Next Article in Journal
Bank Credit and Trade Credit: The Case of Portuguese SMEs from 2010 to 2019
Next Article in Special Issue
Camouflaged Compensation: Do South African Executives Increase Their Pay through Share Repurchases?
Previous Article in Journal
Monetary Policy Shocks and Input–Output Characteristics of Production Networks
Previous Article in Special Issue
Designing a Characteristics Effectiveness Model for Internal Audit
 
 
Font Type:
Arial Georgia Verdana
Font Size:
Aa Aa Aa
Line Spacing:
Column Width:
Background:
Article

An IFRS Decision Heuristic—A Model for Accounting for Credit Card Rewards Programme Transactions

Department of Economic and Management Sciences, Stellenbosch University, Stellenbosch 7600, South Africa
*
Author to whom correspondence should be addressed.
J. Risk Financial Manag. 2023, 16(3), 169; https://doi.org/10.3390/jrfm16030169
Submission received: 10 February 2023 / Revised: 22 February 2023 / Accepted: 27 February 2023 / Published: 2 March 2023
(This article belongs to the Special Issue Advances in Accounting, Auditing and Finance)

Abstract

Guidance on the appropriate accounting treatment of a credit card rewards programme (CCRP) transaction after the effective date of IFRS 15 is needed due to current uncertainty and inconsistencies. The objective of the research was to develop a theoretical model for the accounting treatment of CCRP transactions after the effective date of IFRS 15 by considering the relevant literature, including IFRS. This non-empirical qualitative literature study utilised document analysis and model building to construct the theoretical model. To provide practical guidelines in accounting for a CCRP transaction, a model embedded in a decision tree was developed as a heuristic to provide for various possible accounting treatments. It was found that a CCRP transaction can be accounted for in terms of IAS 37 Provisions, Contingent Liabilities and Contingent Assets (as an expense and provision), in terms of IFRS 9 Financial instruments (as an expense and financial liability), or in terms of IFRS 15 Revenue from contracts with customers (as a deferred revenue). The value of this article is that it provides answers in a clear and concise matter on a single page dealing with all the various elements of a CCRP transaction that impacts the accounting treatment. The CCRP theoretical model developed could eliminate uncertainty amongst CCRP management and increase the decision-usefulness of financial information.

1. Introduction

Globally, the use of credit card rewards programmes (CCRPs) is a common phenomenon and should be faithfully represented in annual financial statements (AFS) to ensure that decision-useful financial information regarding these transactions is available to stakeholders. International Financial Reporting Standards (IFRS) provide regulations to IFRS compliers so that their AFS can be decision-useful (IFRS 2021; Corporate Finance Institute 2021). However, various concerns, uncertainties, and unanswered questions exist regarding the application of IFRS to CCRP transactions, especially after the effective date of IFRS 15 Revenue from Contracts with Customers (Brink 2017a, 2017b, 2017c; Chun et al. 2020; Ernst and Young 2013; FASB and IASB 2013; KPMG 2013a, 2013b; Levanti 2020; PricewaterhouseCoopers 2012). These uncertainties lead to CCRPs applying inconsistent accounting practices, which has a direct impact on the comparability of financial information.
With the issue of IFRS 15, stakeholders raised various concerns stating that the Standard lacks guidance to CCRPs on how to account for these transactions (IFRS 2012a). Despite various concerns raised, the International Accounting Standards Board (IASB) did not provide any additional guidance to CCRPs in IFRS 15 as it is a principle-based document. The IASB advised management to consider the nature and functioning of these complex arrangements when accounting for CCRP transactions, and therefore left it to management’s discretion to determine how the accounting should be dealt with for CCRP transactions (Ernst and Young 2013; PricewaterhouseCoopers 2016). Given the concerns raised, it is expected that IFRS compliers might be unsure as to the appropriate accounting treatment of CCRPs. Currently there are different views and practices relating to CCRPs (Brink 2017a, 2017b; Chapple et al. 2010; Pidduck et al. 2019).
As a starting point to address the research problem of accounting for CCRP transactions after the effective date of IFRS 15, Brink (2022) considered accounting theory. Brink (2022) identified the IASB’s Conceptual Framework for Financial Reporting (Conceptual Framework) as the most appropriate accounting theory to employ. However, only the basic structure and functioning of a CCRP in addressing the problem of accounting for a CCRP transaction was considered. The key elements of the underlying CCRP transaction and its impact on accounting for a CCRP transaction were not explored (Brink 2022). It was reported that accounting theory did not provide a clear and simple answer for accounting for award credits in a CCRP transaction. This led to the recommendation that the existing literature (including IFRS) should be explored to address the research problem of accounting for CCRP transactions (Brink 2022).
Given that IFRS 15 has been operational since 2018, there is research on the implications of the new revenue model for preparers (Davern et al. 2019; Napier and Stadler 2020). However, these articles do not include the effect of IFRS 15 on CCRPs. Other studies focussing on the accounting treatment of customer loyalty programmes have been conducted (Amalian 2015; Amalyan and Amalian 2015; Bernoully and Wondabio 2019; Brink 2013, 2014, 2016; Chapple et al. 2010; Johansson and Ringius 2007; Pidduck et al. 2019; Raluca 2014), but none of these studies specifically focussed on CCRPs and accounting for these transactions after the effective date of IFRS 15. Research on the accounting treatment of CCRPs before the effective date of the Standard was also conducted by Brink (2017a, 2017b, 2017c). None of these studies built a model to provide for all the possible accounting treatments of a CCRP transaction after the effective date of IFRS 15. Considering only accounting theory (Brink 2022) did not lead to a clear-cut answer, hence the need for the study on the various possible accounting treatments of a CCRP transaction.
The objective of the research reported in this article was to develop a theoretical model for the accounting treatment of CCRP transactions after the effective date of IFRS 15 by considering the relevant literature, including IFRS1. A qualitative literature study utilising a document analysis (Hutchinson and Duncan 2012) and model building (Mouton 2001) was therefore conducted. A decision tree is embedded in the design of the theoretical model as a tool to enhance practical application regarding possible alternatives for accounting for CCRP transactions.
This CCRP theoretical model could eliminate concerns, uncertainties, and unanswered questions in practice relating to the accounting treatment of CCRP transactions after the effective date of IFRS 15. Furthermore, it could serve as a best practice for increasing comparability between companies with similar transactions and the decision-usefulness of financial information contained in the AFS, thus benefiting the users of financial statements.

