 2007/2008 Global Financial Crisis (GFC) and the COVID-19 pandemic causing these asset pairs to co-move at different investment periods, which reduces diversification properties. The findings suggest that South African multi-asset markets co-move, affecting the diversification properties of holding multi-asset classes in a portfolio at different investment periods. Consequently, investors should consider the holding periods of each asset market pair in a portfolio as they dictate the level of portfolio diversification. Investors should also remember that there are lead–lag relationships and risk transmission between asset market pairs, enhancing portfolio volatility. This study assists investors in making more informed investment decisions and identifying optimal entry or exit points within South African multi-asset markets.
JEL Classification:
G10; G11; G15; O16

1. Introduction

In recent years, financial market uncertainty caused by historical and current events, such as the 2007/2008 Global Financial Crisis (GFC) and the COVID-19 pandemic, has exposed emerging market investors to portfolio volatility and increased losses (Singh 2020). This is despite investors broadening their investment strategies by investing in various securities from different asset markets. During the 2007/2008 GFC, risk transmission from the equity market moved through the bond, property, and commodity markets, which caused the co-movement of these markets to converge to one (Beirne and Gieck 2014). Consequently, investors in the United States (US) market faced excess losses, as their diversified investments did not prevent them from incurring excess losses due to the crash of the entire financial market. The risk transmission was felt worldwide, with emerging markets, like South Africa, being impacted the most (McIver and Kang 2020). South African security prices from different asset markets declined at excessive levels, which affected investments in each asset market (Rena and Msoni 2014). To understand why a variety of asset markets co-moved, academics looked at the time–frequency co-movement of multi-asset markets (see Jiang et al. 2017; Das et al. 2018; Huang 2020; Huang et al. 2023). However, to date, no study in South Africa has attempted to examine this phenomenon across time–frequencies of multi-asset markets, despite the phenomenon having a negative effect on investor decisions and portfolio returns. Instead, they compare the co-movement of domestic and international asset markets (see Boako and Alagidede 2017; Kannadhasan and Das 2019; Maiti et al. 2022).
A second extreme market event, known as the COVID-19 health pandemic (2019–2022), occurred as time passed. During this global pandemic, governments closed entry and exit points across countries to limit the spread of the virus, which saw a complete halt in the global financial market (Zhang et al. 2020). Asset prices decreased, the co-movement of asset markets increased, and many domestic portfolios faced excessive losses. South African studies turned to examining the contagion effects of other countries but failed to examine the time–frequency co-movement of South African multi-asset markets (see Batondo and Uwilingiye 2022; Phiri et al. 2023; Junior et al. 2024). The lack of research has left many South African investors needing answers on how to mitigate this excess volatility caused by the movement of asset markets over time. In an attempt to bring clarity, this study examines the time–frequency of multi-asset markets in South Africa to address this phenomenon. This study first examines the asymmetrical time-varying correlations between asset markets; this will help to understand if there is risk transmission between asset markets. After that, this study decomposes the sample period into investment periods, such as short-term, medium-term, and long-term, to determine if asset markets co-move at different investment periods. Lastly, this study determines the lead–lag relationship between asset markets to determine whether there is a causal relationship between asset market pairs.
This study focuses on South Africa because it is the leading financial market among African countries, and it contains the highest number of investors as compared to other African financial markets (Moodley et al. 2024). Moreover, the South African financial market has been exposed to many economic conditions such as bull and bear periods which cause asset prices to increase or decrease, which contributes significantly to asset market co-movement (Lawrence et al. 2024). Thus, by focusing on South Africa, it provides new insights into emerging market research, especially for the African continent. Accordingly, this study determines whether individual asset markets in South Africa cause risk transmission across other asset markets. In this way, investors can use the information to make more informed decisions on asset selection across asset markets in South Africa. Moreover, this study looks at how these asset markets co-move at different investment periods, allowing investors to make informed decisions on each asset market’s most suitable entry and exit points. This will significantly reduce investor losses and enhance portfolio diversification benefits, as investors will know when to hold securities from each asset market in their portfolio and when rebalancing is needed. Furthermore, this study introduces a new methodology, wavelet coherence, in South Africa to examine time–frequency co-movement, which enhances the quality of research in South Africa. This study also contributes to emerging market literature, which is very limited on the time–frequency of multi-asset markets.
The findings of this study demonstrate that the equity–bond, equity–property, equity–gold, bond–property, bond–gold, and property–gold markets depict asymmetrical time-varying correlations. Moreover, correlation in these asset pairs varies over different investment periods (short-term, medium-term, and long-term), with historical events such as the GFC and the COVID-19 pandemic causing these asset pairs to co-move at different investment periods, which reduces diversification properties. Moreover, there is evidence of risk transmission among South African asset markets, which affect the co-movement of these asset markets.
The rest of this paper is ordered as follows: The literature review is considered in Section 2, which includes the theory that conceptualizes this study and a review of the empirical literature. Section 3 presents the methodology, which includes the data and the empirical model specification. Section 4 includes the empirical results, segregated according to preliminary and empirical model results. Section 5 provides the implications of this study and the conclusion.

2. Literature Review

The conceptualization of the time–frequency co-movement of multi-asset markets is isolated to a single theory, the Fractal Market Hypothesis (FMH). The FMH was developed by Mandelbrot (1966) to outline the importance of information and investment horizons on the behavior of investors. Accordingly, the theory removes the complex constraints of asset price movements, such that the heterogeneity of financial markets is due to the different preferences of economic agents. That said, investors differ according to their risk tolerance levels and beliefs and how institutional regulations restrict how they receive information. These characteristics are associated with investors’ perception of investment horizons (Bredin et al. 2015). Investment horizons consist of different investment periods, which can be grouped into short-term, medium-term, and long-term. During these periods, investors adjust their portfolios at different investment periods to ensure that their level of risk is considered, so that they achieve heterogeneous returns and enhance portfolio diversification. This is achieved by investing in multi-asset markets to enhance the diversification of a portfolio, whereby it generates desired returns. However, in recent years, such diversification benefits have been under the spotlight due to these asset markets expressing high levels of co-movement caused by financial market uncertainty and shocks. Consequently, holding multi-asset markets in a portfolio no longer provides diversification; instead, the holding periods of these asset markets now dictate the optimal level of portfolio diversification.
On this basis, many academics have examined the time–frequency co-movement of asset markets. For example, Babikir et al. (2012) examined the effect of structural breaks in forecasting stock market volatility in South Africa for the sample period 1995 to 2010. The univariate Generalized Autoregressive Conditional Heteroscedastic (GARCH) model demonstrated that there exist structural breaks in the forecasting of unconditional variance of stock returns. However, the academics found that even though there exist structural breaks in stock market return volatility, there are no statistical gains from using structural break models or subsampling the data to account for structural breaks. Zamojska et al. (2020) examined the co-movement of equities and bonds, but they focused on the US financial market. The Multivariate Generalized Autoregressive Conditional Heteroscedastic–Asymmetrical Dynamic Conditional Correlation (MGARCH-DCC) model concluded that the equity and bond markets are correlated, but the correlations decrease during financial market crises. This suggests that investors can use equities and bonds to mitigate portfolio risk during financial market uncertainty. Ejaz (2021) used the MGARCH-DCC model to examine the linkages between equities and bonds. The findings show a time-varying correlation between bonds and equities for the US and Islamic financial markets. This suggests that equities and bonds are essential determinates for portfolio diversification. The findings are further corroborated by a study conducted by Mosli and Tayachi (2021), as the authors used the MGARCH-DCC model to determine the time-varying co-movement of equities and bonds of Suku and international markets. The analysis was extended to include wavelet estimations to consider different economic conditions. The findings demonstrate that, indeed, there is a time-varying correlation between equities and bonds. However, Suku equities provide the highest diversification because the correlation is lower with other international markets. Despite this, it was not evident during high-crisis periods, suggesting that Suku equities are not suitable for portfolio diversification during unstable economic conditions.
Despite the growing popularity of examining the time–frequency of the equity–bond market, some academics advocate for studying the equity–property market. This is seen in a study by Alqaralleh et al. (2023). The academics aimed to determine the time-varying co-movement between the New York, Los Angeles, San Francisco, Hong Kong, Tokyo, and London metropolises’ equity and property markets. The MGARCH-DCC and wavelet models were regressed, and the findings show positive and increased correlations for each city’s equity and property market during financial turmoil. Moreover, the correlation increases with the time domain and is more dominant in the long run than in the short run. The findings are consistent with a study conducted by Yunus (2023), as the academics found that the correlation between the various equity and property markets is increasing in the long run. Furthermore, shocks from the United Kingdom (UK), Germany, and Canada correlate with a negative effect on US equity–property correlations.
The growing support for incorporating safe-haven assets from the commodity market to mitigate portfolio risk has become prominent in the literature. Khan et al. (2015) examined the time-varying co-movement of Islamic equities and agricultural commodities. Using the MGARCH-DCC model and wavelet analysis, the findings suggest that monthly correlations between the commodity and equity markets increased during the 2008 GFC. The findings are supported by Öztek and Öcal (2017), as they also examined the time-varying effect of agriculture commodities and equities. The MGARCH-DCC model shows weak correlations between the two markets, which increase during financial market downturns. Boubaker and Rezgui (2020) also examined the daily co-movement of commodities and equities; rather, they used wavelet analysis. The findings suggest that the correlations between commodities and equities alternate at different time horizons. More specifically, during a low time horizon, the correlations are lower than those at a higher time horizon. Consequently, investors should only hold commodities in their portfolio for a short-time horizon, as long-time horizons eliminates the diversification benefit. The findings are supported by Nguyen et al. (2021), who also used wavelet analysis to determine the time-varying co-movement of commodity and equity markets. They found that the correlation is lower in the short-term and medium-term investment horizons and not in the long-term investment horizon.
Where studies have considered time-varying co-movement in South Africa, they did not consider the time–frequency of multi-asset markets. For instance, Nhlapho (2023) examined the co-movement of asset markets in South Africa using the MGARCH-DCC model and found that co-movement exists between equity, bonds, property, and the commodity market. However, this study differs from that of Nhlapho (2023), as the time–frequency domain and lead–lag relationship is introduced, an important determinant of portfolio diversification and investors’ decisions. The remainder of South African studies focus on the intermarket nexus; for example, Bossman et al. (2022) examined the time-varying co-movement of sub-Saharan equity–bond linkages. The findings of the MGARCH-DCC and wavelet models show that the co-movement of South African equity–bond markets is strong compared to Kenya, Nigeria, and Zambia. Furthermore, there is a negative correlation between the South African equity market and the Nigerian bond market during stable market conditions. Therefore, the incorporation of South African equities and Nigerian bonds into a portfolio during unstable conditions is encouraged as the correlation decreases. On the other hand, Szczygielski and Chipeta (2023) made pronunciations on the GARCH specification for stock market returns in South Africa. The academics examined the properties of South African stock market return and the underlying variance. They find that stock market returns depart from normality and contain heteroscedasticity, long memory, persistence, and asymmetry. Thus, they recommend using asymmetrical GARCH models such as the exponential GARCH (EGARCH) model and the Glosten, Jagannathan, and Runkle (GJR) GARCH model. Similarly, Yaya et al. (2024) examined the linkages between African stock markets, such as Egypt, Kenya, Morrocco, Nigeria, South Africa, and Tunisia. The findings of the quantile connectedness approach of Chatziantoniou et al. (2021) illustrated that South Africa is the net transmitter of shocks to the remaining countries in a bear market condition. However, in a bullish state, Nigeria was the net transmitter of shocks to other countries. The findings suggest that investors wanting to invest in African stock markets must mimic the trading strategies of African investors.
The review of the literature highlights a significant research gap in South Africa. To the authors’ knowledge, studies have yet to consider the time–frequency of multi-asset market co-movement in South Africa. It is seen that empirical studies that consider South African asset markets follow emerging market research by looking at co-movement with international asset markets as opposed to the time–frequency of multi-asset markets in a specific emerging market, like South Africa. This raises a specific research gap because such a condition is subject to constant co-movement and not time-varying or time–frequency co-movement, an essential element for portfolio diversification and return enhancements. On this basis, it is essential to conduct this study as it will contribute significantly to the emerging market literature. The findings will assist investors in reducing losses and improving portfolio diversification, which is a critical phenomenon in emerging markets.