2. Methods

A qualitative research approach was deemed appropriate as little is known on the topic of accounting for CCRP transactions. There are various qualitative data collection methods available, including observations, interviews, document analysis and audio-visual materials (Creswell 2013). To identify all uncertainties or issues relating to the appropriate accounting treatment of CCRP transactions after IFRS 15, and to determine possible alternative accounting treatments for these transactions, previous literature must be considered. Document analysis is a qualitative approach based on the review of literature concerning a specific issue and was regarded as a suitable data collection method. Document analysis provided a systematic exposition of the accounting rules relating to CCRP transactions and allowed the researchers to analyse relationships between different rules, to understand problem areas, and even to predict future developments (Hutchinson and Duncan 2012). For this research, the researchers would not have been able to obtain comprehensive data by interviewing or observing CCRP management or by viewing audio-visual materials. Thus, a document analysis process, which is doctrinal in nature, was used to obtain and analyse the relevant data (Hutchinson and Duncan 2012). The relevant facts relating to CCRPs were gathered; the specific IFRS requirements were considered and analysed; primary sources of information were identified and studied; relevant issues relating to accounting for CCRP transactions were synthesised; and effective and sound conclusions were drawn (Hutchinson and Duncan 2012).
The data obtained and analysed were used to develop the CCRP theoretical model. Theory or model building studies aim to develop new theories and models to explain particular phenomena (Mouton 2001). Mouton (2001) explained that science cannot make progress without theories and models. Model building as a design method was therefore ideal for addressing the objective of this study, namely to develop a CCRP theoretical model and to recommend an industry best practice for the accounting treatment of CCRP transactions.

3. Conceptualising the Research from a Theoretical Perspective

There are several types of accounting theories, and scholars often distinguish between descriptive and predictive (positive) and prescriptive (normative) accounting theories (Oberholser 2013; Riahi-Belkaoui 2004; Schroeder et al. 2011; Van der Schyf 2008). A prescriptive (normative) approach aims to prescribe what should be done in particular circumstances as opposed to explaining or predicting what is done in those circumstances (Deegan 2009). These theories attempt to describe and justify accounting practices that ought to be adopted and are based upon the beliefs or values of the person or organisation proposing the theories (Oberholser 2013; Vorster 2007). Prescriptive theories would, for example, prescribe what ought to be regarded as assets and liabilities, and how these elements ought to be valued (Van der Schyf 2008; Vorster 2007). This approach is not based on observations and is developed using deductive reasoning (Deegan 2009). Most accounting theories are prescriptive, because they are based on certain objectives of financial reporting (Schroeder et al. 2011). This study aimed to employ prescriptive accounting theory for developing the CCRP theoretical model for accounting for CCRP award credits.

4. Theoretical Model for Accounting for a CCRP Transaction

To build the CCRP theoretical model, a broad understanding of the basic functioning of a CCRP was required. The basic functioning of a credit card arrangement (on which a typical CCRP is based) can be explained as follows: with each credit card purchase transaction at a merchant, the card issuer (directly or through intermediary financial institutions) only compensates the merchant for a part of the original credit card transaction value. The difference between the original credit card transaction value and the compensation paid to the merchant is referred to as the merchant interchange fee (FASB and IASB 2013). A credit card arrangement can be structured in either an open loop or a closed loop structure. As part of a credit card arrangement, card issuers may also administer a CCRP. In terms of the CCRP, the cardholder earns award credits from the card issuer (CCRP supplier) for each credit card purchase transaction from merchants (FASB and IASB 2013).
Key elements of the underlying CCRP transaction identified by Brink (2017a, 2017b) are the following: the structure and functioning of CCRPs; identifying the relevant revenue stream; identifying the customer in relation to the card issuer; and the nature of the benefits supplied. According to the existing literature, these elements have a direct impact on the accounting treatment (Brink 2017a, 2017b), and more specifically the recognition of award credits in a CCRP transaction. Moreover, the value of award credits will have an impact on measuring the award credits in the CCRP transaction. The value of award credits without an observable value has been identified as an area for further research (Brink 2017b, 2017c; Chun et al. 2020; IFRS 2012b). The key elements, as well as the value of the award credits, are thus discussed and incorporated in the CCRP theoretical model. Accounting theory has identified two possible management views on CCRP transactions, namely ‘in isolation as marketing’ and as ‘an integral part of the credit card transaction’ (Brink 2022). These two management views provide the frame for discussing existing literature in the remainder of this section.

4.1. Management View: In Isolation as Marketing

If management views the CCRP solely as a marketing tool and therefore accounts for the CCRP award credits in isolation, accounting theory proposes that the company create a liability, measured at current fulfilment value, and a corresponding expense (Brink 2022). However, the literature mentions that the nature of the benefits might also play a role in the appropriate measurement of the liability (Brink 2017a).

4.1.1. Nature of Benefits Supplied: Goods or Services

When the transaction is viewed as a marketing tool (and not as an integral part of the credit card transaction) and goods or services are to be supplied at redemption, the transaction will fall outside the scope of IFRS 15 and as such IAS 37 Provisions, Contingent Liabilities and Contingent Assets will be applicable (Brink 2017b). A provision in terms of IAS 37 is “a liability of uncertain timing or amount” (IASB 1998). Award credits granted meet the definition of a liability (Brink 2022) and the timing and amount of the liability are uncertain, as there is no certainty about when or whether the cardholder will redeem the award credits and for which goods or services, if a choice is provided. Therefore, the liability to supply the benefits will qualify as a provision in terms of IAS 37. A provision shall be recognised if a reliable estimate can be made of the amount of the obligation (IASB 1998).
The amount recognised as a provision shall be the best estimate of the expenditure required to settle the present obligation at the end of the reporting period or to transfer it to a third party at that time (IASB 1998). Management is required to apply their judgement to determine estimates of outcome and can refer to experience of similar transactions (IASB 1998). The ‘expected value’ method can be applied where the provision being measured involves a large population of items. This method entails weighting all possible outcomes by their associated probabilities to measure the provision (IASB 1998). IAS 37 advises that all risks and uncertainties should be taken into account in reaching the best estimate of a provision (IASB 1998). IAS 37 therefore determines the value of the award credits provision from the perspective of the card issuer being the cost price (and not the selling price) of benefits to be supplied or the consideration payable to a programme partner for supplying benefits.
The award credits can be measured by estimating the expenditure (to supply benefits or to pay a programme partner consideration for supplying benefits) required to settle the obligation arising from the award credits granted (applying IAS 37, paragraph 36 and 37). This process will vary for different CCRPs offering an array of redemption options. This value will be adjusted with the expected redemption rate of award credits, with reference to historical trends or information (applying IAS 37 paragraph 39). The contra-entry for the provision will be an expense, recognised when the award credits are granted. The IAS 37 recognition and measurement requirements explained agree with Brink’s (2022) recommendation to recognise an expense and liability measured at current fulfilment value if the CCRP transaction is viewed as a marketing tool.
The literature indicated that, in practice, some CCRPs applying IAS 37 account for the CCRP transaction recognising award credits granted as an offset to merchant interchange fee instead of an expense (Brink 2017b). Figure 1 illustrates the accounting treatment of a CCRP transaction which is viewed as a marketing tool where the nature of the benefits is goods or services (to be incorporated into the CCRP theoretical model).