3. Methodology

3.1. Data Description

This study used monthly time series data from March 2007 to January 2024 to examine the time–frequency co-movement of South African multi-asset markets. The selection of monthly frequencies is in line with studies by Niu et al. (2023), Nhlapho (2023), and Qabhobho et al. (2024). Furthermore, the sample period selection largely depends on the most current and historical events, such as the 2007/2008 GFC and the COVID-19 pandemic. This study used four asset markets: equity, bonds, property, and commodities. The selection of these asset markets is in line with Chang and Cheng (2016) and Nhlapho (2023), as the authors argue that securities that are part of these asset markets are the main investment assets common in investors’ portfolios locally and globally. The data were obtained from the Bloomberg database.

South African Asset Market Proxies

This study used market proxies for each market as follows: the JSE-All share index was used to proxy the equity market, the JSE-All bond index was used to proxy the bond market, and the First National Bank (FNB) house price index proxied the property market. The South African commodity market was proxied by future gold and oil prices, as spot prices do not consider information biases in the global supply, demand, and inventory of commodities (Gande and Parsley 2004). This study employed gold futures traded on the commodity exchange (COMEX) (GC1) and West Texas Intermediate (WTI) crude oil futures traded on the New York Mercantile Exchange (NYMEX) (CLI). These two proxies reflect the shortest maturity contracts traded in a specific market. Chantziara and Skiadopoulos (2008) showed that short-dated contracts reflect market dynamics, as they are more liquid. Moreover, this study converts the prices of each proxy to returns to satisfy the stationarity properties of the empirical models used in the study and to ensure consistency among variables. It is important to note that these market proxies have been used by a wide variety of works in the literature and are deemed sufficient for this study (see Der Linde and Alwyn 2017; Moodley et al. 2022; Nhlapho 2023; Muzindutsi et al. 2023; Moodley 2024).

3.2. Empirical Model

3.2.1. MGARCH-ADCC Model

This study employed the MGARCH-ADCC model to examine the asymmetrical time-varying co-movement of multi-asset markets in South Africa, as the model considers the magnitude of past shocks’ impact on future conditional volatility and correlations and also differentiates between positive and negative shock effects (Katzke 2013). Consequently, the MGARCH-ADCC model accounts for asymmetries in the conditional correlations of the series. The estimation of the MGARCH-ADCC model involves a two-step procedure. The first step is to standardize the residuals:
N i t = ε i , t h i i , t
where N i t is the standardized residuals, and h i i , t is the conditional variances from the estimated univariate GARCH model. In the second step, the standardized residuals are utilized to estimate time-varying conditional covariances, which is an extension of the MGARCH-CCC model of Engle (2002).
H t = D t C t D t
where D t = d i a g   ( h i i , t , . .   h N N , t ) , h i i , t is the conditional variances from the estimated univariate GARCH model, and C i j = ρ i j is a positive symmetric matrix with ones on the diagonal. The off-diagonal entries are the conditional correlations in the C-matrix above and are assumed to be time-varying. The following equation then gives the dynamic conditional correlation structure:
Q i o , t = 1 θ 1 θ 2 ( Q ¯ ) + θ 1 ε i , t 1 ε 0 , t 1 + θ 2 Q i o , t 1
The unconditional variance between the asset returns i and o is Q i o , t , Q ¯ is the unconditional covariance that is estimated in step one using the univariate GARCH models, and θ 1 and θ 2 are the scalar coefficients; the likelihood function will be used to estimate the scalar parameters ( θ 1 and θ 2 ) . We then derive the dynamic conditional correlation matrix, C t , between two asset class returns (i,o):
C t = ( Q i o , t * ) 1 ( Q i o , t ) ( Q i o , t * ) 1
Q i o , t is the diagonal matrix with the square root of the diagonal elements of Q i o , t as its entries. Hence, Q i o , t = D i a g   ( Q t ) 1 2 . The entries in the bivariant framework are as follows:
ρ i j = q i o , t ( q i i , t ) ( q o o , t ) = 1 θ 1 θ 2 ( q ¯ ) + θ 1 ε i , t 1 ε 0 , t 1 + θ 2 q i o , t 1 ( 1 θ 1 θ 2 ( q i ¯ ) + θ 1 ε i , t 1 2 + θ 2 ( q i i , t 1 ) )   ( 1 θ 1 θ 2 ( q o ¯ ) + θ 1 ε 0 , t 1 2 + θ 2 ( q o o , t 1 ) )
The MGARCH-DCC model can be extended to include asymmetry in the conditional correlations. The MGARCH-ADCC model of Cappiello et al. (2006) is given by the following:
Q i o , t = 1 θ 1 θ 2 ( Q ¯ g ) ( Ψ ¯ t ) + θ 1 ε i , t 1 ϵ 0 , t 1 + θ 2 Q i o , t 1 + ( θ 3 ) ( ε t 1 ϵ t 1 )
Ψ ¯ t = E   ε i , t ϵ 0 , t ¯ 21 , and ε I , t ¯ = ( I ε i , t ¯ < 0 o ε i , t ¯ ) ; the element-by-element Hadamard product of the residuals are given by the latter if the asset market shocks are adverse, where ε t ¯ = 0 if otherwise. According to the methodology of Engle (2002), the MGARCH-ADCC model will be estimated by maximizing the log-likelihood function for Equation (6):
L ( θ , ϕ ) 20 = 1 2 t = 1 T ( I n 2 π + ln D t C t D t + ε t ( D t C t D t ) 1 ε t )

3.2.2. Wavelet Models

This study has elected to use the wavelet methodology to examine the time–frequency and lead–lag co-movement of South African multi-asset markets. The selection of the model follows that of Karim and Masih (2019), Niu et al. (2023), and Sayed and Charteris (2024). The advantage of using wavelet models to examine time–frequency and lead–lag co-movement lies in their ability to provide the correlation between two series over a certain sample period (In and Kim 2013). Moreover, the models can be used to decompose the correlations into different time–frequency bands, which assists in understanding how correlations change at investment periods (Gençay et al. 2002). Furthermore, these models can provide the relationship between two series and indicate which series drives the relationship, known as the lead–lag relationship at various investment periods. The key steps entail specifying the two series, then decomposing it into the required time–frequency bands (investment periods), and then generating the proposed graph. The generated graphs provide the correlation results, which are used for examining the co-movement. The specific type of wavelet models used in this study are provided below.
Maximal Overlap Discrete Wavelet Transformation
The Maximal Overlap Discrete Wavelet Transformation (MODWT) is the preferred model for determining how South African multi-asset markets perform at different time–frequencies, as it can accommodate any sample size, and there is no need for the sample size to be a multiple of 2 or stationary (Percival and Walden 2000). Furthermore, MODWT does not decimate the coefficients (Cornish et al. 2006). This means the number of scales and wavelet coefficients is identical to the sample observations at each transformation point. The wavelet correlation parameters and wavelet covariance at a scale of j between X and Y are obtained by using two formulas of MODWT:
V ^ X y 2 T i = 1 M T l j N = 1 d ¯ j , t ( X ) d ¯ j , t ( Y )
ρ ^ X ,   Y   T j = V ^ X , Y ( t j ) V ^ X , Y ( t j ) V , ^ Y ( t j )
where ρ ^ X ,   Y   T j 1 indicates the wavelet correlation is analogous to its Fourier equivalent, the complex coherency (see Gençay et al. 2002). This study incorporates four time scales, following the time scale of Niu et al. (2023): D1, 2 months; D2, 4 months; D3, 8 months; and D4, 16 months. Short-term, medium-term, and long-term investment horizons are given by (D1–D2), (D2–D3), and (D4–D5), respectively. The multi-asset time series data will be decomposed using MODWT. After that, the wavelet correlations associated with MODWT will be generated and compared across various investment horizons.
Continuous Wavelet Transform
This study incorporates the Continuous Wavelet Transform (CWT) estimation to further decompose the time series data into additional investment periods (D6: 32 months; D7: 64 months). The CWT, unlike MOWDWT, helps extend the time–frequency domain into additional frequency bands with long investment periods and considers the trading months. The CWT ( W x ( K ,   B ) ) is determined by estimating a mother wavelet ( ψ ) concerning the time series ( x   t   ϵ   I 2 ( R ) ) being examined, which is given by the following:
W x ( K ,     B ) = X ( t ) 1 B   ψ   t K B d t
K is the time domain, and B is the frequency domain, as obtained from Torrence and Webster (1999). The two-time series wavelet coherence is estimated as follows:
R n 2 B = I B ( b 1 W n x y B ) I 2 S ( b 1 I W n x B I 2 . B ( b 1 I W n x B ) I 2
where B is the smoothing operator, b is the wavelet scale, and W n x B is the continuous transformation of the time series X. W n x B is the CWT of the time series, Y, and Y x y B is a cross wavelet transform of the two-time series X and Y as given by In and Kim (2013). The investment period is now decomposed into two additional time–frequencies, D4 (16–32 months) and D5 (32–64 months), which are long-term investment periods.
Wavelet Phase Angle
This study examines the lead–lag relationship between South African multi-asset markets. Thus, the wavelet phase angle (WPA) difference is considered as presented by Bloomfield et al. (2004). The WPA difference between X(t) and Y(t) is given by the following:
x y = t a n 1 I { S s 1 W x y u , s } N { S s 1 W x y u , s } x i   w i t h   φ x y ϵ π , π
Determining the lead–lag relation between multi-asset classes entails looking at the wavelet coherent map. If the arrows point to the right, then X(t) and Y(t) are positively related; the opposite holds if the arrow points to the left. The causality (lead–lag) relationship is also observed by the arrows, that being, if the arrow points right and down or left and up, then X(t) follows Y(t). However, if the arrows point right and up or left and down, then it indicates that X(t) leads Y(t) (Karim and Masih 2019).

3.2.3. Model Assumption

According to Engle (2001), the univariate GARCH model is the most reliable measure of volatility among time series data. However, its favorable characteristics do not come without limitations. The univariate GARCH model specifications assume ARCH (serial correlation) effects exist within the analyzed data. This assumption could lead to a biased model specification if not tested for. Consequently, the ARCH tests are presented before the univariate GARCH model is specified, and those variables demonstrating ARCH effects are retained in the study. Furthermore, the univariate GARCH models assume that the variables are stationary and no structural breaks exist in the data set. This study uses stationarity tests in the form of the Augmented Dicky–Fuller (ADF) test, Phillips–Perron (PP) test and Kwiatkowski–Phillips–Schmidt–Shin (KPSS) test to determine if the variables are stationary. According to Perron (1989), the ADF, PP, and KPSS tests could lead to the misspecification of a unit root for a structural break in the data set. Consequently, the Zivot and Andrews (2002) structural break test is estimated to confirm there is no presence of structural breaks in the series. However, before these tests are run, this study differences the data to remove structural breaks in the data set as performed by Muguto (2022). If the series demonstrate structural breaks, then the break period will be considered and incorporated into the univariate GARCH models as carried out by Muguto (2022). On the other hand, the wavelet models do not require the data to be stationary, and there are no proposed assumptions, given that they are mathematical models that consider signals.

4. Empirical Results

In this section, the study examines three objectives: The first examines the asymmetrical time-varying correlations of South African asset markets using the MGARCH-ADCC model. Second, the study examines the time–frequency co-movement of South African asset markets using MODWT and CWT. Thirdly, using the WPA difference transform, the study examines the lead–lag relationship between South African multi-asset markets.

4.1. Preliminary Tests

4.1.1. Graphical Representation

Figure 1 presents the graphical representation of South African multi-asset market returns. It is evident from the asset market returns that the variance is not constant over time and mimics an autoregressive pattern, which results in volatility clustering in all asset markets. The visualization of the plots demonstrates that specific periods appear riskier than others, as suggested by the higher volatility of returns in those periods. The periods that coincide with riskier periods, evident in all markets, are the 2007/2008 GFC and the COVID-19 global pandemic. Despite volatility clustering, the graphical plots confirm that all the series are stationary, depicting constant means for the sample period.
The commodity market (GOLD) is the riskiest among South African asset markets due to its high volatility. A possible explanation for the high volatility is the contagion effects of the Chinese market, which is the country with the highest gold mining production in the world (Liu et al. 2023). China experienced a stock market crash in 2015, which resulted in the bubble bursting and inevitably affected other markets in China, including the commodity market. Furthermore, the ongoing trade war between China and the US is a possible explanation for the volatility of the commodity market in South Africa, as China controls the production of gold. This explanation is in addition to the crises mentioned above. The other asset markets have return patterns similar to those in the return plots. It is seen that the return series are influenced by significant market events such as the GFC and COVID-19 pandemic, which suggests that the data contain structural breaks. To account for this, the data will be differenced to remove structural breaks as performed by Muguto (2022).

4.1.2. Descriptive Statistics

Table 1 provides descriptive statistics, unit root tests, stationary tests, and ARCH tests for the various asset markets in South Africa. In Panel A, it is interesting to note that the commodity market proxy (OIL) attains the highest return for the sample period and the lowest return. This suggests that South African commodity market returns fluctuate constantly, thereby making the commodity market highly volatile. This is supported by the standard deviation, which is the highest among all asset markets. Despite the fact that the commodity market has the highest volatility, it still provides the highest return, which aligns with the hypothesis of efficient markets. Furthermore, commodity markets, both locally and internationally, have experienced high volatility due to the ongoing tensions between Russia and Ukraine (Fang and Shao 2022). Therefore, it is not uncommon to see the above findings, especially in emerging markets where financial markets are unstable and more prone to the contagion effects of crises.
The property market attains the lowest maximum and highest minimum values compared to other asset markets. This finding suggests that property market returns are stable and do not attain high volatility, as shown by the low standard deviation value. The findings are supported by Akinsomi et al. (2017), who found the property market to be the most stable across asset markets due to the limited risk and appreciation of property value. It is further seen that the maximum and minimum values of the selected asset markets are positive and negative, respectively. This implies that the sample period captures both positive and negative returns associated with asset markets, which provides a robust measure for South African asset markets, as in reality, asset market returns fluctuate so that they do increase or fall from their closing values.
The skewness of the selected asset markets is negative; the mean and median values support this, as the mean is less than the median for all asset markets. Moreover, negative values suggest that most of the values lie to the left of the mean, and there is no asymmetry around the mean, suggesting that the time series is not normally distributed. These findings are unsurprising as the sample period covers the 2007/2008 GFC and the COVID-19 global economic and health crises. During these events, there were prolonged periods of negative returns. However, the robustness of the study is not questionable since the mean, maximum, and minimum values exhibit both positive and negative values, suggesting that the sample period is not biased to negative values only.
The kurtosis of all asset markets is greater than 3 (including decimal points), indicating that the distribution of the asset market returns has peaked means and fatter tails compared to a normal distribution. Accordingly, there are high periods of substantial movements from the mean compared to a normal distribution. In line with the observations of skewness and kurtosis, the null hypothesis of a normal distribution for each series is rejected, as presented by the p-values of the Jarque–Bera test of normality. This implies the series is leptokurtic, meaning investors in these asset markets are exposed to extreme return fluctuations. This again aligns with the notion that emerging markets, like South Africa, are prone to financial market instability and economic conditions.
In Panel B of Table 1, the unit root and stationarity results for the asset markets are presented. The ADF test statistic for all asset markets is significant at the 1% significance level. Consequently, the null hypothesis of the asset market series containing a unit root is rejected in favor of the asset market series being stationary (alternative hypothesis). The findings are further supported by the PP test statistic, as the study reject the null hypothesis of the asset market series containing a unit root at all significance levels. The KPSS test statistic is less than the associated critical values; the study fails to reject the null hypothesis that the asset market series is stationary. The Zivot and Andrews (2002) structural break test confirms the findings of the ADF, PP, and KPS test as the null hypothesis (variables contain a unit root with a structural break) is rejected at all levels of significance, which further increases the robustness of the empirical model. This confirms that by differencing the data set, it removes structural breaks as found by Muguto (2022). The findings for the ADF, PP, and KPSS tests suggest that the asset market return series are integrated with an order of 0.
Consequently, these asset market returns are used to estimate the MGARCH-ADCC model in levels as they satisfy the stationarity condition of the GARCH models.
Having found the asset market returns to be stationary, the next step entails determining if the return series contains ARCH effects. This condition must be met to estimate the GARCH models. Panel B in Table 1 provides the ARCH LM test (see Appendix A, Table A1, Panel A, for the complete test). It is evident that for all asset markets, besides the oil proxy for the commodity market, the null hypothesis of asset market returns not containing ARCH effects is rejected at a one-percent significance level. Given these test results, the study will use GARCH models to estimate the conditional volatility of all asset market returns besides the oil proxy, as they capture time-varying conditional volatility, which follows an autoregressive process. Despite oil returns not exhibiting heteroscedasticity, this study is not subjected to biases as the gold return series is included to proxy the commodity market.

4.2. Empirical Model Results

4.2.1. Univariate GARCH-M Model Selection

The first step in estimating a bivariant MGARCH-ADCC model is to determine the univariate GARCH specification so that the residuals can be obtained, standardized, and used to estimate the model. Accordingly, Table 2 provides each asset market’s univariate GARCH model specification. This study uses Schwarz’s information criteria (SIC) to determine the best-fitted model for the univariate specification as the number of observations exceed 130. Moreover, this study considers the normal, Student’s T, and generalized error distribution (GED) estimation techniques. It is evident from the results that all asset markets except for the equity market suggest a GARCH (1.1) model for the univariate specification. However, an EGARCH (1.1) model is specified for the equity market. The specification of the EGARCH (1.1) model is not unusual, as Szczygielski and Chipeta (2023) found that South African stock market returns depart from normality and contain heteroscedasticity, long memory, persistence, and asymmetry. Consequently, they propose using EGARCH or GJRGARCH models, of which the model specification is correct.