4.1.2. Nature of Benefits Supplied: Direct Cash Back

Some CCRPs’ rewards are granted in the form of direct cash back (Mather 2013). The liability, namely to deliver cash, that arises in these CCRPs meets the definition of a financial liability (in terms of IAS 32), because a contractual obligation arises to supply cash (Brink 2017b). IFRS 9 Financial instruments will therefore be applicable, which requires the CCRP liability to be measured at fair value when initially recognised.
Whenever another IFRS requires fair value measurement, IFRS 13 Fair Value Measurement should be applied to determine this fair value (IASB 2011). IFRS 13 states that when a quoted price for the transfer of an identical or a similar liability is not available (as would normally be the case for a CCRP liability) and the identical item is held by another party as an asset (which is the case in a CCRP transaction as the cardholder has the right to receive cash, thus qualifying as a financial asset), an entity shall measure the fair value of the liability from the perspective of a market participant that holds the identical item as an asset at the measurement date (IASB 2011). Thus, the CCRP liability would initially be measured at the fair value of the ‘CCRP benefit’ earned by the cardholder. Per IFRS 13 paragraph 47, this fair value would commonly be the amount payable by the CCRP ‘on demand’, i.e., without adjusting for the probability of non-redemption by the cardholder and the effect of time-value of money (IASB 2011). The value of the award credits measured in terms of IFRS 13 (fair value: value from cardholder’s perspective with no adjustments for redemption rates) differs from IAS 37 measurement (fulfilment value: value from card issuer’s perspective adjusted for expected redemption rates).
The contra-entry for the financial liability will be an expense, recognised when the direct cash back reward is granted (Brink 2017b). The financial liability would subsequently be measured at amortised cost but, as the direct cash back is payable on demand, no adjustments in terms of the effective interest method would be necessary (Brink 2017b). Figure 2 illustrates the accounting treatment of a CCRP transaction viewed as a marketing tool when the nature of the benefits is cash (to be incorporated into the CCRP theoretical model).

4.1.3. Nature of Benefits Supplied: Choice between Goods or Services and Cash

Some CCRPs offer their cardholders the choice between benefits in the form of goods or services, or a direct cash back. Even though cardholders then have a choice regarding the nature of benefits, the CCRP still has a contractual obligation to supply cash (i.e., the cardholder has the right to demand cash back), resulting in the CCRP liability being classified as a financial liability in terms of IAS 32. The entire transaction should then be accounted for in terms of IFRS 9 (as illustrated in Figure 2).

4.2. Management View: As an Integral Part of the Credit Card Transaction

When the CCRP is viewed as part of an integral part of the credit card transaction, the key elements of the underlying CCRP transaction (the structure and functioning of the CCRP; identifying the relevant revenue stream; identifying the customer in relation to the card issuer; and the nature of the benefits supplied) (Brink 2017a, 2017b) will enable management to identify the appropriate accounting treatment. These key elements, as well as the value of award credits, are discussed next.
When the CCRP is viewed as an integral part of the credit card transaction, the CCRP transaction forms part of a bigger revenue transaction (Brink 2022) and IFRS 15 is possibly applicable. The scope of IFRS 15 states that an entity shall apply the Standard to a contract only if the counterparty to the contract is a customer. If the merchant is identified as the card issuer’s customer for the interchange service, the CCRP transaction falls outside the scope of IFRS 15 (Ernst and Young 2014). If the cardholder is the card issuer’s customer for the interchange service, the CCRP transaction falls within the scope of IFRS 15 (Ernst and Young 2014). The CCRP transaction will also fall outside the scope of IFRS 15 if the relevant revenue stream in the CCRP transaction is identified as the interest income which is accounted for in terms of IFRS 9.
The structure and functioning of the CCRP will have a direct impact on all the other mentioned key elements of the underlying CCRP transaction and these key elements will determine the accounting treatment of the CCRP transaction. The way the CCRP is structured will determine the rationale behind the CCRP, which in turn will determine the relevant revenue stream. Whether the CCRP functions within an open loop structure or a closed loop structure might have an impact on identifying the customer in relation to the card issuer. Some CCRPs offer their members the opportunity to redeem award credits for a direct cash back, for goods or services (non-cash rewards), or for both. Thus, the nature of these benefits will also have an impact on the accounting treatment of the CCRP transaction. Some CCRPs’ award credits cannot be linked to a specific currency unit (i.e., do not have an observable value); this value must first be determined to measure the award credits for accounting purposes. The aspects mentioned in this paragraph will be discussed in the remainder of the article.

4.2.1. Identifying the Relevant Revenue Stream

When management views the CCRP award credits as an integral part of the credit card transaction, the CCRP transaction forms part of a bigger revenue transaction (Brink 2022). It is therefore crucial to identify this relevant revenue transaction (revenue stream) to determine whether the transaction falls within the scope of IFRS 15. There are three possible revenue streams to consider in a CCRP transaction, namely the interest on the credit card loan, the interchange fee income, or a combination of the above. The relevant revenue stream can be identified with reference to the rationale behind the CCRP that gives rise to the CCRP transaction (Brink 2017b). To provide for the three possible revenue streams, the following question can be asked in the CCRP theoretical model (as illustrated in Figure 3):
If the rationale behind the CCRP is to increase both the interest income and the interchange fee income, a proper allocation basis needs to be determined. The other two options (‘interest income’ and ‘interchange fee income’) require further consideration.