4.2.2. Univariate GARCH-M Results

Table 3 shows the univariate GARCH estimation based on the model specification. The mean equation is provided in Panel A, and the variance equation is presented in Panel B. The mean equation intercept ( μ ) provides the return when the total risk and the lagged period return are zero. The parameters associated with all asset markets, besides the property market, exhibit insignificant coefficients. This indicates that the average return of these market indices is not explained by total risk (effect of past shocks) and previous returns (Bodie et al. 2019). However, for the property market, the average return is explained by past shocks and returns. The serial correlation parameter ( ϕ ) is positive and significant for all asset markets besides the commodity market. This implies that past positive and negative returns can be used to explain future returns in these markets. The positive and negative serial correlation parameters contradict the weak form of efficiency, as excess returns can be earned by using technical and fundamental analysis (Fama 1970; Bodie et al. 2019). The GARCH term ( ζ ) demonstrates positive and significant coefficients for all asset markets; the positive (negative) coefficients suggest that past positive (negative) shocks can be used to explain the future return of these markets. This observation is consistent with inefficiency in each market (Moodley et al. 2022; Schmeling 2007; Lawrence et al. 2024; Moodley et al. 2024; Moodley 2024). The risk premium parameter ( υ ) is positive (negative) and significant for the property market (commodity market); this indicates that risk increases (decreases) with the mean monthly return, which indicates investors will be positively (will not be) compensated for bearing risk.
In Panel B, the variance equation ARCH term ( ω ) is positive and significant at varying significance levels for the bond, property, and commodity markets. Accordingly, the current returns of these markets can be determined by using previous returns. The GARCH term ( ϑ ) is positive and significant for all asset markets, suggesting that past volatility can explain current volatility in each market. The leverage term ( γ ) is negative and significant for the equity market. This is indicative of the presence of leverage effects in the equity market. Therefore, positive shocks increase volatility in the equity market more than adverse shocks of the same magnitude. In panel C, the ARCH LM test (see Appendix A, Table A1, Panel B, for the complete test) is provided for each model. Autocorrelation is not present for each model. Moreover, the stationarity properties of the models are met such that 0 <   ω , ϑ   < 1, and ω + ϑ < 1, which validates the reliability of the estimated models.

4.2.3. MGARCH-ADCC Model Results

Having identified the correct specification of the univariate GARCH models, the squared residuals were then captured and used to estimate the MGARCH-ADCC model. As with the univariate GARCH model specification, this study applies the same procedure to the MGARCH-ADCC model. Accordingly, the GARCH (1.1), GJR-GARCH (1.1), and E-GARCH (1.1) models were used in the MGARCH framework. The best specification was selected to minimize the SIC in a selected asset market. It is interesting to note that the EGARCH (1.1) specification was selected for all asset markets in South Africa (see Appendix B, Table A2). This suggests that leverage effects exist in the selected asset markets, meaning that negative returns significantly impact future volatility more than positive returns.
In Table 4, the θ 1 and θ 2 coefficients capture the effect of past shocks and dynamic conditional correlations on current dynamic condition correlations. θ 1 was statistically significant for the equity–property, equity–gold, bond–property, bond–gold, and property–gold markets. However, for θ 2 , all asset market pairs provided significant coefficients. Consequently, this suggests that there are time-varying market correlations for all asset market pairs. Accordingly, these findings have significant implications for portfolios that consist of South Africa multi-asset market securities, as the past and current volatility of each market influences the co-movement of each market, causing the correlations to vary over time. It is important to note that the θ 1 coefficients were close to 0 for all asset market pairs. In contrast, θ 2 was close to 1 for all asset market pairs, suggesting that the conditional correlation is decreasing over time towards (1 − bt)/(bt) (Do et al. 2020). Moreover, θ 2 was greater than θ 1 for all asset market pairs, indicating high long-run persistence.
The asymmetry coefficient, θ 3 , is significant for the equity–bond, equity–property, bond–property, and bond–gold markets. However, only the equity–gold and property–gold market coefficients were insignificant. The former suggests that leverage effects exist, implying that negative market momentum strengthens co-movement between markets more than positive momentum of equal magnitude (Muguto 2022). The findings suggest that risk transmission is prevalent among the equity–bond market, equity–property market, bond–property market, and bond–gold market, such that the volatility of each market influences the co-movement of the asset market pair. It is worth noting that the bond–property market leverage coefficient was the highest, followed by the bond–gold market, equity–bond market, and equity–property market. This suggests that risk transmission among the bond and property markets is the highest, significantly influencing the co-movement of these asset market pairs compared to other asset market pairs. However, the coefficients are closer to 0, suggesting that risk transmission is prevalent but not at heightened levels.
Finding time-varying correlations indicates that the MGARCH-ADCC framework was the most appropriate model for determining the co-movement between multi-asset markets in South Africa. In contrast, if the coefficients of θ 1 and θ 2 were insignificant, then the MGARCH-CCC model would be better suited for the estimation. Furthermore, the stationarity condition of θ 1 + θ 2 < 1 is met for all asset markets, further supporting the model’s suitability.

4.2.4. MODWT Model Results

The second part of the study objective is to examine the correlation among South African asset markets at different time–frequencies or investment periods. Consequently, this study follows the methodology of Karim et al. (2022) by using MODWT to decompose the time series into investment horizons, also known as investment periods. In line with the FMH, financial markets comprise heterogeneous investors with short-term, medium-term, and long-term investment horizons (2–4, 4–8, and 8–16 months, respectively). Therefore, it is essential to cater to these investment periods as they generate the outcomes in the market (Karim et al. 2022).
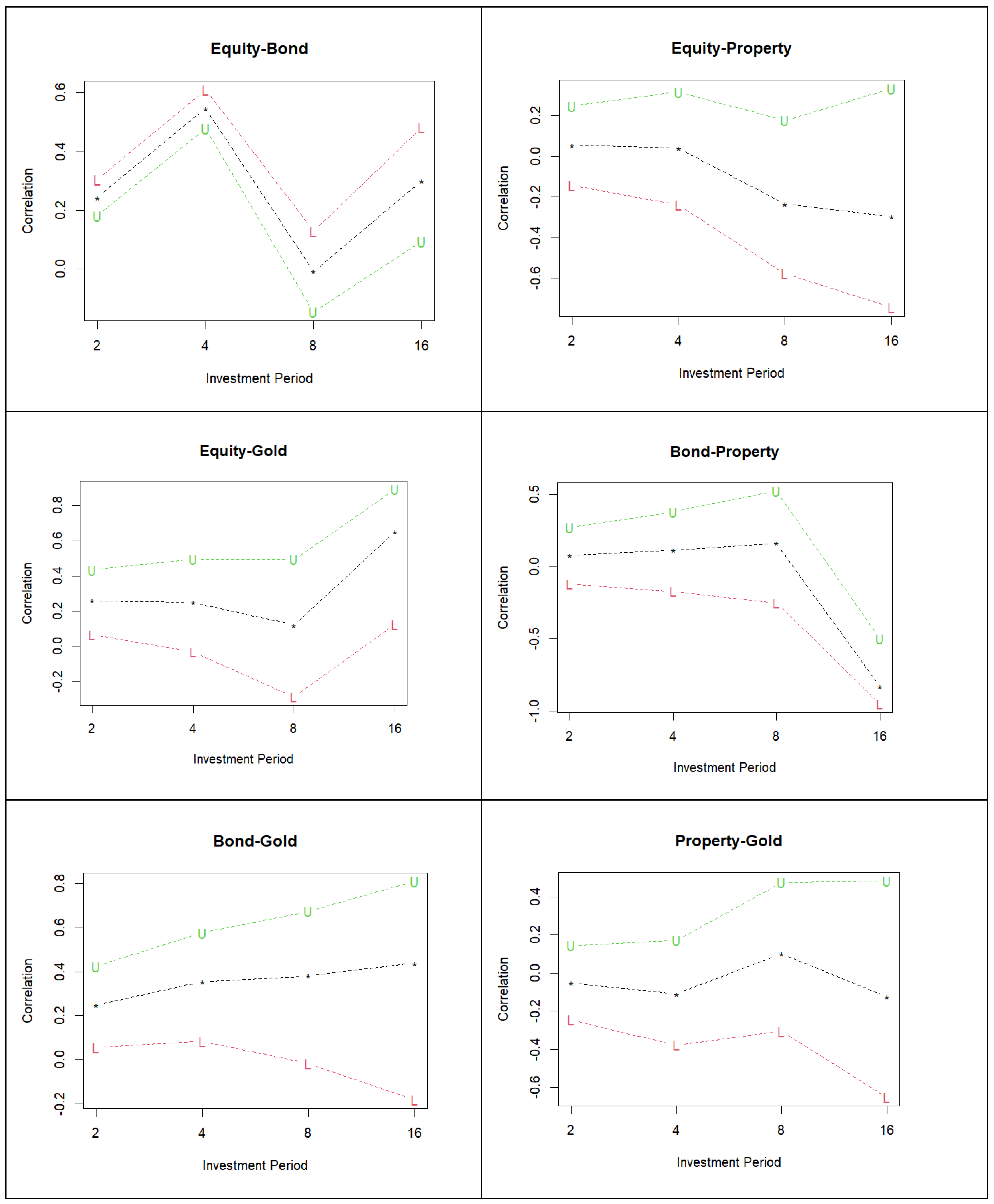
Figure 2 provides the wavelet-based correlation estimates between South African multi-asset markets. The X-axis demonstrates the decomposed investment periods (2, 4, 8, and 16 months), and the Y-axis provides the correlation of each associated investment period. The correlation increases if one looks at the equity–bond correlation during a short-term investment period (2–4 months). However, during the medium-term investment period (4–8 months), the correlation falls close to 0; in the long-term investment period (8–16 months), the correlation increases again. One then concludes that there are added diversification benefits for incorporating securities from the equity and bond market in a portfolio only in the medium term, as in the short term and long term, there are no added diversification benefits.
It is further visualized that the equity–property market correlation is stable during the short-term investment period. However, the correlation decreases in the medium-term and long-term investment periods. This implies that investors will generate the highest level of diversification in a portfolio if they choose to hold securities from the equity and property markets in the medium and long term. However, the short term also provides relevant stable correlations, but the diversification benefit is not greater than that of the medium-term and long-term investment periods.
The equity–gold correlations in the short-term and medium-term investment periods are low and close to 0. However, in the long-term investment period, the correlations increase to 0.6. Therefore, investors will generate diversification benefits in their portfolios if they hold securities from the equity and gold market in the short-term and medium-term investment periods. However, if investors hold these securities in the long-term, it will not allow for enhanced diversification benefits.
The bond–property graphical representation shows that the correlation is relevantly low and close to 0 in the short-term and medium-term investment periods. However, the correlations decrease when one moves to the long-term investment period. It is interesting to conclude that holding securities that form part of the bond or property market in the short-term, medium-term, and long-term will yield diversification benefits. However, the diversification benefits are more pronounced in the long-term investment period as the correlations decrease. This implies that if the bond market security price increases, the property market security price will decrease in a portfolio, and vice versa.
The short-term bond–gold correlations are the lowest compared to the medium-term and long-term. However, these correlations still suggest that there will be added diversification benefits across each investment period as they are relatively close to 0. The diversification benefit is much higher in the short-term than in the medium-term and long-term. Therefore, if investors hold securities from both these markets in their portfolio throughout the investment period, they will generate enhanced diversification benefits. However, this is subjected to the short-term investment period providing the highest level of diversification.
The property–gold correlation in the short-term investment period decreases but increases in the medium-term investment period, though it is not greater than 0; after that, it decreases again in the long-term investment period. Therefore, property–gold correlations provide the highest level of diversification at each investment period, as the correlations are close to 0 for the short-term, medium-term, and long-term investment periods. It can be concluded that incorporating securities from the property and gold markets in a portfolio at any investment period will yield high levels of diversification, and such diversification is not subject to investor holding periods.
For a better view, in Table 5, the wavelet-based correlations, shown in Figure 2, have been ranked from highest to lowest for all investment periods (see Appendix C, Table A3 for detailed output). At an investment period of 2 months, holding securities that form part of the property–gold market provides the highest level of diversification in a portfolio, followed by securities from the bond–property, equity–bond, bond–gold, and equity–gold markets. However, in an investment period of 4 months, incorporating securities that are part of the property–gold market will yield the highest level of diversification, followed by securities from the equity–property market, bond–property market, equity–gold market, bond–gold market, and equity–bond market. Over an investment period of 8 months, again, it is seen that holding securities from the property–gold market in a portfolio provides the highest level of diversification, followed by securities from the equity–bond market, property–gold market, equity–gold market, bond–property market, and bond–gold market. For an investment period of 16 months, holding securities from the bond–property market in a portfolio will yield the highest level of diversification, followed by securities from the equity–property market, property–gold market, equity–bond market, bond–gold market, and equity–gold market. However, during an investment period greater than 16 months, the highest diversification is attained to the property–gold, followed by equity–gold, bond–property, equity–bond, bond–gold, and equity–property. On this basis, the diversification benefits offered by the property–gold market are the highest for all investment periods besides the medium-term investment period. At the same time, a combination of equity–gold securities will yield the lowest diversification at all investment periods besides the medium-term investment period and periods greater than 16 months.

4.2.5. WCT and WPA Results

The third objective of this study is to examine the lead–lag relationship between South African asset markets. Consequently, this study implements the WCT model to further decompose the investment periods and the phase angle pattern to determine the lead–lag relationship. In Figure 3, the vertical axis presents the investment periods (2–4, 4–8, 8–16, 16–32, and 32–64 months). The horizontal axis represents time regarding the number of trading dates from 2007 to 2024. The arc line is estimated using the Monte Carlo simulation and provides the significance level (5%). The area outside this arc line is statistically insignificant at a 95% confidence level. The red/orange areas at the left-hand and right-hand side of the wavelet coherence plots of each asset market pair demonstrate significant correlation at the start and end of the sample period. Similarly, the red/orange areas at the top and bottom of the wavelet coherence plots for each asset market pair demonstrate a strong correlation at different investment periods, which vary over time, as found by the MGARCH-ADCC results.
The equity–bond correlations were sporadic, indicated by the red/yellow areas, during the 2007/2008 GFC and the COVID-19 pandemic. The interdependency during the 2007/2008 GFC was higher in the short-term and medium-term investment periods (2–4 and 4–8 months). This is because the GFC originated in the equity market and spread immediately to other equity markets worldwide, causing instant repercussions. On the contrary, the interdependency of the equities and bonds during the COVID-19 pandemic is strong for the short-term, medium-term, and long-term investment periods. These findings do not come as a shock, as the equity and bond markets were negatively affected by the pandemic, which saw correlations increase and portfolio returns decrease.
The interdependency between the equity–property and bond–property markets are stronger in the long-term investment periods (8–16, 16–32, and 32–64 months) compared to the short-term and medium-term investment periods during the GFC and the COVID-19 pandemic. Furthermore, the interdependence between the equity–property and the bond–property markets is stronger before and after each financial market event. This suggests that the equity–property and bond–property co-movement will last long after historical events, which provides low portfolio diversification benefits in long-term investment periods. Accordingly, investors must consider only holding securities from these markets during financial uncertainty in a portfolio for short-term and medium-term investment periods, as it will generate the highest level of diversification.
The equity–gold and bond–gold interdependency during the 2007/2008 GFC and COVID-19 pandemic is strong during the long-term investment period and weak during the short-term and medium-term investment periods. This suggests that holding securities from the equity market with gold and the bond market with gold in a portfolio during an adverse financial market event will yield high portfolio diversification benefits immediately (short-term and medium-term). These findings are supported by evidence of gold being a safe-haven security, which can be used during financial market uncertainty to reduce risk due to its low co-movement with other asset markets. However, for the property–gold market, we see the total opposite of this: the interdependency is stronger during the short-term and medium-term investment periods than during the long-term investment period (blue areas). This suggests that holding securities from the property market with gold in a portfolio will not yield immediate diversification benefits; the diversification benefits are only experienced during long-term investment periods. Consequently, incorporating gold in a portfolio enhances diversification. It reduces risk during financial market uncertainty due to its safe-haven properties. However, such properties depend on the type of securities combined within a portfolio, as diversification benefits will be experienced during different investment periods during financial market uncertainty.
The WPA can also be observed in Figure 2; the plots of the wavelet coherence for all asset market pairs contain arrows pointing left and right, meaning that the correlation between each asset market pair is positive and negative. These findings are in line with the observations from the MODWT section. The findings imply that the relationship between each asset market pair is heterogeneous across investment periods and time. For example, the correlation points left over a long-term investment period in 2008 for the equity–bond market. However, the arrows point right in 2023 and over a short-term investment period. This implies that the correlation is time-varying, as found in the MGARCH-ADCC results. The findings of time-varying and the dynamic nature of the co-movement are further supported by the observation of interdependency before, during, and after the GFC and COVID-19 pandemic. It is evident that the interdependency before the GFC and COVID-19 pandemic was lower, as supported by the blue areas. However, during these extreme market events, the interdependency becomes higher as the red/yellow areas are much more pronounced at different investment periods. However, after historical events, we see that all asset market interdependency falls with the exception of the equity–bond co-movement. These findings suggest that the interdependency of multi-asset market co-movement is time-varying, dynamic, and more pronounced during financial market uncertainty.
In addition to observing the type of correlation of each asset market pair from the arrows, one can also observe the lead–lag relationship. The equity–bond market and bond–gold market depict arrows pointing right and down; this suggests that these asset markets move in phase, but the bond market return leads the equity market return, and the commodity market (GOLD) return leads the bond market return. This suggests the relationship between the equity and bond markets are driven by bond returns, whereas the relationship between the bond and commodity markets is driven by commodity market returns. Moreover, the equity–property and bond–property markets move out of phase, and both the equity and bond markets lead the property market returns as the arrows point left and down. In contrast, the property–gold market does not indicate a lead–lag relationship. These findings suggest that the relationship between the equity and property markets is driven by the equity market return, and the relationship between bonds and the property market is driven by bond market returns. These findings are in line with the hypothesis of “flight to safety”, such that investors sell off high-risk assets and invest in safer asset such as bond and commodity securities. This is further corroborated by the safe-haven proposition that gold and government bonds provide portfolio stability when assets from the equity or property markets are driven down in value. Consequently, this study finds that securities from the bond and commodity markets can be used by investors to mitigate portfolio risk during adverse market conditions, such as bear periods when returns are decreasing over time as the bond and commodity markets lead the co-movement.

5. Conclusions and Implications

At the commencement of this study, the academics’ aim was to examine the time–frequency co-movement of South African asset markets. This study’s objective was threefold: first, to determine how risk transmission varies among different South African asset market pairs; second, to compare the correlation of different South African asset market pairs at varying periods (investment periods); third, to determine if a lead–lag relationship exists between different South African asset market pairs. In answering these objectives, this study selected asset market proxies for each asset market; these include the JSE-All share index (equity market), JSE-All bond index (bond market), FNB housing price index (property market), and gold futures index (commodity market). This study used different empirical models to achieve each objective, including the MGARCH-ADCC, MODWT, CWT, and WPA.
This study’s findings demonstrate that the co-movement for all asset markets is time-varying. However, only the equity–bond, equity–property, bond–property, and bond–gold markets exhibit leverage effects. This suggests that risk transmission exists among these asset market pairs; as such, the risk transmission coefficient varies among each asset market pair, suggesting it is time-varying. Furthermore, it is also evident that the co-movement of asset market pairs varies at different investment periods, suggesting that the holding period of these asset markets in a portfolio is a determinant for portfolio diversification. Accordingly, holding securities from multi-asset markets in South Africa will not guarantee portfolio diversification, rather timing the entry and exit into these markets will generate the highest diversification because the correlations vary with short-term, medium-term, and long-term investment periods. Furthermore, a lead–lag relationship exists among South African asset market pairs, such that the bond market return leads the equity market return, and the commodity market return leads the bond market return. However, the equity and bond markets lead the property market return.
The findings of this study have noticeable implications. Risk transmission exist between different asset markets in South Africa, both in the short-term and long-term. This implies that risk transmission increases the risk of losses in each asset market in South Africa. Consequently, investors should consider the state of each asset market in South Africa before making informed investment decisions, as this will directly contribute to expected returns. Despite the added risk transmission, holding securities from multi-asset markets also provides diversification over varying investment periods. Therefore, investors should consider the holding periods of incorporating securities from multi-asset markets in South Africa, as the holding periods will determine the added diversification benefits generated in the short-term, medium-term, and long-term. It is recommended that investors should use the findings of this study when they want to construct a well-diversified portfolio by investing in South African multi-asset markets. Moreover, if investors want to determine optimal periods of diversification that fall outside of the study period, they can estimate the empirical models of this study. Namely, investors must estimate the MODWT to determine how correlations of their desired securities from each asset market move together; if the correlations are high (low), then it will indicate high (low) co-movement and limited (heighten) diversification properties. Moreover, investors can expand their analysis by considering the CWT to determine how their selected securities co-move during investment periods. Again, if the correlations are high, it will suggest low levels of diversification; thus, investors should not hold the combination of selected securities in their portfolio during the identified investment period.
Moreover, when financial market uncertainty exists, the findings can also be used to mitigate portfolio volatility, as they provide the highest correlated periods among multi-asset markets at different investment periods. Therefore, this study will contribute to reducing losses for investors. That means investors should only consider entry into South African asset markets at an investment period when diversification is high. In contrast, they should exit the market at an investment period when diversification is the lowest. Therefore, portfolio rebalancing must be considered in line with investment periods, as diversification varies for short-term, medium-term and long-term investment periods. Specifically, investors should remove securities that express high correlations from their portfolio for the specific investment periods by selling them off. Moreover, during financial market uncertainty, investors should restructure their portfolio by selling those securities that generate negative returns and incorporate securities from the bond and commodity markets, as it is evident that the safe-haven proposition still prevails in the South African financial market.
The findings of this study also have adverse implications for policy makers. There exists risk transmission among asset markets in South Africa, which increases the volatility of asset markets. Heightened levels of volatility cause investors to exit markets by withdrawing their investments, which in turn affects the functionality of the South African financial market. Moreover, risk transmission has significant impacts on the co-movement of these asset markets, which affects the diversification benefits of investing in multi-asset markets in South Africa. This implies that investors will consider the South African investment environment unfavorable for risk mitigation. To omit such occurrences, policy makers should incorporate policies that ensure diversification benefits even in the presence of risk transmission. Thus, the onus lies with regulators to effectively regulate the various asset markets in South Africa in a way that will provide reliable assurances for investors concerning the stability of the specific asset markets. This may require governance across economic trading periods, and the timely restructuring of asset markets may mitigate any integration among asset markets. This will attract investors into the South African market and ensure a resilient financial market to facilitate the overall affluence of emerging markets.
It is noted that, when analyzing a specific objective, there exist limitations that must be considered, even in the event of them not affecting the robustness of the desired study. Consequently, identifying these limitations not only provides a more balanced conclusion but also assists in the direction of future research. Accordingly, this study focuses primarily on certain asset markets such as equity, bond, property, and commodity markets and does not consider the foreign exchange market and cryptocurrency market. Moreover, to cater to the research objective of this study, the sample period is subjected to two historical events, such as the CFC and COVID-19 pandemic. Thus, this study recommends that future studies incorporate additional asset markets and a larger sample period that caters for more historical market events. Moreover, studies should conduct analyses of the time–frequency co-movement of multi-asset markets in each emerging market country, like Brazil, Russia, India, China, and South Africa (BRICS), as their financial markets are related. This way, one can compare the findings to this study to determine if country-specific multi-asset markets under time-varying correlations, investment periods, and heighten market uncertainty provide the same diversification benefits or not. Thus, it will assist investors in determining which emerging-market countries’ asset markets should be considered holistically.