Relevant Revenue Stream: Interest Income

If the rationale behind the CCRP is to ensure increased purchases on the credit card to increase the interest income earned by the card issuer on the outstanding amount, then the interest can be identified as the relevant revenue stream. The interest forms part of the credit card loan in the credit card arrangement and can therefore not be considered in isolation. The accrued interest and the credit card loan are therefore considered.
A financial asset is defined as “any asset that is a contractual right to receive cash or another financial asset from another entity” (IASB 2000). The cardholder is required to repay the credit card loan (capital) and accrued interest on the loan, in terms of the credit card arrangement. The card issuer therefore has a contractual right to receive cash from the cardholder, and the loan (consisting of capital and interest) to a credit cardholder meets the definition of a financial asset. A financial asset can be classified as a financial asset subsequently measured at amortised cost or at fair value (IASB 2014a): “A financial asset shall be measured at amortised cost if both of the following conditions are met: (1) the asset is held within a business model whose objective is to hold assets in order to collect contractual cash flows, and (2) the contractual terms of the financial asset give rise on specified dates to cash flows that are solely payments of principal and interest on the principal amount outstanding” (IASB 2014a). The card issuer’s aim is to lend money to credit cardholders to earn interest and collect any unpaid balances. The contract with the cardholder will include payment schedules, and these payments include solely capital and interest. Both requirements for measuring the financial asset subsequently at amortised cost are thus usually met in a CCRP transaction. The credit card loan and accrued interest (financial asset) will initially be measured at its fair value plus transaction costs that are directly attributable to the issue of the financial asset and subsequently at amortised cost (IASB 2014a).
If the interest income is identified as the relevant revenue stream in the CCRP transaction, IFRS 9 would be applicable to the credit card loan and the accrued interest—causing the CCRP transaction to fall outside the scope of IFRS 15 (as the scope specifically excludes financial instruments and other contractual rights and obligations within the scope of IFRS 9 (IASB 2014a)). To account for the CCRP liability (falling outside the scope of IFRS 15), the nature of the benefits must first be considered. If the nature of the benefits supplied is goods or services, IAS 37 will be applicable (refer to Section 4.1.1 for a detailed discussion), and if the nature of the benefits is a direct cash back or a choice between goods or services and cash, IFRS 9 will be applicable to the CCRP award credits liability (refer to Section 4.1.2 for a detailed discussion). Figure 4 illustrates the outcome of identifying the interest as the relevant revenue stream (to be incorporated into the CCRP theoretical model).

Relevant Revenue Stream: Interchange Fee Income

If the rationale behind the CCRP is to increase interchange fee income, then interchange fee income is identified as the relevant revenue stream. If this is the case, it then becomes important to identify the customer in relation to the card issuer (for the interchange fee income), as IFRS 15 will only be applicable if the cardholder is the customer. Currently there is uncertainty whether the interchange fee is earned from the merchant (being provided with a service of greater access to potential customers), indirectly from the cardholder (being provided with a service of electronically transferring the cash to the merchant for the goods or services purchased on credit), or from both mentioned parties (Brink 2017a). It is also uncertain whether a contract between the card issuer and the relevant party plays a role in identifying the customer in relation to the card issuer (considering the structure, i.e., open loop versus closed loop structure). These uncertainties are discussed next.

4.2.2. Identifying the Customer in Relation to the Card Issuer

In this section it is assumed that the interchange fee has been identified as the relevant revenue stream in the credit card and rewards programme transaction containing the CCRP award credits. It is essential to identify the customer in relation to the card issuer for the interchange fee because this will determine whether the transaction falls within the scope of IFRS 15 (Brink 2017a), and it will have a direct impact on the accounting treatment of the CCRP transaction. If the cardholder is identified as the customer, then the CCRP falls within the scope of IFRS 15. If the merchant is identified as the customer, the CCRP falls outside the scope of IFRS 15. Figure 5 illustrates the impact of identifying the interchange fee as the relevant revenue stream (to be incorporated into the CCRP theoretical model).
If both the merchant and the cardholder are identified as the customer in relation to the card issuer, then a part of the transaction falls outside the scope of IFRS 15 and a part of the transaction falls within the scope of IFRS 15 (Brink 2017a). It needs to be determined what portion of the interchange fee income is received from the merchant and the cardholder, respectively, to allocate the transaction.

Merchant as Customer

Considering the possibility of identifying the merchant as the card issuer’s customer, it must be determined whether a contract is required to identify the merchant as the card issuer’s customer. A credit card (and relating CCRP) can operate in either an open loop or closed loop structure. In a closed loop structure, the card issuer has a contractual relationship with the merchant, but in an open loop structure, the card issuer has no contractual relationship with the merchant. If a contract is required, then in an open loop structure the merchant cannot be identified as the customer in relation to the card issuer, and therefore the cardholder would be the customer in relation to the card issuer. If a contract is not required, then in an open loop structure the merchant can be identified as the customer in relation to the card issuer. Figure 6 illustrates the impact of identifying the merchant as the card issuer’s customer in an open loop structure (to be incorporated into the CCRP theoretical model).
If the merchant is identified as the customer in relation to the card issuer for the interchange fee, the CCRP transaction falls outside the scope of IFRS 15, and IAS 37 (if the nature of the benefits are goods or services) or IFRS 9 (if the nature of the benefits are a direct cash back or a choice between goods or services and cash) will be applicable. Figure 7 illustrates the impact of identifying the merchant as the card issuer’s customer in an open loop structure where no contract is required and a closed loop structure (to be incorporated into the CCRP theoretical model).