Author Contributions

It is important to note that the research article was written in its entirety by F.M., a Doctor of Philosophy candidate in Risk Management at Northwest University. The additional authors, S.F.-S. and K.M., are the doctoral candidate’s supervisors who assumed advisory roles and provided comments to improve the manuscript. All authors have read and agreed to the published version of the manuscript.

Funding

The authors received no specific funding to conduct this research article.

Data Availability Statement

The data is available on request from the corresponding author.

Acknowledgments

We are thankful to the anonymous reviewers for the thorough reviews, which have significantly enhanced the quality of this research article.

Conflicts of Interest

No potential conflicts of interest were reported by the authors.

Appendix A

Table A1. ARCH tests.
Table A1. ARCH tests.
F-StatisticProb. F (32,137)Obs*R-SquaredProb. Chi-Square (32)
Panel A: Preliminary Test
Equity22.7940.000020.65730.0000
Bond21.12660.000020.12780.0000
Property69.02110.000051.76180.0000
Gold6.26260.01316.13260.0133
Oil0.02790.86760.02810.8668
Univariate GARCH Model
Equity0.21121.00008.59311.0000
Bond0.23531.00008.85631.0000
Property0.02561.00001.01171.0000
Gold0.55970.971319.65540.9570
Notes: Authors’ own estimation (2024).

Appendix B

Table A2. MGARCH-ADCC model specification.
Table A2. MGARCH-ADCC model specification.
GARCHGJR GARCHEGARCH
NormalStudent’s TNormalStudent’s TNormalStudent’s T
Equity–Bond10.422410.351310.303110.276210.296010.2730
Equity–Property5.67915.71345.58205.61635.50985.5427
Equity–Gold11.951111.985911.803911.861911.765111.8312
Bond–Property4.3678894.3467784.3446024.35504.32944.3523
Bond–Gold10.690610.633010.669610.611510.659510.5807
Property–Gold5.94165.79375.94145.81795.78135.8813
Notes: 1. Bold values indicate the superior model specifications based on SIC. 2. Source: Authors’ own estimation (2024).

Appendix C

Table A3. Wavelet-base correlations.
Table A3. Wavelet-base correlations.
Equity–Bond
RankWavecorLowerUpper
D10.243920.05090.4193
D20.54700.31690.7163
D3−0.0079−0.40170.3884
D40.30016739−0.33070.7456
S4−0.12145449−0.84930.7655
Equity–Property
D10.0546−0.14230.2474
D20.0418−0.23920.3165
D3−0.2346−0.57630.1768
D4−0.2978−0.74440.3330
S40.5300−0.49400.9380
Equity–Gold
D10.26020.06820.4336
D20.2497−0.03070.4937
D30.1207−0.28810.4923
D40.65140.12380.8918
S4−0.6329−0.95430.3673
Bond–Property
D10.0762−0.12100.2676
D20.1126−0.17100.3791
D30.1606−0.25030.5226
D4−0.8337−0.9520−0.4983
S4−0.3662−0.90790.6336
Bond–Gold
D10.24930.05660.4240
D20.35350.08330.5752
D30.3807−0.01680.6744
D40.4380−0.18140.8086
S4−0.0714−0.83460.7856
Property–Gold
D1−0.0522−0.24510.1446
D2−0.1116−0.37820.1720
D30.1009−0.30630.4770
D4−0.1254−0.65230.4832
S4−0.7075−0.96490.2442
Notes: Source: Authors’ own estimation (2024).