Cardholder as Customer

If the cardholder is identified as the customer in relation to the card issuer for the interchange fee, then the CCRP transaction could fall within the scope of IFRS 15; however, the nature of the benefits must first be determined. If the nature of the benefits is a direct cash back or a choice between goods or services and cash, IFRS 9 will be applicable and if the nature of the benefits supplied is goods or services, IFRS 15 will be applicable. The five sequential steps to recognise revenue in terms of IFRS 15 and its application to a CCRP transaction is thus considered.
In applying Step 1 (identify the contract with a customer) to a CCRP, Brink (2017c) found that there are two contracts that arise in a CCRP transaction. The first contract arises in the credit card transaction under which the card issuer is obliged to transfer cash to the merchant electronically, thus enabling the credit purchase transaction. A second contract arises under which the card issuer is obligated to grant award credits to the cardholder that gives the cardholder a right to benefits. Brink (2017c) identified the two separate performance obligations in the contract (Step 2) as the service of electronically transferring the cash, as well as the goods or services supplied with the redemption of the award credits. The goods or services promised in the two contracts are not a single performance obligation and the two contracts should be accounted for separately (Brink 2017c).
Brink (2017c) found that the total interchange fee, without any adjustments, represents the transaction price in applying the requirements of Step 3 (determine the transaction price). Step 4 determines that an entity must allocate the transaction price to each of the identified performance obligations. In a CCRP transaction, the interchange fee must therefore be allocated to the services sold (service of electronic payment facilitation) and to the award credits granted. The allocation should be based on the relative stand-alone selling prices of the underlying goods or services (IASB 2014b). The stand-alone selling price is the price at which an entity would sell the promised goods or services separately to a customer, for example the list price of the goods or services (IASB 2014b).
If the stand-alone selling price is not directly observable, an entity should estimate it. For CCRP award credits, this estimation of the stand-alone selling price should reflect the intrinsic value of the award credits (i.e., the discount a cardholder would obtain if the awards were redeemed today) (IASB 2014c), adjusted for the likelihood that the award credits will be redeemed (IASB 2014b). The cost of adjusting for the time value of money outweighs the benefit thereof and is therefore not required for award credits (IASB 2014c). An entity should be able to readily obtain the inputs necessary to estimate the stand-alone selling price of the award credits and these calculations should be relatively straightforward and intuitive.
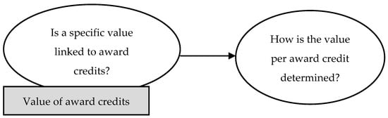
Many CCRPs’ award credits have a directly observable value, and a specific currency unit (CU) can be linked to the award credit (for example, 10 points is worth CU1 and, therefore, 10 points can be redeemed for CU1 discount on future purchases) (Brink 2017c). These CCRPs can estimate the stand-alone selling price of the award credits with reference to this determinable value per award credit (the discount the cardholder would obtain when exchanging the award credit) adjusted for the likelihood of award credits being redeemed (with reference to historical trends), as illustrated in IFRS 15 example 52 (IASB 2014d). For CCRPs whose award credits are not linked to a specific value, the intrinsic value of the award credits must be determined—as discussed in Section 4.3.
After estimating the stand-alone selling price, the relative stand-alone selling price needs to be determined for allocation purposes. The allocation of the transaction price based on the relative stand-alone selling prices can be calculated as illustrated in Figure 8 for award credits and the interchange fee income, respectively.
An allocation takes place between the interchange fee income and the award credits, based on their relative stand-alone selling prices. The stand-alone selling price of the interchange fee income represents the value of the consideration received, which is similar to the Conceptual Framework’s historical cost measurement base. The stand-alone selling price of the award credits represents a value from the cardholder’s perspective adjusted for the expected redemption rate.
It must be noted that allocating the Interchange fee income under IFRS 15 differs from the guidance under IFRIC 13 Customer Loyalty Programmes, which was an interpretation replaced by IFRS 15 (Brink 2014). The requirement of IFRS 15 that the allocation of the transaction price should be based on the relative stand-alone selling prices causes the difference (Brink 2014). Under IFRIC 13, the stand-alone selling price (fair value) was allocated to award credits, and the balance to the interchange fee income (Brink 2014).
In applying Step 5 (Recognise revenue when, or as, the entity satisfies a performance obligation) to a CCRP, Brink (2017c) found that the consideration allocated to the services of electronically transferring cash will be recognised as revenue when the credit card transaction takes place. The deferred revenue (consideration allocated to award credits) will be recognised when award credits are redeemed for goods or services or when the award credits expire. The option of supplying goods or services when the cardholder is identified as the customer for the interchange fee is illustrated in Figure 9 (to be incorporated into the CCRP theoretical model).

4.3. Value of Award Credits (without an Observable Value)

Some CCRP award credits do not have an observable value, for example, when the award credits can be redeemed for different benefits including charity, travel, finance, flight, leisure, and shopping offered by the card issuer and various programme partners. A spending schedule will typically display the various benefits per programme partner in a currency unit together with the price in the virtual currency (award credits) (Brink 2017b). The currency unit (CU) per award credit for each programme partner might differ (Brink 2017b); for example, 8 000 points could be redeemed for CU 500 shopping redemption rebate and 8 000 points could be redeemed for a CU 450 charity donation. Brink (2017b, 2017c) identified this aspect (determining the value of award credits without an observable value) as an area for further research. A respondent to the 2011 exposure draft preceding IFRS 15 also emphasised the lack of guidance on determining the value of award credits where the award credits are not denominated in currency, but only in points or miles (IFRS 2012b).
Determining the value of the award credits is the starting point to measure the award credits for accounting purposes. The value of award credits without an observable value will only be applicable if the nature of the benefits is goods or services and when IFRS 15 or IAS 37 is applied. If the nature of the benefits is a cash reward (accounted for in terms of IFRS 9), the value of the award credits will always be observable being the face value of the direct cash back.
The example in Table 1 illustrates how the value of such award credits could be estimated. The CCRP has a spending schedule that indicates various rewards for a price of 1 000 award credits. The CCRP expects 80% of award credits granted to be redeemed and the remaining to lapse unused. Based on historical information, the CCRP can estimate the percentage of award credits to be redeemed for each reward offered. The CU0.65 as calculated in Table 1 would then be used to as a starting point to measure the award credits for accounting purposes.
Although the calculation in Table 1 offers a possible solution to determine the value per award credit without an observable value, how CCRPs determine these values in practice is unknown and recommended as an area for further research. Illustrated in Figure 10 is the incorporation of award credits that do not have an observable value in the CCRP theoretical model.

4.4. Interchange Fee including Interest

In a credit card arrangement, the card issuer receives an interchange fee with each cardholder purchase transaction. Specifically, a credit card arrangement functions differently than a debit card arrangement. The interchange fee for credit cards is normally higher than those of debit cards owing to the functioning of a credit card arrangement. Brink (2017c) indicated that the interchange fee might include interest, since there is a difference between the interchange fee charged when using a debit card versus using a credit card. If this is the case, then the interest portion included in the interchange fee should be accounted for in terms of IFRS 9. Figure 11 illustrates accounting for the interest if a portion of the interchange fee represents interest (to be incorporated into the CCRP theoretical model).

4.5. Summary of Accounting Treatment

The possible accounting treatments that can be applied to CCRP award credits, based on the existing literature (including IFRS) are summarised in Table 2.

4.6. CCRP Theoretical Model

The following CCRP theoretical model (Figure 12) was developed based on relevant literature, including IFRS. It was embedded in a decision tree showing possible alternatives for accounting for CCRP transactions.

5. Conclusions and Recommendation

Currently CCRPs are accounting for award credits inconsistently due to a lack of guidance provided in IFRS 15. As a starting point to address the research problem of accounting for CCRP transactions after the effective date of IFRS 15, Brink (2022) considered accounting theory (the IASB’s Conceptual Framework) but could not provide a clear-cut answer to address the lack of guidance. The objective of the research reported in this article was to develop a theoretical model for the accounting treatment of CCRP transactions after the effective date of IFRS 15 by considering the relevant literature, including IFRS.
It was found that the key elements of the underlying CCRP transaction (structure and functioning of CCRPs; identifying the relevant revenue stream; identifying the customer in relation to the card issuer; and the nature of the benefits supplied) have a direct impact on accounting for a CCRP transaction. These key elements were therefore considered to build the CCRP theoretical model. It was found that based on these key elements, the award credits of a CCRP can be accounted for in terms of IAS 37 (expense and provision, measured at a value from the card issuer’s perspective adjusted for expected redemption rate), in terms of IFRS 9 (expense and financial liability, measured at fair value from the cardholder’s perspective), or in terms of IFRS 15 (deferred revenue, measured at a value from the cardholder’s perspective adjusted for expected redemption rate).
The model developed (Figure 12) was purely theoretical in nature which could be regarded as a limitation of the research reported in this article. Future research could empirically test the theoretical model. For example, the model could be refined by obtaining an in-depth understanding of the experiences of CCRP management on accounting for CCRP transactions after the effective date of IFRS 15 and integrating this into the model. In addition, the model could be validated by utilising the opinions of experts in the field.
CCRPs could apply the CCRP theoretical model to determine the appropriate accounting treatment (recognition and measurement) of CCRP transactions. The model is embedded in a decision tree that serves as a tool to guide users step-by-step in a user-friendly way regarding possible alternatives for accounting for CCRP transactions. Applying the CCRP theoretical model that incorporates the key elements of the underlying CCRP transaction could eliminate uncertainties and inconsistencies to ensure that CCRPs faithfully account for their CCRP transaction. The CCRP theoretical model developed could also serve as a best practice for industry, resulting in more decision-useful financial information contained in the AFS and benefiting the users of financial statements.

Author Contributions

Both authors made substantial contributions to the article, approved the submitted version and agree to be personally accountable for the authors’ own contributions and for ensuring that questions related to the accuracy or integrity of any part of the work, even ones in which the author was not personally involved, are appropriately investigated, resolved, and documented in the literature. All authors have read and agreed to the published version of the manuscript.

Funding

This research received no external funding.

Institutional Review Board Statement

The study was conducted according to the guidelines of the Stellenbosch University Policy for Responsible Research Conduct and approved by the Ethics Committee of Stellenbosch University (protocol code ACC-2021-17134 and date of approval was 29 April 2021).

Informed Consent Statement

Informed consent was obtained from all subjects involved in the study.

Data Availability Statement

The authors confirm that the data supporting the findings of this study are available within the article.

Conflicts of Interest

The authors declare no conflict of interest.