References

  1. Akinsomi, Omokolade, Mehmet Balcilar, Riza Demirer, and Rangan Gupta. 2017. The effect of gold market speculation on REIT returns in South Africa: A behavioral perspective. Journal of Economics and Finance 41: 774–93. [Google Scholar] [CrossRef]
  2. Alqaralleh, Huthaifa, Alessandra Canepa, and Gazi Salah Uddin. 2023. Dynamic relations between housing Markets, stock Markets, and uncertainty in global Cities: A Time-Frequency approach. The North American Journal of Economics and Finance 68: e101950. [Google Scholar] [CrossRef]
  3. Babikir, Ali, Rangan Gupta, Chance Mwabutwa, and Emmanuel Owusu-Sekyere. 2012. Structural breaks and GARCH models of stock return volatility: The case of South Africa. Economic Modelling 29: 2435–43. [Google Scholar] [CrossRef]
  4. Batondo, Musumba, and Josine Uwilingiye. 2022. Comovement across BRICS and the US Stock Markets: A Multitime Scale Wavelet Analysis. International Journal of Financial Studies 10: 27. [Google Scholar] [CrossRef]
  5. Beirne, John, and Jana Gieck. 2014. Interdependence and contagion in global asset markets. Review of International Economics 22: 639–59. [Google Scholar] [CrossRef]
  6. Bloomfield, D. Shaun, R. T. James McAteer, Bruce. W. Lites, Philip. G. Judge, Mihalis Mathioudakis, and Francis P. Keenan. 2004. Wavelet phase coherence analysis: Application to a quiet-sun magnetic element. The Astrophysical Journal 617: 623–32. [Google Scholar] [CrossRef]
  7. Boako, Gideon, and Paul Alagidede. 2017. Co-movement of Africa’s equity markets: Regional and global analysis in the frequency–time domains. Physica A: Statistical Mechanics and Its Applications 468: 359–80. [Google Scholar] [CrossRef]
  8. Bodie, Zvi, Alex Kane, and Alan Marcus. 2019. Essentials of Investments: Global Edition, 11th ed. New York: McGraw Hill. [Google Scholar]
  9. Bossman, Ahmed, Anokye Mohammed Adam, Peterson Owusu Junior, and Samuel Kwaku Agyei. 2022. Assessing interdependence and contagion effects on the bond yield and stock returns nexus in Sub-Saharan Africa: Evidence from wavelet analysis. Scientific African 16: 12–32. [Google Scholar] [CrossRef]
  10. Boubaker, Heni, and Hichem Rezgui. 2020. Co-movement between some commodities and the Dow Jones Islamic index: A Wavelet analysis. Economics Bulletin 40: 574–86. [Google Scholar]
  11. Bredin, Don, Thomas Conlon, and Valerio Potì. 2015. Does gold glitter in the long-run? Gold as a hedge and safe haven across time and investment horizon. International Review of Financial Analysis 41: 320–28. [Google Scholar] [CrossRef]
  12. Cappiello, Lorenzo, Robert F. Engle, and Kevin Sheppard. 2006. Asymmetric Dynamics in the Correlations of Global Equity and Bond Returns. Journal of Financial Econometrics 4: 537–72. [Google Scholar] [CrossRef]
  13. Chang, Guang-Di, and Po-Ching Cheng. 2016. Evidence of cross-asset contagion in US markets. Economic Modelling 58: 219–26. [Google Scholar] [CrossRef]
  14. Chantziara, Thalia, and George Skiadopoulos. 2008. Can the dynamics of the term structure of petroleum futures be forecasted? Evidence from major markets. Energy Economics 30: 962–85. [Google Scholar] [CrossRef]
  15. Chatziantoniou, Ioannis, David Gabauer, and Alexis Stenfors. 2021. Interest rate swaps and the transmission mechanism of monetary policy: A quantile connectedness approach. Economics Letters 204: 109891. [Google Scholar] [CrossRef]
  16. Cornish, Charles R., Christopher S. Bretherton, and Donald B. Percival. 2006. Maximal overlap wavelet statistical analysis with application to atmospheric turbulence. Boundary-Layer Meteorology 119: 339–74. [Google Scholar] [CrossRef]
  17. Das, Debojyoti, M. Kannadhasan, Aviral Kumar Tiwari, and Khamis Hamed Al-Yahyaee. 2018. Has co-movement dynamics in emerging stock markets changed after global financial crisis? New evidence from wavelet analysis. Applied Economics Letters 25: 1447–53. [Google Scholar] [CrossRef]
  18. Der Linde, Van, and Johannes Alwyn. 2017. An Analysis of the Co-Movement between South African and Global Mining Indices. Ph.D. dissertation, North-West University, Potchefstroom, South Africa. [Google Scholar]
  19. Do, Anh, Robert Powell, Jaime Yong, and Abhay Singh. 2020. Time-varying asymmetric volatility spillover between global markets and China’s A, B and H-shares using EGARCH and DCC-EGARCH models. The North American Journal of Economics and Finance 54: 101096. [Google Scholar] [CrossRef]
  20. Ejaz, Rimsha. 2021. Green Bond and International Financial Markets: Spillover, Co-movement and Diversification. Ph.D. dissertation, Capital University, Bexley, OH, USA. [Google Scholar]
  21. Engle, Robert. 2001. GARCH 101: The use of ARCH/GARCH models in applied econometrics. Journal of Economic Perspectives 15: 157–68. [Google Scholar] [CrossRef]
  22. Engle, Robert. 2002. Dynamic conditional correlation: A simple class of multivariate generalized autoregressive conditional heteroskedasticity models. Journal of Business & Economic Statistics 20: 339–50. [Google Scholar]
  23. Fama, Eugene F. 1970. Efficient capital markets. Journal of finance 25: 383–417. [Google Scholar] [CrossRef]
  24. Fang, Yi, and Zhiquan Shao. 2022. The Russia-Ukraine conflict and volatility risk of commodity markets. Finance Research Letters 50: 103264. [Google Scholar] [CrossRef]
  25. Gande, Amar, and David C. Parsley. 2004. Sovereign credit ratings, transparency and international portfolio flows. In AFA 2006 Boston Meetings Paper. Available online: https://mpra.ub.uni-muenchen.de/21118/1/MPRA_paper_21118.pdf (accessed on 10 October 2024).
  26. Gençay, Ramazan, Faruk Selçuk, and Brandon Whitcher. 2002. An introduction to wavelets and other filtering methods in finance and economics. Waves in Random Media 12: 399–99. [Google Scholar]
  27. Huang, Chai Liang. 2020. International stock market co-movements following US financial globalization. International Review of Economics & Finance 69: 788–814. [Google Scholar]
  28. Huang, Zishan, Huiming Zhu, Liya Hau, and Xi Deng. 2023. Time-frequency co-movement and network connectedness between green bond and financial asset markets: Evidence from multiscale TVP-VAR analysis. The North American Journal of Economics and Finance 67: 101945. [Google Scholar] [CrossRef]
  29. In, Francis, and Sangbae Kim. 2013. An Introduction to Wavelet Theory in Finance: A Wavelet Multiscale Approach. Singapore: World Scientific. [Google Scholar]
  30. Jiang, Yonghong, Mengmeng Yu, and Shabir Mohsin Hashmi. 2017. The financial crisis and co-movement of global stock markets—A case of six major economies. Sustainability 9: 260. [Google Scholar] [CrossRef]
  31. Junior, Peterson Owusu, Joseph Emmanuel Tetteh, Bernice Nkrumah-Boadu, and Abigail N. Adjei. 2024. Comovement of african stock markets: Any influence from the COVID-19 pandemic? Heliyon 10: 192–213. [Google Scholar]
  32. Kannadhasan, Mahu, and Das Das. 2019. Has Co-movement dynamics in Brazil, Russia, India, China and South Africa (BRICS) markets changed after global financial crisis? New evidence from wavelet analysis. Asian Academy of Management Journal of Accounting and Finance 15: 25–38. [Google Scholar] [CrossRef]
  33. Karim, Muhammad Mahmudul, and Mansur Masih. 2019. Do the Islamic stock market returns respond differently to the realized and implied volatility of oil prices? Evidence from the time–frequency analysis. Emerging Markets Finance and Trade 57: 2616–31. [Google Scholar] [CrossRef]
  34. Karim, Muhammad Mahmudul, Najmul Haque Kawsar, Mohamed Ariff, and Mansur Masih. 2022. Does implied volatility (or fear index) affect Islamic stock returns and conventional stock returns differently? Wavelet-based granger-causality, asymmetric quantile regression and NARDL approaches. Journal of International Financial Markets, Institutions and Money 77: 101532. [Google Scholar] [CrossRef]
  35. Katzke, Niko. 2013. South African Sector Return Correlations: Using DCC and ADCC Multivariate GARCH Techniques to Uncover the Underlying Dynamics. Stellenbosch: Stellenbosch University, pp. 10–17. [Google Scholar]
  36. Khan, Aftab Parvez, Sarkar Humayun Kabir, Omar K. M. R. Bashar, and A. Mansur M. Masih. 2015. Time varying correlation between Islamic equity and commodity returns: Implications for portfolio diversification. The Journal of Developing Areas 49: 115–28. [Google Scholar] [CrossRef]
  37. Lawrence, Babatunde, Fabian Moodley, and Sune Ferreira-Schenk. 2024. Macroeconomic determinants of the JSE size-base industries connectedness: Evidence from changing market conditions. Cogent Economics & Finance 12: 2397454. [Google Scholar]
  38. Liu, Sijie, Yong Geng, Ziyan Gao, Jinze Li, and Shijiang Xiao. 2023. Uncovering the key features of gold flows and stocks in China. Resources Policy 82: 103584. [Google Scholar] [CrossRef]
  39. Maiti, Moinak, Darko Vukovic, Yaroslav Vyklyuk, and Zoran Grubisic. 2022. BRICS capital markets co-movement analysis and forecasting. Risks 10: 88. [Google Scholar] [CrossRef]
  40. Mandelbrot, Benoit. 1966. Forecasts of future prices, unbiased markets, and “martingale” models. The Journal of Business 39: 242–55. [Google Scholar] [CrossRef]
  41. McIver, Ron P., and Sang Hoon Kang. 2020. Financial crises and the dynamics of the spillovers between the US and BRICS stock markets. Research in International Business and Finance 54: 101276. [Google Scholar] [CrossRef]
  42. Moodley, Fabian. 2024. Bond Indices Maturities and Changing Macroeconomic Conditions: Evidence from South Africa. Journal of Economics and Financial Analysis 8: 57–73. [Google Scholar]
  43. Moodley, Fabian, Ntokozo Nzimande, and Paul Francois Muzindutsi. 2022. Stock Returns Indices and Changing Macroeconomic Conditions: Evidence from the Johannesburg Securities Exchange. The Journal of Accounting and Management 12: 24–36. [Google Scholar]
  44. Moodley, Fabian, Sune Ferreira-Schenk, and Kago Matlhaku. 2024. Effect of Market-Wide Investor Sentiment on South African Government Bond Indices of Varying Maturities under Changing Market Conditions. Economies 12: 265. [Google Scholar] [CrossRef]
  45. Mosli, Naseem Zaki, and Tahar Tayachi. 2021. Sukuk-Bond Dynamic Co-Movement and Driving Factors: Evidence from DCC-GARCH and Wavelet Analysis. PalArch’s Journal of Archaeology of Egypt/Egyptology 18: 315–25. [Google Scholar]
  46. Muguto, Lorraine. 2022. Analysis of Stock Return Volatility and Its Response to Investor Sentiment: An Examination of Emerging and Developed Markets. Ph.D. dissertation, University of KwaZulu-Natal, Durban, South Africa. [Google Scholar]
  47. Muzindutsi, Paul Francios, Richard Apau, Lorraine Muguto, and Hillary Tinotenda Muguto. 2023. The Impact of Investor Sentiment on Housing Prices and the Property Stock Index Volatility in South Africa. Real Estate Management and Valuation 31: 1–17. [Google Scholar] [CrossRef]
  48. Nguyen, Thi Thu Ha, Muhammad Abubakr Naeem, Faruk Balli, Hatice Ozer Balli, and Xuan Vinh Vo. 2021. Time-frequency co-movement among green bonds, stocks, commodities, clean energy, and conventional bonds. Finance Research Letters 40: 101739. [Google Scholar] [CrossRef]
  49. Nhlapho, Rethabile Nokulunga. 2023. Country Risk Components and Financial Asset Markets Interdependence: Evidence from South Africa. Ph.D. dissertation, University of KwaZulu-Natal, Durban, South Africa. [Google Scholar]
  50. Niu, Hongli, Yao Lu, and Weiqing Wang. 2023. Does investor sentiment differently affect stocks in different sectors? Evidence from China. International Journal of Emerging Markets 18: 3224–44. [Google Scholar] [CrossRef]
  51. Öztek, Mehmet Fatih, and Nadir Öcal. 2017. Financial crises and the nature of correlation between commodity and stock markets. International Review of Economics & Finance 48: 56–68. [Google Scholar]
  52. Percival, Donald B., and Andrew T. Walden. 2000. Wavelet Methods for Time Series Analysis. Cambridge: Cambridge University Press. [Google Scholar]
  53. Perron, Pierre. 1989. The great crash, the oil price shock, and the unit root hypothesis. Econometrica: Journal of the Econometric Society 57: 1361–401. [Google Scholar] [CrossRef]
  54. Phiri, Andrew, Izunna Anyikwa, and Clement Moyo. 2023. Co-movement between COVID-19 and G20 stock market returns: A time and frequency analysis. Heliyon 9: 105–15. [Google Scholar] [CrossRef]
  55. Qabhobho, Thobekile, Syden Mishi, Ewert P. Kleynhans, Edson Vengesai, and Ongama Mtimka. 2024. External shocks’ effects on the co-movements of currency and stock returns in three Southern African Development Community states. South African Journal of Economic and Management Sciences 27: 5103. [Google Scholar] [CrossRef]
  56. Rena, Ravinder, and Malindi Msoni. 2014. Global financial crises and its impact on the South African economy: A further update. Journal of Economics 5: 17–25. [Google Scholar] [CrossRef]
  57. Sayed, Ayasha, and Ailie Charteris. 2024. Integration among the BRICS stock markets: Filtering out global factors. Investment Analysts Journal, 1–24. [Google Scholar] [CrossRef]
  58. Schmeling, Maik. 2007. Institutional and individual sentiment: Smart money and noise trader risk? International Journal of Forecasting 23: 127–45. [Google Scholar] [CrossRef]
  59. Singh, Amanjot. 2020. COVID-19 and safer investment bets. Finance Research Letters 36: 101729. [Google Scholar] [CrossRef]
  60. Szczygielski, Jan Jakub, and Chimwemwe Chipeta. 2023. Properties of returns and variance and the implications for time series modelling: Evidence from South Africa. Modern Finance 1: 35–55. [Google Scholar] [CrossRef]
  61. Torrence, Christopher, and Peter J. Webster. 1999. Interdecadal changes in the ENSO–monsoon system. Journal of Climate 12: 2679–90. [Google Scholar] [CrossRef]
  62. Yaya, OlaOluwa, Olayinka Adenikinju, and Hammed A. Olayinka. 2024. African stock markets’ connectedness: Quantile VAR approach. Modern Finance 2: 51–68. [Google Scholar] [CrossRef]
  63. Yunus, Nafeesa. 2023. Long-run and short-run impact of the US economy on stock, bond and housing markets: An evaluation of US and six major economies. The Quarterly Review of Economics and Finance 16: 116–30. [Google Scholar]
  64. Zamojska, Anna, Magdalena Mosionek-Schweda, and Anna Golab. 2020. Green Bonds: Co-Movement and Risk Premium Spillover Effects in Selected Financial Markets. Ph.D. disseration, University of Gdansk, Gdansk, Poland. [Google Scholar]
  65. Zhang, Dayong, Min Hu, and Qiang Ji. 2020. Financial markets under the global pandemic of COVID-19. Finance Research Letters 36: 101528. [Google Scholar] [CrossRef]
  66. Zivot, Eric, and Donald W. K. Andrews. 2002. Further evidence on the great crash, the oil-price shock, and the unit-root hypothesis. Journal of Business & Economic Statistics 20: 25–44. [Google Scholar]
Figure 1. Returns of South African multi-asset market proxies. Source: The authors’ own estimation (2024).
Figure 1. Returns of South African multi-asset market proxies. Source: The authors’ own estimation (2024).
Jrfm 17 00471 g001
Figure 2. MODWT-based correlations of South African multi-asset markets at different investment periods. 1. The green, black and red lines represent the higher bound correlations, standard correlations and lower bound correlations, respectively. 2. * indicates the investment periods. 3. Source: Authors’ own estimation (2024).
Figure 2. MODWT-based correlations of South African multi-asset markets at different investment periods. 1. The green, black and red lines represent the higher bound correlations, standard correlations and lower bound correlations, respectively. 2. * indicates the investment periods. 3. Source: Authors’ own estimation (2024).
Jrfm 17 00471 g002
Figure 3. South African multi-asset markets’ WTC. Notes: Source: Authors’ own estimation (2024).
Figure 3. South African multi-asset markets’ WTC. Notes: Source: Authors’ own estimation (2024).
Jrfm 17 00471 g003aJrfm 17 00471 g003b
Table 1. Descriptive statistics, unit root, stationarity, and ARCH test results.
Table 1. Descriptive statistics, unit root, stationarity, and ARCH test results.
EQUITYBONDPROPERTYGOLDOIL
Panel A: Descriptive Statistics
Mean0.5101−0.09810.31240.54870.1010
Median0.7805−0.09420.35480.67111.4562
Maximum12.34637.47831.608012.791163.3269
Minimum−15.0311−11.2654−0.9608−19.6561−78.1866
Std. Dev.4.48092.28010.35664.909511.8663
Skewness−0.2277−0.3716−0.2470−0.2815−0.9571
Kurtosis3.88596.32166.31353.924515.1652
Jarque–Bera8.392897.989494.93239.910482.7560
Probability0.01500.00000.00000.00700.0000
Observations203203203203203
Panel B: Unit Root and Stationarity Tests
ADF−15.0030 ***−12.3651 ***−3.8449 ***−15.9094 ***−11.5535 ***
PP−15.0038 ***−18.0543 ***−4.3632 ***−15.9929 ***−11.3137 ***
KPSS0.04360.06830.14210.16420.0445
ZA−15.2352 ***−15.5802 ***−15.7271 ***−16.5491 ***−10.5690 ***
Panel C: ARCH test
ARCH LM20.6573 ***20.1278 ***51.7618 ***6.1326 **0.0281
Notes: 1. ***, and **, indicate a statistical significance level of 1%, and 5%, significance, respectively. 2. The critical values associated with the KPSS test are 0.7390, 0.4630, and 0.3470, respectively. The Zivot and Andrews (2002) critical values are −5.75, −5.08, and −4.82, respectively. 3. Source: Authors’ own estimations (2024).
Table 2. Univariate GARCH model specification.
Table 2. Univariate GARCH model specification.
GARCHGJR GARCHEGARCH
NormalStudent’s TGEDNormalStudent’s TGEDNormalStudent’s TGED
Equity5.85515.88145.88045.78735.81365.86655.77375.81795.7214
Bond4.48944.44224.44754.55384.46554.47114.57244.46574.5352
Property−2.6208−2.5945−2.6287−2.6005−2.5741−2.6084−2.6123−2.5863−2.6073
Gold6.12546.15486.14226.15176.18366.17796.14306.18246.1680
Notes: 1. Bold values indicate the superior model specifications based on SIC. 2. Source: Authors’ own estimation (2024).
Table 3. Univariate GARCH model results.
Table 3. Univariate GARCH model results.
EquityBondPropertyGold
ModelEGARCHGARCHGARCHGARCH
Panel A: Mean Equation
μ 1.1109−0.04291.4013 ***0.5013
ϕ 0.9392 ***0.7517 ***0.9384 ***−0.6578 *
ζ −0.9877 ***−0.9242 ***0.7479 ***0.5942 **
υ −0.1589-0.1729 ***−0.0005 *
Panel B: Variance Equation
φ 0.6268 **2.6477 *2.43 × 10−52.5128
ω 0.07610.2038 **0.0685 ***0.1480 *
ϑ 0.7593 ***0.2970 *0.4747 ***0.7511 ***
γ −0.4966 ***---
Panel C: Diagnostic Tests
ARCH-LM5.91120.23530.02560.5597
Notes: 1. ***, **, and * indicate a statistical significance level of 1%, 5%, and 10% significance, respectively. 2. In the mean equation, μ is the intercept, ϕ is the serial correlation parameter, ζ is the GARCH term, and υ is the risk premium. 3. In the variance equation, φ is the intercept, ω is the effect of past returns on current returns, ϑ is the effect of past volatility on current volatility, and γ is the leverage term. 4. Source: Authors’ own estimations (2024).
Table 4. ADCC-EGARCH (1.1) model results.
Table 4. ADCC-EGARCH (1.1) model results.
MGARCH-ADCC
θ 1 θ 2 θ 3 ρi,j (min)ρi,j (max)ρi,j (σ)
Equity–Bond0.06400.8216 ***0.0163 **−0.19410.56660.1352
Equity–Property0.0369 ***0.9114 ***0.0081 **−0.10040.37660.0902
Equity–Gold0.0577 *0.5898 *0.1847−0.27470.65560.1107
Bond–Property0.0354 ***0.7363 ***0.0286 ***−0.99990.19750.0978
Bond–Gold0.0289 *0.8463 ***0.0211 ***−0.13550.45120.0553
Property–Gold0.0674 ***0.7733 ***0.0080−0.65240.33420.1115
Notes: 1. ***, **, and * indicate a statistical significance level of 1%, 5%, and 10% significance, respectively. 2. θ 1 and θ 2 capture past shocks and dynamic conditional correlations on current dynamic condition correlations, whereas θ 3 is the asymmetrical term. 3. Source: Authors’ own estimations (2024).
Table 5. Wavelet-based correlations and their rankings (highest to lowest) of South African multi-asset markets at different investment periods.
Table 5. Wavelet-based correlations and their rankings (highest to lowest) of South African multi-asset markets at different investment periods.
RankAsset MarketCorrelation
D1
1Equity–Gold0.2602
2Bond–Gold0.2493
3Equity–Bond0.2439
4Bond–Property0.0762
5Equity–Property0.0546
6Property–Gold−0.0522
D2
1Equity–Bond0.5470
2Bond–Gold0.3535
3Equity–Gold0.2497
4Bond–Property0.1126
5Equity–Property0.0418
6Property–Gold−0.1116
D3
1Bond–Gold0.3807
2Bond–Property0.1606
3Equity–Gold0.1207
4Property–Gold0.1009
5Equity–Bond−0.0079
6Equity–Property−0.2346
D4
1Equity–Gold0.6514
2Bond–Gold0.4380
3Equity–Bond0.3001
4Property–Gold−0.1254
4Equity–Property−0.2978
6Bond–Property−0.8337
S4
1Equity–Property0.5300
2Bond–Gold−0.0714
3Equity–Bond−0.1214
4Bond–Property−0.3662
5Equity–Gold−0.6329
6Property–Gold−0.7075
Notes: Source: Authors’ own estimation (2024).
Disclaimer/Publisher’s Note: The statements, opinions and data contained in all publications are solely those of the individual author(s) and contributor(s) and not of MDPI and/or the editor(s). MDPI and/or the editor(s) disclaim responsibility for any injury to people or property resulting from any ideas, methods, instructions or products referred to in the content.