Note

1
Brink’s (2022) study did not consider IFRS in addressing the research problem of accounting for CCRP transactions.

References

  1. Amalian, Arutiun. 2015. Problems of accounting for customer loyalty programs. Auspicia 5: 50–53. [Google Scholar]
  2. Amalyan, Nataly D., and Arutiun W. Amalian. 2015. Accounting Objects within the Framework of Customer Loyalty Programs. БІЗНЕСІНФОРМ 11: 282–88. [Google Scholar]
  3. Bernoully, Mardo, and Ludovicus S. Wondabio. 2019. Impact of implementation of IFRS 15 on the financial statements of telecommunication company (Case Study of PT XYZ). Advances in Economics, Business and Management Research 89: 141–48. [Google Scholar]
  4. Brink, Sophia M. 2013. The Accounting Treatment of Single-company Customer Loyalty Programme Transactions. Journal of Economic and Financial Sciences 6: 795–814. [Google Scholar] [CrossRef]
  5. Brink, Sophia M. 2014. The Effect of the New Revenue Standard on Client Loyalty Programme Transactions. Journal of Economic and Financial Sciences 7: 393–414. [Google Scholar] [CrossRef]
  6. Brink, Sophia M. 2016. The Accounting Treatment of Credit Card Rewards Programmes: A South African Perspective. Paper presented at Third European Academic Research Conference on Global Business, Economics, Finance and Banking, Paris, France, July 1–3. [Google Scholar]
  7. Brink, Sophia M. 2017a. The Accounting Treatment of Credit Card Rewards Programmes Part I. Journal of Economic and Financial Sciences 10: 107–24. [Google Scholar] [CrossRef]
  8. Brink, Sophia M. 2017b. The Accounting Treatment of Credit Card Rewards Programmes Part II. Journal of Economic and Financial Sciences 10: 206–34. [Google Scholar] [CrossRef]
  9. Brink, Sophia M. 2017c. The Accounting Treatment of Credit Card Rewards Programmes Part III. Journal of Economic and Financial Sciences 10: 567–92. [Google Scholar]
  10. Brink, Sophia M. 2022. Developing a Theoretical Model for Credit Card Rewards Programmes Using Accounting Theory. Working paper. Stellenbosch: Stellenbosch University. [Google Scholar]
  11. Chapple, Sandra, Lee Moerman, and Kathy Rudkin. 2010. IFRIC 13: Accounting for Customer Loyalty Programmes. Accounting Research Journal 23: 124–45. [Google Scholar] [CrossRef]
  12. Chun, So Y., Dan A. Lancu, and Nikolaos Trichakis. 2020. Loyalty program liabilities and point values. Manufacturing and Service Operations Management 22: 257–72. [Google Scholar] [CrossRef]
  13. Corporate Finance Institute. 2021. IFRS Standards. Available online: https://corporatefinanceinstitute.com/resources/knowledge/accounting/what-are-ifrs-standards/ (accessed on 9 March 2021).
  14. Creswell, John W. 2013. Qualitative Inquiry and Research Design: Choosing among Five Approaches. London: SAGE. [Google Scholar]
  15. Davern, Micheal, Nikole Gyles, Brad Potter, and Victor Yang. 2019. Implementing AASB 15 Revenue from Contracts with Customers: The preparer perspective. Accounting Research Journal 32: 50–67. [Google Scholar] [CrossRef]
  16. Deegan, Craig M. 2009. Financial Accounting Theory, 3rd ed. Sydney: McGraw-Hill. [Google Scholar]
  17. Ernst and Young. 2013. Revenue Recognition for Credit Card Rewards and In-Substance Real Estate. Available online: http://www.google.co.za/url?sa=t&rct=j&q=&esrc=s&frm=1&source=web&cd=1&ved=0CDoQFjAA&url=http%3A%2F%2Fwww.ey.com%2Fpublication%2Fvwluassetsdld%2Ftothepoint_bb2545_revenueredeliberations_29may2013%2F%24file%2Ftothepoint_bb2545_revenueredeliberations_29may2013.pdf%3FOpenElement&ei=GdoBU8WwFYa_ywOU9YCoAw&usg=AFQjCNHX4W0zUa1O_wd65cKj0zrzKsSMKw&bvm=bv.61535280,d.bGQ (accessed on 17 February 2014).
  18. Ernst and Young. 2014. The New Revenue Recognition Standard—Banking. Available online: www.ey.com/us/accountinglink (accessed on 17 March 2021).
  19. FASB and IASB. 2013. IFRS Staff Paper FASB IASB Meeting. Available online: http://www.ifrs.org/Meetings/MeetingDocs/IASB/2013/May/07A-Revenue%20Recognition.pdf (accessed on 6 February 2014).
  20. Hutchinson, Terry, and Nigel Duncan. 2012. Defining and describing what we do: Doctrinal legal research. Deakin Law Review 17: 83–119. [Google Scholar] [CrossRef]
  21. IASB. 1998. IAS 37 Provisions, Contingent Liabilities and Contingent Assets. London: IFRS Foundation. [Google Scholar]
  22. IASB. 2000. IAS 32 Financial Instruments: Presentation. London: IFRS Foundation. [Google Scholar]
  23. IASB. 2011. IFRS 13 Fair Value Measurement. London: IFRS Foundation. [Google Scholar]
  24. IASB. 2014a. IFRS 9 Financial Instruments. London: IFRS Foundation. [Google Scholar]
  25. IASB. 2014b. IFRS 15 Revenue from Contracts with Customers. London: IFRS Foundation. [Google Scholar]
  26. IASB. 2014c. IFRS 15 Revenue from Contracts with Customers. Basis for Conclusion. London: IFRS Foundation. [Google Scholar]
  27. IASB. 2014d. IFRS 15 Revenue from Contracts with Customers. Illustrative Examples. London: IFRS Foundation. [Google Scholar]
  28. IFRS. 2012a. Comment Letters on Revised Exposure Draft. Available online: https://www.ifrs.org/projects/2015/revenue-from-contracts-with-customers/comment-letters-projects/revised-ed-revenue-from-contracts/#comment-letters (accessed on 22 February 2023).
  29. IFRS. 2012b. Comment Letters on Revised Exposure Draft, Comment Letter No. 30. Available online: http://eifrs.ifrs.org/eifrs/comment_letters//76/76_7765_HowardSibelmanCaliforniaSocietyofCertifiedPublicAccountantsCalCPA_0_ED201106_CL30CalCPACaliforniaSocietyofCertifiedPublicAccountants.pdf (accessed on 31 July 2019).
  30. IFRS. 2021. Who We Are. Available online: https://www.ifrs.org/about-us/who-we-are/ (accessed on 9 March 2021).
  31. Johansson, Linda, and JJeanette Ringius. 2007. IFRIC 13 Customer Loyalty Programmes: Its Effects on the Information Quality of Companies’ Accounting. Bachelor’s thesis, Goteborg University, Goteborg, Sweden. [Google Scholar]
  32. KPMG. 2007. Financial Reporting Update: Interpretation 13, Customer Loyalty Programmes. Available online: https://home.kpmg/cn/en/home/insights/2014/08/financial-reporting-update.html (accessed on 20 October 2015).
  33. KPMG. 2013a. Defining Issues. Revenue Recognition: Boards Decide on Effective Date, Transition, and Disclosures. Available online: http://www.kpmg.com/CN/en/IssuesAndInsights/ArticlesPublications/Newsletters/Defining-Issues/Documents/Defining-Issues-O-1302-13.pdf (accessed on 9 February 2014).
  34. KPMG. 2013b. Defining Issues. Revenue Recognition: CCRPs and Transfer of Nonfinancial Assets. Available online: http://www.kpmg.com/CN/en/IssuesAndInsights/ArticlesPublications/Newsletters/Defining-Issues/Documents/Defining-Issues-O-1305-25.pdf (accessed on 6 February 2014).
  35. Levanti, Denis A. 2020. Applicability of IFRS 15 principles for the banking industry: An analysis with reference to the credit institutions in Romania. Ecoforum 9: 1–9. [Google Scholar]
  36. Mather, Charles. 2013. South Africa’s Banking Rewards Programmes: A Comparison. Available online: http://paymentsafrika.com/payment-news/sas-banking-rewards-programmes-a-comparison/#sthash.efYgLmuH.dpuf (accessed on 19 February 2014).
  37. Mouton, Johann. 2001. How to Succeed in Your Master’s and Doctoral Studies. Pretoria: Van Schaik. [Google Scholar]
  38. Napier, Christopher J., and CHristian Stadler. 2020. The real effects of a new accounting standard: The case of IFRS 15 Revenue from Contracts with Customers. Accounting and Business Research 50: 474–503. [Google Scholar] [CrossRef]
  39. Oberholser, Johan G. I. 2013. The Understanding and Use of Interim Financial Reports by Individual Shareholders of South African Listed Retail Companies for Investment Decisions. Doctoral dissertation, University of Pretoria, Pretoria, South Africa. [Google Scholar]
  40. Pidduck, Teresa. M., Karen Odendaal, Michelle Kirsten, Lauren A. Pleace, and Kaylee De Winnaar. 2019. Progressive Tax: A Proposal for Customer Loyalty Programmes. Pacific Accounting Review. Available online: https://www.emerald.com/insight/content/doi/10.1108/PAR-10-2018-0082/full/pdf?title=progressive-tax-a-proposal-for-customer-loyalty-programmes (accessed on 18 November 2019).
  41. PricewaterhouseCoopers. 2012. Practical Guide to IFRS: Revenue from Contracts with Customers: Responses to Re-Exposed Proposals. Available online: https://www.google.co.za/?gws_rd=cr&ei=oVwDU-TTIeTNygPOq4DoBg#q=Practical+guide+to+IFRS+Revenue+from+contracts+with+customers+pwc (accessed on 18 February 2014).
  42. PricewaterhouseCoopers. 2016. New Revenue Recognition Rules. How Will They Affect Loyalty Programmes. Available online: https://eur03.safelinks.protection.outlook.com/?url=https%3A%2F%2Fwww.slideshare.net%2FPWC%2Fpwc-loyalty-programs-revenue-recognition&data=05%7C01%7C%7C9fb6f55c91c84981d13e08daaa984fa6%7Ca6fa3b030a3c42588433a120dffcd348%7C0%7C0%7C638009868710181110%7CUnknown%7CTWFpbGZsb3d8eyJWIjoiMC4wLjAwMDAiLCJQIjoiV2luMzIiLCJBTiI6Ik1haWwiLCJXVCI6Mn0%3D%7C3000%7C%7C%7C&sdata=vZie%2FY9sFU576Aa6EZtOSmxCEF87J3G3VyOLhNa3GFs%3D&reserved=0 (accessed on 18 October 2022).
  43. Raluca, Sava. 2014. Customer Loyalty Programmes Accounting under IFRS and Romanian Accounting System. Revista Economica 66: 83–90. [Google Scholar]
  44. Riahi-Belkaoui, Ahmed. 2004. Accounting Theory. Singapore: Cengage Learning EMEA. [Google Scholar]
  45. Schroeder, Richard G., Myrtle W. Clark, and Jack M. Cathey. 2011. Financial Accounting Theory and Analysis: Text and Cases. Hoboken: John Wiley & Sons. [Google Scholar]
  46. Van der Schyf, Daan B. 2008. The essence of a university and scholarly activity in accounting, with reference to a department of accounting at a South African university. Meditari Accountancy Research 16: 1–26. [Google Scholar] [CrossRef]
  47. Vorster, Quintus. 2007. The conceptual framework, accounting principles and what we believe is true. Accountancy SA 6: 30–33. [Google Scholar]
Figure 1. Accounting for a CCRP transaction viewed as a marketing tool when the nature of benefits is goods or services.
Figure 1. Accounting for a CCRP transaction viewed as a marketing tool when the nature of benefits is goods or services.
Jrfm 16 00169 g001
Figure 2. Accounting for a CCRP transaction viewed as a marketing tool when nature of benefits is cash.
Figure 2. Accounting for a CCRP transaction viewed as a marketing tool when nature of benefits is cash.
Jrfm 16 00169 g002
Figure 3. Identifying the relevant revenue stream when a transaction is viewed as an integral part of the credit card transaction.
Figure 3. Identifying the relevant revenue stream when a transaction is viewed as an integral part of the credit card transaction.
Jrfm 16 00169 g003
Figure 4. Rationale behind the CCRP is an increase in interest.
Figure 4. Rationale behind the CCRP is an increase in interest.
Jrfm 16 00169 g004
Figure 5. Rationale behind the CCRP is an increase in interchange fee income, considering the customer in relation to the card issuer.
Figure 5. Rationale behind the CCRP is an increase in interchange fee income, considering the customer in relation to the card issuer.
Jrfm 16 00169 g005
Figure 6. Impact of a contract with the merchant in an open loop structure on identifying the customer in relation to the card issuer.
Figure 6. Impact of a contract with the merchant in an open loop structure on identifying the customer in relation to the card issuer.
Jrfm 16 00169 g006
Figure 7. Identifying the merchant as card issuer’s customer.
Figure 7. Identifying the merchant as card issuer’s customer.
Jrfm 16 00169 g007
Figure 8. Allocation of the transaction price based on the relative stand-alone selling prices (Source: IASB 2014d).
Figure 8. Allocation of the transaction price based on the relative stand-alone selling prices (Source: IASB 2014d).
Jrfm 16 00169 g008
Figure 9. Identifying the cardholder as card issuer’s customer and the nature of benefits is goods or services.
Figure 9. Identifying the cardholder as card issuer’s customer and the nature of benefits is goods or services.
Jrfm 16 00169 g009
Figure 10. Determining value linked to award credits.
Figure 10. Determining value linked to award credits.
Jrfm 16 00169 g010
Figure 11. Accounting for interest if portion of interchange fee represents interest.
Figure 11. Accounting for interest if portion of interchange fee represents interest.
Jrfm 16 00169 g011
Figure 12. CCRP theoretical model.
Figure 12. CCRP theoretical model.
Jrfm 16 00169 g012
Table 1. Estimating the value of award credits (Source: Adapted from KPMG 2007).
Table 1. Estimating the value of award credits (Source: Adapted from KPMG 2007).
Estimated Value of Benefits—Cost Price (IAS 37) or Selling Price (IFRS 15)Estimated Portion of Award Credits Being Redeemed for Such a BenefitComputed Weighted Average
Benefits available for 1000 award credits:ABA × B
CU 50 supermarket voucherCU 5010%CU 5
20% discount voucher for any purchase in shoe shop exceeding CU 300CU 8020%CU 16
Electronic fanCU 10025%CU 25
Computer keyboardCU 6015%CU 9
Annual card fee waiverCU 10010%CU 10
Total 80%CU 65
The value of one award credit can be calculated as CU 65/1000 award credits = CU 0.65.
Table 2. Summary of accounting treatments.
Table 2. Summary of accounting treatments.
Accounting TreatmentWhen It Would Be Applicable
IFRS 9
Dr. Expense
Cr. Financial liability
Measured at the cash amount payable representing the fair value from cardholder’s perspective (not adjusted for expected redemption rate)
Nature of benefits: Direct cash back or a choice between goods or services and cash.
IAS 37
Dr. Expense *
Cr. Provision
Measured at a value from the card issuer’s perspective (adjusted for expected redemption rate). *
Nature of benefits: Goods or services and
  • Management views CCRP award credits in isolation as marketing; or
  • Management views CCRP award credits as an integral part of the credit card transaction, and the relevant revenue stream is identified as interest income;
or
  • Management views CCRP award credits as an integral part of the credit card transaction, the relevant revenue stream is identified as interchange fee income, and the merchant is identified as the customer in relation to the card issuer for the interchange fee.
IFRS 15
Dr. Bank
Cr. Interchange fee income
Cr. Deferred revenue
Deferred revenue is allocated based on relative stand-alone selling prices; stand-alone selling price of award credits is a value from cardholder’s perspective (adjusted for expected redemption rate).
Nature of benefits: Goods or services. Management views CCRP award credits as an integral part of the credit card transaction, the relevant revenue stream is identified as interchange fee income, and the cardholder is identified as the customer in relation to the card issuer for the interchange fee.
Note: * In practice, the debit is sometimes offset against merchant interchange fee income.
Disclaimer/Publisher’s Note: The statements, opinions and data contained in all publications are solely those of the individual author(s) and contributor(s) and not of MDPI and/or the editor(s). MDPI and/or the editor(s) disclaim responsibility for any injury to people or property resulting from any ideas, methods, instructions or products referred to in the content.

Share and Cite

MDPI and ACS Style

Brink, S.M.; Steenkamp, G. An IFRS Decision Heuristic—A Model for Accounting for Credit Card Rewards Programme Transactions. J. Risk Financial Manag. 2023, 16, 169. https://doi.org/10.3390/jrfm16030169

AMA Style

Brink SM, Steenkamp G. An IFRS Decision Heuristic—A Model for Accounting for Credit Card Rewards Programme Transactions. Journal of Risk and Financial Management. 2023; 16(3):169. https://doi.org/10.3390/jrfm16030169

Chicago/Turabian Style

Brink, Sophia M., and Gretha Steenkamp. 2023. "An IFRS Decision Heuristic—A Model for Accounting for Credit Card Rewards Programme Transactions" Journal of Risk and Financial Management 16, no. 3: 169. https://doi.org/10.3390/jrfm16030169

APA Style

Brink, S. M., & Steenkamp, G. (2023). An IFRS Decision Heuristic—A Model for Accounting for Credit Card Rewards Programme Transactions. Journal of Risk and Financial Management, 16(3), 169. https://doi.org/10.3390/jrfm16030169

Article Metrics

Back to TopTop