Share and Cite

MDPI and ACS Style

Moodley, F.; Ferreira-Schenk, S.; Matlhaku, K. Time–Frequency Co-Movement of South African Asset Markets: Evidence from an MGARCH-ADCC Wavelet Analysis. J. Risk Financial Manag. 2024, 17, 471. https://doi.org/10.3390/jrfm17100471

AMA Style

Moodley F, Ferreira-Schenk S, Matlhaku K. Time–Frequency Co-Movement of South African Asset Markets: Evidence from an MGARCH-ADCC Wavelet Analysis. Journal of Risk and Financial Management. 2024; 17(10):471. https://doi.org/10.3390/jrfm17100471

Chicago/Turabian Style

Moodley, Fabian, Sune Ferreira-Schenk, and Kago Matlhaku. 2024. "Time–Frequency Co-Movement of South African Asset Markets: Evidence from an MGARCH-ADCC Wavelet Analysis" Journal of Risk and Financial Management 17, no. 10: 471. https://doi.org/10.3390/jrfm17100471

APA Style

Moodley, F., Ferreira-Schenk, S., & Matlhaku, K. (2024). Time–Frequency Co-Movement of South African Asset Markets: Evidence from an MGARCH-ADCC Wavelet Analysis. Journal of Risk and Financial Management, 17(10), 471. https://doi.org/10.3390/jrfm17100471

Article Metrics

Back to TopTop